Variability in Soil Parent Materials at Different Development Stages Controlled Phosphorus Fractions and Its Uptake by Maize Crop
Abstract
1. Introduction
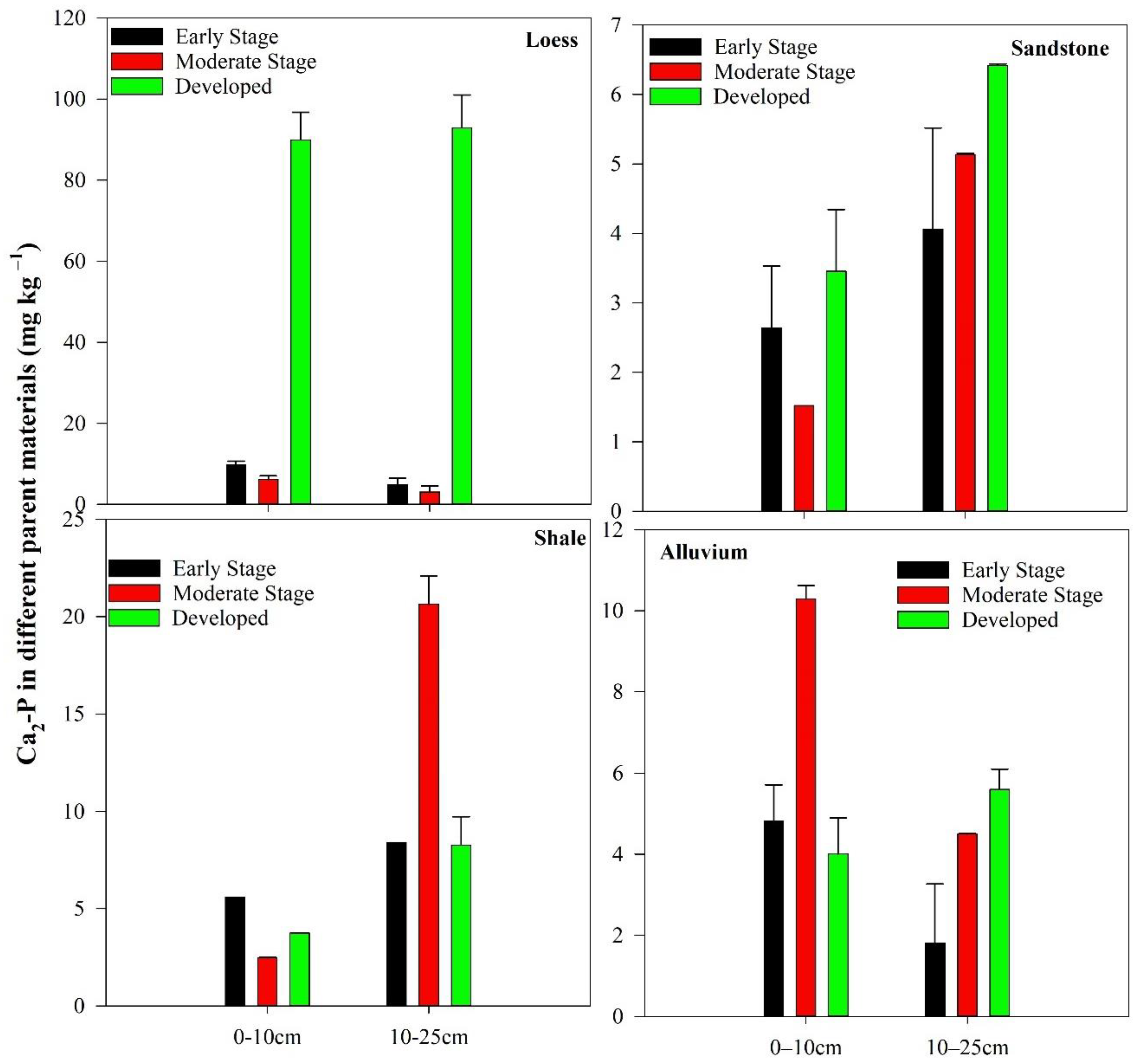
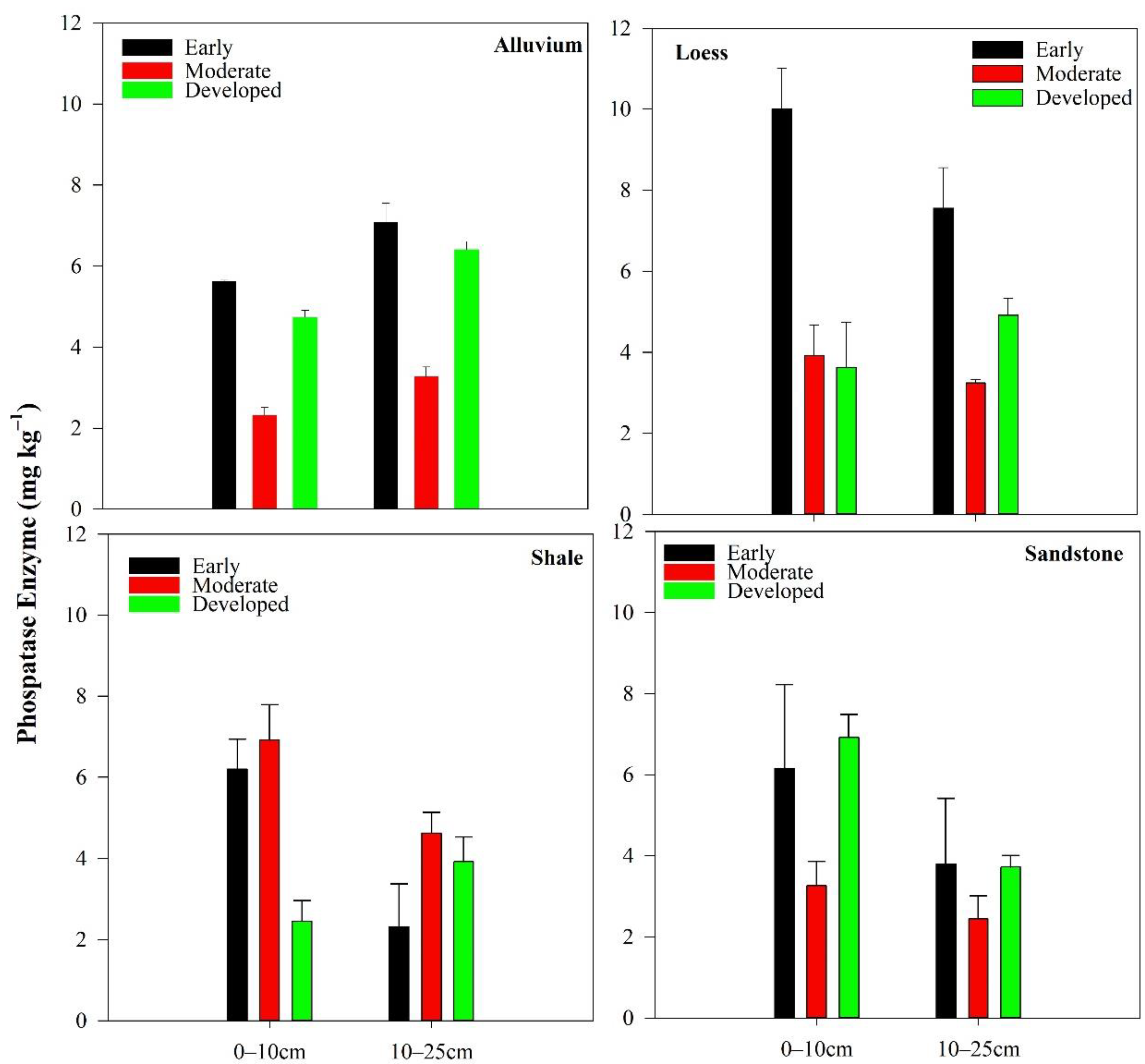
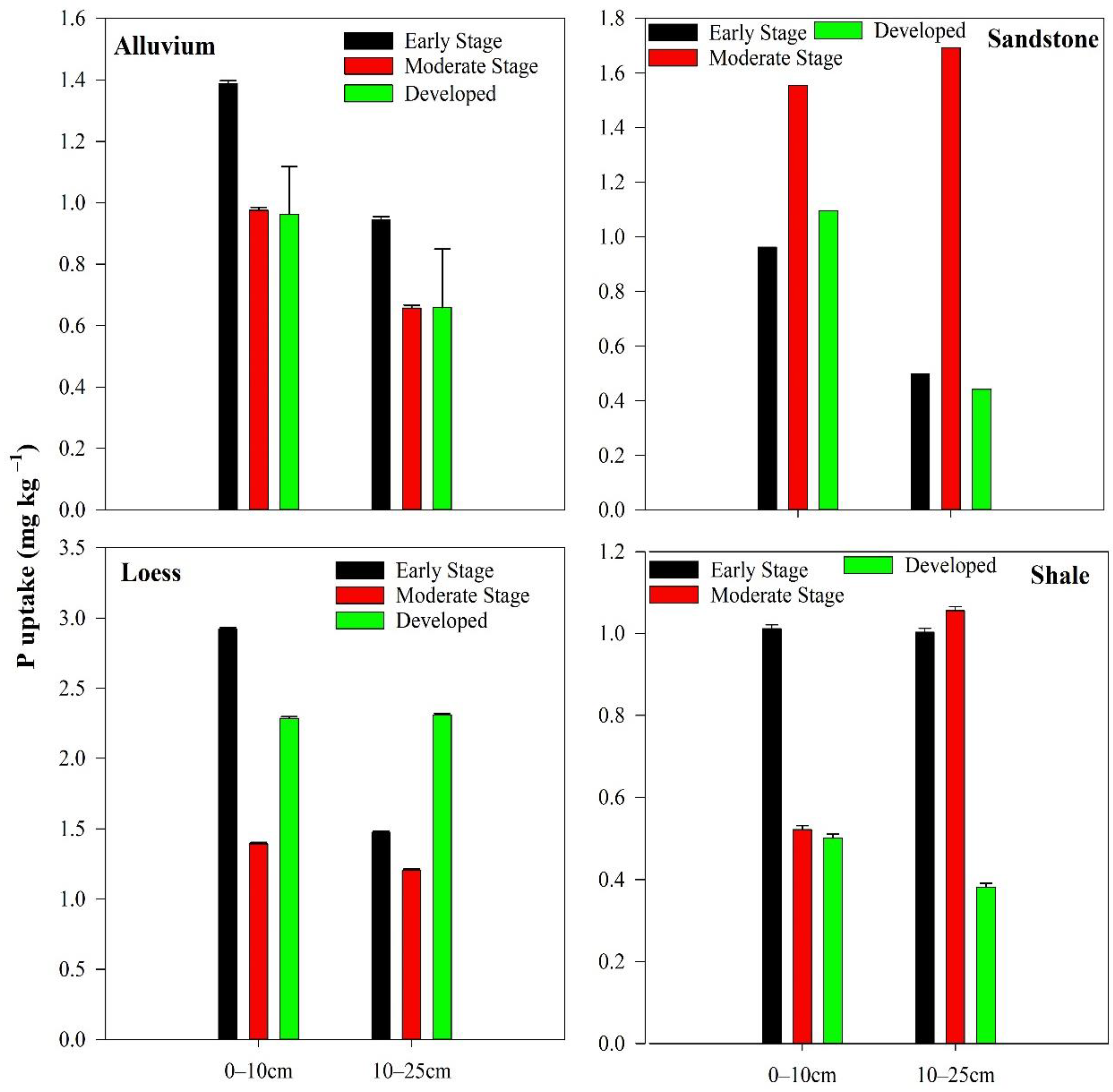
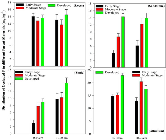
2. Materials and Methods
2.1. Site and Soil Description
2.2. Soil Sample Collection
2.3. Soil Phosphorus Fractionations
Inorganic Phosphorus Fractions
- Ca2-P was determined by taking 1 g soil, shaking it for one hour in a 0.025 M solution of sodium bicarbonate (NaHCO3, pH 7.5), centrifuging the whole at 4000 rpm for 10 min (Daoran Trading Jilin China, Songyuan, China), and removing the supernatant.
- Ca8-P was determined by taking the residue of Ca2-P and washing it twice with 95% alcohol, shaking with 50 mL 0.5 M ammonium acetate solution (NH4Ac, pH 4.2), leaving it without shaking for 4 h, centrifuging, and then removing the supernatant.
- Al-P determination: after determining Ca8-P, the residues were washed twice with saturated (NaCl), then shaken for 1 h with a 50 mL solution of 0.5 M ammonium fluoride (NH4F), centrifuged, and the supernatant removed.
- Fe-P determination: the residues were washed two times with saturated NaCl, shaken for 2 h with 50 mL of 0.1 M NaOH-0.1 M sodium carbonate (Na2CO3, pH 8.2) solution, left unshaken for 16 h, and then shaken again for two hours.
- Occluded P was washed twice with sodium chloride (NaCl), shaken with 40 mL of 0.3 M sodium citrate (C6H5Na3O4.2H2O) solution plus 1 g sodium dithionate, heated at 80 °C for 15 min, centrifuged, and the supernatant was removed before P determination.
- For the Ca10-P determinations, the residues were taken, shaken for one hour in a 50 mL 0.5 M sulphuric acid (H2SO4) solution, centrifuged, and the supernatant removed for determination.
2.4. Total Phosphorus
2.5. Soil Phosphatase Activity
2.6. Assessment of P Uptake
2.7. Statistical Analysis
3. Results and Discussion
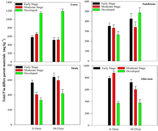
3.1. Total Phosphorus
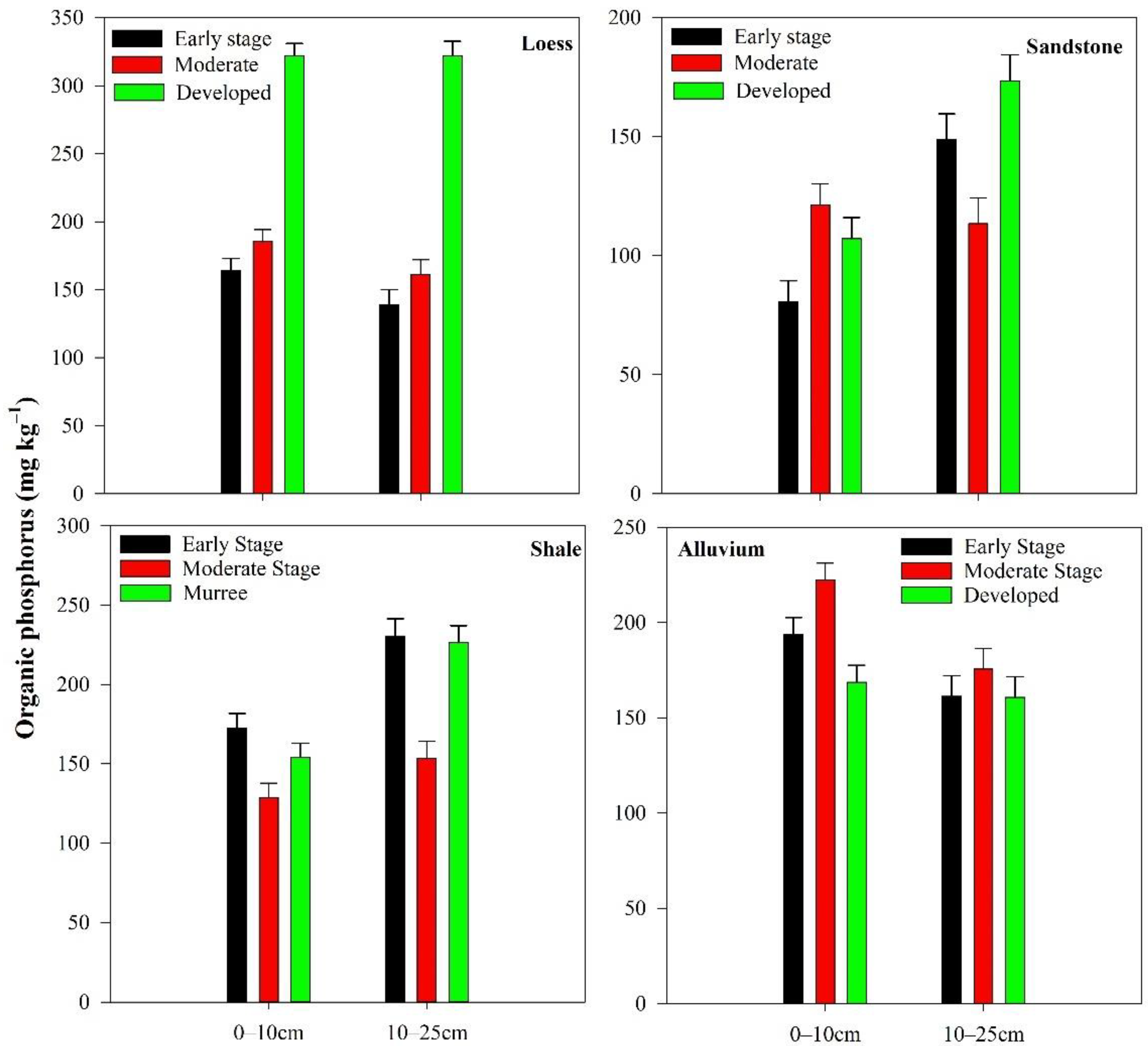
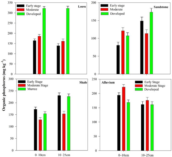
3.2. Organic Phosphorus
3.3. Inorganic Phosphorus Fractions
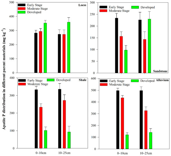
3.3.1. Apatite P
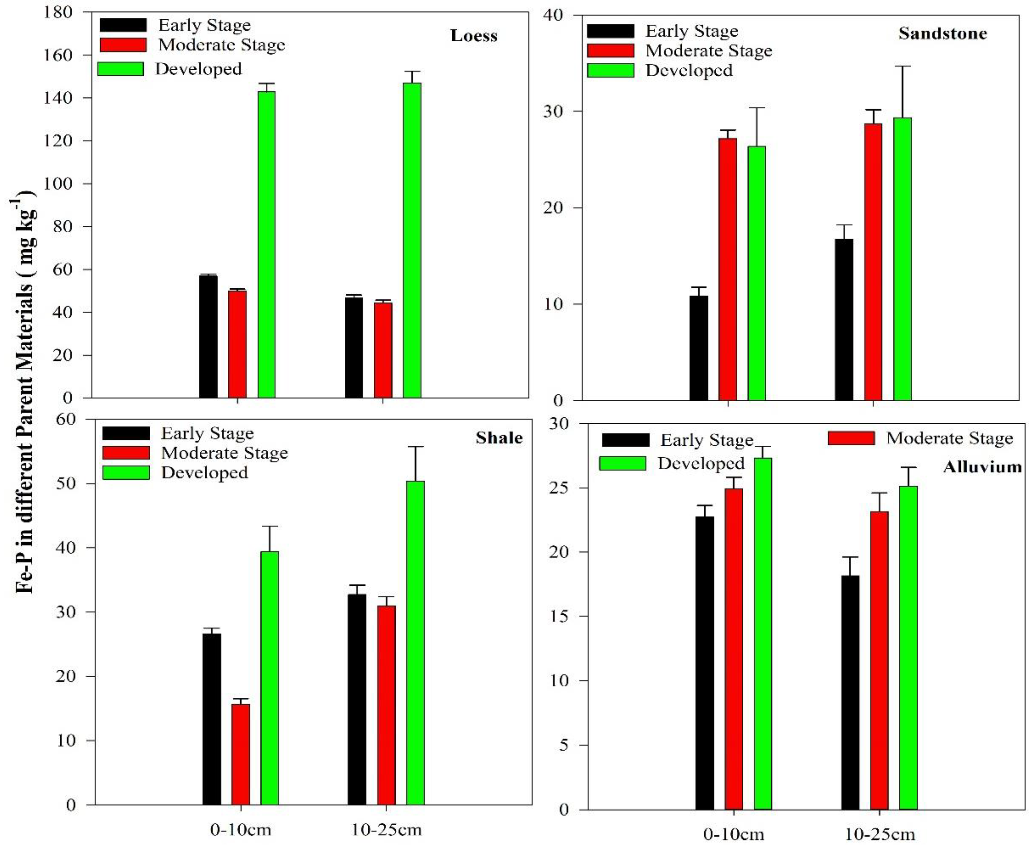
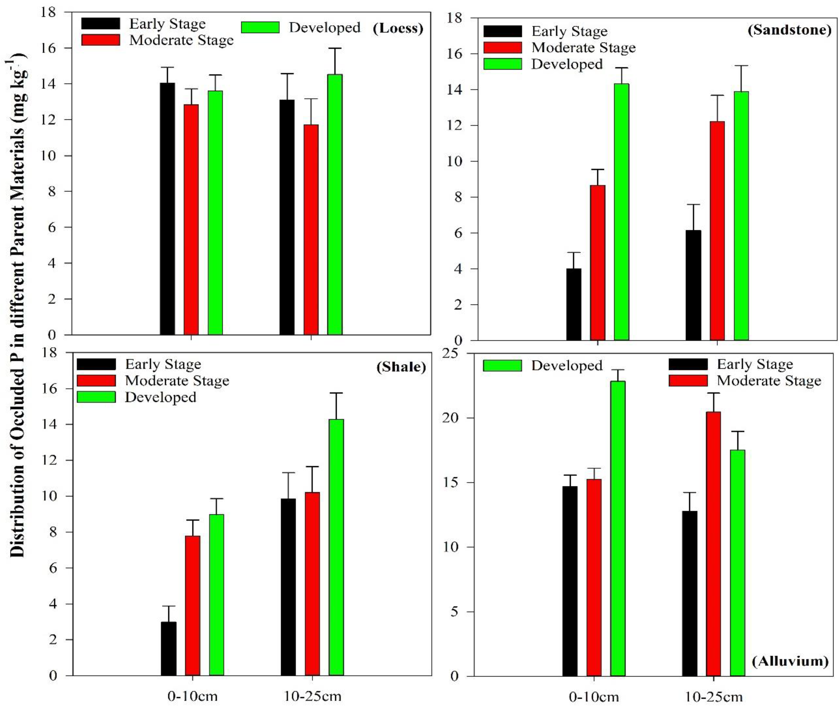
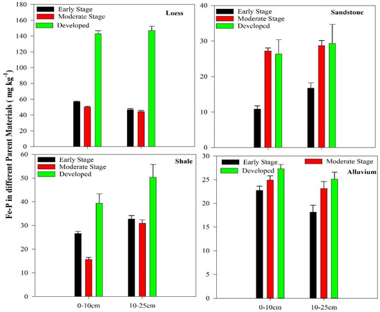
3.3.2. Phosphorus Adsorbed on Surfaces and Occluded in Iron Oxides
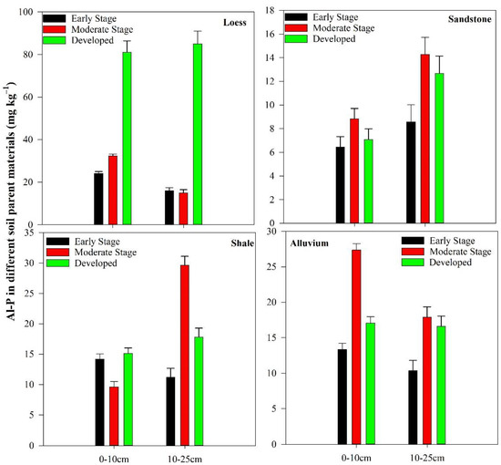
3.3.3. Phosphorus Adsorbed on Aluminum Oxides
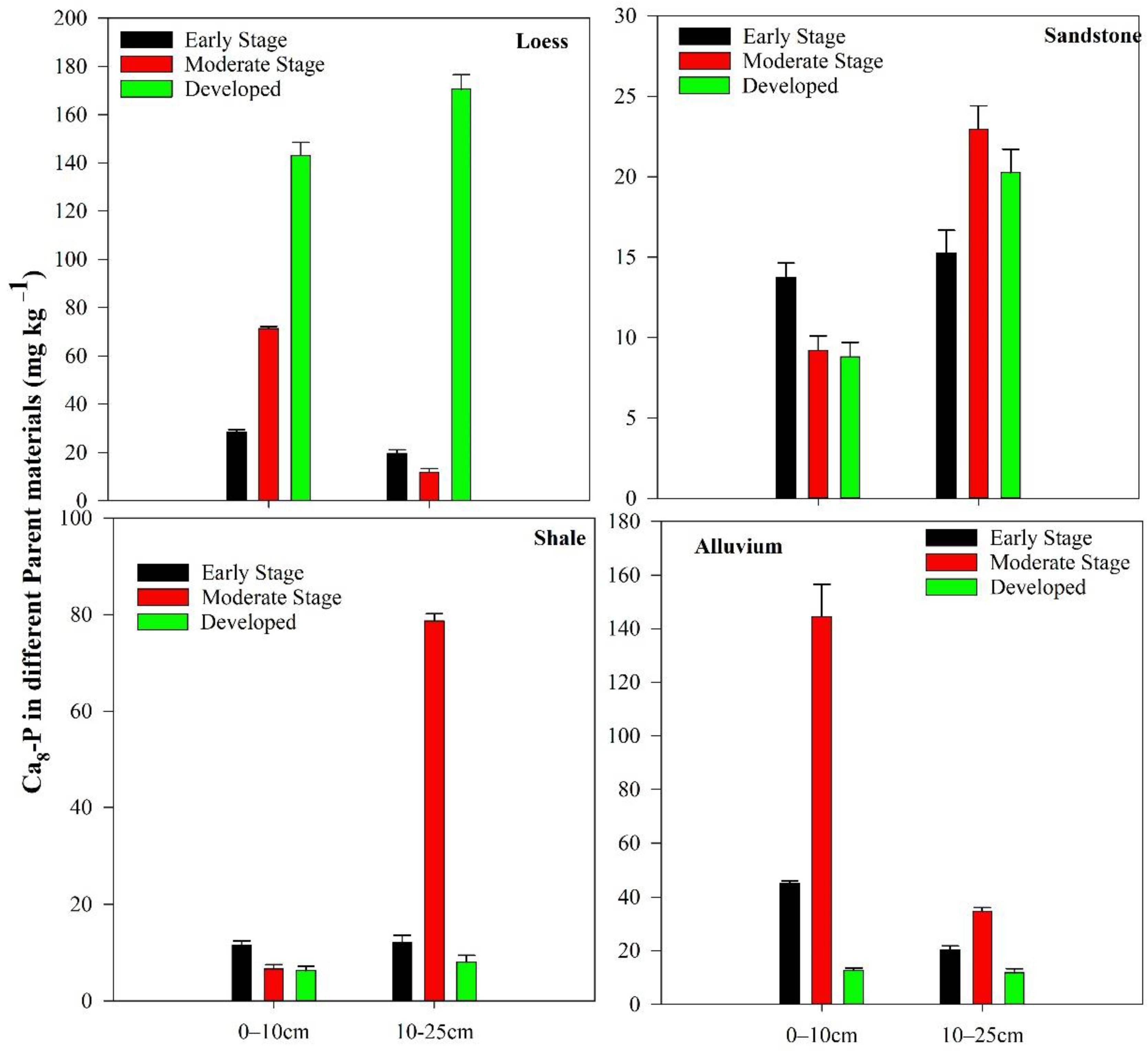
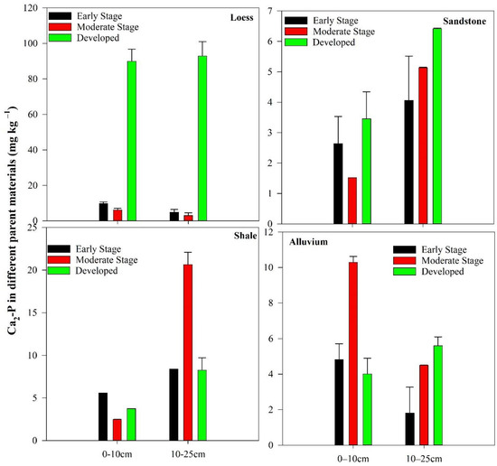
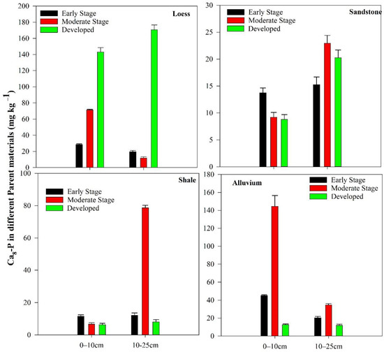
3.3.4. Calcium Phosphate
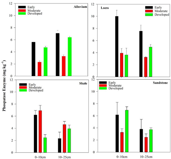
3.4. Soil Phosphatase
3.5. Olsen Phosphorus
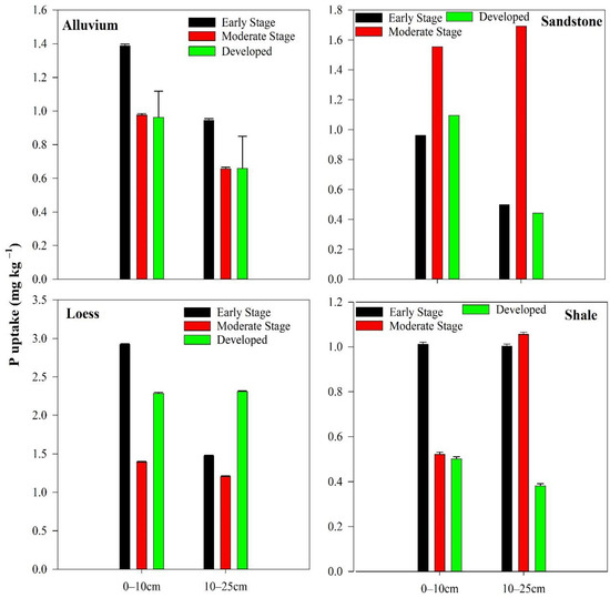
3.6. Phosphorus Uptake by Maize Plants
3.7. Correlation between P Uptake and P Fractions
4. Conclusions
Author Contributions
Funding
Institutional Review Board Statement
Informed Consent Statement
Data Availability Statement
Conflicts of Interest
References
- Memon, M.; Akhtar, M.S.; Memon, K.S.; Stüben, D. Phosphorus forms in the indus river alluvial and loess, shale and limestone derived residual soils. Asian J. Chem. 2011, 23, 1952–1962. [Google Scholar]
- Cao, Y.; Sun, H.; Zhang, J.; Chen, G.; Zhu, H.; Zhou, S.; Xiao, H. Effects of wheat straw addition on dynamics and fate of nitrogen applied to paddy soils. Soil Tillage Res. 2018, 178, 92–98. [Google Scholar] [CrossRef]
- Hui, X.; Luo, L.; Wang, S.; Cao, H.; Huang, M.; Shi, M.; Malhi, S.S.; Wang, Z. Critical concentration of available soil phosphorus for grain yield and zinc nutrition of winter wheat in a zinc-deficient calcareous soil. Plant Soil 2019, 444, 315–330. [Google Scholar] [CrossRef]
- Mahmood, M.; Tian, Y.; Ma, Q.; Ahmed, W.; Mehmood, S.; Hui, X.; Wang, Z. Changes in Phosphorus Fractions and Its Availability Status in Relation to Long Term P Fertilization in Loess Plateau of China. Agronomy 2020, 10, 1818. [Google Scholar] [CrossRef]
- Nishigaki, T.; Tsujimoto, Y.; Rinasoa, S.; Rakotoson, T.; Andriamananjara, A.; Razafimbelo, T. Phosphorus uptake of rice plants is affected by phosphorus forms and physicochemical properties of tropical weathered soils. Plant Soil 2019, 435, 27–38. [Google Scholar] [CrossRef]
- Elrys, A.S.; Desoky, E.S.M.; Ali, A.; Zhang, J.b.; Cai, Z.c.; Cheng, Y. Sub-Saharan Africa’s food nitrogen and phosphorus footprints: A scenario analysis for 2050. Sci. Total Environ. 2021, 752, 141964. [Google Scholar] [CrossRef]
- Barrow, N.J.; Sen, A.; Roy, N.; Debnath, A. The soil phosphate fractionation fallacy. Plant Soil 2021, 459, 1–11. [Google Scholar] [CrossRef]
- Wan, J.; Yuan, X.; Han, L.; Ye, H.; Yang, X. Characteristics and distribution of organic phosphorus fractions in the surface sediments of the inflow rivers around hongze lake, China. Int. J. Environ. Res. Public Health 2020, 17, 648. [Google Scholar] [CrossRef]
- Braos, L.B.; da Cruz, M.C.P.; Ferreira, M.E.; Kuhnen, F. Frações do fósforo orgânico em solo adubado com esterco bovino. Rev. Bras. Cienc. Solo 2015, 39, 140–150. [Google Scholar] [CrossRef]
- Nishigaki, T.; Sugihara, S.; Kobayashi, K.; Hashimoto, Y.; Kilasara, M.; Tanaka, H.; Watanabe, T.; Funakawa, S. Fractionation of phosphorus in soils with different geological and soil physicochemical properties in southern Tanzania. Soil Sci. Plant Nutr. 2018, 64, 291–299. [Google Scholar] [CrossRef]
- Wang, Y.T.; Zhang, T.Q.; Zhao, Y.C.; Ciborowski, J.H.H.; Zhao, Y.M.; O’Halloran, I.P.; Qi, Z.M.; Tan, C.S. Characterization of sedimentary phosphorus in Lake Erie and on-site quantification of internal phosphorus loading. Water Res. 2021, 188, 116525. [Google Scholar] [CrossRef] [PubMed]
- Chen, S.; Cade-Menun, B.J.; Bainard, L.D.; St. Luce, M.; Hu, Y.; Chen, Q. The influence of long-term N and P fertilization on soil P forms and cycling in a wheat/fallow cropping system. Geoderma 2021, 404, 115274. [Google Scholar] [CrossRef]
- Wang, Z.; Sadras, V.O.; Hoogmoed, M.; Yang, X.; Huang, F.; Han, X.; Zhang, S. Shifts in nitrogen and phosphorus uptake and allocation in response to selection for yield in Chinese winter wheat. Crop Pasture Sci. 2017, 68, 807–816. [Google Scholar] [CrossRef]
- Soils.usda.gov. Exploring Soil Texture. UW-CMN For-Cllimate Fall 2011 Course; United States Department of Agriculture: Washington, DC, USA, 2011; Volume 5, pp. 7–10.
- Smeck, N.E.; Wilding, L.P. Quantitative evaluation of pedon formation in calcareous glacial deposits in Ohio. Geoderma 1980, 24, 1–16. [Google Scholar] [CrossRef]
- de Terra, H.; de Chardin, P.T. Observations on the Upper Siwalik Formation and Later Pleistocene Deposits in India. Proc. Am. Philos. Soc. 1936, 76, 791–822. [Google Scholar]
- Larssen, T.; Vogt, R.D.; Seip, H.M.; Furuberg, G.; Liao, B.; Xiao, J.; Xiong, J. Mechanisms for aluminum release in Chinese acid forest soils. Geoderma 1999, 91, 65–86. [Google Scholar] [CrossRef]
- Bossart, P.; Ottiger, R. Rocks of the Murree formation in northern Pakistan: Indicators of a descending foreland basin of late Paleocene to middle Eocene age. Eclogae Geol. Helv. 1989, 82, 133–165. [Google Scholar]
- Nannipieri, P.; Giagnoni, L.; Landi, L.; Renella, G. Role of Phosphatase Enzymes in Soil; Springer: Berlin/Heidelberg, Germany, 2011; pp. 215–243. [Google Scholar]
- Jiang, B.; Gu, Y. A suggested fractionation scheme of inorganic phosphorus in calcareous soils. Fertil. Res. 1989, 20, 159–165. [Google Scholar] [CrossRef]
- Eivazi, F.; Tabatabai, M.A. Phosphatases in soils. Soil Biol. Biochem. 1977, 9, 167–172. [Google Scholar] [CrossRef]
- Anderson, J.M.; Ingram, J.S.I. Tropical Soil Biology and Fertility: A Handbook of Methods, 2nd ed.; C.A.B. International: Wallingford, UK, 1993. [Google Scholar]
- Mahmood, M.; Tian, Y.; Ma, Q.; Hui, X.; Elrys, A.S.; Ahmed, W.; Mehmood, S.; Wang, Z. Changes in phosphorus fractions in response to long-term nitrogen fertilization in loess plateau of China. Field Crop. Res. 2021, 270, 108207. [Google Scholar] [CrossRef]
- Nunes, R.d.S.; de Sousa, D.M.G.; Goedert, W.J.; de Oliveira, L.E.Z.; Pavinato, P.S.; Pinheiro, T.D. Distribution of Soil Phosphorus Fractions as a Function of Long-Term Soil Tillage and Phosphate Fertilization Management. Front. Earth Sci. 2020, 8, 350. [Google Scholar] [CrossRef]
- Adhami, E.; Owliaie, H.R.; Molavi, R.; Rezaei Rashti, M.; Esfandbod, M. Effects of soil properties on phosphorus fractions in subtropical soils of Iran. J. Soil Sci. Plant Nutr. 2013, 13, 11–21. [Google Scholar] [CrossRef][Green Version]
- Naeem, I.; Masood, N.; Turan, V.; Iqbal, M. Prospective usage of magnesium potassium phosphate cement combined with Bougainvillea alba derived biochar to reduce Pb bioavailability in soil and its uptake by Spinacia oleracea L. Ecotoxicol. Environ. Saf. 2021, 208, 111723. [Google Scholar] [CrossRef] [PubMed]
- Cai, A.; Zhang, W.; Xu, M.; Wang, B.; Wen, S.; Shah, S.A.A. Soil fertility and crop yield after manure addition to acidic soils in South China. Nutr. Cycl. Agroecosyst. 2018, 111, 61–72. [Google Scholar] [CrossRef]
- Vitousek, P.M.; Porder, S.; Houlton, B.Z.; Chadwick, O.A. Terrestrial phosphorus limitation: Mechanisms, implications, and nitrogen-phosphorus interactions. Ecol. Appl. 2010, 20, 5–15. [Google Scholar] [CrossRef]
- Memon, M.; Jamro, G.M.; Memon, N.U.N.; Memon, K.S.; Akhtar, M.S. Micronutrient availability assessment of tomato grown in Taluka Badin, Sindh. Pak. J. Bot. 2012, 44, 649–654. [Google Scholar]
- Chen, H.; Chen, M.; Li, D.; Mao, Q.; Zhang, W.; Mo, J. Responses of soil phosphorus availability to nitrogen addition in a legume and a non-legume plantation. Geoderma 2018, 322, 12–18. [Google Scholar] [CrossRef]
- Mehmood, A.; Akhtar, M.S.; Imran, M.; Rukh, S. Soil apatite loss rate across different parent materials. Geoderma 2018, 310, 218–229. [Google Scholar] [CrossRef]
- Akhtar, M.S.; Imran, M.; Mehmood, A.; Memon, M.; Rukh, S.; Kiani, G.S. Apatite Loss in Pothwar Loess Plain (Pakistan) Fits a Simple Linear Reservoir Model. Pedosphere 2014, 24, 763–775. [Google Scholar] [CrossRef]
- Conservation, W.; Sciences, F.; Mehr, P.; Shah, A. Relationship of Parent Material and Soil Genesis with Apatite and Phosphorus Availability in Rainfed Region. Ph.D. Thesis, PMAS-Arid Agriculture University Rawalpindi, Rawalpindi, Pakistan, 2014. [Google Scholar]
- Ahmed, W.; Kailou, L.; Qaswar, M.; Jing, H.; Qinghai, H.; Yongmei, X.; Ali, S.; Mehmood, S.; Ammar Asghar, R.M.; Mahmood, M.; et al. Long-term mineral fertilization improved the grain yield and phosphorus use efficiency by changing soil P fractions in ferralic Cambisol. Agronomy 2019, 9, 784. [Google Scholar] [CrossRef]
- Dai, J.; Wang, Z.; Li, F.; He, G.; Wang, S.; Li, Q.; Cao, H.; Luo, L.; Zan, Y.; Meng, X.; et al. Optimizing nitrogen input by balancing winter wheat yield and residual nitrate-N in soil in a long-term dryland field experiment in the Loess Plateau of China. Field Crop. Res. 2015, 181, 32–41. [Google Scholar] [CrossRef]
- Samadi, A.; Gilkes, R.J. Phosphorus Transformations and Their Relationships with Calcareous Soil Properties of Southern Western Australia. Soil Sci. Soc. Am. J. 1999, 63, 809–815. [Google Scholar] [CrossRef]
- Guo, F.; Yost, R.S.; Hue, N.V.; Evensen, C.I.; Silva, J.A. East under Intensive Plant Growth; Beck and Sanchez: Malaga, Spain, 1993; Volume 64. [Google Scholar]
- Zhu, X.; Zhao, X.; Lin, Q.; Alamus; Wang, H.; Liu, H.; Wei, W.; Sun, X.; Li, Y.; Li, G. Distribution Characteristics of Soil Organic Phosphorus Fractions in the Inner Mongolia Steppe. J. Soil Sci. Plant Nutr. 2020, 20, 2394–2405. [Google Scholar] [CrossRef]
- Wang, X.; Zhou, J.; Wu, Y.; Bol, R.; Wu, Y.; Sun, H.; Bing, H. Fine sediment particle microscopic characteristics, bioavailable phosphorus and environmental effects in the world largest reservoir. Environ. Pollut. 2020, 265, 114917. [Google Scholar] [CrossRef]
- Mehmood, A.; Akhtar, M.; Khan, K.; Khalid, A.; Imran, M.; Rukh, S. Relationship of Phosphorus Uptake with Its Fractions in Different Soil Parent Materials. Int. J. Plant Soil Sci. 2015, 4, 45–53. [Google Scholar] [CrossRef]
- Sommers, L.E.; Harris, R.F.; Williams, J.D.H.; Armstrong, D.E.; Syers, J.K. Determination of Total Organic Phosphorus in Lake Sediments. Limnol. Oceanogr. 1970, 15, 301–303. [Google Scholar] [CrossRef]
- Selles, F.; Campbell, C.A.; Zentner, R.P.; Curtin, D.; James, D.C.; Basnyat, P. Phosphorus use efficiency and long-term trends in soil available phosphorus in wheat production systems with and without nitrogen fertilizer. Can. J. Soil Sci. 2011, 91, 39–52. [Google Scholar] [CrossRef]
- Gómez, B.O. Television to the rescue of romantic comedy: “Sex and the City’s” revitalisation of the genre at the turn of the millennium. Int. J. Interdiscip. Soc. Sci. 2011, 5, 127–138. [Google Scholar] [CrossRef]
- Vu, D.T.; Tang, C.; Armstrong, R.D. Transformations and availability of phosphorus in three contrasting soil types from native and farming systems: A study using fractionation and isotopic labeling techniques. J. Soils Sediments 2010, 10, 18–29. [Google Scholar] [CrossRef]
- Audette, Y.; O’Halloran, I.P.; Paul Voroney, R. Kinetics of phosphorus forms applied as inorganic and organic amendments to a calcareous soil. Geoderma 2016, 262, 119–124. [Google Scholar] [CrossRef]
- Audette, Y.; O’Halloran, I.P.; Evans, L.J.; Voroney, R.P. Preliminary validation of a sequential fractionation method to study phosphorus chemistry in a calcareous soil. Chemosphere 2016, 152, 369–375. [Google Scholar] [CrossRef] [PubMed]
- Wang, Y.; Shen, Z.; Zhang, Z. Phosphorus Speciation and Nutrient Stoichiometry in the Soil-Plant System During Primary Ecological Restoration of Copper Mine Tailings. Pedosphere 2018, 28, 530–541. [Google Scholar] [CrossRef]
- Guo, S.L.; Dang, T.H.; Hao, M. De Phosphorus Changes and Sorption Characteristics in a Calcareous Soil Under Long-Term Fertilization1 1 Project supported by the National Basic Research Program of China (No. 2005CB121102), the Knowledge Innovation Program of the Chinese Academy of Sciences. Pedosphere 2008, 18, 248–256. [Google Scholar] [CrossRef]
- Kul, R.; Arjumend, T.; Ekinci, M.; Yildirim, E.; Turan, M.; Argin, S. Biochar as an organic soil conditioner for mitigating salinity stress in tomato. Soil Sci. Plant Nutr. 2021, 67, 693–706. [Google Scholar] [CrossRef]
- Medinski, T.; Freese, D.; Reitz, T. Changes in soil phosphorus balance and phosphorus-use efficiency under long-term fertilization conducted on agriculturally used chernozem in germany. Can. J. Soil Sci. 2018, 98, 650–662. [Google Scholar] [CrossRef]
- Metson, G.S.; Lin, J.; Harrison, J.A.; Compton, J.E. Linking terrestrial phosphorus inputs to riverine export across the United States. Water Res. 2017, 124, 177–191. [Google Scholar] [CrossRef]
- Shi, L.L.; Shen, M.X.; Lu, C.Y.; Wang, H.H.; Zhou, X.W.; Jin, M.J.; Wu, T.D. Soil phosphorus dynamic, balance and critical P values in long-term fertilization experiment in Taihu Lake region, China. J. Integr. Agric. 2015, 14, 2446–2455. [Google Scholar] [CrossRef]
- Khan, K.S.; Joergensen, R.G. Changes in microbial biomass and P fractions in biogenic household waste compost amended with inorganic P fertilizers. Bioresour. Technol. 2009, 100, 303–309. [Google Scholar] [CrossRef]
- Beck, M.A.; Sanchez, P.A. Soil Phosphorus Fraction Dynamics during 18 Years of Cultivation on a Typic Paleudult. Soil Sci. Soc. Am. J. 1994, 58, 1424–1431. [Google Scholar] [CrossRef]
- Klammsteiner, T.; Turan, V.; Juárez, M.F.D.; Oberegger, S.; Insam, H. Suitability of black soldier fly frass as soil amendment and implication for organic waste hygienization. Agronomy 2020, 10, 1578. [Google Scholar] [CrossRef]
- Mao, X.; Xu, X.; Lu, K.; Gielen, G.; Luo, J.; He, L.; Donnison, A.; Xu, Z.; Xu, J.; Yang, W.; et al. Effect of 17 years of organic and inorganic fertilizer applications on soil phosphorus dynamics in a rice–wheat rotation cropping system in eastern China. J. Soils Sediments 2015, 15, 1889–1899. [Google Scholar] [CrossRef]
- Zhang, M.K.; He, Z.L.; Calvert, D.V.; Stoffella, P.J.; Yang, X.E.; Li, Y.C. Phosphorus and Heavy Metal Attachment and Release in Sandy Soil Aggregate Fractions. Soil Sci. Soc. Am. J. 2003, 67, 1158–1167. [Google Scholar] [CrossRef]
- Bravo, C.; Torrent, J.; Giráldez, J.V.; González, P.; Ordóñez, R. Long-term effect of tillage on phosphorus forms and sorption in a Vertisol of southern Spain. Eur. J. Agron. 2006, 25, 264–269. [Google Scholar] [CrossRef]
- Laboski, C.A.M.; Lamb, J.A. Impact of manure application on soil phosphorus sorption characteristics and subsequent water quality implications. Soil Sci. 2004, 169, 440–448. [Google Scholar] [CrossRef]
- Meason, D.F.; Idol, T.W.; Friday, J.B.; Scowcroft, P.G. Effects of fertilisation on phosphorus pools in the volcanic soil of a managed tropical forest. For. Ecol. Manag. 2009, 258, 2199–2206. [Google Scholar] [CrossRef]
- Hinsinger, P. Bioavailability of soil inorganic P in the rhizosphere as affected by root-induced chemical changes: A review. Plant Soil 2001, 237, 173–195. [Google Scholar] [CrossRef]
- Blake, L.; Mercik, S.; Koerschens, M.; Moskal, S.; Poulton, P.R.; Goulding, K.W.T.; Weigel, A.; Powlson, D.S. Phosphorus content in soil, uptake by plants and balance in three European long-term field experiments. Nutr. Cycl. Agroecosyst. 2000, 56, 263–275. [Google Scholar] [CrossRef]
- Redel, Y.; Staunton, S.; Durán, P.; Gianfreda, L.; Rumpel, C.; de la Luz Mora, M. Fertilizer P Uptake Determined by Soil P Fractionation and Phosphatase Activity. J. Soil Sci. Plant Nutr. 2019, 19, 166–174. [Google Scholar] [CrossRef]
- Udvardi, M.; Below, F.E.; Castellano, M.J.; Eagle, A.J.; Giller, K.E.; Ladha, J.K.; Liu, X.; Maaz, T.M.C.; Nova-Franco, B.; Raghuram, N.; et al. A Research Road Map for Responsible Use of Agricultural Nitrogen. Front. Sustain. Food Syst. 2021, 5, 660155. [Google Scholar] [CrossRef]
- Liu, C.A.; Li, F.R.; Liu, C.C.; Zhang, R.H.; Zhou, L.M.; Jia, Y.; Gao, W.J.; Li, J.T.; Ma, Q.f.; Siddique, K.H.M.; et al. Yield-increase effects via improving soil phosphorus availability by applying K2SO4 fertilizer in calcareous-alkaline soils in a semi-arid agroecosystem. Field Crop. Res. 2013, 144, 69–76. [Google Scholar] [CrossRef]
- Fan, Y.; Zhong, X.; Lin, F.; Liu, C.; Yang, L.; Wang, M.; Chen, G.; Chen, Y.; Yang, Y. Responses of soil phosphorus fractions after nitrogen addition in a subtropical forest ecosystem: Insights from decreased Fe and Al oxides and increased plant roots. Geoderma 2019, 337, 246–255. [Google Scholar] [CrossRef]
- Tiecher, T.; dos Santos, D.R.; Calegari, A. Soil organic phosphorus forms under different soil management systems and winter crops, in a long term experiment. Soil Till. Res. 2012, 124, 57–67. [Google Scholar] [CrossRef]
- Turner, B.L.; Paph´azy, M.J.; Haygarth, P.M.; Mckelvie, I.D. Inositol phosphates in the environment. Philos. Trans. R Soc. Lond. B 2002, 357, 449–469. [Google Scholar] [CrossRef] [PubMed]












| Parent Material | Total | Organic | Apatite | Iron Oxide | Occluded | Aluminum | Octa Calcium | Dicalcium |
|---|---|---|---|---|---|---|---|---|
| Loess | 792 a | 223 a | 310 a | 83.2 a | 13.4 a | 45.8 a | 81.0 a | 35.3 a |
| 741 b | 207 b | 301 a | 79.3 b | 13.1 a | 38.6 b | 67.3 b | 33.6 a | |
| Shale | 433 b | 151 b | 222 b | 27.1 b | 6.5 b | 12.9 b | 8.12 b | 4 b |
| 551 a | 203 a | 233 a | 38.0 a | 11.4 a | 19.5 a | 33 a | 12.4 a | |
| Alluvium | 681 a | 194 a | 350 a | 12.0 b | 17.5 a | 19.2 a | 67.3 a | 6.3 a |
| 567 b | 165 b | 321 a | 40.0 a | 17 a | 15 b | 22.2 b | 4 b | |
| Sandstone | 316 b | 103 b | 162 b | 25.0 a | 9 a | 7.4 b | 10.5 b | 2.5 b |
| 417 a | 145 a | 199 a | 22.1 a | 10.7 a | 11.8 a | 19.4 a | 5.2 a |
| PM | Phosphatase (mg kg−1) | Olsen P (mg kg−1) | P Uptake (kg ha−1) |
|---|---|---|---|
| Loess (0–10 cm) | 5.8 a | 40.1 a | 2.20 a |
| Loess (10–25 cm) | 5.2 a | 35.1 b | 0.66 b |
| Shale (0–10 cm) | 5.4 a | 4.60 b | 0.67 a |
| Shale (10–25 cm) | 3.3 b | 15.8 a | 0.81 a |
| Alluvium (0–25 cm) | 4.2 b | 7.94 a | 1.16 a |
| Alluvium (10–25 cm) | 5.5 a | 0.36 b | 0.75 b |
| Sandstone (0–10 cm) | 5.1 a | 3.42 b | 1.20 a |
| Sandstone (10–25 cm) | 3.6 b | 6.30 a | 0.87 b |
Publisher’s Note: MDPI stays neutral with regard to jurisdictional claims in published maps and institutional affiliations. |
© 2022 by the authors. Licensee MDPI, Basel, Switzerland. This article is an open access article distributed under the terms and conditions of the Creative Commons Attribution (CC BY) license (https://creativecommons.org/licenses/by/4.0/).
Share and Cite
Mahmood, M.; Xu, T.; Ahmed, W.; Yang, J.; Li, J.; Mehmood, S.; Liu, W.; Weng, J.; Li, W. Variability in Soil Parent Materials at Different Development Stages Controlled Phosphorus Fractions and Its Uptake by Maize Crop. Sustainability 2022, 14, 5048. https://doi.org/10.3390/su14095048
Mahmood M, Xu T, Ahmed W, Yang J, Li J, Mehmood S, Liu W, Weng J, Li W. Variability in Soil Parent Materials at Different Development Stages Controlled Phosphorus Fractions and Its Uptake by Maize Crop. Sustainability. 2022; 14(9):5048. https://doi.org/10.3390/su14095048
Chicago/Turabian StyleMahmood, Mohsin, Tianwei Xu, Waqas Ahmed, Jie Yang, Jiannan Li, Sajid Mehmood, Wenjie Liu, Jiechang Weng, and Weidong Li. 2022. "Variability in Soil Parent Materials at Different Development Stages Controlled Phosphorus Fractions and Its Uptake by Maize Crop" Sustainability 14, no. 9: 5048. https://doi.org/10.3390/su14095048
APA StyleMahmood, M., Xu, T., Ahmed, W., Yang, J., Li, J., Mehmood, S., Liu, W., Weng, J., & Li, W. (2022). Variability in Soil Parent Materials at Different Development Stages Controlled Phosphorus Fractions and Its Uptake by Maize Crop. Sustainability, 14(9), 5048. https://doi.org/10.3390/su14095048

