Relationship between Variations in the Accumulated Workload and the Change of Direction Ability in Elite Young Soccer Players
Abstract
:1. Introduction
2. Materials and Methods
2.1. Participants
2.2. Sample Power
2.3. Procedures
2.4. Anthropometric
2.5. How to Calculate Maturation
2.6. Change of Direction Ability Test
2.7. Monitoring Workloads Training
2.8. Statistical Analysis
3. Results
4. Discussion
5. Conclusions
Author Contributions
Funding
Institutional Review Board Statement
Informed Consent Statement
Data Availability Statement
Conflicts of Interest
References
- Di Salvo, V.; Baron, R.; Tschan, H.; Montero, F.J.C.; Bachl, N.; Pigozzi, F. Performance characteristics according to playing position in elite soccer. Int. J. Sports Med. 2007, 28, 222–227. [Google Scholar] [CrossRef] [PubMed]
- Ali, A. Measuring soccer skill performance: A review. Scand. J. Med. Sci. Sports 2011, 21, 170–183. [Google Scholar] [CrossRef] [PubMed]
- Osgnach, C.; Poser, S.; Bernardini, R.; Rinaldo, R.; di Prampero, P.E. Energy cost and metabolic power in elite soccer: A new match analysis approach. Med. Sci. Sports Exerc. 2010, 42, 170–178. [Google Scholar] [CrossRef]
- Buchheit, M.; Manouvrier, C.; Cassirame, J.; Morin, J.B. Monitoring Locomotor Load in Soccer: Is Metabolic Power, Powerful? Int. J. Sports Med. 2015, 36, 1149–1155. [Google Scholar] [CrossRef] [Green Version]
- Stroyer, J.; Hansen, L.; Klausen, K. Physiological profile and activity pattern of young soccer players during match play. Med. Sci. Sports Exerc. 2004, 36, 168–174. [Google Scholar] [CrossRef]
- Nikolaidis, P.T.; Karydis, N.V. Physique and body composition in soccer players across adolescence. Asian J. Sports Med. 2011, 2, 75–82. [Google Scholar] [CrossRef] [Green Version]
- Tonnessen, E.; Svendsen, I.S.; Olsen, I.C.; Guttormsen, A.; Haugen, T. Performance development in adolescent track and field athletes according to age, sex and sport discipline. PLoS ONE 2015, 10, e0129014. [Google Scholar] [CrossRef] [Green Version]
- Morin, J.B.; Samozino, P. Interpreting Power-Force-Velocity Profiles for Individualized and Specific Training. Int. J. Sports Physiol. Perform. 2016, 11, 267–272. [Google Scholar] [CrossRef]
- Clemente, F.M.; Nikolaidis, P.T.; Rosemann, T.; Knechtle, B. Dose-Response Relationship Between External Load Variables, Body Composition, and Fitness Variables in Professional Soccer Players. Front. Physiol. 2019, 10, 443. [Google Scholar] [CrossRef]
- Morgan, O.J.; Drust, B.; Ade, J.D.; Robinson, M.A. Change of direction frequency off the ball: New perspectives in elite youth soccer. Sci. Med. Footb. 2021, 1–10. [Google Scholar] [CrossRef]
- Nobari, H.; Polito, L.F.T.; Clemente, F.M.; Perez-Gomez, J.; Ahmadi, M.; Garcia-Gordillo, M.A.; Silva, A.F.; Adsuar, J.C. Relationships Between Training Workload Parameters with Variations in Anaerobic Power and Change of Direction Status in Elite Youth Soccer Players. Int. J. Environ. Res. Public Health 2020, 17, 7934. [Google Scholar] [CrossRef] [PubMed]
- Keiner, M.; Kapsecker, A.; Stefer, T.; Kadlubowski, B.; Wirth, K. Differences in Squat Jump, Linear Sprint, and Change-of-Direction Performance among Youth Soccer Players According to Competitive Level. Sports 2021, 9, 149. [Google Scholar] [CrossRef] [PubMed]
- Alves, A.R.; Medeiros, F.B.; Chagas, M.H.; Peixoto, G.H.; Lima, F.V.; Carpes, F.P.; Andrade, A.G.P. Does the change of direction deficit measure the time of change of direction? Mot. Rev. Educ. Fís. 2022, 28, e10220010521. [Google Scholar]
- Deprez, D.; Coutts, A.J.; Fransen, J.; Deconinck, F.; Lenoir, M.; Vaeyens, R.; Philippaerts, R. Relative age, biological maturation and anaerobic characteristics in elite youth soccer players. Int. J. Sports Med. 2013, 34, 897–903. [Google Scholar] [CrossRef] [PubMed] [Green Version]
- Pardos-Mainer, E.; Bishop, C.; Gonzalo-Skok, O.; Nobari, H.; Perez-Gomez, J.; Lozano, D. Associations between Inter-Limb Asymmetries in Jump and Change of Direction Speed Tests and Physical Performance in Adolescent Female Soccer Players. Int. J. Environ. Res. Public Health 2021, 18, 3474. [Google Scholar] [CrossRef] [PubMed]
- Hazir, T.; Kose, M.G.; Kin-Isler, A. The validity of Running Anaerobic Sprint Test to assess anaerobic power in young soccer players. Isokinet. Exerc. Sci. 2018, 26, 201–209. [Google Scholar] [CrossRef]
- Hoff, J.; Wisloff, U.; Engen, L.C.; Kemi, O.J.; Helgerud, J. Soccer specific aerobic endurance training. Br. J. Sports Med. 2002, 36, 218–221. [Google Scholar] [CrossRef]
- Gil, S.; Gil, J.; Ruiz, F.; Irazusta, A.; Irazusta, J. Physiological and Anthropometric Characteristics of Young Soccer Players According to Their Playing Position: Relevance for the Selection Process. J. Strength Cond. Res. 2007, 21, 438–445. [Google Scholar] [CrossRef]
- Fransson, D.; Krustrup, P.; Mohr, M. Running intensity fluctuations indicate temporary performance decrement in top-class football. Sci. Med. Footb. 2017, 1, 10–17. [Google Scholar] [CrossRef]
- Ribeiro, J.; Afonso, J.; Camoes, M.; Sarmento, H.; Sá, M.; Lima, R.; Oliveira, R.; Clemente, F. Methodological Characteristics, Physiological and Physical Effects, and Future Directions for Combined Training in Soccer: A Systematic Review. Healthcare 2021, 9, 1075. [Google Scholar] [CrossRef]
- Impellizzeri, F.M.; Rampinini, E.; Castagna, C.; Bishop, D.; Ferrari Bravo, D.; Tibaudi, A.; Wisloff, U. Validity of a repeated-sprint test for football. Int. J. Sports Med. 2008, 29, 899–905. [Google Scholar] [CrossRef] [PubMed]
- Bangsbo, J.; Mohr, M.; Krustrup, P. Physical and metabolic demands of training and match-play in the elite football player. J. Sports Sci. 2006, 24, 665–674. [Google Scholar] [CrossRef] [PubMed]
- Castagna, C.; Impellizzeri, F.; Cecchini, E.; Rampinini, E.; Alvarez, J.C. Effects of intermittent-endurance fitness on match performance in young male soccer players. J. Strength Cond. Res. 2009, 23, 1954–1959. [Google Scholar] [CrossRef] [Green Version]
- Chelly, M.S.; Hermassi, S.; Shephard, R.J. Effects of In-Season Short-term Plyometric Training Program on Sprint and Jump Performance of Young Male Track Athletes. J. Strength Cond. Res. 2015, 29, 2128–2136. [Google Scholar] [CrossRef]
- Buchheit, M.; Mendez-Villanueva, A.; Delhomel, G.; Brughelli, M.; Ahmaidi, S. Improving Repeated Sprint Ability in Young Elite Soccer Players: Repeated Shuttle Sprints Vs. Explosive Strength Training. J. Strength Cond. Res. 2010, 24, 2715–2722. [Google Scholar] [CrossRef]
- Pardos-Mainer, E.; Casajus, J.A.; Bishop, C.; Gonzalo-Skok, O. Effects of Combined Strength and Power Training on Physical Performance and Interlimb Asymmetries in Adolescent Female Soccer Players. Int. J. Sports Physiol. Perform. 2020, 15, 1147–1155. [Google Scholar] [CrossRef]
- Al Haddad, H.; Simpson, B.M.; Buchheit, M.; Di Salvo, V.; Mendez-Villanueva, A. Peak match speed and maximal sprinting speed in young soccer players: Effect of age and playing position. Int. J. Sports Physiol. Perform. 2015, 10, 888–896. [Google Scholar] [CrossRef]
- Bartlett, J.D.; O’Connor, F.; Pitchford, N.; Torres-Ronda, L.; Robertson, S.J. Relationships Between Internal and External Training Load in Team-Sport Athletes: Evidence for an Individualized Approach. Int. J. Sports Physiol. Perform. 2017, 12, 230–234. [Google Scholar] [CrossRef]
- Nobari, H.; Alves, A.R.; Clemente, F.M.; Perez-Gomez, J.; Clark, C.C.T.; Granacher, U.; Zouhal, H. Associations Between Variations in Accumulated Workload and Physiological Variables in Young Male Soccer Players Over the Course of a Season. Front. Physiol. 2021, 12, 638180. [Google Scholar] [CrossRef]
- Nobari, H.; Oliveira, R.; Clemente, F.M.; Perez-Gomez, J.; Pardos-Mainer, E.; Ardigo, L.P. Somatotype, Accumulated Workload, and Fitness Parameters in Elite Youth Players: Associations with Playing Position. Children 2021, 8, 375. [Google Scholar] [CrossRef]
- Sheppard, J.M.; Young, W.B. Agility literature review: Classifications, training and testing. J. Sports Sci. 2006, 24, 919–932. [Google Scholar] [CrossRef] [PubMed] [Green Version]
- Borg, G. Borg’s Perceived Exertion And Pain Scales; Human Kinetics: Champaign, IL, USA, 1998. [Google Scholar]
- Foster, C. Monitoring training in athletes with reference to overtraining syndrome. Med. Sci. Sports Exerc. 1998, 30, 1164–1168. [Google Scholar] [CrossRef] [PubMed]
- Windt, J.; Gabbett, T.J. Is it all for naught? What does mathematical coupling mean for acute:chronic workload ratios? Br. J. Sports Med. 2019, 53, 988–990. [Google Scholar] [CrossRef] [PubMed]
- Batterham, A.M.; Hopkins, W.G. Making meaningful inferences about magnitudes. Int. J. Sports Physiol. Perform. 2006, 1, 50–57. [Google Scholar] [CrossRef]
- Hopkins, W.G.; Marshall, S.W.; Batterham, A.M.; Hanin, J. Progressive statistics for studies in sports medicine and exercise science. Med. Sci. Sports Exerc. 2009, 41, 3–13. [Google Scholar] [CrossRef] [Green Version]
- Bourdon, P.C.; Cardinale, M.; Murray, A.; Gastin, P.; Kellmann, M.; Varley, M.C.; Gabbett, T.J.; Coutts, A.J.; Burgess, D.J.; Gregson, W.; et al. Monitoring Athlete Training Loads: Consensus Statement. Int. J. Sports Physiol. Perform. 2017, 12, S2161–S2170. [Google Scholar] [CrossRef]
- Jeong, T.S.; Reilly, T.; Morton, J.; Bae, S.W.; Drust, B. Quantification of the physiological loading of one week of “pre-season” and one week of “in-season” training in professional soccer players. J. Sports Sci. 2011, 29, 1161–1166. [Google Scholar] [CrossRef]
- Foster, C.; Boullosa, D.; McGuigan, M.; Fusco, A.; Cortis, C.; Arney, B.E.; Orton, B.; Dodge, C.; Jaime, S.; Radtke, K.; et al. 25 Years of Session Rating of Perceived Exertion: Historical Perspective and Development. Int. J. Sports Physiol. Perform. 2021, 16, 612–621. [Google Scholar] [CrossRef]
- Nobari, H.; Kharatzadeh, M.; Mz, S.; Perez-Gomez, J.; Ardigò, L. Fluctuations of Training Load Variables in Elite Soccer Players U-14 Throughout the Competition Season. Healthcare 2021, 9, 1418. [Google Scholar] [CrossRef]
- Stolen, T.; Chamari, K.; Castagna, C.; Wisloff, U. Physiology of soccer: An update. Sports Med. 2005, 35, 501–536. [Google Scholar] [CrossRef]
- Sekiguchi, Y.; Huggins, R.A.; Curtis, R.M.; Benjamin, C.L.; Adams, W.M.; Looney, D.P.; West, C.A.; Casa, D.J. Relationship Between Heart Rate Variability and Acute:Chronic Load Ratio Throughout a Season in NCAA D1 Men’s Soccer Players. J. Strength Cond. Res. 2021, 35, 1103–1109. [Google Scholar] [CrossRef] [PubMed]
- Smith, D.J. A framework for understanding the training process leading to elite performance. Sports Med. 2003, 33, 1103–1126. [Google Scholar] [CrossRef] [PubMed]
- Soligard, T.; Schwellnus, M.; Alonso, J.M.; Bahr, R.; Clarsen, B.; Dijkstra, H.P.; Gabbett, T.; Gleeson, M.; Hagglund, M.; Hutchinson, M.R.; et al. How much is too much? (Part 1) International Olympic Committee consensus statement on load in sport and risk of injury. Br. J. Sports Med. 2016, 50, 1030–1041. [Google Scholar] [CrossRef] [Green Version]
- Fanchini, M.; Rampinini, E.; Riggio, M.; Coutts, A.J.; Pecci, C.; McCall, A. Despite association, the acute:chronic work load ratio does not predict non-contact injury in elite footballers. Sci. Med. Footb. 2018, 2, 108–114. [Google Scholar] [CrossRef]
- Impellizzeri, F.M.; Woodcock, S.; Coutts, A.J.; Fanchini, M.; McCall, A.; Vigotsky, A.D. What Role Do Chronic Workloads Play in the Acute to Chronic Workload Ratio? Time to Dismiss ACWR and Its Underlying Theory. Sports Med. 2021, 51, 581–592. [Google Scholar] [CrossRef] [PubMed]
- Los Arcos, A.; Mendez-Villanueva, A.; Martinez-Santos, R. In-season training periodization of professional soccer players. Biol. Sport 2017, 34, 149–155. [Google Scholar] [CrossRef] [PubMed]
- Bowen, L.; Gross, A.S.; Gimpel, M.; Li, F.X. Accumulated workloads and the acute:chronic workload ratio relate to injury risk in elite youth football players. Br. J. Sports Med. 2017, 51, 452–459. [Google Scholar] [CrossRef] [Green Version]
- Figueiredo, A.J.; Coelho e Silva, M.J.; Malina, R.M. Predictors of functional capacity and skill in youth soccer players. Scand. J. Med. Sci. Sports 2011, 21, 446–454. [Google Scholar] [CrossRef]
- Granados, A.; Gebremariam, A.; Lee, J.M. Relationship Between Timing of Peak Height Velocity and Pubertal Staging in Boys and Girls. J. Clin. Res. Pediatr. Endocrinol. 2015, 7, 235–237. [Google Scholar] [CrossRef]
- Mirwald, R.L.; Baxter-Jones, A.D.; Bailey, D.A.; Beunen, G.P. An assessment of maturity from anthropometric measurements. Med. Sci. Sports Exerc. 2002, 34, 689–694. [Google Scholar] [CrossRef]
- Nobari, H.; Silva, A.; Clemente, F.; Siahkouhian, M.; Cortés, M.; Adsuar, J.; Perez-Gomez, J. Analysis of Fitness Status Variations of Under-16 Soccer Players Over a Season and Their Relationships With Maturational Status and Training Load. Front. Physiol. 2021, 11, 1840. [Google Scholar] [CrossRef] [PubMed]
- Philippaerts, R.M.; Vaeyens, R.; Janssens, M.; Van Renterghem, B.; Matthys, D.; Craen, R.; Bourgois, J.; Vrijens, J.; Beunen, G.; Malina, R.M. The relationship between peak height velocity and physical performance in youth soccer players. J. Sports Sci. 2006, 24, 221–230. [Google Scholar] [CrossRef] [PubMed]
- Borges, P.H.; Cumming, S.; Ronque, E.R.V.; Cardoso, F.; Avelar, A.; Rechenchosky, L.; da Costa, I.T.; Rinaldi, W. Relationship Between Tactical Performance, Somatic Maturity and Functional Capabilities in Young Soccer Players. J. Hum. Kinet. 2018, 64, 160–169. [Google Scholar] [CrossRef] [PubMed] [Green Version]
- Vandendriessche, J.B.; Vaeyens, R.; Vandorpe, B.; Lenoir, M.; Lefevre, J.; Philippaerts, R.M. Biological maturation, morphology, fitness, and motor coordination as part of a selection strategy in the search for international youth soccer players (age 15–16 years). J. Sports Sci. 2012, 30, 1695–1703. [Google Scholar] [CrossRef] [PubMed]
- Teixeira, A.S.; Guglielmo, L.G.A.; Fernandes-da-Silva, J.; Konarski, J.M.; Costa, D.; Duarte, J.P.; Conde, J.; Valente-Dos-Santos, J.; Coelho, E.S.M.J.; Malina, R.M. Skeletal maturity and oxygen uptake in youth soccer controlling for concurrent size descriptors. PLoS ONE 2018, 13, e0205976. [Google Scholar] [CrossRef]
- Ford, P.; De Ste Croix, M.; Lloyd, R.; Meyers, R.; Moosavi, M.; Oliver, J.; Till, K.; Williams, C. The Long-Term Athlete Development model: Physiological evidence and application. J. Sports Sci. 2011, 29, 389–402. [Google Scholar] [CrossRef]
- Radnor, J.M.; Staines, J.; Bevan, J.; Cumming, S.P.; Kelly, A.L.; Lloyd, R.S.; Oliver, J.L. Maturity Has a Greater Association than Relative Age with Physical Performance in English Male Academy Soccer Players. Sports 2021, 9, 171. [Google Scholar] [CrossRef]
- Brownstein, C.G.; Ball, D.; Micklewright, D.; Gibson, N.V. The Effect of Maturation on Performance During Repeated Sprints With Self-Selected Versus Standardized Recovery Intervals in Youth Footballers. Pediatr. Exerc. Sci. 2018, 30, 500–505. [Google Scholar] [CrossRef]
- Ryan, D.; McCall, A.; Fitzpatrick, G.; Hennessy, L.; Meyer, T.; McCunn, R. The influence of maturity status on movement quality among English Premier League academy soccer players. Sport Perform. Sci. Rep. 2018, 32, 1–3. [Google Scholar]
- Cumming, S.P.; Lloyd, R.S.; Oliver, J.L.; Eisenmann, J.C.; Malina, R.M. Bio-banding in Sport: Applications to competition, talent identification, and strength and conditioning of youth athletes. Strength Cond. J. 2017, 39, 34–47. [Google Scholar] [CrossRef] [Green Version]
- King, M.; Ball, D.; Weston, M.; McCunn, R.; Gibson, N. Initial fitness, maturity status, and total training explain small and inconsistent proportions of the variance in physical development of adolescent footballers across one season. Res. Sports Med. 2021, 30, 283–294. [Google Scholar] [CrossRef] [PubMed]
- Parr, J.; Winwood, K.; Hodson-Tole, E.; Deconinck, F.; Hill, J.; Teunissen, J.W.; Cumming, S. The Main and Interactive Effects of Biological Maturity and Relative Age on Physical Performance in Elite Youth Soccer Players. J. Sports Med. 2020, 2020, 1957636. [Google Scholar] [CrossRef]
- Colby, M.J.; Dawson, B.; Heasman, J.; Rogalski, B.; Gabbett, T.J. Accelerometer and GPS-derived running loads and injury risk in elite Australian footballers. J. Strength Cond. Res. 2014, 28, 2244–2252. [Google Scholar] [CrossRef] [PubMed]
- Maupin, D.; Schram, B.; Canetti, E.; Orr, R. The Relationship Between Acute: Chronic Workload Ratios and Injury Risk in Sports: A Systematic Review. Open Access J. Sports Med. 2020, 11, 51–75. [Google Scholar] [CrossRef] [PubMed] [Green Version]
- Mendez-Villanueva, A.; Buchheit, M.; Kuitunen, S.; Douglas, A.; Peltola, E.; Bourdon, P. Age-related differences in acceleration, maximum running speed, and repeated-sprint performance in young soccer players. J. Sports Sci. 2011, 29, 477–484. [Google Scholar] [CrossRef]
- Asadi, A.; Ramirez-Campillo, R.; Arazi, H.; de Villarreal, E.S. The effects of maturation on jumping ability and sprint adaptations to plyometric training in youth soccer players. J. Sports Sci. 2018, 36, 2405–2411. [Google Scholar] [CrossRef]
- Díez, A.; Lozano, D.; Arjol-Serrano, J.L.; Mainer-Pardos, E.; Castillo, D.; Torrontegui-Duarte, M.; Nobari, H.; Jaén-Carrillo, D.; Lampre, M. Influence of contextual factors on physical demands and technical-tactical actions regarding playing position in professional soccer players. BMC Sports Sci. Med. Rehabil. 2021, 13, 157. [Google Scholar] [CrossRef]
- Oliveira, R.; Martins, A.; Nobari, H.; Nalha, M.; Mendes, B.; Clemente, F.M.; Brito, J.P. In-season monotony, strain and acute/chronic workload of perceived exertion, global positioning system running based variables between player positions of a top elite soccer team. BMC Sports Sci. Med. Rehabil. 2021, 13, 126. [Google Scholar] [CrossRef]



| Variable | β0 | β1 | β2 | β3 | β4 | β5 | β6 | β7 | β8 | β9 | β10 | β11 | β12 |
|---|---|---|---|---|---|---|---|---|---|---|---|---|---|
| PHV (years) (β0) | 1 | ||||||||||||
| COD1 (s) (β1) | −0.21 | 1 | |||||||||||
| COD2 (s) (β2) | −0.17 | 0.93 ** | 1 | ||||||||||
| AWL1 (A.U.) (β3) | 0.03 | 0.35 | 0.47 * | 1 | |||||||||
| AWL2 (A.U.) (β4) | −0.06 | 0.19 | 0.13 | 0.01 | 1 | ||||||||
| CWL1 (A.U.) (β5) | 0.05 | −0.13 | −0.21 | 0.19 | 0.08 | 1 | |||||||
| CWL2 (A.U.) (β6) | 0.12 | 0.01 | −0.19 | −0.08 | −0.06 | −0.09 | 1 | ||||||
| ACWL1 (A.U.) (β7) | −0.03 | −0.35 | 0.42 | −0.59 ** | −0.07 | −0.53 ** | −0.07 | 1 | |||||
| ACWL2 (A.U.) (β8) | −0.06 | 0.22 | 0.03 | 0.02 | 0.70 ** | 0.13 | 0.47 ** | −0.10 | 1 | ||||
| TM1 (A.U.) (β9) | −0.08 | 0.53 * | 0.06 | 0.47 ** | −0.03 | 0.32 ** | 0.01 | −0.32 | 0.03 | 1 | |||
| TM2 (A.U.) (β10) | 0.06 | −0.09 | 0.01 | 0.09 | 0.04 | 0.15 | −0.08 | −0.10 | −0.03 | −0.08 | 1 | ||
| TS1 (A.U.) (β11) | −0.19 | 0.38 | 0.33 | 0.49 ** | 0.01 | 0.41 ** | −0.04 | −0.38 | 0.09 | 0.93 ** | −0.05 | 1 | |
| TS2 (A.U.) (β12) | −0.01 | 0.14 | −0.16 | 0.06 | 0.20 | −0.15 | 0.55 ** | −0.15 | 0.13 | 0.08 | 0.01 | 0.12 | 1 |
| Variable | Early-Season (Mean ± SD) | End-Season (Mean ± SD) | p | Confidence Interval (95%) | Effect Size |
|---|---|---|---|---|---|
| COD ability (%) | 2.92 ± 0.32 | 2.88 ± 0.33 | 0.01 * | 0.01, 0.06 | −0.16 (−0.25; −0.07) (Trivial) |
| AWL (A.U.) | 1442.5 ± 958.1 | 934.5 ± 157.7 | <0.01 * | 148.9, 342.0 | −0.65 (−0.86; −0.44) (Moderate) |
| CWL (A.U.) | 1429.1 ± 110.4 | 1315.7 ± 27.8 | <0.01 * | 162.7, 290.6 | −1.17 (−1.47; −0.87) (Moderate) |
| ACWL (A.U.) | 1.27 ± 0.05 | 0.64 ± 0.07 | 0.03 * | 0.01, 0.22 | −0.62 (−0.96; −0.28) (Moderate) |
| TM (A.U.) | 1.49 ± 0.72 | 0.94 ± 0.49 | <0.01 * | 0.19, 0.40 | −1.21 (−1.52; −0.91) (Large) |
| TS (A.U.) | 2592.1 ± 2270.4 | 1840.2 ± 1442.7 | 0.22 | −98.2, 413.36 | −0.25 (−0.46; −0.04) (Small) |
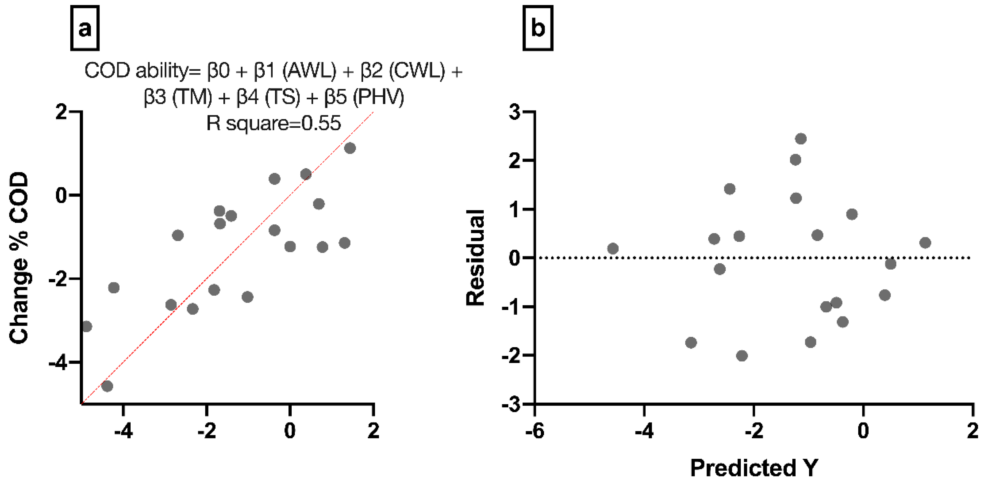
| Variables | Beta | Estimate | |t| | p Value | 95% CI for Estimated | Total Predict |
|---|---|---|---|---|---|---|
| COD ability (%) | β0 | 5.74 | 0.99 | 0.33 | −6.70, 18.2 | R2: 0.55 Estimated R2: 0.38 p: 0.04 AIC value: 32.44 |
| AWL (A.U.) | β1 | 0.01 | 2.19 | 0.04 * | 0.01, 0.01 | |
| CWL (A.U.) | β2 | −0.01 | 1.61 | 0.13 | −0.01, 0,01 | |
| TM (A.U.) | β3 | 0.07 | 0.18 | 0.85 | −0.76, 0.91 | |
| TS (A.U.) | β4 | −0.00 | 0.69 | 0.49 | −0.01, 0.01 | |
| PHV (years) | β5 | 0.72 | 1.32 | 0.21 | −0.46, 1.91 |
Publisher’s Note: MDPI stays neutral with regard to jurisdictional claims in published maps and institutional affiliations. |
© 2022 by the authors. Licensee MDPI, Basel, Switzerland. This article is an open access article distributed under the terms and conditions of the Creative Commons Attribution (CC BY) license (https://creativecommons.org/licenses/by/4.0/).
Share and Cite
Nobari, H.; Ramachandran, A.K.; Moreira, M.; Khani, S.; Khezri, D.; Mainer-Pardos, E. Relationship between Variations in the Accumulated Workload and the Change of Direction Ability in Elite Young Soccer Players. Sustainability 2022, 14, 5535. https://doi.org/10.3390/su14095535
Nobari H, Ramachandran AK, Moreira M, Khani S, Khezri D, Mainer-Pardos E. Relationship between Variations in the Accumulated Workload and the Change of Direction Ability in Elite Young Soccer Players. Sustainability. 2022; 14(9):5535. https://doi.org/10.3390/su14095535
Chicago/Turabian StyleNobari, Hadi, Akhilesh Kumar Ramachandran, Mário Moreira, Saeed Khani, Davood Khezri, and Elena Mainer-Pardos. 2022. "Relationship between Variations in the Accumulated Workload and the Change of Direction Ability in Elite Young Soccer Players" Sustainability 14, no. 9: 5535. https://doi.org/10.3390/su14095535
APA StyleNobari, H., Ramachandran, A. K., Moreira, M., Khani, S., Khezri, D., & Mainer-Pardos, E. (2022). Relationship between Variations in the Accumulated Workload and the Change of Direction Ability in Elite Young Soccer Players. Sustainability, 14(9), 5535. https://doi.org/10.3390/su14095535

