Impact of COVID-19 Lockdown on Wildlife-Vehicle Collisions in NW of Spain
Abstract
:1. Introduction
2. Materials and Methods
2.1. Study Area
2.2. Wildlife-Vehicle Collisions
2.3. Traffic and Mobility
2.4. COVID-19 Lockdown
2.5. Statistical Analysis
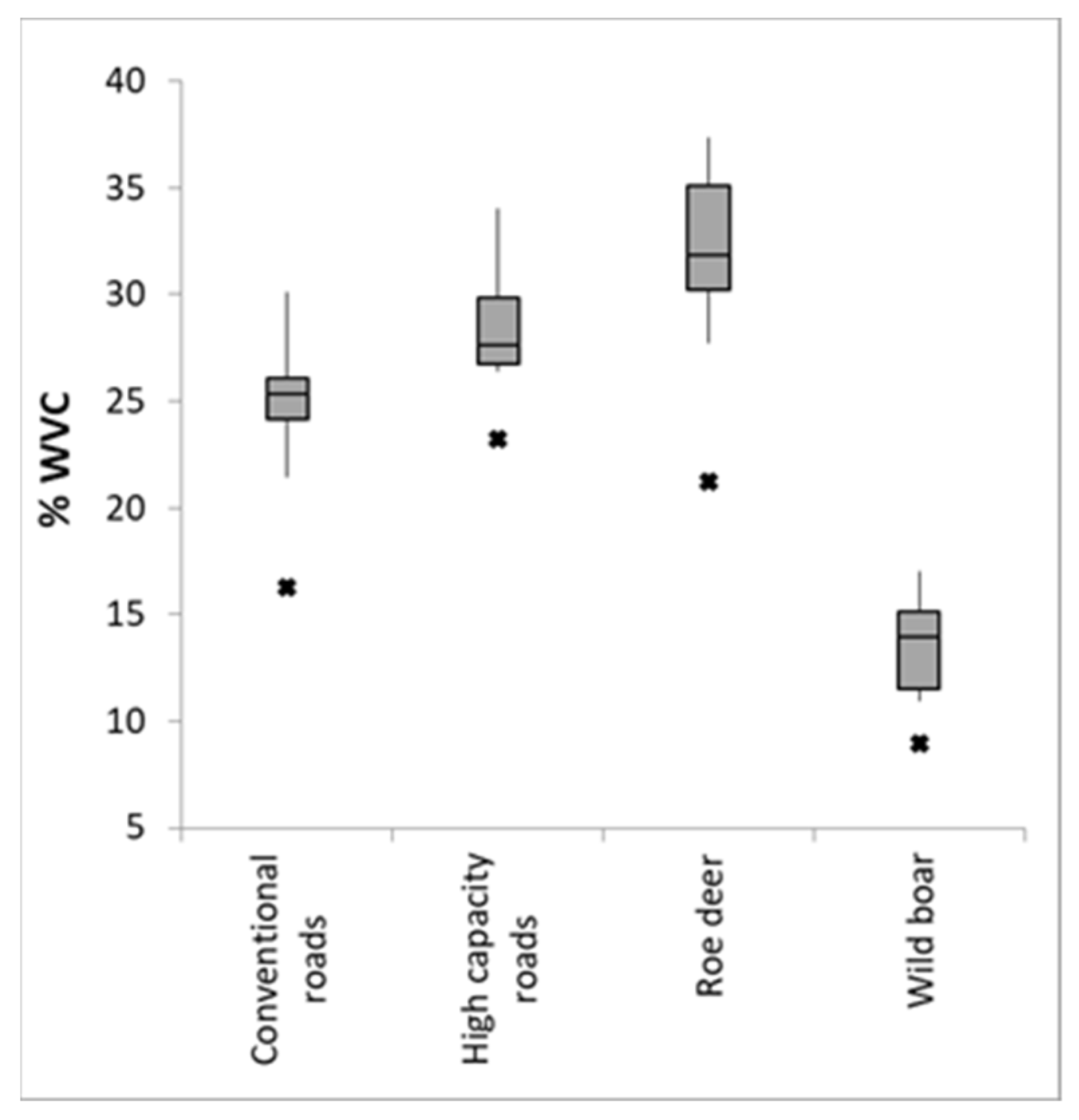
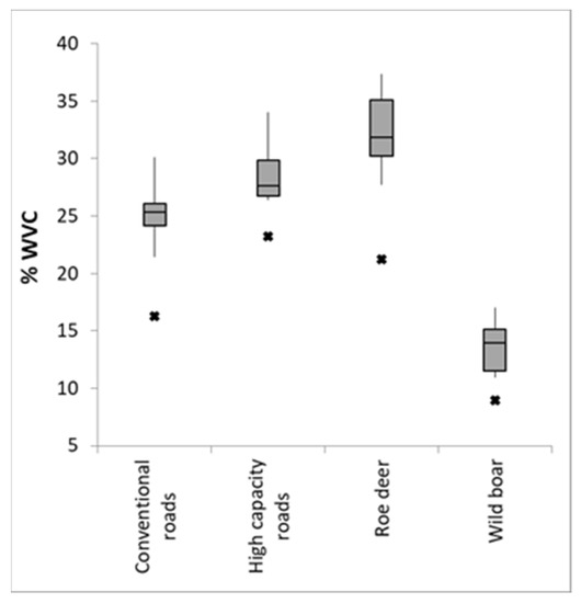
3. Results
4. Discussion
5. Conclusions
Author Contributions
Funding
Institutional Review Board Statement
Informed Consent Statement
Data Availability Statement
Acknowledgments
Conflicts of Interest
References
- Rutz, C.; Loretto, M.C.; Bates, E.; Davidson, S.C.; Duarte, C.M.; Jetz, W.; Johnson, M.; Kato, A.; Kays, R.; Mueller, T.; et al. COVID-19 lockdown allows researchers to quantify the effects of human activity on wildlife. Nat. Ecol. Evol. 2020, 4, 1156–1159. [Google Scholar] [CrossRef] [PubMed]
- Bates, A.E.; Primack, R.B.; Moraga, P.; Duarte, C.M. COVID-19 pandemic and associated lockdown as a “Global Human Confinement Experiment” to investigate biodiversity conservation. Biol. Conserv. 2020, 248, 108665. [Google Scholar] [CrossRef] [PubMed]
- Helm, D. The environmental impacts of the Coronavirus. Environ. Resour. Econ. 2020, 76, 21–38. [Google Scholar] [CrossRef] [PubMed]
- Sáenz-de-Santa-María, A.; Tellería, J.L. Wildlife-vehicle collisions in Spain. Eur. J. Wildl. Res. 2015, 61, 399–406. [Google Scholar] [CrossRef]
- García-Martínez-de-Albéniz, I.; Ruiz-de-Villa, J.A.; Rodriguez-Hernandez, J. Fauna silvestre y accidentes de tráfico en Asturias (Wildlife and traffic accidents in Asturias). Bol. Cien. Nat. Tecnología R.I.D.E.A. 2019, 54, 131–156. [Google Scholar]
- Clevenger, A.P.; Barrueto, M.; Gunson, K.E.; Caryl, F.M.; Ford, A.T. Context-dependent effects on spatial variation in deer-vehicle collisions. Ecosphere 2015, 6, 1–20. [Google Scholar] [CrossRef] [Green Version]
- Visintin, C.; van der Ree, R.; McCarthy, M.A. A simple framework for a complex problem? Predicting wildlife-vehicle collisions. Ecol. Evol. 2016, 6, 6409–6421. [Google Scholar] [CrossRef] [Green Version]
- Ha, H.; Shilling, F. Modelling potential wildlife-vehicle collisions (WVC) locations using environmental factors and human population density: A case-study from 3 state highways in Central California. Ecol. Inform. 2018, 43, 212–221. [Google Scholar] [CrossRef]
- Bíl, M.; Andrášik, R.; Duľa, M.; Sedoník, J. On reliable identification of factors influencing wildlife-vehicle collisions along roads. J. Environ. Manage. 2019, 237, 297–304. [Google Scholar] [CrossRef]
- Laliberté, J.; St-Laurent, M.H. In the wrong place at the wrong time: Moose and deer movement patterns influence wildlife-vehicle collision risk. Accid. Anal. Prev. 2020, 135, 105365. [Google Scholar] [CrossRef]
- Instituto Nacional de Estadística. INEbase. Available online: https://www.ine.es/dyngs/INEbase/listaoperaciones.htm (accessed on 15 January 2021).
- Ministerio de Transportes, Movilidad y Agenda Urbana. Anuario Estadístico 2018. Ministerio de Transportes, Movilidad y Agenda Urbana. Government of Spain. Spain. 2019. Available online: https://www.mitma.gob.es/informacion-para-el-ciudadano/informacion-estadistica/anuario-estadisticas-de-sintesis-y-boletin/anuario-estadistico (accessed on 15 March 2021).
- Observatorio Del Transporte Y La Logística En España. Tráfico De Viajeros Y Mercancías Por Carretera (Vehículos-Kilómetro) En La Red De Carreteras Del Estado (RCE) Por Clase Y Tipo De Vía, Comunidad Autónoma Y Provincia, 2020. Available online: https://apps.fomento.gob.es/BDOTLE/visorBDpop.aspx?i=326 (accessed on 23 March 2021).
- Rivas-Martínez, S.; Penas, Á.; Díaz-González, T.E.; del Río, S.; Cantó, P.; Herrero, L.; Pinto Gomes, C.; Costa, J.C. Biogeography of Spain and Portugal. Preliminary typological synopsis. Int. J. Geobot. Res. 2014, 4, 1–64. [Google Scholar] [CrossRef]
- Inventario Forestal Nacional. Cuarto Inventario Forestal Nacional: Asturias; Dirección General de Desarrollo Rural y Política Forestal, Ministerio de Agricultura, Alimentación y Medio Ambiente, Government of Spain: Madrid, Spain, 2012; p. 59.
- Inventario Forestal Nacional. Cuarto Inventario Forestal Nacional: Cantabria; Dirección General de Desarrollo Rural y Política Forestal, Ministerio de Agricultura, Alimentación y Medio Ambiente, Government of Spain: Madrid, Spain, 2012; p. 56.
- Valente, A.M.; Acevedo, P.; Figueiredo, A.M.; Fonseca, C.; Torres, R.T. Overabundant wild ungulate populations in Europe: Management with consideration of socio-ecological consequences. Mamm. Rev. 2020, 50, 353–366. [Google Scholar] [CrossRef]
- Díaz-Varela, E.R.; Vázquez, I.; Marey, M.F.; Álvarez, C.J. Assessing methods of mitigating wildlife-vehicle collisions by accident characterization and spatial analysis. Transp. Res. Part D Transp. Environ. 2011, 16, 281–287. [Google Scholar] [CrossRef]
- Lagos, L.; Picos, J.; Valero, E. Temporal pattern of wild ungulate-related traffic accidents in northwest Spain. Eur. J. Wildl. Res. 2012, 58, 661–668. [Google Scholar] [CrossRef]
- Rodríguez-Morales, B.; Díaz-Varela, E.R.; Marey, M.F. Spatiotemporal analysis of vehicle collisions involving wild boar and roe deer in NW Spain. Accid. Anal. Prev. 2013, 60, 121–133. [Google Scholar] [CrossRef]
- Dirección General de Tráfico. Actualidad del COVID-19 en la DGT. Available online: http://www.dgt.es/es/covid-19/.2020 (accessed on 22 January 2021).
- Ministerio de Transportes, Movilidad y Agenda Urbana. Análisis de la Movilidad en España con Tecnología Big Data durante el Estado de Alarma para la Gestión de la Crisis del COVID-19. Available online: https://www.mitma.gob.es/ministerio/covid-19/evolucion-movilidad-big-data (accessed on 15 January 2021).
- Parr, S.; Wolshon, B.; Murray-Tuite, P.; Lomax, T. Multistate assessment of roadway travel, social separation, and COVID-19 cases. J. Transp. Eng., Part A: Systems 2021, 147, 04021012. [Google Scholar] [CrossRef]
- Rilett, L.R.; Tufuor, E.; Murphy, S. Arterial roadway travel time reliability and the COVID-19 pandemic. J. Transp. Eng. Part A Systems 2021, 147, 04021034. [Google Scholar] [CrossRef]
- Shilling, F.; Nguyen, T.; Saleh, M.; Kyaw, M.K.; Tapia, K.; Trujillo, G.; Bejarano, M.; Waetjen, D.; Peterson, J.; Kalisz, G.; et al. A Reprieve from US wildlife mortality on roads during the COVID-19 pandemic. Biol. Conserv. 2021, 256, 109013. [Google Scholar] [CrossRef]
- Fox, J.; Bouchet-Valat, M. Rcmdr: R Commander. R Package Version 2.7-1. 2020. Available online: https://cran.r-project.org/web/packages/Rcmdr/index.html (accessed on 14 December 2020).
- Chang, A.; Miranda-Moreno, L. Rethinking the Way We Move beyond COVID-19; Technical Paper; SAE: Warrendale, PA, USA, 2020; p. 15, WP-0012. [Google Scholar]
- Oguzoglu, U. COVID-19 Lockdowns and Decline in Traffic Related Deaths and Injuries; Institute of Labor Economics (IZA) Discussion Paper Series; IZA: Bonn, Germany, 2020; Volume 13278, p. 17. [Google Scholar]
- Qureshi, A.I.; Huang, W.; Khan, S.; Lobanova, I.; Siddiq, F.; Gomez, C.R.; Suri, M.F.K. Mandated societal lockdown and road traffic accidents. Accid. Anal. Prev. 2020, 146, 105747. [Google Scholar] [CrossRef]
- Saladié, Ò.; Bustamante, E.; Gutiérrez, A. COVID-19 lockdown and reduction of traffic accidents in Tarragona province, Spain. Transp. Res. Interdiscip. Perspect. 2020, 8, 100218. [Google Scholar] [CrossRef]
- Shilling, F.; Waetjen, D. Special Report (Update): Impact of COVID19 Mitigation on Numbers and Costs of California Traffic Crashes; Road Ecology Center: Davis, CA, USA, 2020; 10p. [Google Scholar]
- Doucette, M.L.; Tucker, A.; Auguste, M.E.; Watkins, A.; Green, C.; Pereira, F.E.; Borrup, K.T.; Shapiro, D.; Lapidus, G. Initial impact of COVID-19’s stay-at-home order on motor vehicle traffic and crash patterns in Connecticut: An interrupted time series analysis. Inj. Prev. 2021, 27, 3–9. [Google Scholar] [CrossRef] [PubMed]
- Yasin, Y.J.; Grivna, M.; Abu-Zidan, F.M. Global impact of COVID-19 pandemic on road traffic collisions. World J. Emerg. Surg. 2021, 16, 51. [Google Scholar] [CrossRef] [PubMed]
- Chand, S.; Yee, E.; Alsultan, A.; Dixit, V.V. A descriptive analysis on the impact of COVID-19 lockdowns on road traffic incidents in Sydney, Australia. Int. J. Environ. Res. Public Health 2021, 18, 11701. [Google Scholar] [CrossRef] [PubMed]
- Bíl, M.; Andrášik, R.; Cícha, V.; Arnon, A.; Kruuse, M.; Langbein, J.; Náhlik, A.; Niemi, M.; Pokorny, B.; Colino-Rabanal, V.J.; et al. COVID-19 related travel restrictions prevented numerous wildlife deaths on roads: A comparative analysis of results from 11 countries. Biol. Conserv. 2021, 256, 109076. [Google Scholar] [CrossRef] [PubMed]
- Driessen, M.M. COVID-19 restrictions provide a brief respite from the wildlife roadkill toll. Biol. Conserv. 2021, 256, 109012. [Google Scholar] [CrossRef]
- Pagany, R. Wildlife-vehicle collisions—Influencing factors, data collection and research methods. Biol. Conserv. 2020, 251, 108758. [Google Scholar] [CrossRef]
- Pokorny, B.; Cerri, J.; Bužan, E. Roadkill in a time of pandemic: The analysis of wildlife-vehicle collisions reveals the differential impact of COVID-19 lockdown over mammal assemblages. EcoEvoRxiv Prepr. 2021, 37. [Google Scholar] [CrossRef]
- Kušta, T.; Keken, Z.; Ježek, M.; Holá, M.; Šmíd, P. The effect of traffic intensity and animal activity on probability of ungulate-vehicle collisions in the Czech Republic. Saf. Sci. 2017, 91, 105–113. [Google Scholar] [CrossRef]
- Asari, Y. Decreased traffic volume during COVID-19 did not reduce roadkill on fenced highway network in Japan. Landsc. Ecol. Eng. 2022, 18, 121–124. [Google Scholar] [CrossRef]
- Rytwinski, T.; Soanes, K.; Jaeger, J.A.G.; Fahrig, L.; Findlay, C.S.; Houlahan, J.; van der Ree, R.; van der Grift, E.A. How effective is road mitigation at reducing road-kill? A meta-analysis. PLoS ONE 2016, 11, e0166941. [Google Scholar] [CrossRef]
- Wilson, R.E.; Farley, S.D.; McDonough, T.J.; Talbot, S.L.; Barboza, P.S. A genetic discontinuity in moose (Alces alces) in Alaska corresponds with fenced transportation infrastructure. Conserv. Genet. 2015, 16, 791–800. [Google Scholar] [CrossRef]
- Jakes, A.F.; Jones, P.F.; Paige, L.C.; Seidlerd, R.G.; Huijser, M.P. A fence runs through it: A call for greater attention to the influence of fences on wildlife and ecosystems. Biol. Conserv. 2018, 227, 310–318. [Google Scholar] [CrossRef]
- Schuster, R.; Römer, H.; Germain, R.R. Using multi-scale distribution and movement effects along a montane highway to identify optimal crossing locations for a large-bodied mammal community. PeerJ 2013, 1, e189. [Google Scholar] [CrossRef] [PubMed] [Green Version]
- Seidler, R.G.; Green, D.S.; Beckmann, J.P. Highways, crossing structures and risk: Behaviors of Greater Yellowstone pronghorn elucidate efficacy of road mitigation. Glob. Ecol. Conserv. 2018, 15, e00416. [Google Scholar] [CrossRef]
- Ministerio de Transportes, Movilidad y Agenda Urbana. Red de Carreteras: Tráfico, Velocidades, Accidentes y Tramos de Concentración de Accidentes. Available online: https://www.mitma.gob.es/carreteras/trafico-velocidades-y-accidentes-mapa-estimacion-y-evolucion/evolucion-del-trafico-desde-el-an%CC%83o-2000/evolucion-del-trafico-desde-el-an%CC%83o-2000-rce-y-todas-las-redes (accessed on 23 March 2021).
- García-Martínez-de-Albéniz, I.; Ruiz-de-Villa, J.A.; Rodriguez-Hernandez, J. Determinación y priorización de tramos de acumulación de accidentes por fauna silvestre en Asturias [Determination and prioritization of sections of accumulation of accidents by wildlife in Asturias]. Carreteras 2017, 215, 26–37. [Google Scholar]
- Ministerio de Fomento. Segunda Encuesta de Movilidad de las Personas Residentes—Movilia 2006–2007. Available online: https://www.mitma.gob.es/informacion-para-el-ciudadano/informacion-estadistica/movilidad/movilia-20062007/encuesta-de-movilidad-de-las-personas-residentes-en-espan%CC%83a-movilia-20062007 (accessed on 25 March 2021).
- Ayuntamiento de Madrid. Primer Informe del Estado de la Movilidad de la Ciudad de Madrid. 2006–2008. Indicadores. Bases de conocimiento compartido. 2009 Ayuntamiento de Madrid, Madrid, Spain, 2009. Available online: https://www.espormadrid.es/2009/02/primer-informe-del-estado-de-la.html (accessed on 25 March 2021).
- Abraham, J.O.; Mumma, M.A. Elevated wildlife-vehicle collision rates during the COVID-19 pandemic. Sci. Rep. 2021, 11, 20391. [Google Scholar] [CrossRef]
- Budd, L.; Ison, S. Responsible Transport: A post-COVID agenda for transport policy and practice. Transp. Res. Interdiscip. Perspect. 2020, 6, 100151. [Google Scholar] [CrossRef]
- Tirachini, A.; Cats, O. COVID-19 and Public Transportation: Current assessment, prospects, and research needs. J. Public. Trans. 2020, 22, 1–21. [Google Scholar] [CrossRef]
- De Vos, J. The effect of COVID-19 and subsequent social distancing on travel behaviour. Transp. Res. Interdiscip. Perspect. 2020, 5, 100121. [Google Scholar] [CrossRef]
- Monterde-i-Bort, H.; Sucha, M.; Risser, R.; Kochetova, T. Mobility patterns and mode choice preferences during the COVID-19 situation. Sustainability 2022, 14, 768. [Google Scholar] [CrossRef]
- Observatorio del Transporte y la Logística en España. Indicadores de Situación y Diagnóstico2020. Available online: http://apps.fomento.gob.es/BDOTLE/indicadores.aspx?c=1 (accessed on 23 March 2021).
- International Union of Railways. High-Speed Database & Maps. Available online: https://uic.org/passenger/highspeed/article/high-speed-database-maps (accessed on 27 March 2021).
- He, S.Y.; Hu, L. Telecommuting, income, and out-of-home activities. Travel Behav. Soc. 2015, 2, 131–147. [Google Scholar] [CrossRef]
- Aguilera, A.; Lethiais, V.; Rallet, A.; Proulhac, L. Home-based telework in France: Characteristics, barriers and perspectives. Transp. Res. Part A Policy Pract. 2016, 92, 1–11. [Google Scholar] [CrossRef]
- Belzunegui, A.; Erro, A. Teleworking in the context of the Covid-19 crisis. Sustainability 2020, 12, 3662. [Google Scholar] [CrossRef]
- Google. Google COVID-19 Community Mobility Reports. Available online: https://www.google.com/covid19/mobility/ (accessed on 23 February 2021).
- Jaeger, A.G.; Soukup, T.; Madriñán, L.F.; Schwick, C.; Kienast, F. Landscape Fragmentation in Europe. European Environment Agency Report Nº 2/2011; EEA, Publications Office of the European Union: Luxembourg, 2011; p. 87. Available online: https://www.eea.europa.eu/publications/landscape-fragmentation-in-europe (accessed on 23 February 2021).
- Keuling, O.; Stier, N.; Roth, M. Commuting, shifting or remaining? Different spatial utilisation patterns of wild boar (Sus scrofa L.) in forest and field crops during summer. Mamm. Biol. 2009, 74, 145–152. [Google Scholar] [CrossRef]
- Podgórski, T.; Bas, G.; Jedrzejewska, B.; Sönnichsen, L.; Sniezko, S.; Jedrzejewski, W.; Okarma, H. Spatiotemporal behavioral plasticity of wild boar (Sus scrofa) under contrasting conditions of human pressure: Primeval forest and metropolitan area. J. Mammal. 2013, 94, 109–119. [Google Scholar] [CrossRef] [Green Version]
- Licoppe, A.; Prévot, C.; Heymans, M.; Bovy, C.; Casaer, J.; Cahill, S. Wild boar/feral pig in (peri-)urban areas. International survey report. In the workshop “Managing wild boar in human-dominated landscapes”. In Proceedings of the International Union of Game Biologists—Congress, Brussels, Belgium, 28 August 2013. [Google Scholar]
- Castillo-Contreras, R.; Carvalho, J.; Serrano, E.; Mentaberre, G.; Fernández-Aguilar, X.; Coloma, A.; González-Crespo, C.; Lavín, S.; López-Olvera, J.R. Urban wild boars prefer fragmented areas with food resources near natural corridors. Sci. Total Environ. 2018, 615, 282–288. [Google Scholar] [CrossRef]
- Manenti, R.; Mori, E.; Di Canio, V.; Mercurio, S.; Picone, M.; Caffi, M.; Brambilla, M.; Ficetola, G.F.; Rubolini, D. The good, the bad and the ugly of COVID-19 lockdown effects on wildlife conservation: Insights from the first European locked down country. Biol. Conserv. 2020, 249, 108728. [Google Scholar] [CrossRef]
- Vardi, R.; Berger-Tal, O.; Roll, U. iNaturalist insights illuminate COVID-19 effects on large mammals in urban centers. Biol. Conserv. 2021, 254, 108953. [Google Scholar] [CrossRef]
- Katrakazas, C.; Michelaraki, E.; Sekadakis, M.; Yannis, G. A descriptive analysis of the effect of the COVID-19 pandemic on driving behavior and road safety. Transp. Res. Interdiscip. Perspect. 2020, 7, 100186. [Google Scholar] [CrossRef]
- Espinosa, J.C. La Fiscalía Alerta del Aumento de Accidentes en Carretera tras el Confinamiento. El País, 24 July 2020. Available online: https://elpais.com/espana/2020-07-24/la-fiscalia-alerta-del-aumento-de-accidentes-en-carretera-tras-el-confinamiento.html (accessed on 14 December 2020).
- Mezcua, U. Causas y Recetas Frente al Preocupante «Rebrote» de las Muertes en Carretera. ABC, 9 July 2020. Available online: https://www.abc.es/motor/trafico/abci-muerte-carretera-rebrota-tras-confinamiento-202007090140_noticia.html (accessed on 14 December 2020).







| Region | Area a km2 | Population a Persons | Length SRN b (High Capacity) b km | Length ACRN b (High Capacity) b km | Traffic SRN b (High Capacity) c veh-km (km) × 106 | Traffic ACRN b (High Capacity) veh-km (km) × 106 |
|---|---|---|---|---|---|---|
| Asturias | 10,603.57 | 1,018,706 | 851 (385) | 4193 (81) | 3555.9 (2879.47) | 2031.6 (n.a.) |
| Cantabria | 5321.30 | 582,796 | 578 (258) | 1984 (0) | 3348.4 (2839.67) | 1035.4 |
| Network | 2010 | 2011 | 2012 | 2013 | 2014 | 2015 | 2016 | 2017 | 2018 | 2019 | 2020 |
|---|---|---|---|---|---|---|---|---|---|---|---|
| ACRN | 473 | 470 | 498 | 416 | 383 | 370 | 470 | 526 | 622 | 671 | 612 |
| SRN | 493 | 477 | 560 | 471 | 405 | 401 | 475 | 546 | 621 | 627 | 717 |
| Phase | Dates (Year-Month-Day) | Description (Main Restrictions and Exceptions) | Mobility a | Traffic b |
|---|---|---|---|---|
| Strict lockdown start | From 2020-03-14 to 2020-03-29 | Declaration of the national “state of alarm”. Home confinement of the entire population (exceptions: buying food or medicines, going to work in essential services or emergencies). Closure of every non-essential establishment (bars, restaurants, discos, coffee shops, cinemas, museums, libraries, commercial and retail businesses). | 14–52% | 12–63% |
| Very strict lockdown | From 2020-03-30 to 2020-04-09 | Closure of all activities, with the exception of essential services. | 14–38% | 9–30% |
| Strict lockdown reduced | From 2020-04-10 to 2020-05-03 | Gradual opening of non-essential activities with many restrictions and, in the end, the population were allowed to go out in very short and pre-set time slots. Leaving the city of residence was totally forbidden. | 13–48% | 8–46% |
| End of strict lockdown (phase 0) | From 2020-05-04 to 2020-05-10 | Getting ready for de-escalation. Consolidation of the final situation of the previous phase. | 17–52% | 15–50% |
| De-escalation phase 1 | From 2020-05-11 to 2020-05-24 | De-escalation starts. Opening of non-essential activities. Restricted opening of many shops and businesses. Longer pre-set time slots for remaining outside the home. | 31–68% | 19–61% |
| De-escalation phase 2 | From 2020-05-25 to 2020-06-07 | Generalized opening of shops and businesses. General permission to go out at any time but pre-set time slots reserved for people >70 years. | 36–75% | 30–71% |
| De-escalation phase 3 | From 2020-06-08 to 2020-06-21 | Pre-set time slots were cancelled. Opening of all activities with limited capacity inside restaurants. Travel restrictions lifted. End of the first national “state of alarm”. | 43–82% | 49–84% |
| Year | Before Lockdown or Equivalent (s.d.) | Strict Lockdown or Equivalent (s.d.) | Significance |
|---|---|---|---|
| 2010 | 2.71 (1.54) | 3.04 (1.62) | not significant |
| 2011 | 2.36 (1.97) | 2.04 (1.10) | not significant |
| 2012 | 3.29 (1.76) | 2.79 (1.52) | not significant |
| 2013 | 2.11 (1.34) | 2.61 (1.34) | not significant |
| 2014 | 2.96 (1.88) | 2.79 (1.73) | not significant |
| 2015 | 1.79 (1.32) | 2.39 (1.23) | not significant |
| 2016 | 2.11 (1.55) | 2.29 (1.36) | not significant |
| 2017 | 2.71 (1.80) | 3.14 (1.38) | not significant |
| 2018 | 3.21 (1.75) | 3.11 (1.95) | not significant |
| 2019 | 4.25 (1.88) | 4.64 (2.78) | not significant |
| 2020 | 3.57 (2.17) | 1.89 (1.66) | p < 0.01 |
| Period (Year, Month, Day) | WVC/Mobility | Observations |
|---|---|---|
| From 2020-02-14 to 2020-02-20 | 7.36 × 10−8 | Reference period in [22]. Normality previous to the declaration of the COVID-19 lockdown. |
| From 2020-03-27 to 2020-04-2 | 12.91 × 10−8 | Strict COVID-19 lockdown. |
| From 2020-05-29 to 2020-06-4 | 6.90 × 10−8 | De-escalation COVID-19 lockdown. |
| From 2020-07-31 to 2020-08-6 | 3.58 × 10−8 | Normality in the summer vacation period. |
| From 2020-11-20 to 2020-11-26 | 20.65 × 10−8 | Usually, peak WVC period of the year [5]. Very reduced mobility (28–77%) [22] due to the decree of new anti-COVID-19 measures. |
Publisher’s Note: MDPI stays neutral with regard to jurisdictional claims in published maps and institutional affiliations. |
© 2022 by the authors. Licensee MDPI, Basel, Switzerland. This article is an open access article distributed under the terms and conditions of the Creative Commons Attribution (CC BY) license (https://creativecommons.org/licenses/by/4.0/).
Share and Cite
García-Martínez-de-Albéniz, Í.; Ruiz-de-Villa, J.A.; Rodriguez-Hernandez, J. Impact of COVID-19 Lockdown on Wildlife-Vehicle Collisions in NW of Spain. Sustainability 2022, 14, 4849. https://doi.org/10.3390/su14084849
García-Martínez-de-Albéniz Í, Ruiz-de-Villa JA, Rodriguez-Hernandez J. Impact of COVID-19 Lockdown on Wildlife-Vehicle Collisions in NW of Spain. Sustainability. 2022; 14(8):4849. https://doi.org/10.3390/su14084849
Chicago/Turabian StyleGarcía-Martínez-de-Albéniz, Íñigo, Juan Antonio Ruiz-de-Villa, and Jorge Rodriguez-Hernandez. 2022. "Impact of COVID-19 Lockdown on Wildlife-Vehicle Collisions in NW of Spain" Sustainability 14, no. 8: 4849. https://doi.org/10.3390/su14084849
APA StyleGarcía-Martínez-de-Albéniz, Í., Ruiz-de-Villa, J. A., & Rodriguez-Hernandez, J. (2022). Impact of COVID-19 Lockdown on Wildlife-Vehicle Collisions in NW of Spain. Sustainability, 14(8), 4849. https://doi.org/10.3390/su14084849

