Planting Density and Geometry Effect on Canopy Development, Forage Yield and Nutritive Value of Sorghum and Annual Legumes Intercropping
Abstract
:1. Introduction
2. Materials and Methods
2.1. Experimental Site
2.2. Experimental Design and Crop Management
2.3. Experimental Measurements
2.4. Quality Analysis
2.5. Statistical Analysis
3. Results and Discussion
3.1. Environmental Conditions
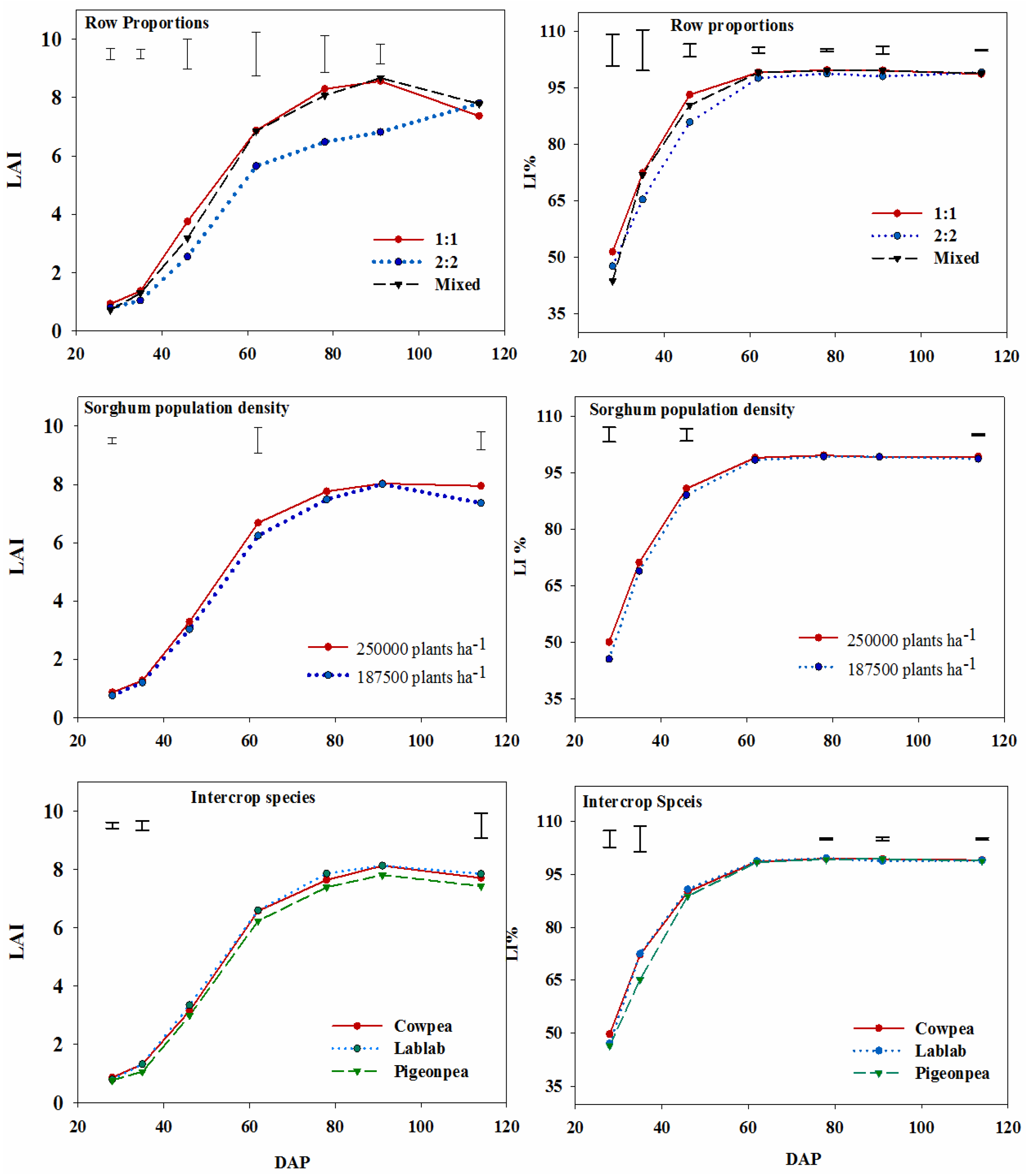
3.2. Leaf Area Index and Light Interception (%)
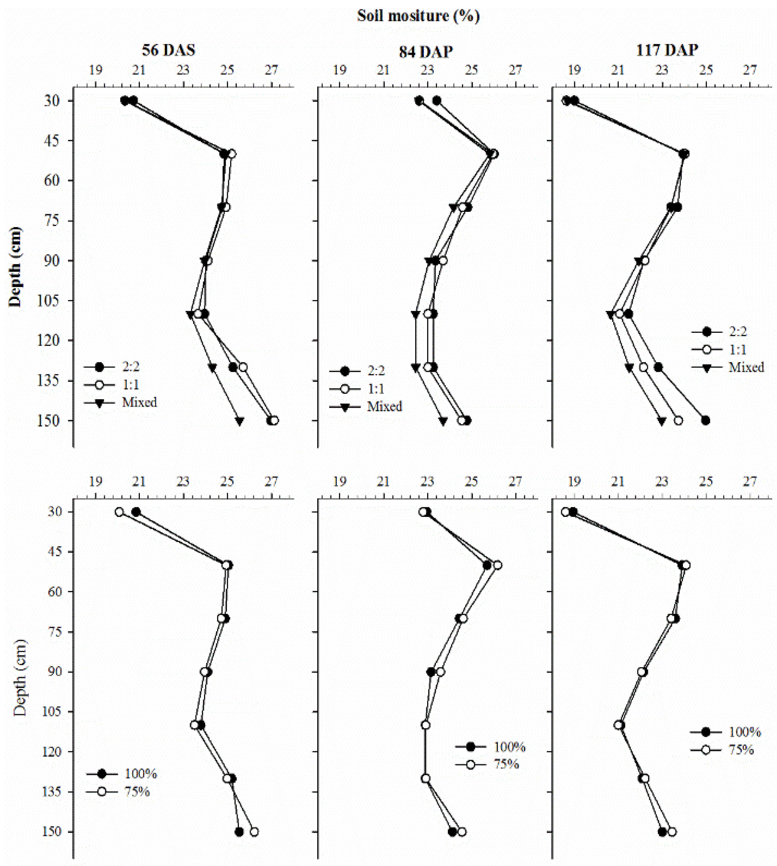
3.3. Soil Moisture
3.4. Forage Yield
3.5. Forage Nutritive Value
4. Conclusions
Author Contributions
Funding
Acknowledgments
Conflicts of Interest
Nomenclature
| FS | Forage sorghum |
| WUE | Water-use efficiency |
| LAI | Leaf area index |
| LI | Light interception |
| DM | Dry matter |
| PAR | Photosynthetically active radiation |
| CP | Crude protein |
| ADF | Acid detergent fiber |
| NDF | Neutral detergent fiber |
| IVTDMD | In vitro true dry matter digestibility |
| NDFD | NDF digestibility |
| RFQ | Relative feed quality |
| GDD | Growing degree days |
| DOY | Day of the year |
| LER | Land equivalent ratio |
References
- Staggenborg, S.A.; Dhuyvetter, K.C.; Gordon, W.B. Grain Sorghum and Corn Comparisons: Yield, Economic, and Environmental Responses. Agron. J. 2008, 100, 1600–1604. [Google Scholar] [CrossRef] [Green Version]
- Darby, H.M.; Lauer, J.G. Harvest date and hybrid influence on corn forage yield, quality, and preservation. Agron. J. 2002, 94, 559–566. [Google Scholar] [CrossRef] [Green Version]
- Chapko, L.B.; Brinkman, M.A.; Albrecht, K.A. Oat, Oat-Pea, Barley, and Barley-Pea for Forage Yield, Forage Quality, and Alfalfa Establishment. J. Prod. Agric. 1991, 4, 486–491. [Google Scholar] [CrossRef]
- Anil, L.; Park, J.; Phipps, R.H.; Miller, F.A. Temperate intercropping of cereals for forage: A review of the potential for growth and utilization with particular reference to the UK. Grass Forage Sci. 1998, 53, 301–317. [Google Scholar] [CrossRef]
- Carr, P.M.; Martin, G.B.; Caton, J.S.; Poland, W.W. Forage and nitrogen yield of barley-pea and oat-pea intercrops. Agron. J. 1998, 90, 79–84. [Google Scholar] [CrossRef]
- Carruthers, K.; Prithiviraj, B.; Fe, Q.; Cloutier, D.; Martin, R.C.; Smith, D.L. Intercropping of Corn with Soybean, Lupin and Forages: Silage Yield and Quality. J. Agron. Crop Sci. 2000, 185, 177–185. [Google Scholar] [CrossRef]
- Hauggaard-Nielsen, H.; Ambus, P.; Jensen, E. Interspecific competition, N use and interference with weeds in pea–barley intercropping. Field Crops Res. 2001, 70, 101–109. [Google Scholar] [CrossRef]
- Manoj, K.; Umesh, M.R.; Ramesh, Y.; Anand, S.; Angadi, S. Dry matter production and radiation use efficiency of pulses grown under different light conditions. Bangladesh J. Bot. 2019, 48, 9–15. [Google Scholar] [CrossRef]
- Angadi, S.; Marsalis, M.; Hagevoort, R. Intercropping to improve resource use efficiency in forage production system. In Proceedings of the ASA-CSSA-SSSA Annual Meeting, New Orleans, LA, USA, 4–8 November 2007. [Google Scholar]
- Angadi, S.V.; Umesh, M.R.; Contreras-Govea, F.E.; Annadurai, K.; Begna, S.H.; Marsalis, M.A.; Cole, N.; Gowda, P.H.; Hagevoort, G.R.; Lauriault, L.M. In Search of Annual Legumes to Improve Forage Sorghum Yield and Nutritive Value in the Southern High Plains. Crop. Forage Turfgrass Manag. 2016, 2, 1–5. [Google Scholar] [CrossRef]
- Armstrong, K.L.; Albrecht, K.A. Effect of Plant Density on Forage Yield and Quality of Intercropped Corn and Lablab Bean. Crop Sci. 2008, 48, 814–822. [Google Scholar] [CrossRef]
- Armstrong, K.L.; Albrecht, K.A.; Lauer, J.G.; Riday, H. Intercropping Corn with Lablab Bean, Velvet Bean, and Scarlet Runner Bean for Forage. Crop Sci. 2008, 48, 371–379. [Google Scholar] [CrossRef]
- Marsalis, M.; Angadi, S.; Contreras-Govea, F. Dry matter yield and nutritive value of corn, forage sorghum, and BMR forage sorghum at different plant populations and nitrogen rates. Field Crops Res. 2010, 116, 52–57. [Google Scholar] [CrossRef]
- Li, L.; Yang, S.; Li, X.; Zhang, F.; Christie, P. Interspecific complementary and competitive interactions between intercropped maize and faba bean. Plant Soil 1999, 212, 105–114. [Google Scholar] [CrossRef]
- Ijoyah, M.; Fanen, F. Effects of different cropping pattern on performance of maize-soybean mixture in makurdi, nigeria. Sci. J. Crop Sci. 2012, 1, 39–47. [Google Scholar]
- Yu, Y.; Stomph, T.-J.; Makowski, D.; Zhang, L.; van der Werf, W. A meta-analysis of relative crop yields in cereal/legume mixtures suggests options for management. Field Crops Res. 2016, 198, 269–279. [Google Scholar] [CrossRef] [Green Version]
- Begna, S.; Angadi, S.; Mesbah, A.; Umesh, M.; Stamm, M. Forage Yield and Quality of Winter Canola–Pea Mixed Cropping System. Sustainability 2021, 13, 2122. [Google Scholar] [CrossRef]
- Contreras-Govea, F.E.; Soto-Navarro, S.; Calderon-Mendoza, D.; Marsalis, M.A.; Lauriault, L.M. Dry Matter Yield and Nutritive Value of Cowpea and Lablab in the Southern High Plains of the USA. Forage Grazinglands 2011, 9, 1–6. [Google Scholar] [CrossRef]
- Darapuneni, M.K.; Angadi, S.; Umesh, M.R.; Contreras-Govea, F.E.; Annadurai, K.; Begna, S.H.; Marsalis, M.A.; Cole, N.A.; Gowda, P.H.; Hagevoort, G.R.; et al. Canopy Development of Annual Legumes and Forage Sorghum Intercrops and Its Relation to Dry Matter Accumulation. Agron. J. 2018, 110, 939–949. [Google Scholar] [CrossRef]
- Brown, A.R.; Cobb, C.; Wood, E.H. Effects of Irrigation and Row Spacing on Grain Sorghum in the Piedmont1. Agron. J. 1964, 56, 506–509. [Google Scholar] [CrossRef]
- Pal, M.S.; Reza, A.H.M.A.D.; Joshi, Y.P.; Panwar, U.B.S. Panwar production potential of forage sorghum (Sorghum bicolor L.) under different intercropping systems. Agri. for Sust. Dev. 2014, 2, 87–91. [Google Scholar]
- Gonzalez, R.; Graterol, Y. Efect of row spacing and fertilizer application on yield and yield components of grain sorghum (Sorghum bicolor L. Moench) in portuguesa, venezuela. Rev. Unellez De Cienc. Y Tecnol. Prod. Agrícola 2000, 17, 108–124. [Google Scholar]
- Mohta, N.K.; De, R. Intercropping maize and sorghum with soya beans. J. Agric. Sci. 1980, 95, 117–122. [Google Scholar] [CrossRef]
- Ibrahim, M.; Ayub, M.; Maqbool, M.M.; Nadeem, S.M.; Haq, T.U.; Hussain, S.; Ali, A.; Lauriault, L.M. Forage yield components of irrigated maize–legume mixtures at varied seed ratios. Field Crops Res. 2014, 169, 140–144. [Google Scholar] [CrossRef]
- Redfearn, D.D.; Buxton, D.R.; Devine, T.E. Sorghum Intercropping Effects on Yield, Morphology, and Quality of Forage Soybean. Crop Sci. 1999, 39, 1380–1384. [Google Scholar] [CrossRef]
- Musa, M.; Leitch, M.H.; Iqbal, M.; Sahi, F.U.H. Spatial arrangement affects growth characteristics of barley-pea intercrops. Int. J. Agric. Bio. 2010, 12, 685–690. [Google Scholar]
- Belel, M.D.; Halim, R.A.; Rafii, M.Y.; Saud, H.M. Intercropping of Corn With Some Selected Legumes for Improved Forage Production: A Review. J. Agric. Sci. 2014, 6, 48. [Google Scholar] [CrossRef] [Green Version]
- Arshad, M.; Ranamukhaarachchi, S.L. Effects of legume type, planting pattern and time of establishment on growth and yield of sweet sorghum-legume intercropping. Aust. J. Crop Sci. 2012, 6, 1265–1274. [Google Scholar]
- Fuchs, M.; Stanhill, G. Row structure and foliage geometry as determinants of the interception of light rays in a sorghum row canopy. Plant Cell Environ. 1980, 3, 175–182. [Google Scholar]
- Malik, M.F.A.; Hussain, M.; Awan, S.I. Yield response of fodder sorghum (Sorghum bicolor) to seed rate and row spacing under rain-fed conditions. J. Agric. Soc. Sci. 2007, 3, 95–97. [Google Scholar]
- Gao, Y.; Duan, A.; Qiu, X.; Sun, J.; Zhang, J.; Liu, H.; Wang, H. Distribution and Use Efficiency of Photosynthetically Active Radiation in Strip Intercropping of Maize and Soybean. Agron. J. 2010, 102, 1149–1157. [Google Scholar] [CrossRef]
- Tsubo, M.; Walker, S.; Mukhala, E. Comparisons of radiation use efficiency of mono-/inter-cropping systems with different row orientations. Field Crops Res. 2001, 71, 17–29. [Google Scholar] [CrossRef]
- Wang, Z.; Zhao, X.; Wu, P.; He, J.; Chen, X.; Gao, Y.; Cao, X. Radiation interception and utilization by wheat/maize strip intercropping systems. Agric. For. Meteorol. 2015, 204, 58–66. [Google Scholar] [CrossRef]
- Lepcha, I. Sorghum Stature and Mixing Ratio Effects of a Sorghum-Legume System on Resource Use Efficiency Patterns, Productivity and Forage Quality. Master’s Thesis, Wageningen University, Wageningen, The Netherlands, 2011. [Google Scholar]
- Maasdorp, B.; Titterton, M. Nutritional improvement of maize silage for dairying: Mixed-crop silages from sole and intercropped legumes and a long-season variety of maize. 1. Biomass yield and nutritive value. Anim. Feed Sci. Technol. 1997, 69, 241–261. [Google Scholar] [CrossRef]
- Riday, H.; Albrecht, K.A. Intercropping Tropical Vine Legumes and Maize for Silage in Temperate Climates. J. Sustain. Agric. 2008, 32, 425–438. [Google Scholar] [CrossRef]
- Contreras-Govea, F.E.; Lauriault, L.M.; Marsalis, M.; Angadi, S.; Puppala, N. Performance of Forage Sorghum-Legume Mixtures in Southern High Plains, USA. Forage Grazinglands 2009, 7, 1–8. [Google Scholar] [CrossRef]
- Contreras-Govea, F.E.; VanLeeuwen, D.M.; Angadi, S.V.; Marsalis, M.A. Enhances in Crude Protein and Effects on Fermentation Profile of Corn and Forage Sorghum Silage with Addition of Cowpea. Forage Grazinglands 2013, 11, 1–7. [Google Scholar] [CrossRef]
- Titterton, M.; Maasdorp, B. Nutritional improvement of maize silage for dairying: Mixed crop silages from sole and intercropped legumes and a long season variety of maize. 2. Ensilage. Anim. Feed Sci. Technol. 1997, 69, 263–270. [Google Scholar] [CrossRef]





| Crop | Species | Variety | 1000-Seed Weight (g) | Population Density (Plants ha−1) | Seeding Rate by Weight (kg ha−1) |
|---|---|---|---|---|---|
| Sorghum | Sorghum bicolor (L.) Moench | FS-5 | 32–33 | 250,000 | 8.0–8.25 |
| Sorghum | Sorghum bicolor (L.) Moench | FS-5 | 32–33 | 190,000 | 6.08–6.27 |
| Cowpea | Vigna unguiculate (L.) Walp | Iron clay | 100–110 | 150,000 | 19.0–20.9 |
| Lablab | Lablab purpureus (L.) Sweet | Rio Verde | 140–160 | 150,000 | 26.6–30.4 |
| Pigeon pea | Cajanus cajan (L.) Milsp. | GA-1 | 120–150 | 150,000 | 22.8–28.5 |
| Intercropping System | x0 | y0 | a | SE | Adj R2 | p Value at 0.05 | Predicted LAI at 90% LI |
|---|---|---|---|---|---|---|---|
| Row proportions | |||||||
| Sorghum + legumes (1:1) | 0.865 | 80.39 | 9.96 | 1.468 | 0.99 | <0.0001 | 3.4 |
| Sorghum + legumes (2:2) | 0.731 | 78.84 | 11.03 | 1.069 | 0.99 | <0.0001 | 3.51 |
| Sorghum + legumes mixed | 0.669 | 78.29 | 10.81 | 1.505 | 0.99 | <0.0001 | 3.63 |
| Sorghum population density (plants ha−1) | |||||||
| 250,000 | 0.806 | 79.77 | 10.26 | 1.185 | 0.99 | <0.0001 | 3.52 |
| 190,000 | 0.689 | 77.49 | 11.46 | 1.358 | 0.99 | <0.0001 | 3.68 |
| Intercrop species | |||||||
| Cowpea | 0.808 | 79.84 | 10.23 | 1.089 | 0.99 | <0.0001 | 3.51 |
| Lablab | 0.744 | 79.11 | 10.44 | 1.303 | 0.99 | <0.0001 | 3.59 |
| Pigeon pea | 0.707 | 77.82 | 11.42 | 1.196 | 0.99 | <0.0001 | 3.62 |
| Treatment | 52 DAP | 95 DAP | 128 DAP | ||||||
|---|---|---|---|---|---|---|---|---|---|
| Sorghum | Legumes | Total | Sorghum | Legumes | Total | Sorghum | Legumes | Total | |
| Row proportion | |||||||||
| Sorghum + legume (1:1) | 10.451 a | 0.406 b | 10.82 ab | 13.41 | 0.505 b | 13.95 ab | 15.76 a | 0.57 b | 16.33 a |
| Sorghum + legume (2:2) | 10.867 a | 0.758 a | 11.60 a | 14.21 | 1.253 a | 15.52 a | 14.63 a | 1.32 a | 15.95 ab |
| Sorghum + legume (Mixed) | 9.267 b | 0.314 b | 9.60 b | 13.01 | 0.415 b | 13.49 a | 15.11 b | 0.435 c | 15.55 b |
| LSD (p = 0.05) | 1.44 | 0.209 | 1.34 | NS | 0.224 | 2.03 | NS | 0.18 | 0.57 |
| Sorghum population density (Plants ha−1) | |||||||||
| 250,000 | 10.19 | 0.48 | 10.67 | 13.71 | 0.76 | 14.44 | 15.68 | 0.679 | 16.36 |
| 190,000 | 9.091 | 0.51 | 10.68 | 13.38 | 0.69 | 14.20 | 13.05 | 0.83 | 13.88 |
| LSD (p = 0.05) | NS | NS | NS | NS | NS | NS | NS | NS | NS |
| Intercrop legumes | |||||||||
| Cowpea | 10.42 | 0.649 a | 11.07 | 13.90 | 0.760 | 14.66 | 15.23 c | 0.894 ab | 16.12 |
| Lablab | 10.02 | 0.578 a | 10.61 | 13.29 | 0.687 | 13.98 | 15.04 a | 0.930 a | 15.97 |
| Pigeonpea | 10.14 | 0.249 b | 10.39 | - | - | - | 15.23 b | 0.501 b | 15.73 |
| LSD (p = 0.05) | NS | 0.089 | NS | NS | NS | NS | 0.63 | 0.13 | NS |
| 48 DAS | 65 DAS | 114 DAS | |||||||
|---|---|---|---|---|---|---|---|---|---|
| Sorghum | Legumes | Total | Sorghum | Legumes | Total | Sorghum | Legumes | Total | |
| Row Proportions | |||||||||
| Sorghum + legumes (1:1) | 4.58 a | 0.218 b | 4.80 a | 9.62 a | 0.321 b | 9.95 | 19.70 | 0.308 b | 20.01 |
| Sorghum + legumes (2:2) | 4.09 b | 0.338 a | 4.43 c | 8.82 b | 0.537 a | 9.36 | 18.85 | 0.644 a | 19.50 |
| Sorghum + legumes (Mixed) | 4.50 a | 0.108 c | 4.61 b | 9.70 a | 0.181 c | 9.88 | 20.21 | 0.133 c | 20.34 |
| LSD (p < 0.05) | 0.17 | 0.038 | 0.14 | 0.45 | 0.03 | 0.42 | NS | 0.05 | 0.65 |
| Sorghum population density (Plants ha−1) | |||||||||
| 250,000 | 4.53 | 0.209 b | 4.74 | 9.51 | 0.330 b | 9.84 | 19.54 | 0.367 | 19.91 |
| 190,000 | 4.25 | 0.234 a | 4.48 | 9.26 | 0.362 a | 9.62 | 19.63 | 0.356 | 19.99 |
| LSD (p < 0.05) | NS | 0.022 | NS | NS | 0.015 | NS | NS | NS | NS |
| Intercrops | |||||||||
| Cowpea | 4.48 | 0.231 b | 4.71 | 9.26 b | 0.334 b | 9.59 b | 18.90 b | 0.317 b | 19.22 b |
| Lablab | 4.31 | 0.345 a | 4.66 | 8.96 b | 0.527 a | 9.49 b | 19.29 b | 0.602 a | 19.89 b |
| Pigeonpea | 4.38 | 0.089 c | 4.47 | 9.93 a | 0.178 c | 10.11 a | 20.57 a | 0.167 c | 20.74 a |
| LSD (p < 0.05) | NS | 0.022 | NS | 0.36 | 0.034 | 0.37 | 0.78 | 0.035 | 0.78 |
| CP | ADF | NDF | NDFD | IVTDMD | RFQ | |
|---|---|---|---|---|---|---|
| 2009 | ||||||
| Row proportions g kg−1 DM | ||||||
| Sorghum + legumes (1:1) | 72.0 | 323.5 | 492.3 | 80.3 | 902.5 | 146.3 a |
| Sorghum + legumes (2:2) | 74.8 | 331.0 | 500.6 | 76.3 | 880.1 | 137.9 b |
| Sorghum + legumes (Mixed) | 71.0 | 327.6 | 507.4 | 77.6 | 885.9 | 139.9 b |
| LSD (p = 0.05) | NS | NS | 12.9 | 3.5 | 19.8 | 4.9 |
| Intercrop species | ||||||
| Cowpea | 72.5 | 329.2 | 505.0 | 77.3 | 884.5 | 139.3 |
| Lablab | 72.7 | 325.6 | 495.2 | 78.8 | 894.5 | 143.3 |
| LSD (p = 0.05) | NS | NS | NS | NS | NS | 3.5 |
| 2010 | ||||||
| Row proportions | ||||||
| Sorghum + legumes (1:1) | 61.8 b | 368.4 b | 563.5 | 525.0 a | 732.1 a | 102.4 |
| Sorghum + legumes (2:2) | 70.4 a | 379.8 a | 571.3 | 503.8 b | 715.9 b | 101.1 |
| Sorghum + legumes (Mixed) | 63.4 b | 374.0 ab | 567.0 | 530.0 a | 733.4 a | 103.4 |
| LSD (p = 0.05) | 2.7 | 6.6 | NS | 10.8 | 7.1 | NS |
| Intercrop species | ||||||
| Cowpea | 62.8 b | 375.3 | 568.8 | 524.2 | 729.3 | 101.3 |
| Lablab | 67.5 a | 372.8 | 565.7 | 515.0 | 725.0 | 103.3 |
| LSD (p = 0.05) | 3.6 | NS | NS | NS | NS | NS |
Publisher’s Note: MDPI stays neutral with regard to jurisdictional claims in published maps and institutional affiliations. |
© 2022 by the authors. Licensee MDPI, Basel, Switzerland. This article is an open access article distributed under the terms and conditions of the Creative Commons Attribution (CC BY) license (https://creativecommons.org/licenses/by/4.0/).
Share and Cite
Umesh, M.R.; Angadi, S.; Begna, S.; Gowda, P. Planting Density and Geometry Effect on Canopy Development, Forage Yield and Nutritive Value of Sorghum and Annual Legumes Intercropping. Sustainability 2022, 14, 4517. https://doi.org/10.3390/su14084517
Umesh MR, Angadi S, Begna S, Gowda P. Planting Density and Geometry Effect on Canopy Development, Forage Yield and Nutritive Value of Sorghum and Annual Legumes Intercropping. Sustainability. 2022; 14(8):4517. https://doi.org/10.3390/su14084517
Chicago/Turabian StyleUmesh, M. R., Sangu Angadi, Sultan Begna, and Prasanna Gowda. 2022. "Planting Density and Geometry Effect on Canopy Development, Forage Yield and Nutritive Value of Sorghum and Annual Legumes Intercropping" Sustainability 14, no. 8: 4517. https://doi.org/10.3390/su14084517
APA StyleUmesh, M. R., Angadi, S., Begna, S., & Gowda, P. (2022). Planting Density and Geometry Effect on Canopy Development, Forage Yield and Nutritive Value of Sorghum and Annual Legumes Intercropping. Sustainability, 14(8), 4517. https://doi.org/10.3390/su14084517

