Analysis of Cooperation Behaviors and Crowd Dynamics during Pedestrian Evacuation with Group Existence
Abstract
1. Introduction
2. Model Description
2.1. Transition Probability
2.2. Behavioral Interaction Mechanism
2.3. Behavior Updating Rule
3. Simulation and Results
3.1. Effect of the Initial Distribution Pattern
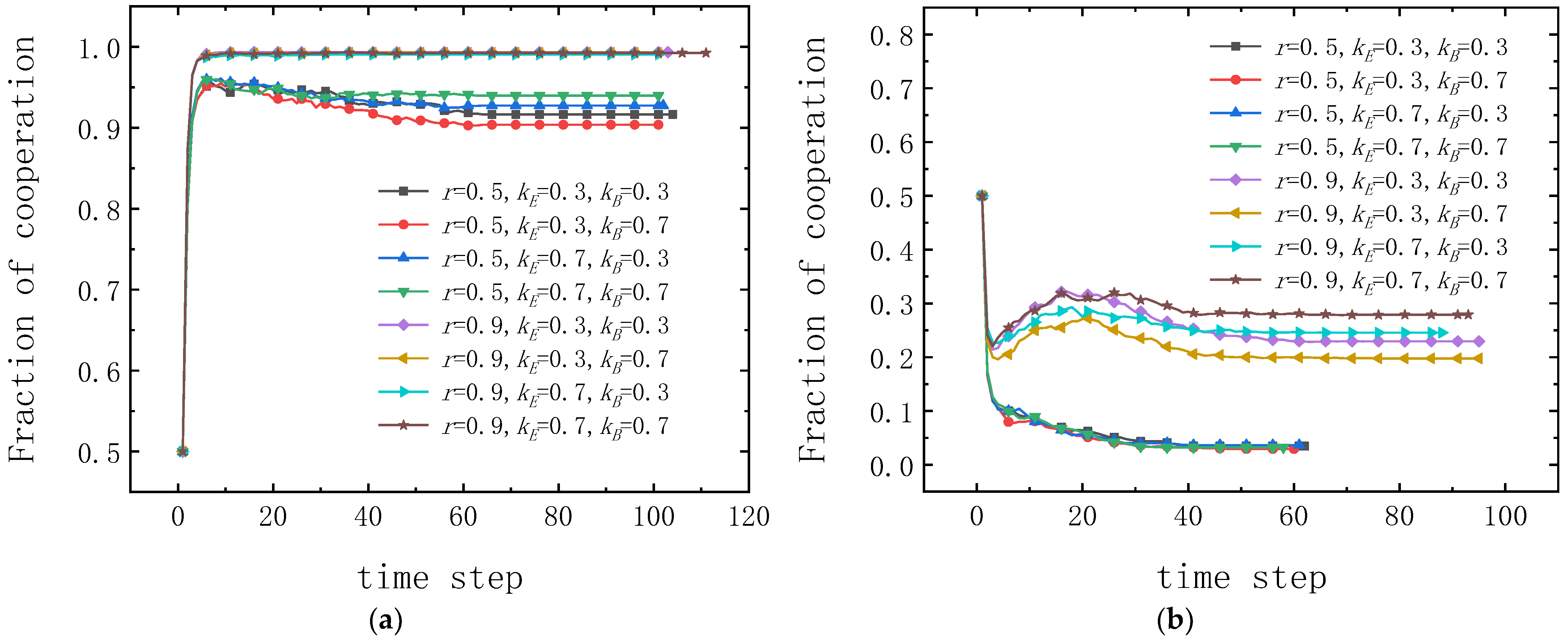
3.2. Influence of the Willingness to Cooperate
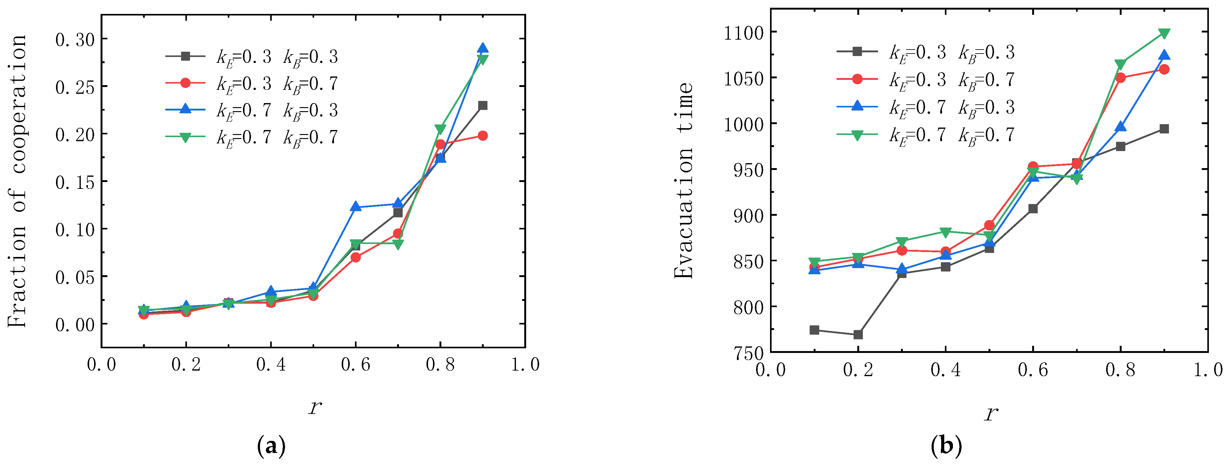
3.3. Influence of the Intensity of Interaction
3.4. Influence of the Number and Size of Groups
4. Conclusions
Author Contributions
Funding
Institutional Review Board Statement
Informed Consent Statement
Data Availability Statement
Conflicts of Interest
References
- Tesoriere, G.; Campisi, T.; Canale, A.; Severino, A.; Arena, F. Modelling and simulation of passenger flow distribution at terminal of Catania airport. In Proceedings of the International Conference of Computational Methods in Sciences and Engineering (ICCMSE), Thessaloniki, Greece, 14–18 March 2018; Volume 2040, p. 140006. [Google Scholar]
- Wu, W.; Li, J.; Yi, W.; Zheng, X. Modeling Crowd Evacuation via Behavioral Heterogeneity-Based Social Force Model. IEEE Trans. Intell. Transp. Syst. 2022, 1–11. [Google Scholar] [CrossRef]
- Fu, L.; Cao, S.; Shi, Y.; Chen, S.; Yang, P.; Fang, J. Walking behavior of pedestrian social groups on stairs: A field study. Saf. Sci. 2019, 117, 447–457. [Google Scholar] [CrossRef]
- Zhao, P.; Sun, L.; Yao, L.; Cui, L.; Zhang, K. Analysis of Impact of Group Walking Patterns on Pedestrian Evacuation. Transp. Res. Rec. 2017, 2604, 71–81. [Google Scholar] [CrossRef]
- Li, Y.; Lu, C.; Jin, J. Simulation of a pediatric hospital in evacuation considering groups. Simul. Model. Prac. Theory 2021, 107, 102150. [Google Scholar] [CrossRef]
- Gorrini, A.; Vizzari, G.; Bandini, S. Age and Group-driven Pedestrian Behaviour: From Observations to Simulations. Collect. Dyn. 2016, 1, 1–16. [Google Scholar] [CrossRef][Green Version]
- Crociani, L.; Gorrini, A.; Feliciani, C.; Vizzari, G.; Nishinari, K.; Bandini, S. Micro and macro pedestrian dynamics in counterflow: The impact of social group. In Proceedings of the International Conference on Traffic and Granular Flow(TGF), Washington, DC, USA, 19–22 July 2017; pp. 151–158. [Google Scholar]
- Do, T.; Haghani, M.; Sarvi, M. Group and Single Pedestrian Behavior in Crowd Dynamics. Transp. Res. Rec. J. Transp. Res. Board 2016, 2540, 13–19. [Google Scholar] [CrossRef]
- Zanlungo, F.; Yucel, Z.; Brscic, D.; Kanda, T.; Hagita, N. Intrinsic group behaviour: Dependence of pedestrian dyad dynamics on principal social and personal features. PLoS ONE 2017, 12, e0187253. [Google Scholar] [CrossRef] [PubMed]
- Wei, X.; Lv, W.; Song, W.; Li, X. Survey study and experimental investigation on the local behavior of pedestrian groups. Complexity 2015, 20, 87–97. [Google Scholar] [CrossRef]
- Haghani, M.; Sarvi, M.; Shahhoseini, Z.; Boltes, M. Dynamics of social groups’ decision-making in evacuations. Transp. Res. Part C Emerg. Technol. 2019, 104, 135–157. [Google Scholar] [CrossRef]
- von Krüchten, C.; Schadschneider, A. Empirical study on social groups in pedestrian evacuation dynamics. Phys. A Stat. Mech. Appl. 2017, 475, 129–141. [Google Scholar] [CrossRef]
- Xie, W.; Lee, E.W.M.; Cheng, Y.; Shi, M.; Cao, R.; Zhang, Y. Evacuation performance of individuals and social groups under different visibility conditions: Experiments and surveys. Int. J. Disaster Risk Reduct. 2020, 47, 101527. [Google Scholar] [CrossRef]
- Zhang, Y.; Xie, W.; Chen, S.; Li, T. Experimental Study on Descent Speed on Stairs of Individuals and Small Groups under Different Visibility Conditions. Fire Technol. 2018, 54, 781–796. [Google Scholar] [CrossRef]
- Ma, Y.; Li, L.; Zhang, H.; Chen, T. Experimental study on small group behavior and crowd dynamics in a tall office building evacuation. Phys. A Stat. Mech. Appl. 2017, 473, 488–500. [Google Scholar] [CrossRef]
- Choi, M.; Lee, S.; Hwang, S.; Park, M.; Lee, H.-S. Comparison of Emergency Response Abilities and Evacuation Performance Involving Vulnerable Occupants in Building Fire Situations. Sustainability 2019, 12, 87. [Google Scholar] [CrossRef]
- Chen, S.; Fu, L.; Fang, J.; Yang, P. The effect of obstacle layouts on pedestrian flow in corridors: An experimental study. Phys. A Stat. Mech. Appl. 2019, 534, 122333. [Google Scholar] [CrossRef]
- Liu, M.; Zhu, W.; Wang, Y.; Zheng, J. Modeling and Simulation of Exit Selection Behavior in Pedestrian Evacuation Based on Information Perception and Transmission. Sustainability 2021, 13, 13194. [Google Scholar] [CrossRef]
- Cornes, F.E.; Frank, G.A.; Dorso, C.O. Microscopic dynamics of the evacuation phenomena in the context of the Social Force Model. Phys. A Stat. Mech. Appl. 2021, 568, 125744. [Google Scholar] [CrossRef]
- Ma, Y.P.; Zhang, H. Simulation study on cooperation behaviors and crowd dynamics in pedestrian evacuation*. Chin. Phys. B 2020, 29, 038901. [Google Scholar] [CrossRef]
- Guan, J.; Wang, K. Cooperative evolution in pedestrian room evacuation considering different individual behaviors. Appl. Math. Comput. 2020, 369, 124865. [Google Scholar] [CrossRef]
- Wang, W.L.; Wan, F.F.; Lo, S.M. Game theory model of exit selection in pedestrian evacuation considering visual range and choice firmness*. Chin. Phys. B 2020, 29, 084502. [Google Scholar] [CrossRef]
- Chen, Y.Z.; Li, M.; Jiang, R.; Hu, M.B. Evacuation flow of pedestrians considering compassion effect. Chin. Phys. B 2018, 27, 088901. [Google Scholar] [CrossRef]
- Huang, K.; Zheng, X.; Cheng, Y.; Yang, Y. Behavior-based cellular automaton model for pedestrian dynamics. Appl. Math. Comput. 2017, 292, 417–424. [Google Scholar] [CrossRef]
- Shi, D.; Zhang, W.; Wang, B. Modeling pedestrian evacuation by means of game theory. J. Stat. Mech. Theory Exp. 2017, 2017, 043407. [Google Scholar] [CrossRef]
- Bouzat, S.; Kuperman, M.N. Game theory in models of pedestrian room evacuation. Phys. Rev. E 2014, 89, 032806. [Google Scholar] [CrossRef]
- Zheng, X.; Cheng, Y. Conflict game in evacuation process: A study combining cellular automata model. Phys. A Stat. Mech. Appl. 2011, 390, 1042–1050. [Google Scholar] [CrossRef]
- Cheng, Y.; Zheng, X. Emergence of cooperation during an emergency evacuation. Appl. Math. Comput. 2018, 320, 485–494. [Google Scholar] [CrossRef]
- Chen, W.; Wang, X.; Quan, J. Evolutionary dynamics of cooperation in multi-game populations. Phys. Lett. A 2021, 426, 127882. [Google Scholar] [CrossRef]
- Huang, K.; Cheng, Y.; Zheng, X.; Yang, Y. Cooperative behavior evolution of small groups on interconnected networks. Chaos Solitons Fractals 2015, 80, 90–95. [Google Scholar] [CrossRef]

















| Cooperation (C) | Defection (D) | |
|---|---|---|
| Cooperation (C) | P_R, P_R | P_S, P_T |
| Defection (D) | P_T, P_S | P_P, P_P |
| Cooperation (C) | Defection (D) | |
|---|---|---|
| Cooperation (C) | H_R, H_R | H_S, H_T |
| Defection (D) | H_T, H_S | H_P, H_P |
| Parameter | Description | Value |
|---|---|---|
| P_R | Payoffs of out-group pedestrians when they are both cooperators | 1 |
| P_S | Payoffs of cooperators when the interacting member of different groups is a defector | 0 |
| P_T | Payoffs of defectors when the interacting member of different groups is a cooperator | 1.5 |
| P_P | Payoffs of out-group pedestrians when they are both defectors | 0 |
| H_R | Payoffs of in-group pedestrians when they are both cooperators | 1 + r |
| H_S | Payoffs of cooperators when the interacting member of the same group is a defector | 0.5 |
| H_T | Payoffs of defectors when the interacting member of the same group is a cooperator | 1 |
| H_P | Payoffs of in-group pedestrians when they are both defectors | 0 |
Publisher’s Note: MDPI stays neutral with regard to jurisdictional claims in published maps and institutional affiliations. |
© 2022 by the authors. Licensee MDPI, Basel, Switzerland. This article is an open access article distributed under the terms and conditions of the Creative Commons Attribution (CC BY) license (https://creativecommons.org/licenses/by/4.0/).
Share and Cite
Ma, Y.; Liu, X.; Huo, F.; Li, H. Analysis of Cooperation Behaviors and Crowd Dynamics during Pedestrian Evacuation with Group Existence. Sustainability 2022, 14, 5278. https://doi.org/10.3390/su14095278
Ma Y, Liu X, Huo F, Li H. Analysis of Cooperation Behaviors and Crowd Dynamics during Pedestrian Evacuation with Group Existence. Sustainability. 2022; 14(9):5278. https://doi.org/10.3390/su14095278
Chicago/Turabian StyleMa, Yaping, Xiaoying Liu, Feizhou Huo, and Hui Li. 2022. "Analysis of Cooperation Behaviors and Crowd Dynamics during Pedestrian Evacuation with Group Existence" Sustainability 14, no. 9: 5278. https://doi.org/10.3390/su14095278
APA StyleMa, Y., Liu, X., Huo, F., & Li, H. (2022). Analysis of Cooperation Behaviors and Crowd Dynamics during Pedestrian Evacuation with Group Existence. Sustainability, 14(9), 5278. https://doi.org/10.3390/su14095278

