You are currently on the new version of our website. Access the old version .
SustainabilitySustainability
  • Article
  • Open Access

26 April 2022

Impact of Epidemics on Enterprise Innovation: An Analysis of COVID-19 and SARS

,
,
and
1
School of Finance, Capital University of Economics and Business, Beijing 100070, China
2
School of International Trade and Economics, University of International Business and Economics, Beijing 100029, China
*
Author to whom correspondence should be addressed.
This article belongs to the Special Issue Sustainable Corporate Finance Research

Abstract

This study analyzes the impact of SARS and COVID-19, the two most severe epidemics to occur in China since the 21st century, on corporate innovation, in order to find a path for sustained innovation growth under the epidemic. For COVID-19, the analysis used data from China’s A-share-listed companies from 2019 to 2020; a longer period (1999–2006) and a wider sample of Chinese industrial enterprises were used for the SARS epidemic. The empirical model was constructed using the difference-in-differences method. Both COVID-19 and SARS were found to have significantly reduced enterprise innovation. However, the effect of SARS disappeared after two years. For COVID-19, information asymmetry, financing constraints, and economic policy uncertainty moderated the epidemic’s effect on innovation. The results show that financing constraints and economic policy uncertainty reduce the epidemic’s negative impact. However, while most previous studies have found that an epidemic reduces the information asymmetry between investors and enterprises in the short term, thus raising enterprise innovation, we found that information asymmetry aggravated the epidemic’s negative impact. These findings can be applied to alleviate the current epidemic’s negative impact as well as improve enterprise innovation thereafter.

1. Introduction

Public health events, natural disasters, disastrous accidents, and social security incidents are classified as emergent public events [1]. However, compared with other emergent public events, COVID-19 and similar major public health events pose particular challenges. First, they are public because the pathogens are airborne and can spread from person to person. Second, while general emergent public events are unpredictable, their shocks are often non-recurrent, and their implications and damages can be assessed shortly after occurrence. By contrast, major public health events such as COVID-19 are unpredictable and indeterminable due to their specific patterns of development and transmission. The COVID-19 outbreak that occurred at the beginning of 2020 had dramatic impacts on the global community and economy, leading to shutdowns of business operations and disruption in global industrial chains. According to the Global Innovation Index (GII) report, although developed economies have a high overall strength in innovation, the growth in Patent Cooperation Treaty (PCT) applications is slowing. If the contribution of China and the United States to the number of patents is excluded, the total amount of global enterprise innovation did not increase after COVID-19. Enterprises are an important carrier of innovation, so it is very important to evaluate and test the impact of the epidemic on enterprise innovation. This study examined the relationship between epidemic shocks and enterprise innovation by collecting data on the two major epidemics with the most profound influence on China during the 21st century—Severe Acute Respiratory Syndrome (SARS) and COVID-19. The findings aim to contribute to the theoretical literature while providing some practical insights.
In November 2002, the first case of atypical pneumonia was found in Guangdong, China. In January 2003, SARS was officially declared an epidemic. By the time the epidemic ended in June 2003, its impact on the economy was noticeable. During the SARS period, the GDP growth rate slowed significantly, dropping by about 2 percentage points. Beijing and Guangdong, which were hit the hardest by the epidemic, saw their growth rates drop by 3 and 1 percentage points, respectively. Nevertheless, in 2003, in a broader period of China’s rapid economic growth, its economic resilience was better than it is in the current period. Under the conditions of the COVID-19 pandemic, many countries, including China, have faced a more complex economic situation and more intense industrial competition; developing countries need to upgrade their industries, and developed countries need to return to manufacturing. Therefore, the economic effects were expected to be more profound. According to the National Bureau of Statistics of China, China was the only major economy in the world to achieve positive growth in 2020. Nevertheless, the growth in its economy and fixed investments dropped significantly to only 2.3% and 2.9%, respectively.
Generally, the two epidemics exerted negative shocks in the following three dimensions: (1) significant and abrupt drops in total demand and output; (2) considerable negative effects on the three driving forces of economic growth; and (3) employment shocks, changes in people’s behavioral patterns, and government actions, such as shutting down businesses and schools. However, there are also noticeable differences between the two epidemics. The first difference relates to China’s economic development stage and economic structure in the two periods. During the SARS period, the focus of China’s economy was on growth, while COVID-19 occurred as China was absorbed in economic restructuring. Second, they occurred in different contexts of innovation. During the SARS period, enterprise innovation was at an embryonic stage, with more significant marginal increments and negligible marginal resistance. By contrast, during the COVID-19 period, China’s innovation in many fields held a leading position in the world. Such a status implies more challenges for technological innovation and an unfavorable geopolitical environment. In summary, while the two epidemics are comparable to a certain extent in economic terms, their differences are also considerable.
In addition, there are some differences between the two outbreaks in epidemic prevention and response. First, there was no lockdown during the SARS epidemic, while Wuhan was locked down for 76 days due to COVID-19. Second, the government responded to the COVID-19 situation one month faster than it did to the SARS situation. Third, big data and information technology were more widely used during the COVID-19 pandemic, making epidemic prevention measures more accurate. Finally, during the COVID-19 pandemic, affected areas reopened more quickly and quarantine measures were smaller and implemented more accurately and with greater precision compared with the SARS epidemic.
While the epidemics’ adverse socio-economic impacts are obvious, their effects on enterprise innovation are unclear due to insufficient empirical evidence. Notably, according to the 2021 Global Innovation Index report (GII), global technology publications grew by 7.6% in 2021, 2.2 percentage points above the long-term level (2010–2020 growth rate). Venture capital deals grew by 5.8%, 2.2 percentage points above their long-term level. Furthermore, the epidemic has promoted innovation in industries such as medicine and internet communication equipment manufacturing.
Meanwhile, the government’s interventions in dealing with the shock may also promote enterprise innovation. The technological innovation boom in Germany and Japan after World War II highlighted the possibility that a rebound can follow adverse shocks to innovation. Therefore, the impact of the epidemic on enterprise innovation cannot be simply judged as negative, as it requires further exploration. While this study expands the extant literature on emergent public events and major public health events, it also aimed to determine whether the “theory that the epidemic opens up numerous opportunities” is valid. Extant research on COVID-19 and SARS is primarily qualitative and evaluative. With only a few studies that examine the relationship between public health events and business performance, there is no established framework for empirical studies. Similarly, theoretical studies are also insufficient. Most of them are qualitative and only address the relationships between epidemic events and the labor force, corporate governance, and information disclosure. There is insufficient direct evidence about the effects of public health events on business investment and financing activities, much less enterprise innovation [2,3,4]. More broadly, for emergent public events, previous studies focused on disasters, including hurricanes and earthquakes. Although these events are unpredictable, evaluation and reconstruction can be completed in a relatively short period of time. Only a few studies have addressed the shocks of emergent public events such as epidemics, whose occurrence and impact are uncertain.
In summary, this study’s overall theoretical and practical contributions involve expanding the empirical research on extraordinary major emergencies and public health events. The results show that the studied epidemics significantly lowered the level of enterprise innovation. Remarkably, however, an examination of the whole process of the SARS epidemic indicates that it did not alter the long-term trend of enterprise innovation. Further research on COVID-19 finds that information asymmetry, financing constraints, and economic policy uncertainty moderate (rather than mediate) the epidemic’s effects on enterprise innovation. Information asymmetry aggravated the negative shock of the epidemic on enterprise innovation, while financing constraints and economic policy uncertainty mitigated the negative shock. Furthermore, this study also finds several abnormal and positive factors. For COVID-19, the data show that information asymmetry, financing constraints, and economic policy uncertainty positively affected enterprise innovation. By contrast, studies of non-epidemic periods generally conclude that these three factors lower the level of enterprise innovation, implying the particularity of the epidemics. With several positive factors, an epidemic enhances local information disclosure, thereby reducing the information asymmetry between firms and investors in the short term.

2. Theoretical Analysis and Hypotheses

2.1. Epidemic Shocks and Enterprise Innovation

Epidemics affect daily life and production activities. Studies have found that during an epidemic period, the labor participation rate, labor productivity, total wage income, and human capital decrease significantly [5,6], while the redundancy rate, the employee absenteeism rate, and operating costs increase significantly [7,8]. In addition, the International Labour Organization has suggested that acquired immune deficiency syndrome (AIDS) directly reduces the average working life of employees and increases the non-business expenses of enterprises, such as medical care, funerals [9], and others. Studies conducted on COVID-19’s global effects have found that contracted liquidity, declines in demand, increased uncertainty, and supply chain disruptions were enterprises’ major concerns in relation to the pandemic [10,11].
Some studies provide evidence that certain epidemics have a negative impact on enterprise innovation. In this study, we introduced the cost of epidemic prevention into the theoretical analysis to ascertain how epidemic shocks impact enterprise innovation. A shock changes the behaviors of both the market and consumers. Owing to timely government action, the reality after the COVID-19 outbreak was that the production order sequence was not significantly affected; however, consumers’ consumption preferences were.
Consequently, we started with the typical consumer’s subutility function of commodity i. Based on Mayer et al. [12] and Aghion et al. [13], we analyzed the impact of an epidemic shock on enterprise innovation by solving the equilibrium of innovation input and output. Supposing the number of consumers in a closed economy is L and consumer income is normalized to 1, the number of firms is M, and each firm produces the same type of product, although each is unique. This implies consumers’ preference for different products of the same type. The consumer utility function is
u ( q i ) = α q i β q i 2 2 ,
where 0 < α < 1 , 0 < β < 1 , and qi represents the output of product i. Meanwhile, consumers’ utility maximization decisions and constraint conditions are expressed as follows:
max q i 0 0 M u ( q i ) di ,
s . t . 0 M p i q i di = 1
We constructed a Lagrange function to obtain consumers’ inverse demand function:
p ( q i ) =   u ( q i ) λ = α β q i λ
where λ = 0 M   u ( q i ) q i di > 0 is the Lagrange multiplier, which is equal to the marginal utility of income. Considering a firm without fixed costs in the production process, whose marginal cost is c, the firm chooses the optimal output per consumer q(c) to maximize its profit π = L [ p ( q ) q c q ] . The first-order condition yields
d π d q = p ( q ) q + p ( q ) c = 0 ,
q ( c ) = α c λ 2 β .
According to Equation (6), as long as c < λ , q ( c ) > 0 , the firm will produce. Therefore, the equilibrium output is
π ( c ) = p ( c ) q ( c ) c q ( c ) = ( α c λ ) 2 4 β λ
An innovative firm reduces its marginal cost through innovation. Therefore, its marginal cost is
C = C ˜ ε k
where C ˜ represents its benchmark marginal cost, k denotes its innovation index (its investment in innovation), ε > 0 is the parameter, and c ˜ > ε k . An innovative firm incurs the innovation cost:
c k = 1 2 c I k 2 ,
where c I is the innovation cost coefficient. Therefore, after the introduction of the innovation factor, the new profit function under the optimal innovation input k is
( c ˜ , k ) = L π ( c ˜ ε k ) c k .
The first-order condition of k, the level of innovation investment, is
ε Q ( c ˜ , k ) = c I k
Meanwhile, the first-order condition of output q is
2 β q λ = c ˜ k ε .
Therefore,
Q ( c ˜ , k ) L q ( c ˜ ε k ) = L [ α ( c ˜ ε k ) λ ] / 2 β
k 0 = ε L ( α c ˜ λ ) / ( 2 β c I ε 2 L λ ) .
In an epidemic, the direct costs incurred by the firm increase, including the costs of monitoring employees’ health and disinfecting finished products. These costs increase the firm’s marginal cost. Let f k denote the crowding-out effect of the cost of epidemic prevention. From Equation (8), the firm incurs an increased marginal cost of production due to the crowding-out effect. In other words, the cost of epidemic prevention increases the marginal cost c incurred by the firm in its production process. Therefore, we propose
c ( f k ) = c ˜ ε k + Δ c ( f k ) ,
where Δ c ( f k ) is the increasing function of the cost of epidemic prevention f k . Accordingly, after the introduction of f k , the profit function is revised to
( c ˜ , k ) = L π ( c ˜ ε k + Δ c ( f k ) ) c k
Taking the partial derivative with respect to k and q and the partial derivative with respect to k first, the result is a constant:
L q ε = c I k
Taking the partial derivative with respect to q,
2 β q λ = c ˜ k ε + Δ c ( f k )
Therefore,
Q ( c ˜ , k , Δ c ( f k ) ) L q ( c ˜ ε k + Δ c ( f k ) ) = L [ α ( c ˜ ε k + Δ c ( f k ) ) λ ] / 2 β
k 1 = ε L ( α c ˜ λ Δ c ( f k ) λ ) / ( 2 β c I ε 2 L λ ) .
According to Equation (19), we can calculate the partial derivative of k 1 with respect to f k , and obtain
k 1 f k = ε L λ 2 β c I ε 2 L λ · d Δ c d f k ,
since Δ c ( f k ) is an increasing function of f k , d Δ c d f k > 0 . Then, the key factor is to determine whether the denominator 2 β c I ε 2 L λ is positive or negative. Theoretically, when deciding on its innovation investment, a firm increases investment as long as marginal income is higher than the marginal cost of investment. In practice, however, even after satisfying investment conditions, continuing to innovate and invest indefinitely is not economically viable. Therefore, we assume that the slope of the marginal cost of investment is greater than the slope of marginal income, that is,
c I > ε Q k = ε 2 L λ 2 β .
Therefore, k 1 f k < 0 , implying that an increase in the cost of epidemic prevention leads to a decline in the firm’s innovation capacity; in other words, the epidemic reduces enterprise innovation. Therefore, we propose:
Hypothesis 1a (H1a).
Epidemic shocks reduce enterprise innovation.
On the other hand, the emerging “social innovation” during the COVID-19 period has made some scholars optimistic about an epidemic shock. Gupta et al. [14] suggest that the shift from customer-oriented innovation to social innovation has offered firms the opportunity to enhance their innovative capabilities by integrating traditional innovation and social innovation. In a case study of 3M, Alibaba, Lai, and Meng [15] argue that COVID-19 has provided a good opportunity for such a shift. In fact, during the epidemic, numerous examples of social innovation could be found, including unmanned retail and drone delivery. These high-tech services enable traditional businesses to integrate online and offline operations. Far-reaching social innovations accelerate the substitution of new ways of life for old ones, such as delivering takeaway food via drones, which in turn drives enterprise innovation to respond to the resulting external challenges. Meanwhile, the controversial intelligentization of public health management proceeds meaningfully. People are becoming accustomed to digital epidemic prevention management. Big data, communications, and networks are employed to ascertain everyone’s risk of exposure. For example, with big data, it is possible to advise an individual to undergo nucleic acid testing if a suspected COVID-19 case is identified among travelers on the same public transit system. This enhances the public sector’s management efficiency and generates positive externalities for other sectors. With the “common interface” of information technology innovation, public administrative innovation has benefited both the public and the private sectors by launching service innovations, administrative and organizational structure innovations, policy innovations, and systematic innovations [16,17]. In summary, the positive externalities of social innovation and some innovative sectors play a positive role under COVID-19. Therefore, we propose the following hypothesis:
Hypothesis 1b (H1b).
Epidemic shocks promote enterprise innovation.

2.2. Analysis of Mechanisms

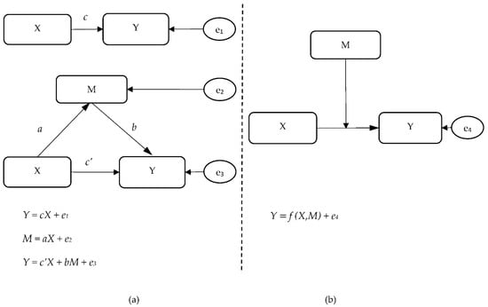
In this study, we regard information asymmetry, financing constraints, and economic policy uncertainty as the paths through which epidemics affect enterprise innovation. These choices are reasonable for two main reasons. First, the extant literature has identified numerous factors that affect enterprise innovation. Far too many factors affect enterprise innovation for all to be considered in this study. However, they can be covered satisfactorily by three umbrella factors: information asymmetry, financing constraints, and economic policy uncertainty. Figure 1 and Figure 2 presents the factors and illustrates the connections between them. Second, the three factors are also representative of business operations, as they cover the three dimensions of information flow, capital flow, and macro policies.
Figure 1. Factors identified by extant research and their relationships with the three potential mechanisms. Note: Far too many factors affect enterprise innovation for all to be considered in this study. However, they can be covered satisfactorily by three umbrella factors: information asymmetry, financing constraints, and economic policy uncertainty.
Figure 2. Mediating and moderating effects can be seen as two different forms of mechanism analysis, and whether the mechanism factor M acts as a mediator or moderator is the focus of the following discussion. In particular, (a) shows the logical relationship between variables where M acts as a mediator and (b) shows the logical relationship between variables where M acts as a moderator. In addition, M is based on the logic of the literature shown in Figure 1 to filter out three elements, which are information asymmetry, financing constraints, and economic policy uncertainty. X is the treatment effect of the epidemic shock, and Y is enterprise innovation.

2.2.1. Epidemic Shocks, Information Asymmetry, and Enterprise Innovation

We are unaware of any research that has directly examined the relationships between epidemic shocks and information asymmetry. However, the strength of both external and internal relationships can effectively promote improvement in enterprise innovation capabilities [18,19]. During an epidemic, cooperation and networking between innovative agents become less active because information transmission is hindered. In other words, an epidemic could affect information exchange and thus weaken external relationships, consequently curbing enterprise innovation. In addition to external exchanges, the internal relations of enterprises may deteriorate during an epidemic. Exploratory and exploitative innovation are two types of technological innovation [20]. Of the two, a strong relationship has a more obvious effect on exploitative innovation because a strong relationship in a network of firms implies a high degree of trust, which is conducive to disseminating complex knowledge [21]. A gap in the relationship between research and development (R&D) partners leads to partnership matching and adjustment [22], which in turn negatively affects enterprise innovation [23]. The information asymmetry caused by an epidemic may destroy partnerships, cause gaps in relationships between partners, and lead to partnership restructurings. An epidemic is also detrimental to enterprise innovation due to the implicit costs of adapting to new partnerships.
For the technology alliances within which a cooperative relationship has been established, studies show that technology spillovers have a positive impact on group innovation performance [24]. As agglomeration is a form of “technology alliance”, such an organizational structure is likely to increase the total patent output of the companies in the agglomeration [25]. However, an epidemic shock can reduce the efficiency of the information exchange within the alliance, thereby weakening the technology spillover effects. The supplier network in an industrial chain is an important source of firms’ external knowledge [26], but an epidemic shock may also affect the integrity of an innovative industrial chain. It can be inferred that supplier shutdown during an epidemic indirectly reduces the knowledge supply.
Trust is one means to reduce information asymmetry and boost cooperation, and it can increase firms’ willingness to innovate and their ability to acquire new knowledge [27]. Meanwhile, trust, as an informal system, can supplement formal institutions and stimulate innovation [28]. Nevertheless, enforced isolation due to an epidemic can weaken the trust between agents. Another way that corporate integrity culture influences innovation is through internal control [29]. Internal control and integrity culture can improve firms’ operating efficiency, productivity, and innovation efficiency. In an epidemic, isolation leads to poor internal information transmission, relaxed internal control, reduced internal execution, and a negative impact on enterprise innovation. Whether it is a relationship network, cooperative relationship, or information exchange within a firm, a firm’s information asymmetry is an overarching concept, just like the ability of stock prices to reflect information from all aspects of the market. Therefore, we propose:
Hypothesis 2 (H2).
Epidemic shocks increase a firm’s information asymmetry, which is a mediator that affects enterprise innovation.

2.2.2. Epidemic Shocks, Financing Constraints, and Enterprise Innovation

Because studies have addressed the direct effects of epidemic shocks on financing constraints, we expanded our scope to examine how such shocks affect funding constraints through indirect factors. Generally, it is not the epidemic’s disease itself that aggravates firms’ financing constraints. Rather, the changes in business operations and investing and financing behaviors are more relevant. A high concentration of suppliers makes it easier for firms to access bank loans by reducing transaction costs, production costs, and supply chain complexity [30]. However, firm shutdowns in an epidemic reduce the degree of supplier concentration. Leveraging peer effects, a firm can learn from larger peer firms how to integrate production and financing [31], which can ease its financing constraints [32]. Regional fragmentation caused by an epidemic quarantine is likely to limit the realization of peer effects, thereby increasing financing constraints.
Financial resilience helps firms cope with an uncertain environment and ease external financing constraints [33]. During an epidemic, firms’ financial resilience declines as the cost of epidemic prevention increases and orders decrease. Similar to the path through which an epidemic affects information asymmetry, an epidemic may also weaken a firm’s internal control, thus aggravating its financing constraints. Good internal control can not only directly alleviate financing constraints but can also restrain the self-interested behaviors of managers and shareholders. By contrast, strengthening equity incentives can alleviate firms’ financing constraints [34].
According to social network theory, an epidemic may weaken the relationships between market players. Financial linkages are the types or aspects of relationships that bear the brunt, and financial linkages, dominated by bank–firm linkages, which in turn significantly alleviate financing constraints [35,36]. Informal associations affect firms’ reputations and credit constraints. Executives who participate in informal associations are often more capable of choosing financing channels with lower costs for their firms [37,38]. As one form of informal relationships, the social connections of interlocking directorates reduce firms’ financing costs through reputation guarantees and resource linkages [39]. Political associations have information and resource effects, which can help reduce information asymmetry in the credit market, increase a firm’s ability to obtain resources, and alleviate its credit difficulties [19]. The linkages that can alleviate financing constraints may be weakened due to isolation or departures during an epidemic.
An epidemic could also hamper international capital flows, because of either reasonable precautions or excessive xenophobic reactions. Foreign ownership can significantly ease the financing constraints of emerging strategic industries [40]. With fewer foreign investments and financing entities, domestic financial institutions are less likely to reform under external pressure. Without fierce competition in the domestic financial market, firms’ financing costs increase [41,42]. During an epidemic, the isolation policies enforced by other countries reduce information transmission channels globally. Facing a reduction in “soft information”, foreign investors become cautious and need long-term tracking to weaken the investment supervision mechanism. This trend may aggravate firms’ financing constraints. An epidemic may also slow foreign direct investment, which can alleviate firms’ financing constraints, as such investment seeks regulation avoidance and policy incentives [43]. A quasi-natural experiment in implementing the “One Belt, One Road” policies shows that enterprises directly affected by the policy have significantly reduced financing constraints after the policy’s implementation. The financing constraints of those who do not directly adapt the initiative but are affected by the spillover effects are also eased [44,45,46]). This spillover effect was also noticed after the Shanghai–Hong Kong Stock Connect was launched. That is, as the financing constraints of large firms are eased, the financing constraints of small firms also improve [47]. In addition to capital flows, trade fragmentation aggravates firms’ financing constraints; for instance, owing to the shock of trade protectionism, financing constraints in several industries have increased significantly [48,49]. An epidemic indirectly leads to the fragmentation of international trade and a rise in xenophobia, as countries attempt to protect their national economies. Such measures negatively affect both inbound and outbound foreign investment. In summary, firms’ financing constraints can reflect factors that may be impacted by the epidemic. Therefore, we propose:
Hypothesis 3 (H3).
Epidemic shocks increase firms’ financing constraints, acting as a mediator that affects enterprise innovation.

2.2.3. Epidemic Shocks, Economic Policy Uncertainty, and Enterprise Innovation

Extant research has yielded conflicting results in terms of how economic policy uncertainty affects enterprise innovation. A few researchers argue that frequent adjustments in economic policies can motivate firms and enhance market selection effects, thereby increasing firms’ innovation investment and output [50,51]. A negative market shock enhances the role of market selection. As long as high-quality firms are better positioned and more motivated to invest in R&D than poor performers, economic policy uncertainty can strengthen market selection by rejecting firms that are reluctant to innovate. As survivors are responsive to policy changes and negative shocks, they further invest in innovation due to the substitution effects of social resources.
However, most researchers suggest that economic policy uncertainty has negative effects. Evidence shows that many aspects of macroeconomic activities, such as investment, employment, and productivity, are negatively affected by economic policy uncertainty [52]. At the micro or firm level, characteristic factors such as cost inhibition and irreversible investment ratios are also adversely affected by economic policy uncertainty [53]. Economic policy uncertainty also proves to be additive. “Additive effects” refer to the situation in which we think that if one thing is good for us and another thing is good for us, then it is possible that a third thing, which is otherwise detrimental to us, will turn positive and vice versa. Effects that turn negative over time (from the short term to long term) are then “additive effects”, suggesting that things are developing and changing. Although it can promote innovation through short-term stimuli, it inhibits enterprise innovation over time [54]. Therefore, regardless of the direction of the influence, economic policy uncertainty is an important factor that affects enterprise innovation in non-epidemic periods. During an epidemic, countries generally tend to adopt loose macroeconomic policies. However, in practice, established economic policies are often adjusted as countries trade off between immediate easing and long-term development. On the one hand, an epidemic shock requires that governments adopt accommodative economic policies to provide liquidity. On the other hand, governments need to guard against issuing excess liquidity after an epidemic. Moreover, uncertainties such as quarantine measures and vaccine R&D can also alter governments’ economic policies from time to time. Therefore, we propose:
Hypothesis 4 (H4).
Epidemic shocks increase economic policy uncertainty, which is a mediator that affects enterprise innovation.
Unlike hurricanes, earthquakes, industrial accidents, and other immediate public emergencies, an epidemic progresses steadily with lagging economic and social effects. In China, the successful containment of COVID-19 can be attributed to its experience handling SARS and the application of advanced technologies in public administration. Except for Hubei, most of the subsequent outbreaks have been tackled only through isolation in a community or village. Online business models such as “net meetings” and “live streaming sales” have effectively cushioned the epidemic shock. The factors discussed above may not be mediators between epidemic shocks and enterprise innovation. Nevertheless, since the impact of these factors on enterprise innovation may have changed during an epidemic, they may alleviate the epidemic’s impact. Hence,
Hypothesis 5 (H5).
Information asymmetry, financing constraints, and economic policy uncertainty are not directly affected by the epidemic, but are moderators of the epidemic shock.

3. Research Design

3.1. Variable Construction

The dependent variable is enterprise innovation. Following extant research [55,56], it was measured as the ratio of R&D expenditure to total assets. On 30 December 2019, the Wuhan Municipal Health Commission issued an emergency notice, declaring that some local medical institutions were admitting pneumonia patients with unknown causes. Therefore, the impact time was set as 30 December 2019, and the treatment period was set after this point (post = 1). In the actual empirical study, dates after 31 December 2019, were set as days after the event. This adjustment was necessary because one day’s effects are limited in comparison with a quarter (the fourth quarter of 2019), which otherwise would be classified as the period after the epidemic. The trade-off justifies the decision to regard 31 December 2019, as the event time.
Since COVID-19 has spread nationally, it was impractical to divide the sample into an infected (treatment) group and unaffected (control) group. Therefore, in this section, we used Qian’s [57] method and built a model using the continuous difference-in-differences (DID) method. That is, an interaction term was constructed by multiplying the log of cases (treat) and post to capture the treatment effect of the epidemic. Based on studies of listed companies, this research used company characteristics and financial indicators as control variables (Table 1). The control variables include total assets (size), financial leverage (debt), the cash flow ratio (cash), beginning assets (begin size), capital expenditure (capital), years on the market (age), institutional investor ownership (institutional), the sales growth rate (salesgrowth), the ratio of independent directors (independent), and return on total assets (roa). The COVID-19 outbreak occurred only a year and a half ago. To overcome the problems of a short data period and small data volume, we made the following improvements. First, we used quarterly data instead of annual data and obtained more than 20,000 observations from seven data periods. Second, we performed further research using continuous annual data over the course of the SARS epidemic, which is discussed in Section 5. Finally, we conducted several robustness tests by replacing variables and regrouping.
Table 1. Variable construction.
The choice of the point in time for the DID analysis is crucial. Some studies set the time of the epidemic shock event as 23 January 2020, the day Wuhan was locked down. However, in corporate financial research, it is more reasonable to choose 30 December 2019 (this research actually uses 31 December 2019; see below). When the Wuhan Municipal Health Commission issued the emergency notice on 30 December 2019, based on the SARS experience, the public was expected to experience a period of panic. Moreover, information about the epidemic’s progress was frequently disclosed after 30 December 2019 (We have compiled a detailed timeline of relevant developments; in order to save space, this paper does not present this, and you can contact us to get this timeline). For the period from 30 December 2019, to 23 January 2020, it is counterfactual to assume that the epidemic had no social or economic effects. In particular, the social impact of deaths, confirmed human-to-human transmission, and involvement of the World Health Organization (WHO) cannot be ignored. Therefore, 30 December 2019, is a more reasonable date than 23 January 2020.

3.2. Model, Sample Selection, and Data Sources

Based on extant theories and empirical studies as well as the previous theoretical analysis of the effects of an epidemic shock on enterprise innovation, we built a continuous DID model (Equation (23)) with two-way fixed effects to examine the relationships between the epidemic and enterprise innovation using quarterly panel data on the sample firms from 2019 to 2020:
i n t a n g i b l e i , t = β 0 + β 1 d i d * + β 2 t r e a t + β 3 p o s t + j = 4 n β j c o n t r o l i , t + μ i + σ t + ε i , t
where did* represents the continuous did (the variable did* in the following tables is constructed the same way) and treat is the log of the number of cases. The starting point of the event shock is 30 December 2019 (31 December 2019, is actually used in the regression), where post = 0 indicates 31 December 2019, and the days before, while post = 1 means after 31 December 2019.
In this model, the main factor on which this study focused is β1, which measures the epidemic’s impact on enterprise innovation. In addition, controli,t is the vector of the other control variables, μi controls for individual fixed effects at the firm level, σt controls for the model’s time fixed effects, and εi,t is the model’s error term. The data source is quarterly data on A-share-listed companies’ financial reports from all of 2019 to the third quarter of 2020, excluding ST, ST*, financial, and real estate companies. A total of 3104 listed companies with complete and continuous data disclosure were selected, and the sample firms are representative.
The research on COVID-19 in this paper only selected the data from 2019 to 2020 and excluded the data after 2021, for the following reasons: first, the epidemic situation in China in 2021 was atypical. On the one hand, as seen in Figure 3, other countries have experienced outbreaks, plateaus, gradual weakening, and re-emergence of infectious diseases, while China seemed to be “free of epidemic” compared with other countries in the world in 2021. On the other hand, compared with the epidemic situation in China in 2020, in 2021, the subsequent new outbreaks in China were imported from abroad, many provinces had no epidemics, and provinces with epidemics only implemented community-level isolation policies, and its impact is not very well reflected in the innovation behavior of the listed companies. Therefore, the control factors have undergone major changes. Secondly, our paper postulates that there were other unknown major factors that should be controlled for in 2021. Regarding the end of the epidemic, one is the end in the medical sense, which refers to the sharp drop in the morbidity and mortality of the epidemic, and the other is the end in the social sense, which means that people no longer fear the disease. In 2021, China was “close to the end of medical significance” for a long time, but the social significance has not ended for a long time. In order to maintain the universality of the epidemic regarding enterprise innovation research, the data of 2021 and later will not be used for the time being. Therefore, the epidemic in China in 2020 was included in the current epidemic research, and the epidemic situation in China after 2021 can be treated as a new topic of epidemic research, that is, “heterogeneity research”.
Figure 3. Figure shows a comparison of daily new cases of COVID-19 in the world and China. (a) The data come from the Wind database according to global news and the World Health Organization. (b) The data come from the Chinese Health Commission.

4. Empirical Results and Analysis

4.1. Descriptive Statistics

A statistical analysis of the original data shows no outliers. Considering the large gaps in the total assets of firms and number of cases in various provinces, the logarithm was used for smoothing. Enterprise innovation is the main variable and was measured as the ratio of R&D expenditure to total assets. The descriptive statistics (Table 2) show that for A-share-listed companies, the mean ratio of R&D expenditure to total assets was 1.5%, with a median of 0.9%. The wide range from 0% to 63.9% suggests that some firms did not invest in R&D, while others invested heavily.
Table 2. Descriptive statistics.

4.2. Regression Analysis

The ratio of R&D expenditure to total assets was used as the explained variable to examine the epidemic’s impact on enterprise innovation. We set dates after 31 December 2019, as the period of the epidemic shock (post = 1) and took the number of cases in each province as one of the factors in the interaction term for the continuous DID. We set the interaction term of post and treat +it as the treatment effect (did*), and used these two terms to control for the year and individual firm fixed effects as well as the industry and province in which the firm is located. The results in Table 3 show that under strict controls, the treatment effect was significantly negative. That is, the epidemic had a negative impact on enterprise innovation. In other words, the positive effects observed in certain industries during the epidemic were not present in all listed companies. Generally, an epidemic shock reduces listed companies’ innovation.
Table 3. COVID-19 impact on enterprise innovation.

4.3. Robustness Analysis

Although the epidemic spread nationally, its severity varied greatly from region to region. Therefore, in this section, provinces were classified according to whether they were the first to initiate first-level emergency responses, and the classical DID method was used for the robustness test (Table 4, regression (1)). From 23–24 January 2020, Zhejiang, Guangdong, Hunan, Hubei, Anhui, Tianjin, Beijing, Shanghai, Chongqing, Sichuan, Jiangxi, and Yunnan were the first provinces to initiate first-level emergency responses. For China, our view is that the early shock immediately after the outbreak accounts for most of the total shock. Given the number of cases and traffic convenience, by including provinces that initiated a first-level emergency response, the treatment group can faithfully capture their attitudes in facing the uncertainty of the epidemic. The second group of provinces that initiated first-level emergency responses then suffered relatively mild shocks. Moreover, subsequent sporadic outbreaks were tackled by isolation measures at the community and village levels, with minimal effects at the province level. Therefore, the grouping above makes sense. The results of the classic DID show that the epidemic reduced listed companies’ innovation in the provinces that were the first to initiate first-level emergency responses.
Table 4. Robustness test of COVID-19’s impact on enterprise innovation.
To solve the subjective problems that may exist in the grouping in the classical DID method, the propensity score matching (PSM) method was used in this section to match the treatment and control groups in the classical DID method (Table 4, regression (2)). In this section, nearest-neighbor matching was performed for the listed companies according to total assets, financial leverage, the cash flow ratio, capital expenditure, and the number of years on the market. The parameters of the propensity score were estimated using a logit model, and the main parameters of the matching process were the default ones on STATA. The matching results are satisfactory. There was a significant difference in the treatment effects between the two groups before and after matching; ATT before treatment = 0.0035, p < 0.01, and ATT after treatment = 0.002976, p < 0.01, indicating that the treatment effect difference was still significant after minimizing self-selection effects. A total of 20,378 observations in the treatment group and control group meet the common support assumption, while 51 observations fail to meet the assumption. A total of 3006 samples were obtained that satisfy the hypothesis. After matching, the covariate had good balance between the treatment and control groups (see Figure 4). According to the PSM-DID regression results, the coefficient direction and significance are consistent with the results of the main regression; that is, the epidemic significantly reduces enterprise innovation. We also tested the parallel trend assumption (PTA), and, although not presented here, the experimental results show that it was satisfied before COVID-19 and SARS. The PTA test was used mainly to avoid sample selection problems. As the PSM-DID method can more fundamentally solve the problem of sample selection bias, we report the regression results of the PSM-DID instead of the parallel trend graph. There is no essential difference in how the two deal with the problem. Traditionally, the DID method cannot be used after the PTA test fails, and the underlying reason for this is the randomness of sample selection. Therefore, PSM-DID can “skip” the PTA test to some extent due to sample matching. Moreover, the robustness test where the grouping is changed can also partially solve this problem.
Figure 4. Propensity score test results of the PSM.
More specifically, the robustness test applied by replacing the enterprise innovation index shows that the structure of the treatment effect did* is consistent with the main regression results (Table 4, regression (3)). We replaced “R&D expenditure” with “R&D expenditure—direct input” and replaced quarterly data with semi-annual data, which provides a more accurate measure of direct R&D expenditure.

5. Discussion: Long-Term Effects of Epidemics on Enterprise Innovation

SARS in 2003 presents a complete epidemic process, and its experimental period was longer, which is helpful for a quantitative experiment. Examining the epidemic may lead to general conclusions about the long-term effects of epidemic shocks on enterprise innovation. This section uses data from the China Industry Database from 1999 to 2006, and its sample range was wider than that of the COVID-19 analysis. After removing firms that lack major financial data, we constructed an unbalanced panel. Drawing from extant research on the industrial business database, we measured enterprise innovation using the ratio of intangible assets to total assets [53]. Ju et al. [53] discuss in detail the feasibility of measuring enterprise innovation using intangible assets. We add that although intangible assets include land use and other “non-innovative” assets, land value rose rapidly during the SARS period in China. This appreciation of land reinforces this section’s conclusion that the epidemic reduced enterprise innovation as measured using intangible assets. The DID method was also used in the experimental study. The first case of SARS appeared in early December 2002, and the epidemic ended in July 2003. Therefore, the time affected by the event is 2003, where post = 1 refers to 2003 and later days and post = 0 refers to the period before 2003.
According to the data characteristics and facts of the epidemic, in this section, enterprises in provinces with 35 or more cases were placed into the treatment group (treatment = 1) and enterprises in provinces with 35 or fewer cases were placed into the treatment group (treatment = 0). There was an obvious “fault” in the number of SARS cases around the mark of 35. In 2003, the number of SARS cases in Jilin Province was 35. Among the regions with more SARS cases, Tianjin was the lowest with 176 cases. Although there was no national classification standard for epidemic severity that year, the Beijing Emergency Plan for Prevention and Control of Infectious Atypical Pneumonia provided a criterion that more than 30 cases should be regarded as the first-level warning. The criterion of 35 cases generated a relatively balanced number of firms in the treatment and control groups. In short, the criterion is appropriate.

5.1. Basic Regression Results

Considering the randomness in the selection of grouping criteria and indicators, we discuss the results in this section through more tests. Table 5 presents the results of the basic grouping in regression (1), the results after replacing enterprise innovation with the growth rate in regression (2), the results after using per capita GDP as a control variable to account for the economic conditions in the provinces in regression (3), and the results after grouping according to the third level of warning criterion in the Beijing Emergency Plan for Prevention and Control of Infectious Atypical Pneumonia (cases > 0 as the experimental group, treat = 1) in regression (4). All the results show that SARS had a negative impact on enterprise innovation.
Table 5. Epidemic shocks on enterprise innovation—SARS.

5.2. Long-Term Effects of Epidemics

The complete process of the SARS epidemic helps us answer the question that COVID-19 currently cannot; that is, what is the long-term effect of an epidemic on enterprise innovation? As shown in Table 6 regression (1), if 2002, when the epidemic first appeared, is taken as the base year, currentz is the interaction term of the base year and experimental group dummy variable, prez_1 and prez_2 are the interaction terms of the period before the base year and experimental group dummy variable, and postz_1 to postz_4 are the interaction terms of the experimental group dummy variable and periods after the base year. As shown in Table 6 regression (1), in 2000 and 2001, before the outbreak of the epidemic, there was no significant difference in the level of innovation between the experimental and control groups. Moreover, the SARS epidemic was not fully exposed in December 2002, so the situation of no difference in 2000 and 2001 continued into the base year (2002), whereas in 2003 and 2004, the SARS epidemic had a significantly negative impact on enterprise innovation. Unlike general policy shocks, the shock from the SARS epidemic did not have a permanent impact on corporate innovation. This is because the SARS virus itself has a low rate of transmission, the prevention and control measures are active and effective, the epidemic has a limited impact on other countries outside of China, and China’s macroeconomy developed rapidly in the first decade of the 21st century. With the disappearance of the epidemic and the national economy’s recovery, the epidemic’s effect on enterprise innovation gradually weakened from 2005. Meanwhile, in this section, a further study was conducted on 2003 to examine the dynamic effect of the impact period (Table 6, regression (2)), where currentw is the interaction term between the base year and experimental group dummy variable, prew_1 to prew_4 are the interaction terms of the period before the base year and experimental group dummy variable, and postw_1 and postw_2 are the interaction terms of the experimental group dummy variable and period after the base year. Although currentw did not show a trend change in that year, the results before 2003 indicate that the grouping of sample data satisfies the PTA test. Considering the lag effect of the epidemic on enterprise innovation, the epidemic’s negative impact on innovation as of 2004 (postw_1) is also consistent with the conclusion. In accordance with the results of a subsequent placebo test (counterfactual analysis), the effect was found to have gradually weakened by 2005.
Table 6. Analysis of dynamic effects.
The year 2002 was not the main year affected by the epidemic; at the beginning of the epidemic, the behavior of various social agents was often unchanged. Therefore, in this section, we chose 2002 as the impact year for a counterfactual test. As shown in Table 7 regression (1), the insignificant treatment effects are consistent with the conjecture in this section. Given the lagged effects of epidemics on social agents, differences in trends can still be observed in 2004 (see Table 7 regression (2)). In this section, we further tested whether this trend difference continued to exist in 2005. The regression shows that the epidemic’s negative impact on enterprise innovation was no longer observed in 2005 (see Table 7 regression (3)). In summary, evidence from the SARS epidemic shows that although an epidemic has a short- or medium-term impact on enterprise innovation after the epidemic ends, there is no long-term impact on enterprise innovation. In the long run, enterprise innovation will most likely return to normal. This conclusion offers significant insights into the effects of the current COVID-19 epidemic.
Table 7. Regression results of the counterfactual analysis.

6. Analysis of Mediators

6.1. Epidemic Shocks, Information Asymmetry, and Enterprise Innovation

Andersen and Bondarenko [58] and Chen et al. [59] measured firms’ information asymmetry using the probability of informed trading (PIN). In this section, we used the volume-synchronized probability of informed trading (VPIN) as a proxy indicator for information asymmetry. VPIN is better than PIN, as the latter can be used to infer the market structure of informed traders through trading prices, while the former can be used to understand informed traders by observing trading volume. The VPIN index value was derived from the GTAFE Database. In this section, we first matched the daily VPIN index of A-share-listed companies from 2019 to the third quarter of 2020 to the daily epidemic data at the municipal level to obtain panel data with more than 1.40 million observations per day. The continuous DID was again used to investigate the epidemic’s impact on listed companies’ short-term information asymmetry (Table 8, Panel B, regression (1)), where the treatment effect was the number of new cases on the day (municipal level) × post. The regression results show that in the short term (each day), the epidemic reduced firms’ information asymmetry because the timely disclosure of local epidemic information indirectly releases information related to firms, including the administrative efficiency of the regions in which the firms are located, cooperation between the government and firms during the epidemic, and other economic and social information. However, as shown in Table 8, Panel B, which presents the regression results using quarterly data, the epidemic did not significantly affect firms’ information asymmetry. This is because as an outbreak ends somewhere, the public’s interest in epidemic disclosures and reports wanes rapidly. Therefore, at the quarterly level, the epidemic had no significant impact on firms’ information asymmetry. VPIN (quarterly) is the quarterly average of a firm’s daily VPIN index. Since enterprise innovation is the fruit of medium- and long-term endeavors, the results of the quarterly panel data analysis are of more significance in economics. Therefore, information asymmetry is not a mediator that affects enterprise innovation. In this case, constructing the epidemic treatment effect at the quarterly level is the same as that in the main regression (Table 3).
Table 8. Epidemic shocks, information asymmetry, and enterprise innovation.
Table 8, Panel A, regression (2) also shows that information asymmetry was not a mediator between COVID-19 and enterprise innovation. That is, including the information asymmetry factor did not alter the significance of the COVID-19 treatment effect. Although information asymmetry was not a mediator, it did moderate COVID-19’s effect on enterprise innovation. Panel A, regression (3) shows that information asymmetry intensified the epidemic’s negative impact on enterprise innovation. Although the moderating effect was mainly reflected in the coefficient of interaction terms [60,61], to enhance the explanatory power of the coefficient of the independent variable (did*) for the moderating effect, we centralized the independent variable based on the suggestions of Porter [62] and Kemp [63]. The results in Panel A, regression (4) show that the variable’s sign after centralization was significantly negative, indicating that under the average degree of information asymmetry, the epidemic’s impact on enterprise innovation was still negative. Counterintuitively, only from the perspective of firms’ information asymmetry, this promotes enterprise innovation (Panel A, regression (1)), indicating that although the degree of asymmetry of firm information did not change in the middle term (quarterly) during the epidemic, the epidemic did impact the effects of information asymmetry. This is because investor mood is fragile in a crisis; investors are more cautious about positive news and more fearful of negative news. Therefore, with increasingly more detailed information being disclosed by firms, it is easier for investors to find negative news and subjectively magnify its influence. They then reduce investment, which adversely affects enterprise innovation. The combination of regressions (1) and (3) in Panel A shows that reducing information asymmetry is still advisable to mitigate a negative shock, considering the significantly negative moderating effect of information asymmetry (the interaction term), as long as the drop in enterprise innovation is directly caused by the epidemic instead of investor sentiment. Firms that are directly affected by an epidemic should explain the situation to investors in as much detail as possible, rather than withhold information. The government should guide firms through government–firm cooperation and help them with information disclosure. However, it is also necessary to strengthen investor education so that they can be guided to be “informed” and “rational”, particularly considering an epidemic shock from a long-term perspective.
In Panel A, the information asymmetry results in regression (1) and moderating effect in regression (3) seem to be contradictory. We drew diagrams of the moderating effect to visually explain this (Figure 5). The figure shows that as the epidemic worsened, enterprise innovation decreased; moreover, the higher the degree of information asymmetry, the more “severe” the epidemic’s negative impact on enterprise innovation. Meanwhile, Figure 5a shows that although information asymmetry negatively moderates enterprise innovation, enterprise innovation under higher information asymmetry was generally higher than that under lower information asymmetry. A possible explanation is that higher information asymmetry helps firms protect their intellectual property rights and trade secrets, thereby alleviating investor panic. Table 9, Panel A, regression (1) illustrates this point. Notably, the curves may change, as shown in Figure 5b, if the epidemic becomes more severe. Figure 5b shows the results after increasing the average treatment effect of the epidemic while the other variables and parameters remained unchanged. This indicates that when the epidemic became more serious, the advantages of high information asymmetry disappeared. Under the same epidemic severity, high information asymmetry had a greater inhibiting effect on enterprise innovation. For brevity, in the following discussion on financing constraints and economic policy uncertainty, since the regression coefficients of the treatment effect (DID *) for the main effect and moderating effect have the same sign, no additional figures are provided, as they are not needed to remove possible ambiguity.
Figure 5. Moderating effects of information asymmetry. Note: “Lower did” and “higher did” represent the weaker and stronger treatment effects of the epidemic, respectively; “lower VPIN and “higher VPIN” indicate the lower and higher levels of information asymmetry, respectively. (a) implies that information asymmetry negatively moderates firm innovation, but the level of innovation is higher for the high information asymmetry case. (b) shows the case after increasing only the epidemic treatment effect and keeping other variables and parameters constant, the figure illustrates that the advantage of high information asymmetry disappears when the epidemic is more severe (higher epidemic treatment effect).
Table 9. Epidemic shocks, financing constraints, and enterprise innovation.

6.2. Epidemic Shocks, Financing Constraints, and Enterprise Innovation

On the basis of previous research [64], index size age (SA) was adopted as an indicator to measure a firm’s financing constraints. Researchers in China have some concerns about the index; in particular, they fail to agree on how to treat negative index values [65]. Some use absolute values, while others deem that the treatment is unnecessary. As negative values may be attributable to the variety of firm sizes in the sample, we used Hadlock and Pierce’s [66] method and adjusted the unit to measure total assets in millions of yuans. Without negative index values, we effectively avoided this controversy. Table 9, Panel B shows that the epidemic shock had no significant impact on financing constraints. Meanwhile, the results of regression (2) in Panel A show that the significance of the epidemic treatment effect did not change after incorporating the financing constraint factor. This suggests that financing constraints are not a mediator between epidemic shocks and enterprise innovation. To cope with the epidemic shock, the government adopted an accommodative monetary policy and a proactive fiscal policy. Meanwhile, the banking industry, represented by state-owned banks, reduced loan interest rates. As a result, the financing constraints of firms did not change notably during the epidemic. However, these constraints had a positive impact on enterprise innovation (Table 9, Panel A, regression (1)). This abnormal phenomenon may be explained by the epidemic’s sorting effect. It is assumed that all firms were faced with the same financing constraints before the epidemic. Under the epidemic’s sorting effect, sample firms’ willingness for innovation changed. Aggressive innovators kept innovating, while opportunistic firms decided to recover liquidity and suspend innovation due to the epidemic’s uncertainty. Innovation requires capital input, and owing to the above changes, aggressive innovators faced tighter financing constraints. For all the sample firms, the observed effect is that higher financing constraints promote enterprise innovation. This is contrary to the conclusions of most studies, which suggest that financing constraints restrain enterprise innovation. The empirical results on the moderating effect of financing constraints echo this abnormal conclusion (Table 9, Panel A, regression (3)); that is, financing constraints alleviate the epidemic’s negative impact on enterprise innovation. This conclusion remains valid after centralizing the variables (Table 9, Panel A, regression (4)). Moreover, the independent variable’s negative coefficient indicates that the epidemic had a negative impact on enterprise innovation under mean financing constraints. In summary, financing constraints did not play a mediating role, but had a positive moderating role. Moreover, counterintuitively, this promotes enterprise innovation. Its real meaning is that when firms committed to innovation are affected by an epidemic shock, a more targeted policy is needed to provide them with financial support. Equally importantly, the government should distinguish between those who persist in innovation and “fake” and “speculative” innovators only interested in taking advantage of government subsidies for innovation. The government needs to establish a special fund for the former to provide more subsidies, while stimulating the latter’s willingness to engage in “true innovation.”

6.3. Epidemic Shocks, Economic Policy Uncertainty, and Enterprise Innovation

The degree of economic policy uncertainty as described in this section was measured using the economic policy uncertainty index (EPU) jointly published by Stanford University and the University of Chicago [67]. The empirical evidence shows that the epidemic had a statistically significant but minimal impact on economic policy uncertainty in China. The regression coefficient was very small, indicating a minimal economic impact (Table 10, Panel B). This may be attributable to the fact that the epidemic is basically under control and China’s economic policies are generally stable. It suggests that economic policy uncertainty is not a mediator between epidemic shocks and enterprise innovation. Further investigation of the moderating effect of economic policy shows that economic policy uncertainty significantly alleviated the epidemic’s negative effects on enterprise innovation (Table 10, Panel A, regression (3)). Similarly, after centralizing the variables, the positive moderating effect still existed (Table 10, Panel A, regression (4)). This means that economic policy uncertainty moderated the impact of the epidemic on enterprise innovation. Although economic policy uncertainty did not change significantly during the epidemic, it promoted enterprise innovation (Table 10, Panel A, regression (1)). According to some studies [68], in regions with higher economic policy uncertainty, innovation is a tool for firms to mitigate market risks and promote their development. The screening mechanism and incentive effect of the epidemic enhance this mechanism; in other words, firms that have adapted to the current epidemic environment could leverage policy incentives to promote enterprise innovation. With the epidemic generally under control, the government should maintain the overall stability of its economic policies. Meanwhile, more targeted and precise measures are needed to help those hit hardest by the epidemic. The screening mechanism and incentive effect are also conducive to achieving the goals of industrial restructuring, such as eliminating backward industries, inspiring the new economy, and promoting innovation. The term “new economy” refers to technology-intensive industries compared with traditional resource- and labor-intensive industries.
Table 10. Epidemic shocks, economic policy uncertainty, and enterprise innovation.

7. Conclusions and Implications

While emergent public events are unpredictable, their direct impacts are often assessable shortly after their occurrence, such as rebuilding and assessment after a disaster or accident. COVID-19, which spreads from person to person and is unpredictable in terms of occurrence, impact, and future trajectory, poses unique challenges. The epidemic has not only caused a crisis but also promotes development in many fields. At present, developing countries, including China, are at a critical stage of industrial upgrading—transforming traditional industries to increase technological content while reducing labor and energy input. It is of great significance to adequately assess the impact of COVID-19, a major uncertain event, on enterprise innovation to provide the governments of these countries with valuable inputs to make informed decisions.
In summary, this study draws the following basic conclusions. Epidemics reduce enterprise innovation, but the medium- to long-term effects are minimal. The study of COVID-19 shows that for enterprise innovation, information asymmetry, financing constraints, and economic policy uncertainty moderate the epidemic’s negative shock to varying degrees; information asymmetry aggravates the epidemic’s negative shock, while financing constraints and policy uncertainty mitigate it. Finally, owing to the complexity of COVID-19, some of the findings are contrary to those of studies during non-epidemic periods. These three factors all promote enterprise innovation, and daily data show that epidemic shocks reduce firms’ information asymmetry in the short term.
The following implications follow from the above findings. First, although epidemics have a negative impact on enterprise innovation, the evidence from SARS shows that the negative impact has a limited duration. It is desirable to be optimistic and objective about the epidemic’s impact. In addition, traditional views are that lower financing constraints, information asymmetry, and economic policy uncertainty are conducive to firm growth, including enterprise innovation. The present quasi-natural experiment on epidemics, owing to the abnormal phenomenon observed, may enrich our understanding and offer better ways to improve the enterprise innovation environment.
Second, information asymmetry can promote enterprise innovation to a certain extent. This is because exceptionally transparent information disclosure may cause shortsightedness and panic among investors, which is not conducive to protecting intellectual property rights. Regulators can formulate differentiated information disclosure systems for innovative firms, but the findings on moderating effects also suggest that for the firms hit hardest by epidemics or as epidemics worsen, a certain intensity of information disclosure and regulation from firms and regulators is desirable. The measures include enhancing information transparency by objectively disclosing the challenges through government–firm cooperation. Education for investors should also be strengthened to guide investors to be “informed” and “rational”, considering firm development from a long-term perspective.
Third, the finding that financing constraints promote enterprise innovation under epidemics has special significance. The epidemic’s screening mechanism may be a contributing factor. That is, firms that insist on innovation may have higher financing constraints, while those that are less motivated may stop innovation. This suggests that the former need more financial support than the latter during an epidemic. Therefore, the government can set up a special fund to provide support and optimize resource allocations.
Finally, given the positive moderating effects of economic policy uncertainty on enterprise innovation, the government should adjust economic policies more precisely to increase flexibility, thereby promoting enterprise innovation. Meanwhile, the inherent screening effects of economic policy uncertainty are also useful for achieving goals, including the withdrawal of backward industries, inspiring the new economy, and promoting industrial transformation.

Author Contributions

Conceptualization, X.L. and X.H.; methodology, X.H. and L.Z.; software, X.H. and S.X.; validation, X.L., L.Z. and S.X.; formal analysis, X.H.; resources, X.L.; data curation, X.H.; writing—original draft preparation, X.H.; writing—review and editing, S.X.; visualization, X.H.; supervision, X.L.; project administration, X.L.; funding acquisition, X.L. All authors have read and agreed to the published version of the manuscript.

Funding

This research received no external funding.

Institutional Review Board Statement

Not applicable.

Data Availability Statement

The data were obtained from the WIND database and CSMAR database, a third-party data reimbursement provider, and data sharing is not applicable to this article.

Acknowledgments

The authors would like to acknowledge all experts’ contributions in the building of the model and the formulation of the strategies in this study.

Conflicts of Interest

The authors declare no conflict of interest.

References

  1. Li, X.R.; Niu, M.L. Research progress on the relation between public emergency and finance. Econ. Perspect. 2020, 61, 129–144. (In Chinese) [Google Scholar]
  2. del Rio-Chanona, R.M.; Mealy, P.; Pichler, A.; Lafond, F.; Farmer, J.D. Supply and demand shocks in the COVID-19 pandemic: An industry and occupation perspective. Oxf. Rev. Econ. Policy 2020, 36, 94–137. [Google Scholar] [CrossRef]
  3. De Vito, A.; Gómez, J.P. Estimating the COVID-19 cash crunch: Global evidence and policy. J. Account. Public Policy 2020, 39, 106741. [Google Scholar] [CrossRef]
  4. Barako, D.G.; Taplin, R.; Brown, A. HIV/AIDS information by African companies: An empirical analysis. J. Asian Afr. Stud. 2010, 45, 387–405. [Google Scholar] [CrossRef]
  5. Coibion, O.; Gorodnichenko, Y.; Weber, M.; Weber, M. Labor Markets during the COVID-19 Crisis: A Preliminary View; NBER Working Papers, No. 8238; National Bureau of Economic Research: Cambridge, MA, USA, 2020. [Google Scholar] [CrossRef]
  6. Mckibbin, W.; Fernando, R. The global macroeconomic impacts of COVID-19: Seven scenarios. Asian Econ. Pap. 2021, 20, 1–30. [Google Scholar] [CrossRef]
  7. Bartik, A.W.; Bertrand, M.; Cullen, Z.B.; Glaeser, E.L.; Luca, M.; Stanton, C.T. How Are Small Businesses Adjusting to COVID-19? Early Evidence from a Survey; NBER Working Papers, No. 42; National Bureau of Economic Research: Cambridge, MA, USA, 2020. [Google Scholar] [CrossRef]
  8. du Bruyn, R. A proposed reporting framework for HIV/Aids disclosure by listed South African companies. Meditari Account. Res. 2008, 16, 59–78. [Google Scholar] [CrossRef] [Green Version]
  9. International Labour Office. An ILO Code of Practice on HIV AIDS and the World of Work. Volume 2001. Available online: www.ilo.org (accessed on 1 July 2020).
  10. Hassan, T.A.; Hollander, S.; Lent, L.; Tahoun, A. Firm-Level Exposure to Epidemic Diseases: COVID-19, SARS, and H1N1; NBER Working Paper, No. 26971; National Bureau of Economic Research: Cambridge, MA, USA, 2020. [Google Scholar] [CrossRef]
  11. Fahlenbrach, R.; Rageth, K.; Stulz, R.M. How valuable is financial flexibility when revenue stops? Evidence from the COVID-19 crisis. Rev. Financ. Stud. 2021, 34, 5474–5521. [Google Scholar] [CrossRef]
  12. Mayer, T.; Melitz, M.J.; Ottaviano, G.I.P. Market size, competition, and the product mix of exporters. Am. Econ. Rev. 2014, 104, 495–536. [Google Scholar] [CrossRef] [Green Version]
  13. Aghion, P.; Bergeaud, A.; Lequien, M.; Melitz, M.J. The Impact of Exports on Innovation: Theory and Evidence; National Bureau of Economic Research: New York, NY, USA, 2018. [Google Scholar] [CrossRef]
  14. Gupta, S.; Kumar, V.; Karam, E. New-age technologies-driven social innovation: What, how, where, and why? Ind. Market. Manag. 2020, 89, 499–516. [Google Scholar] [CrossRef]
  15. Drobetz, W.; El Ghoul, S.; Guedhami, O.; Janzen, M. Policy uncertainty, investment, and the cost of capital. J. Financ. Stab. 2018, 39, 28–45. [Google Scholar] [CrossRef]
  16. Qv, S.N.; Yang, D.H. Intelligent response to public health emergencies: Theoretical retrospection and trend analysis. Reform 2020, 36, 14–21. (In Chinese) [Google Scholar]
  17. Salge, T.O.; Vera, A. Benefiting from public sector innovation: The moderating role of customer and learning orientation. Public Adm. Rev. 2012, 72, 550–559. [Google Scholar] [CrossRef]
  18. Frankort, H.T.W. When does knowledge acquisition in R&D alliances increase new product development? The moderating roles of technological relatedness and product-market competition. Res. Policy 2016, 45, 291–302. [Google Scholar] [CrossRef] [Green Version]
  19. Fan, P.J.; Wong, T.J.; Zhang, T. Politically connected CEOs, corporate governance, and post-IPO performance of China’s newly partially privatized firms. J. Financ. Econ. 2006, 84, 330–357. [Google Scholar] [CrossRef]
  20. Benner, M.J.; Tushman, M. Process management and technological innovation: A longitudinal study of the photography and paint industries. Adm. Sci. Q. 2002, 47, 676–707. [Google Scholar] [CrossRef] [Green Version]
  21. Ahuja, G. Collaboration networks, structural holes, and innovation: A longitudinal study. Admin. Sci. Q. 2000, 45, 425–455. [Google Scholar] [CrossRef] [Green Version]
  22. Heidl, R.A.; Steensma, H.K.; Phelps, C. Divisive faultlines and the unplanned dissolutions of multipartner alliances. Organ. Sci. 2014, 25, 1351–1371. [Google Scholar] [CrossRef] [Green Version]
  23. Asgari, N.; Tandon, V.; Singh, K.; Mitchell, W. Creating and taming discord: How firms manage embedded competition in alliance portfolios to limit alliance termination. Strateg. Manag. J. 2018, 39, 3273–3299. [Google Scholar] [CrossRef]
  24. Park, J. Open innovation of small and medium-sized enterprises and innovation efficiency. Asian J. Technol. Innov. 2018, 26, 115–145. [Google Scholar] [CrossRef]
  25. He, J.; Mao, X.Y.; Rui, O.M.; Zha, X. Business groups in China. J. Corp. Financ. 2013, 22, 166–192. [Google Scholar] [CrossRef] [Green Version]
  26. Chang, J. The effects of buyer-supplier’s collaboration on knowledge and product innovation. Ind. Mark. Manag. 2017, 65, 129–143. [Google Scholar] [CrossRef]
  27. Hasan, I.; Hoi, C.S.; Wu, Q.; Zhang, H. Does social capital matter in corporate decisions? Evidence from corporate tax avoidance. J. Account. Res. 2017, 55, 629–668. [Google Scholar] [CrossRef] [Green Version]
  28. Bottazzi, L.; Da Rin, M.; Hellmann, T. The Importance of Trust for Investment: Evidence from Venture Capital. Rev. Financ. Stud. 2016, 29, 2283–2318. [Google Scholar] [CrossRef] [Green Version]
  29. Zuo, R.; Ma, X.J.; Li, Y.J. Corporate integrity culture, internal control and innovation efficiency. Stat. Decis. 2020, 36, 154–158. (In Chinese) [Google Scholar]
  30. Psillaki, M.; Eleftheriou, K. Trade credit, bank credit, and flight to quality: Evidence from French SMEs. J. Small Bus. Manag. 2015, 53, 1219–1240. [Google Scholar] [CrossRef]
  31. Leary, M.T.; Roberts, M.R. Do peer firms affect corporate financial policy? J. Financ. 2014, 69, 139–178. [Google Scholar] [CrossRef]
  32. Lu, Z.; Zhu, J.; Zhang, W. Bank discrimination, holding bank ownership, and economic consequences: Evidence from China. J. Bank Financ. 2012, 36, 341–354. [Google Scholar] [CrossRef]
  33. Arslan-Ayaydin, Ö.; Florackis, C.; Ozkan, A. Financial flexibility, corporate investment and performance: Evidence from financial crises. Rev. Quant. Financ. Account. 2014, 42, 211–250. [Google Scholar] [CrossRef]
  34. Gong, J.J.; Li, S. CEO incentives and earnings prediction. Rev. Quant. Financ. Account. 2013, 40, 647–674. [Google Scholar] [CrossRef]
  35. Burak Güner, A.B.; Malmendier, U.; Tate, G. Financial expertise of directors. J. Financ. Econ. 2008, 88, 323–354. [Google Scholar] [CrossRef] [Green Version]
  36. Sisli-Ciamarra, E. Monitoring by affiliated bankers on board of directors: Evidence from corporate financing outcomes. Financ. Manag. 2012, 41, 665–702. [Google Scholar] [CrossRef]
  37. Gao, Z.L.; Zhang, J.R.; Li, H.X. Top manager’s financial social network, financing constraints and capital structure. Financ. Forum 2019, 24, 69–80. (In Chinese) [Google Scholar]
  38. Hackbarth, D. Managerial traits and capital structure decisions. J. Financ. Quant. Anal. 2008, 43, 843–881. [Google Scholar] [CrossRef] [Green Version]
  39. Cai, Y.; Dhaliwal, D.S.; Kim, Y.; Pan, C. Board interlocks and the diffusion of disclosure policy. Rev. Account. Stud. 2014, 19, 1086–1119. [Google Scholar] [CrossRef]
  40. Duchin, R.; Ozbas, O.; Sensoy, B.A. Costly external finance, corporate investment, and the subprime mortgage credit crisis. J. Financ. Econ. 2010, 97, 418–435. [Google Scholar] [CrossRef]
  41. Andreasen, E.; Valenzuela, P. Financial openness, domestic financial development and credit ratings. Financ. Res. Lett. 2016, 16, 11–18. [Google Scholar] [CrossRef]
  42. Harrison, A.E.; Mcmillan, M.S. Does direct foreign investment affect domestic credit constraints? J. Int. Econ. 2003, 61, 73–100. [Google Scholar] [CrossRef] [Green Version]
  43. Buch, C.M.; Kesternich, I.; Lipponer, A.; Schnitzer, M. Financial constraints and foreign direct investment: Firm-level evidence. Rev. World Econ. 2014, 150, 393–420. [Google Scholar] [CrossRef] [Green Version]
  44. Xv, S.; He, X.Y.; Zhong, K. The belt and road initiative and chinese firms’ financial constraints. China Ind. Econ. 2019, 35, 155–173. (In Chinese) [Google Scholar]
  45. Chen, D.H.; Li, O.Z.; Fu, X. Five-year plans, China finance and their consequences. China J. Account. Res. 2017, 10, 189–230. [Google Scholar] [CrossRef]
  46. Knill, A.; Lee, B.S. The volatility of foreign portfolio investment and the access to finance of small listed firms. Rev. Dev. Econ. 2014, 18, 524–542. [Google Scholar] [CrossRef]
  47. Zhang, K.; Li, W. Financial constraint and foreign direct investment under the new situation of international trade: A panel threshold model analysis based on the data of the industry in China. J. Aud. Econ. 2019, 34, 106–115. (In Chinese) [Google Scholar]
  48. Svaleryd, H.; Vlachos, J. Financial markets, the pattern of industrial specialization and comparative advantage: Evidence from OECD countries. Eur. Econ. Rev. 2005, 49, 113–144. [Google Scholar] [CrossRef]
  49. Gu, X.M.; Chen, Y.M.; Pan, S.Y. Economic policy uncertainty and innovation: Evidence from listed companies in China. Econ. Res. J. 2018, 53, 109–123. (In Chinese) [Google Scholar]
  50. Hall, B.H.; Moncada-Paternò-Castello, P.; Montresor, S.; Vezzani, A. Financing constraints, R&D investments and innovative performances: New empirical evidence at the firm level for Europe. Econ. Innov. New Technol. 2016, 25, 183–196. [Google Scholar] [CrossRef]
  51. Bloom, N.; Bond, S.; Van Reenen, J. Uncertainty and investment dynamics. Rev. Econ. Stud. 2007, 74, 391–415. [Google Scholar] [CrossRef] [Green Version]
  52. Julio, B.; Yook, Y. Political uncertainty and corporate investment cycles. J. Financ. 2012, 67, 45–83. [Google Scholar] [CrossRef]
  53. Phan, H.V.; Nguyen, N.H.; Nguyen, H.T.; Hege, S. Policy uncertainty and firm cash holdings. J. Bus. Res. 2018, 95, 71–82. [Google Scholar] [CrossRef]
  54. Wu, C.P.; Tang, D. Intellectual property rights enforcement, corporate innovation and operating performance: Evidence from China’s listed companies. Econ. Res. J. 2016, 51, 125–139. (In Chinese) [Google Scholar]
  55. Amore, M.D.; Schneider, C.; Žaldokas, A. Credit supply and corporate innovation. J. Financ. Econ. 2013, 109, 835–855. [Google Scholar] [CrossRef]
  56. Qian, N. Missing women and the price of tea in China: The effect of sex-specific earnings on sex imbalance. Q. J. Econ. 2008, 123, 1251–1285. [Google Scholar] [CrossRef]
  57. Ju, X.S.; Dic, L.; Yu, Y.H. Financing constraints, working capital management and the persistence of firm innovation. Econ. Res. J. 2013, 48, 4–16. (In Chinese) [Google Scholar]
  58. Andersen, T.G.; Bondarenko, O. VPIN and the flash crash. J. Financ. Mark. 2014, 17, 1–46. [Google Scholar] [CrossRef]
  59. Chen, G.J.; Zhang, R.Z.; Xie, P.L.; Zhao, X.Q. Informed trading, information uncertainty and stock risk premium. J. Manag. Sci. China 2019, 22, 53–74. (In Chinese) [Google Scholar]
  60. Wen, Z.L.; Hau, K.T.; Chang, L. A comparison of moderator and mediator and their applications. Acta Psychol. 2005, 37, 268–274. (In Chinese) [Google Scholar]
  61. Thompson, R.J.; Kronenberger, W.G.; Johnson, D.F.; Whiting, K. The role of central nervous system functioning and family functioning in behavioral problems of children with myelodysplasia. J. Dev. Behav. Pediatr. 1989, 10, 242–248. [Google Scholar] [CrossRef]
  62. Porter, M.A. Multiple regression: Testing and interpreting interactions. J. R. Stat. Soc. Ser. D (Stat.) 1994, 43, 453. [Google Scholar] [CrossRef]
  63. Kemp, F. Applied multiple regression/correlation analysis for the behavioral sciences. J. R. Stat. Soc. Ser. D 2003, 52, 691. [Google Scholar] [CrossRef]
  64. Sapra, H.; Subramanian, A.; Subramanian, K.V. Corporate governance and innovation: Theory and evidence. J. Financ. Quant. Anal. 2014, 49, 957–1003. [Google Scholar] [CrossRef] [Green Version]
  65. Liu, L.Y.; He, Y.L.; Wang, Z.F. Do financial constraints affect Chinese firms’ outward FDI behavior? A theoretical and empirical analysis based on the micro perspective. J. Financ. Res. 2015, 4, 124–140. (In Chinese) [Google Scholar]
  66. Hadlock, C.J.; Pierce, J.R. New evidence on measuring financial constraints: Moving beyond the KZ index. Rev. Financ. Stud. 2010, 23, 1909–1940. [Google Scholar] [CrossRef]
  67. Baker, S.R.; Bloom, N.; Davis, S.J. Measuring economic policy uncertainty. Q. J. Econ. 2016, 131, 1593–1636. [Google Scholar] [CrossRef]
  68. Lai, H.B.; Meng, Z. Research on the integration of traditional innovation and social innovation and innovation transformation in the context of major public health events. Sci. Technol. Prog. Pol. 2020, 37, 14–20. (In Chinese) [Google Scholar] [CrossRef]
Publisher’s Note: MDPI stays neutral with regard to jurisdictional claims in published maps and institutional affiliations.

Article Metrics

Citations

Article Access Statistics

Multiple requests from the same IP address are counted as one view.