Effects of Biochar-Based Fertilizers on Energy Characteristics and Growth of Black Locust Seedlings
Abstract
:1. Introduction
2. Materials and Methods
2.1. Soil and Biochar-Based Fertilizers
2.2. Experimental Design
2.3. Experimental Indicators and Determination Methods
2.4. Data Analysis
3. Results
3.1. Element Content
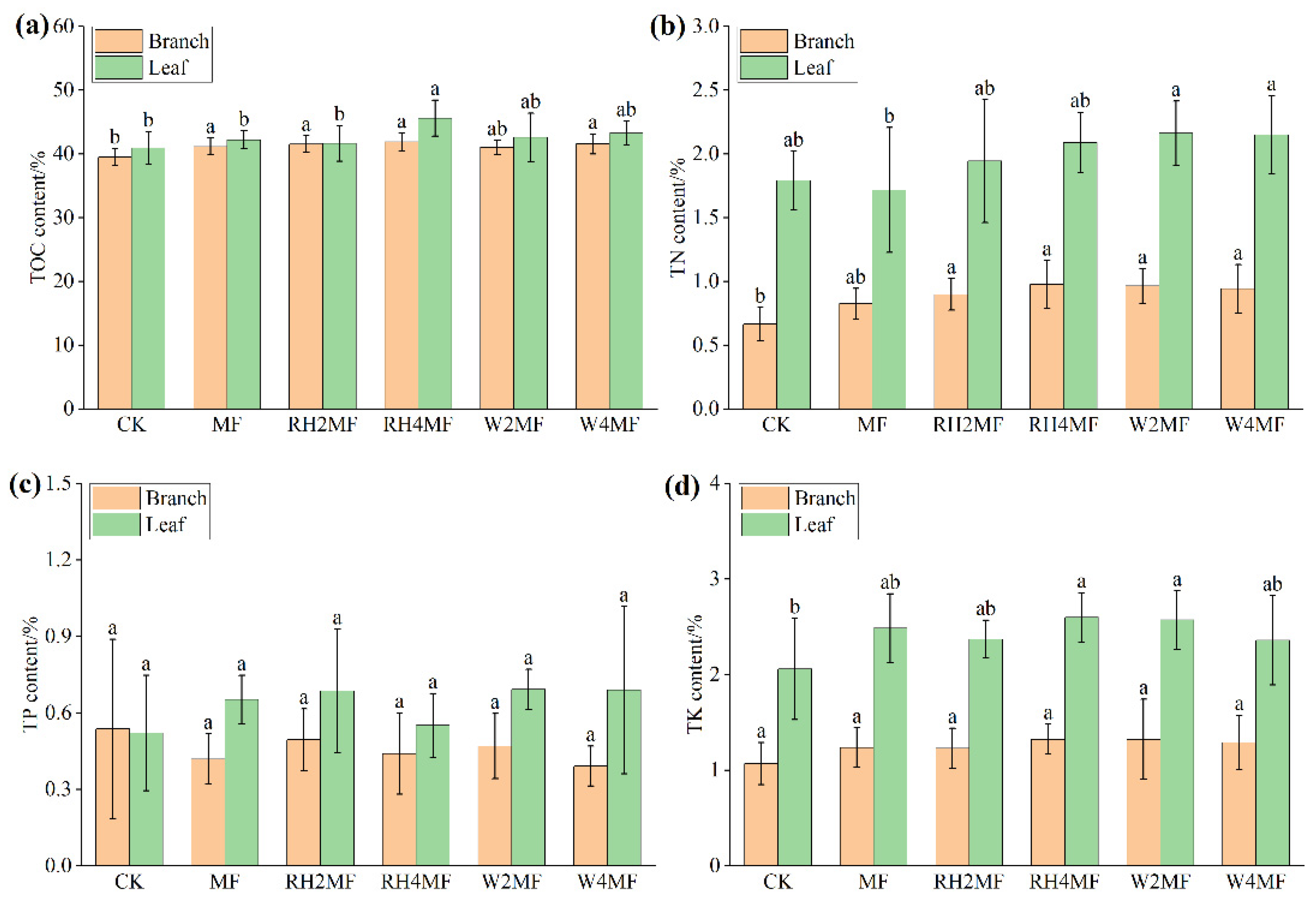
3.1.1. C, N, P, and K Content
3.1.2. Ash Content
3.2. Calorific Value
3.3. Biomass
3.4. Correlation Analysis of Indicators
3.5. PCA Analysis and Comprehensive Evaluation
4. Discussion
5. Conclusions
Supplementary Materials
Author Contributions
Funding
Institutional Review Board Statement
Informed Consent Statement
Conflicts of Interest
References
- Yan, Y.; Dai, Q.; Yuan, Y.; Peng, X.; Zhao, L.; Yang, J. Effects of rainfall intensity on runoff and sediment yields on bare slopes in a karst area, SW China. Geoderma 2018, 330, 30–40. [Google Scholar] [CrossRef]
- Zhidong, Z.; Ting, G.; Lukas, V.Z.; Qian, Z.; Taotao, Y.; Jianhui, X.; Yongbo, W. Soil Microbial Community Structure Shifts Induced by Biochar and Biochar-Based Fertilizer Amendment to Karst Calcareous Soil. Soil Sci. Soc. Am. J. 2019, 83, 398–408. [Google Scholar]
- Liu, S.; Zhang, W.; Wang, K.; Pan, F.; Yang, S.; Shu, S. Factors controlling accumulation of soil organic carbon along vegetation succession in a typical karst region in Southwest China. Sci. Total Environ. 2015, 521–522, 52–58. [Google Scholar] [CrossRef]
- Yan, T.; Xue, J.; Zhou, Z.; Wu, Y. Biochar-based fertilizer amendments improve the soil microbial community structure in a karst mountainous area. Sci. Total Environ. 2021, 794, 148757. [Google Scholar] [CrossRef] [PubMed]
- Bin, Y.; Kangning, X.; Qi, W.; Qiming, W. Can agricultural biomass energy provide an alternative energy source for karst rocky desertification areas in Southwestern China? investigating Guizhou Province as example. Environ. Sci. Pollut. Res. 2021, 28, 44315–44331. [Google Scholar]
- Dejan, M.; Zoran, S.; Veselin, D.; Ana, V.; Nevena, S. Application of renewable energy sources along motorway infrastructures on high karst plateaus: West Serbia case study. Environ. Earth Sci. 2016, 75, 859. [Google Scholar]
- Aslan, A. The causal relationship between biomass energy use and economic growth in the United States. Renew. Sustain. Energy Rev. 2016, 57, 362–366. [Google Scholar] [CrossRef]
- Feng, L.S.; Wei, W.W.; Zhong, J.W. Gaming Analysis among Different Participants in the Construction of Biomass Energy Forest Base. Adv. Mater. Res. 2012, 512, 416–420. [Google Scholar]
- Kumar, R.; Pandey, K.K.; Chandrashekar, N.; Mohan, S. Study of age and height wise variability on calorific value and other fuel properties of Eucalyptus hybrid, Acacia auriculaeformis and Casuarina equisetifolia. Biomass Bioenergy 2011, 35, 1339–1344. [Google Scholar] [CrossRef]
- Cha, D.S.; Ji, B. Estimating the heating value of major coniferous trees by moisture content. Korean J. Agric. Sci. 2011, 38, 619–624. [Google Scholar]
- Yokoyama, S.; Adachi, Y. Seasonal variations in organic materials and calorific values of Japanese cedar and cypress leaves. J. Mater. Cycles Waste 2017, 19, 592–597. [Google Scholar] [CrossRef]
- Song, G.; Hou, J.; Li, Y.; Zhang, J.; He, N. Leaf Caloric Value from Tropical to Cold-Temperate Forests: Latitudinal Patterns and Linkage to Productivity. PLoS ONE 2016, 11, e157935. [Google Scholar] [CrossRef] [PubMed]
- Golley, F.B. Caloric Value of Wet Tropical Forest Vegetation. Ecology 1969, 50, 517–519. [Google Scholar] [CrossRef]
- Kraszkiewicz, A. Productivity of Black Locust (Robinia pseudoacacia L.) Grown on a Varying Habitats in Southeastern Poland. Forests 2021, 12, 470. [Google Scholar] [CrossRef]
- Zhu, X.Q.; Wang, C.Y.; Chen, H.; Tang, M. Effects of arbuscular mycorrhizal fungi on photosynthesis, carbon content, and calorific value of black locust seedlings. Photosynthetica 2014, 52, 247–252. [Google Scholar] [CrossRef]
- Bu, X.; Xue, J.; Wu, Y.; Ma, W. Effect of Biochar on Seed Germination and Seedling Growth of Robinia pseudoacacia L. in Karst Calcareous Soils. Commun. Soil Sci. Plant Anal. 2020, 51, 352–363. [Google Scholar] [CrossRef]
- Ogura, A.P.; Lima, J.Z.; Marques, J.P.; Sousa, L.M.; Silvestre Rodrigues, V.G.; Gaeta Espindola, E.L. A review of pesticides sorption in biochar from maize, rice, and wheat residues: Current status and challenges for soil application. J. Environ. Manag. 2021, 300, 113753. [Google Scholar] [CrossRef]
- Brtnicky, M.; Datta, R.; Holatko, J.; Bielska, L.; Gusiatin, Z.M.; Kucerik, J.; Hammerschmiedt, T.; Danish, S.; Radziemska, M.; Mravcova, L.; et al. A critical review of the possible adverse effects of biochar in the soil environment. Sci. Total Environ. 2021, 796, 148756. [Google Scholar] [CrossRef]
- Ji, M.; Wang, X.; Usman, M.; Liu, F.; Dan, Y.; Zhou, L.; Campanaro, S.; Luo, G.; Sang, W. Effects of different feedstocks-based biochar on soil remediation: A review. Environ. Pollut. 1800, 294, 118655. [Google Scholar] [CrossRef]
- Cheng, C.; Lehmann, J.; Thies, J.E.; Burton, S.D.; Engelhard, M.H. Oxidation of black carbon by biotic and abiotic processes. Org. Geochem. 2006, 37, 1477–1488. [Google Scholar] [CrossRef]
- Hanzhi, Z.; Yuan, H.; Gang, L.; Yanping, X.; Jinshan, L.; Qicheng, B.; Xingwu, L.; Jianguo, Z.; Zubin, X. Effects of biochar on corn growth, nutrient uptake and soil chemical properties in seeding stage. Ecol. Environ. Sci. 2010, 19, 2713–2717. [Google Scholar]
- Liu, M.; Lai, Y.; Li, W.; Xiao, J.; Bi, Y.; Liu, M.; Li, W. Effect of Biochar and Nitrogen Application Rate on Growth Development and Yield of Soybean. Soybean Sci. 2015, 34, 87–92. [Google Scholar]
- Chen, Z.; Pei, J.; Wei, Z.; Ruan, X.; Hua, Y.; Xu, W.; Zhang, C.; Liu, T.; Guo, Y. A novel maize biochar-based compound fertilizer for immobilizing cadmium and improving soil quality and maize growth. Environ. Pollut. 2021, 277, 116455. [Google Scholar] [CrossRef] [PubMed]
- You, X.; Yin, S.; Suo, F.; Xu, Z.; Chu, D.; Kong, Q.; Zhang, C.; Li, Y.; Liu, L. Biochar and fertilizer improved the growth and quality of the ice plant (Mesembryanthemum crystallinum L.) shoots in a coastal soil of Yellow River Delta, China. Sci. Total Environ. 2021, 775, 144893. [Google Scholar] [CrossRef]
- Thomas, F.D.; Jeffrey, M.N.; Gilbert, C.S.; James, A.I.; Hannah, C.R.; Donald, W.W.; Kristin, M.T.; Kurt, A.S.; Kenneth, C.S.; Mark, G.J. Microbial response to designer biochar and compost treatments for mining impacted soils. Biochar 2021, 3, 299–314. [Google Scholar]
- Birk, E.M.; Turner, J. Response of flooded gum (E. grandis) to intensive cultural treatments: Biomass and nutrient content of eucalypt plantations and native forests. For. Ecol. Manag. 1992, 47, 1–28. [Google Scholar] [CrossRef]
- Qian, Z.; Zhidong, Z.; Yi, S.; Yongbo, W.; Jianhui, X. Effects of biochar-based fertilizer on phosphorus content of karst calcareous soil. Acta Ecol. Sin. 2018, 38, 4037–4044. [Google Scholar]
- Yan, T.; Xue, J.; Zhou, Z.; Wu, Y. Impacts of biochar-based fertilization on soil arbuscular mycorrhizal fungal community structure in a karst mountainous area. Environ. Sci. Pollut. Res. 2021, 28, 66420–66434. [Google Scholar] [CrossRef]
- Sun, J.; Bu, X.; Wu, Y.; Xu, J. Effects of biochar application on the growth of Robinia pseudoacacia L. seedlings and soil properties in limestone soil in a karst mountain site. Chin. J. Ecol. 2016, 35, 3250–3257. [Google Scholar]
- Qian, Z.; Taotao, Y.; Zhidong, Z.; Jiaman, S.; Jianhui, X.; Yongbo, W. Effects of biochar application on soil properties of limestone soil in karst and growth of Robinia pseudoacacia seedlings. Jiangsu Agric. Sci. 2018, 46, 241–245. [Google Scholar]
- Zhidong, Z.; Ting, G.; Qian, Z.; Taotao, Y.; Dongchang, L.; Jianhui, X.; Yongbo, W. Increases in bacterial community network complexity induced by biochar-based fertilizer amendments to karst calcareous soil. Geoderma 2019, 337, 691–700. [Google Scholar]
- Wu, S.; Zhu, Y.; Xu, J.; Lu, Z.; Chen, G.; Song, P.; Guo, W. Genetic variation and genetic gain for energy production, growth traits and wood properties in Eucalyptus hybrid clones in China. Aust. For. 2017, 80, 57–65. [Google Scholar] [CrossRef]
- Illman, A.M.; Scragg, A.H.; Shales, S.W. Increase in Chlorella strains calorific values when grown in low nitrogen medium. Enzym. Microb. Technol. 2000, 27, 631–635. [Google Scholar] [CrossRef]
- Zhao, Z.; Wu, Q.; Nie, T.; Zhou, W. Quantitative evaluation of relationships between adsorption and partition of atrazine in biochar-amended soils with biochar characteristics. Rsc Adv. 2019, 9, 4162–4171. [Google Scholar] [CrossRef] [Green Version]
- Gu, L.; He, Y.; Li, F. Effects of different water and fertilizer management on the growth and calorific value of alder sprouts in Sichuan and Yunnan. J. Yunnan Agric. Univ. 2011, 26, 683–688. [Google Scholar]
- Chang, L. A comparative experiment on the growth of tetraploid Robinia pseudoacacia and common Robinia pseudoacacia. Gansu Agric. 2005, 4. [Google Scholar] [CrossRef]
- Hou, J.; Wang, T.; Liu, Z. Creation technology of fast-growing and high-yield forest of Hongsen locust. South. Agric. 2014, 8, 78–80. [Google Scholar]
- Hou, J.; Wang, T. Excellent clone of locust tree—Hongsen locust. Mod. Hortic. 2014, 22. [Google Scholar] [CrossRef]
- Armecin, R.B.; Gabon, F.M. Biomass, organic carbon and mineral matter contents of abaca (Musa textilis Nee) at different stages of growth. Ind. Crop. Prod. 2008, 28, 340–345. [Google Scholar] [CrossRef]
- Jeong, K.S.; Seo, D.; Roy, S.K.; Moon-soon, L.; Boo, H.; Woo, S.; Hyun, K.H. Effects of N, P and K Fertilizers Application on Growth, Yield and Inorganic Components Content in Codonopsis lanceolata. J. Korean Soc. Int. Agric. 2016, 28, 379–384. [Google Scholar]
- Lasheen, F.E.; Negm, A.H.; Hassan, S.E.; Azab, E.; Gobouri, A.A.; Hewidy, M. Nitrogen, Phosphorous, and Potassium Application Rate on the Young Seedling Growth of Salvadora persica. Agriculture 2021, 11, 291. [Google Scholar] [CrossRef]
- Marx Young, J.L.; Kanashiro, S.; Jocys, T.; Tavares, A.R. Silver vase bromeliad: Plant growth and mineral nutrition under macronutrients omission. Sci. Hortic.-Amst. 2018, 234, 318–322. [Google Scholar] [CrossRef]
- Liang, B.; Lehmann, J.; Solomon, D.; Kinyangi, J.; Grossman, J.; O’Neill, B.; Skjemstad, J.O.; Thies, J.; Luizão, F.J.; Petersen, J.; et al. Black Carbon Increases Cation Exchange Capacity in Soils. Soil Sci. Soc. Am. J. 2006, 70, 1719–1730. [Google Scholar] [CrossRef] [Green Version]
- Xu, C.; Hosseini-Bai, S.; Hao, Y.; Rachaputi, R.C.N.; Wang, H.; Xu, Z.; Wallace, H. Effect of biochar amendment on yield and photosynthesis of peanut on two types of soils. Environ. Sci. Pollut. Res. 2015, 22, 6112–6125. [Google Scholar] [CrossRef] [PubMed]
- Novak, J.M.; Busscher, W.J.; Laird, D.L.; Ahmedna, M.; Watts, D.W.; Niandou, M.A.S. Impact of Biochar Amendment on Fertility of a Southeastern Coastal Plain Soil. Soil Sci. 2009, 174, 105–112. [Google Scholar] [CrossRef] [Green Version]
- Balima, L.H.; Nacoulma, B.M.I.; Bayen, P.; Dimobe, K.; Kouame, F.N.; Thiombiano, A. Aboveground biomass allometric equations and distribution of carbon stocks of the African oak (Afzelia africanaSm) in Burkina Faso. J. For. Res. 2020, 31, 1699–1711. [Google Scholar] [CrossRef] [Green Version]
- Adamovics, A.; Platace, R.; Kakitis, A.; Ivanovs, S. Evaluation of Combustion Properties of Biomass Fuel. In Proceedings of the 18th International Scientific Conference Engineering for Rural Development, Jelgava, Latvia, 22–24 May 2019; pp. 1523–1528. [Google Scholar]
- Gao, K.; Zhu, T.; Xu, S.; Han, G. Effects of different habitat conditions on calorific value, C, N and ash content of Jerusalem artichoke tubers. Crop Mag. 2011, 2, 17–19. [Google Scholar] [CrossRef]
- Zhu, D.; Zhu, G.; Zhang, Z.; Wang, Z.; Yan, X.; Yan, Y. Effects of Independent and Combined Water-Deficit and High-Nitrogen Treatments on Flag Leaf Proteomes during Wheat Grain Development. Int. J. Mol. Sci. 2020, 21, 2098. [Google Scholar] [CrossRef] [Green Version]
- Oh, K.C.; Kim, J.; Park, S.Y.; Kim, S.J.; Cho, L.H.; Lee, C.G.; Roh, J.; Kim, D.H. Development and validation of torrefaction optimization model applied element content prediction of biomass. Energy 2021, 214, 119027. [Google Scholar] [CrossRef]
- Platace, R.; Adamovics, A. Content of ligning and ash in grass biomass depending on fertiliser type and rate. In Proceedings of the13th International Scientific Conference on Engineering for Rural Development, Jelgava, Latvia, 29–30 May 2014; pp. 444–449. [Google Scholar]
- Zhang, J.; Ma, Y.; Yan, Z.; Li, Z.; Zhu, Y. Comparative analysis of branch biomass and calorific value of four clones of 5-year-old Robinia pseudoacacia. For. Sci. 2012, 48, 75–80. [Google Scholar]
- Lieskovsky, M.; Jankovsky, M.; Trenciansky, M.; Merganic, J.; Dvorak, J. Ash Content vs. the Economics of Using Wood Chips for Energy: Model Based on Data from Central Europe. Bioresources 2017, 12, 1579–1592. [Google Scholar] [CrossRef]
- Kai, G.; Xia, Z.T.; Xun, T.; Lin, W.; Yang, G. The influence of root-cutting radius on tuber yield and fuel characteristics of Helianthus tuberosus L. in a semi-arid area. Ind. Crop. Prod. 2018, 115, 202–207. [Google Scholar]
- Schmid, M.I.; Noack, A. Analysis, distribution, implications, and current challenges. Glob. Biogeochem. Cycles 2000, 14, 777–793. [Google Scholar] [CrossRef]
- Yan, T.; Xue, J.; Zhou, Z.; Wu, Y. Effects of biochar-based fertilizer on soil bacterial network structure in a karst mountainous area. Catena 2021, 206, 105535. [Google Scholar] [CrossRef]
- Yan, T.; Xue, J.; Zhou, Z.; Wu, Y. Biochar and compost amendments alter the structure of the soil fungal network in a karst mountainous area. Land Degrad. Dev. 2022, 33, 685–697. [Google Scholar] [CrossRef]




| Treatments | Urea | Mono-Ammonium Phosphate | Muriate of Potash | Compost | Rice Husk Biochar | Wood Biochar |
|---|---|---|---|---|---|---|
| CK | - | - | - | - | - | - |
| MF | 400 | 300 | 200 | 136 | - | - |
| RH2MF | 400 | 300 | 200 | 136 | 180 | - |
| RH4MF | 400 | 300 | 200 | 136 | 360 | - |
| W2MF | 400 | 300 | 200 | 136 | - | 180 |
| W4MF | 400 | 300 | 200 | 136 | - | 360 |
| Treatments | Ash Content (Branch)/% | Ash Content (Leaf)/% |
|---|---|---|
| CK | 5.13 ± 1.17 a | 9.24 ± 1.26 a |
| MF | 5.05 ± 0.52 a | 8.52 ± 1.08 a |
| RH2MF | 4.72 ± 0.66 a | 8.97 ± 1.48 a |
| RH4MF | 4.51 ± 0.37 a | 7.92 ± 0.72 a |
| W2MF | 4.89 ± 0.58 a | 8.32 ± 1.54 a |
| W4MF | 4.67 ± 0.76 a | 8.31 ± 1.46 a |
| W | 5.32 ± 0.63 a | 9.71 ± 1.26 a |
| S | 4.93 ± 0.63 a | 7.75 ± 0.61 b |
| L | 4.24 ± 0.44 b | 8.18 ± 1.05 b |
| Treatments | GCV-Branch | GCV-Leaf | AFCV-Branch | AFCV-Leaf |
|---|---|---|---|---|
| CK | 14.20 ± 1.27 b | 16.32 ± 3.54 a | 14.97 ± 1.31 b | 17.96 ± 3.81 a |
| MF | 16.44 ± 1.83 ab | 17.33 ± 1.43 a | 17.32 ± 1.98 ab | 18.95 ± 1.60 a |
| RH2MF | 15.78 ± 1.27 ab | 16.94 ± 2.64 a | 16.56 ± 1.31 ab | 18.59 ± 2.77 a |
| RH4MF | 17.73 ± 2.63 a | 18.93 ± 2.67 a | 18.57 ± 2.77 a | 20.55 ± 2.88 a |
| W2MF | 15.52 ± 2.33 ab | 17.07 ± 1.92 a | 16.31 ± 2.44 ab | 18.61 ± 2.02 a |
| W4MF | 16.64 ± 2.53 a | 18.77 ± 2.95 a | 17.45 ± 2.65 ab | 20.44 ± 3.02 a |
| Principal Component | Initial Eigenvalues | Extract Sum of Squares and Load | ||||
|---|---|---|---|---|---|---|
| Eigenvalues | Contribution Rate % | Cumulative % | Eigenvalues | Contribution Rate % | Cumulative % | |
| 1 | 3.448 | 43.102 | 43.102 | 3.448 | 43.102 | 43.102 |
| 2 | 1.891 | 23.632 | 66.734 | 1.891 | 23.632 | 66.734 |
| 3 | 1.251 | 15.631 | 82.365 | 1.251 | 15.631 | 82.365 |
| 4 | 0.513 | 6.408 | 88.774 | |||
| 5 | 0.386 | 4.823 | 93.596 | |||
| 6 | 0.259 | 3.235 | 96.831 | |||
| 7 | 0.174 | 2.176 | 99.007 | |||
| 8 | 0.079 | 0.993 | 100 | |||
| Treatments | Y1 | Y2 | Y3 | Y | Ranking |
|---|---|---|---|---|---|
| CK-W | −4.62 | 1.97 | −0.79 | −1.65 | 18 |
| CK-S | −1.52 | −2.45 | 0.76 | −1.11 | 16 |
| CK-L | −1.43 | −3.01 | −0.94 | −1.47 | 17 |
| MF-W | −1.02 | 0.85 | 0.61 | −0.14 | 10 |
| MF-S | −0.48 | −0.6 | 0.68 | −0.24 | 13 |
| MF-L | −0.66 | −2.04 | 0.4 | −0.7 | 15 |
| RH2MF-W | −1.77 | 0.61 | 0.3 | −0.57 | 14 |
| RH2MF-S | −0.39 | −0.41 | 0.81 | −0.14 | 11 |
| RH2MF-L | 0.95 | −1.02 | −1.57 | −0.08 | 9 |
| RH4MF-W | 0.39 | 0.86 | 1.42 | 0.59 | 5 |
| RH4MF-S | 2.58 | 0.1 | 2.11 | 1.46 | 1 |
| RH4MF-L | 2.68 | 0.29 | −0.32 | 1.17 | 2 |
| W2MF-W | −0.94 | 1.66 | −0.79 | −0.14 | 12 |
| W2MF-S | 0.61 | 0.82 | −0.31 | 0.41 | 7 |
| W2MF-L | 1.33 | 0.62 | −2.02 | 0.4 | 8 |
| W4MF-W | −0.12 | 1.24 | 1.27 | 0.44 | 6 |
| W4MF-S | 2.56 | 0.41 | −0.21 | 1.17 | 3 |
| W4MF-L | 1.85 | 0.11 | −1.4 | 0.6 | 4 |
Publisher’s Note: MDPI stays neutral with regard to jurisdictional claims in published maps and institutional affiliations. |
© 2022 by the authors. Licensee MDPI, Basel, Switzerland. This article is an open access article distributed under the terms and conditions of the Creative Commons Attribution (CC BY) license (https://creativecommons.org/licenses/by/4.0/).
Share and Cite
Gao, T.; Zhu, Q.; Zhou, Z.; Wu, Y.; Xue, J. Effects of Biochar-Based Fertilizers on Energy Characteristics and Growth of Black Locust Seedlings. Sustainability 2022, 14, 5045. https://doi.org/10.3390/su14095045
Gao T, Zhu Q, Zhou Z, Wu Y, Xue J. Effects of Biochar-Based Fertilizers on Energy Characteristics and Growth of Black Locust Seedlings. Sustainability. 2022; 14(9):5045. https://doi.org/10.3390/su14095045
Chicago/Turabian StyleGao, Ting, Qian Zhu, Zhidong Zhou, Yongbo Wu, and Jianhui Xue. 2022. "Effects of Biochar-Based Fertilizers on Energy Characteristics and Growth of Black Locust Seedlings" Sustainability 14, no. 9: 5045. https://doi.org/10.3390/su14095045
APA StyleGao, T., Zhu, Q., Zhou, Z., Wu, Y., & Xue, J. (2022). Effects of Biochar-Based Fertilizers on Energy Characteristics and Growth of Black Locust Seedlings. Sustainability, 14(9), 5045. https://doi.org/10.3390/su14095045

