Forecasting the Effect of Migrants’ Remittances on Household Expenditure: COVID-19 Impact
Abstract
1. Introduction
2. Literature Review
2.1. COVID-19 Impact on the Migrants’ Remittances and Economic Growth
- The share of remittances from abroad in the country’s GDP;
- Gross capital formation (% of GDP);
- Final consumption expenditure of households (% of GDP);
- School enrolment ratio (% of GDP);
- Balance of payments of the country;
- Population growth index;
- Real effective exchange rate.
- One in five people in Africa sends or receives remittances from abroad;
- The share of remittances from abroad in GDP is almost 10% in six African countries;
- In 2020, African countries received almost USD 78 billion in remittances from abroad [44].
2.2. COVID-19 Impact on Household Consumption and Expenditure
- Return to the “new normality” with constant physical and social distancing;
- Blocking the “next wave” of the pandemic;
- The rapid development of the vaccine, which will return to everyday economic and social life.
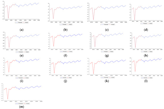
3. Materials and Methods
- 1.
- It is developing the model that meets all the defined conditions of the study. The results of the evaluation of the autocorrelation (ACF) and partial autocorrelation (PACF) functions were the basis for determining the degree of integration (a), the value of the order of the autoregression operators (n), and the moving average (m);
- 2.
- Assessment of model parameters using regression analysis (least squares method, maximum likelihood);
- 3.
- Verification of the developed forecasting model (estimation of model residues ) for adequacy;
- 4.
- Developing forecasting scenarios using the formed ARIMA model.
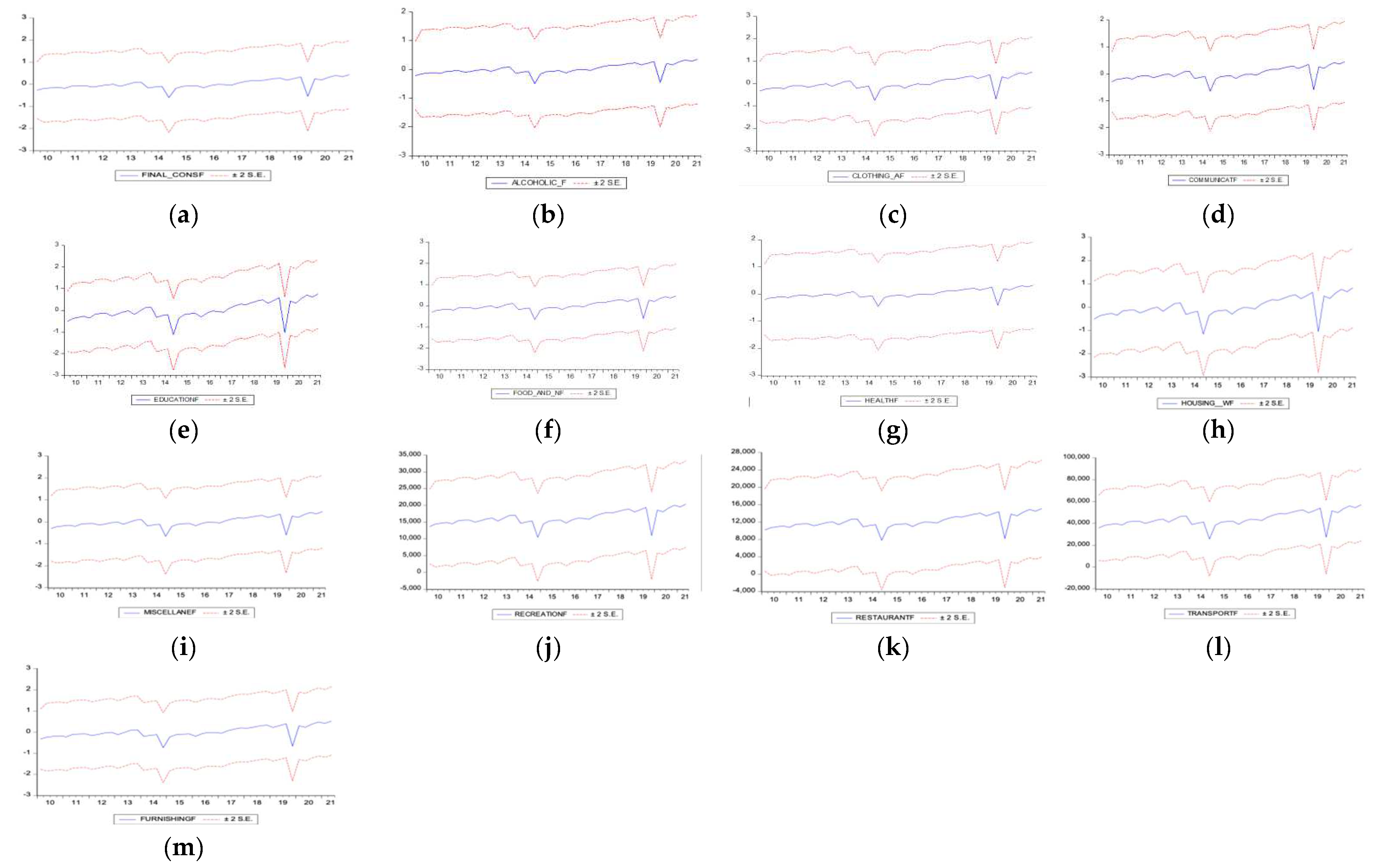
4. Results
- Education—0.40;
- Utility bills—0.40;
- Transport—0.33;
- Clothing and footwear—0.27;
- Furniture—0.27;
- Recreation and culture—0.27;
- Food—0.24;
- Other categories of goods and services—0.24;
- Restaurants and hotels—0.23;
- Communication—0.23;
- Alcohol and tobacco products—0.18;
- Health care—0.17.
5. Discussion and Conclusions
Author Contributions
Funding
Institutional Review Board Statement
Informed Consent Statement
Data Availability Statement
Acknowledgments
Conflicts of Interest
Appendix A


Appendix B


References
- Plaza, S.; Ratha, D.; De, S.; Kim, E.J.; Seshan, G.; Yameogo, N.D. Migration and Remittances: Recent Developments and OutLook. Migration and Development Brief; World Bank: Washington, DC, USA, 2019; Volume 31. [Google Scholar]
- Bisong, A.; Ahairwe, P.E.; Njoroge, E. The Impact of COVID-19 on Remittances for Development in Africa. Maastricht: European Centre for Development Policy Management. Available online: https://ecdpm.org/wp-content/uploads/Impact-COVID-19-remittances-development-Africa-ECDPM-discussion-paper-269-May-2020.pdf (accessed on 13 January 2022).
- Money Transfers to Ukraine. Available online: https://index.minfin.com.ua/ua/economy/transfer/2021/ (accessed on 13 January 2022).
- Foreign Direct Investment. Available online: https://index.minfin.com.ua/ua/economy/fdi/2020/ (accessed on 13 January 2022).
- Bardy, R.; Rubens, A.; Eberle, P. Soft Skills and Job Opportunities of Migrants: Systemic Relationships in the Labor Market. Bus. Ethic Leadersh. 2017, 1, 5–21. [Google Scholar] [CrossRef]
- Butkus, M.; Maciulyte-Sniukiene, A.; Matuzeviciute, K.; Davidaviciene, V. Society’s attitudes towards impact of immigration: Case of EU countries. Mark. Manag. Innov. 2018, 1, 338–352. [Google Scholar] [CrossRef]
- Pudryk, D.; Legenkyi, M.; Alioshkina, L. Innovation development and migration: Panel data approach. Mark. Manag. Innov. 2021, 1, 336–347. [Google Scholar] [CrossRef]
- Borella, C.A. Fake News, Immigration, and Opinion Polarisation. SocioEcon. Chall. 2017, 1, 59–72. [Google Scholar] [CrossRef][Green Version]
- Sina, I.; Sannikova, A.; Sajjad, F. Brand of European Higher Education Institution as a Key Factor for Foreign Students. Mark. Manag. Innov. 2020, 3, 181–194. [Google Scholar] [CrossRef]
- Vorontsova, A.; Mayboroda, T.; Lieonov, H. Innovation management in education: Impact on socio-labour relations in the national economy. Mark. Manag. Innov. 2020, 3, 346–357. [Google Scholar] [CrossRef]
- Khomenko, L.; Saher, L.; Polcyn, J. Analysis of The Marketing Activities In The Blood Service: Bibliometric Analysis. Health Econ. Manag. Rev. 2020, 1, 20–36. [Google Scholar] [CrossRef]
- Ahmed, S.K.; Khan, M.M.; Khan, R.A.; Mujtaba, B.G. The Relationship Between Social Capital and Psychological Well-Being: The Mediating Role of Internet Marketing. Mark. Manag. Innov. 2020, 1, 40–53. [Google Scholar] [CrossRef]
- Didenko, I.; Volik, K.; Vasylieva, T.; Lyeonov, S.; Antoniuk, N. Migration, environment, and country safety: Analysis of touchpoints. In Proceedings of the 5th International Conference on Energy, Environmental and Information System (ICENIS 2020), Kota Semarang, Indonesia, 12–13 August 2020; Volume 202, p. 03028. [Google Scholar] [CrossRef]
- Chowdhury, A.; Fiscal, M. Policy and Forecasting Real GDP. Financial Mark. Inst. Risks 2021, 5, 5–13. [Google Scholar] [CrossRef]
- Bondarenko, A.; Zakharkina, L.; Syhyda, L.; Saher, L. The Economic and Marketing Attractiveness of Countries: Measurement and Positioning in Terms of Economic Security. Int. J. Sustain. Dev. Plan. 2020, 15, 439–449. [Google Scholar] [CrossRef]
- Kuzmenko, O.V.; Smiianov, V.A.; Rudenko, L.A.; Kashcha, M.O.; Vasilyeva, T.A.; Kolomiiets, S.V.; Antoniuk, N.A. Impact of Vaccination on the COVID-19 Pandemic: Bibliometric Analysis and Cross Country Forecasting by Fourier Series. Wiadomości Lek. 2021, 74, 2359–2367. [Google Scholar] [CrossRef]
- Poghosyan, K.; Tovmasyan, G. Modelling and Forecasting Domestic Tourism. Case Study from Armenia. Socioecon. Chall. 2021, 5, 96–110. [Google Scholar] [CrossRef]
- Kostetskyi, P. Does Digitalization Lead to Better Transparency: Bibliometric Approach. Bus. Ethic Leadersh. 2021, 5, 102–107. [Google Scholar] [CrossRef]
- Meyer, D.; Shera, A. The impact of remittances on economic growth: An econometric model. EconomiA 2017, 18, 147–155. [Google Scholar] [CrossRef]
- World Development Indicators. Available online: https://databank.worldbank.org/reports.aspx?source=2&series=NY.GDP.MKTP.CD&country=# (accessed on 15 January 2022).
- Olusuyi, A.E.; Adedayo, A.O.; Agbolade, G.B.; Ebun, A.F. Dynamic impact of remittance on economic growth in Nigeria. J. Account. Financ. Manag. 2017, 3, 26–38. [Google Scholar]
- Nwaogu, U.G.; Ryan, M.J. FDI, Foreign Aid, Remittance and Economic Growth in Developing Countries. Rev. Dev. Econ. 2015, 19, 100–115. [Google Scholar] [CrossRef]
- Benhamou, Z.A.; Cassin, L. The impact of remittances on savings, capital and economic growth in small emerging countries. Econ. Model. 2021, 94, 789–803. [Google Scholar] [CrossRef]
- Sotnyk, I.; Shvets, I.; Momotiuk, L.; Chortok, Y.; Donetsk National Technical University (Ukraine); National Academy of Statistics, Accounting and Auditing. Management of renewable energy innovative development in Ukrainian households: Problems of financial support. Mark. Manag. Innov. 2018, 4, 150–160. [Google Scholar] [CrossRef]
- El Amri, A.; Boutti, R.; Oulfarsi, S.; Rodhain, F.; Bouzahir, B. Carbon financial markets underlying climate risk management, pricing and forecasting: Fundamental analysis. Financ. Mark. Inst. Risks 2020, 4, 31–44. [Google Scholar] [CrossRef]
- Dalevska, N.; Khobta, V.; Kwilinski, A.; Kravchenko, S. A model for estimating social and economic indicators of sustainable development. Entrep. Sustain. Issues 2019, 6, 1839–1860. [Google Scholar] [CrossRef]
- Kwilinski, A.; Tkachenko, V.; Kuzior, A. Transparent Cognitive Technologies to Ensure Sustainable Society Development. J. Secur. Sustain. Issues 2019, 9, 561–570. [Google Scholar] [CrossRef]
- Kharazishvili, Y.; Kwilinski, A.; Grishnova, O.; Dzwigol, H. Social Safety of Society for Developing Countries to Meet Sustainable Development Standards: Indicators, Level, Strategic Benchmarks (with Calculations Based on the Case Study of Ukraine). Sustainability 2020, 12, 8953. [Google Scholar] [CrossRef]
- Arefieva, O.; Polous, O.; Arefiev, S.; Tytykalo, V.; Kwilinski, A. Managing sustainable development by human capital reproduction in the system of company’s organizational behavior. IOP Conf. Ser. Earth Environ. Sci. 2021, 628, 012039. [Google Scholar] [CrossRef]
- Banjara, S.; Karki, S.; Dumre, A. Assessment of remittance and its impacts on economic growth in Nepal. Arch. Agric. Environ. Sci. 2020, 5, 61–66. [Google Scholar] [CrossRef]
- Zobair, S.A.M.; Uddin, M. Nexus between foreign direct investment, foreign aid, foreign remittance and economic growth in Bangladesh: Analysis of association. IIUC Stud. 2021, 16, 77–98. [Google Scholar] [CrossRef]
- Lacheheb, Z.; Ismail, N.W. The Impact of Remittance on Economic Growth in Low and Middle Income Countries. Int. J. Acad. Res. Econ. Manag. Sci. 2020, 9, 61–70. [Google Scholar] [CrossRef]
- Caruso, G.D.; Cucagna, M.E.; Ladronis, J. The distributional impacts of the reduction in remittances in Central America in COVID-19 times. Res. Soc. Strat. Mobil. 2021, 71, 100567. [Google Scholar] [CrossRef]
- Chen, H.; Chand, S.S.; Singh, B. Impact of COVID-19 on Remittance Inflows to Samoa. Asian Econ. Lett. 2020, 1, 17894. [Google Scholar] [CrossRef]
- Chaudhary, A. COVID-19, Remittance Inflow, and Economic Growth Rate in Nepal. Tribhuvan Univ. J. 2020, 34, 69–80. [Google Scholar] [CrossRef]
- Smiianov, V.A.; Vasilyeva, T.A.; Chygryn, O.Y.; Rubanov, P.M.; Mayboroda, T.M. Socio-Economic Patterns of Labor Market Functioning in the Public Health: Challenges Connected with COVID-19. Wiadomości Lek. 2020, 73, 2181–2187. [Google Scholar] [CrossRef]
- Kuzmenko, O.; Vasylieva, T.; Vojtovič, S.; Chygryn, O.; Snieška, V. Why do regions differ in vulnerability to СOVID-19? Spatial nonlinear modeling of social and economic patterns. Econ. Sociol. 2020, 13, 318–340. [Google Scholar] [CrossRef]
- Vasilyeva, T.; Kuzmenko, O.; Kuryłowicz, M.; Letunovska, N. Neural network modeling of the economic and social development trajectory transformation due to quarantine restrictions during COVID-19. Econ. Sociol. 2021, 14, 313–330. [Google Scholar] [CrossRef] [PubMed]
- Tut, D. FinTech and the COVID-19 Pandemic: Evidence from Electronic Payment Systems. 2020, pp. 1–16. Available online: https://ssrn.com/abstract=3660987 (accessed on 10 January 2022). [CrossRef]
- Chong, T.T.L.; Li, X.; Yip, C. The impact of COVID-19 on ASEAN. Econ. Political Stud. 2020, 9, 166–185. [Google Scholar] [CrossRef]
- Canuto, O. The Impact of Coronavirus on the Global Economy. Available online: https://media.africaportal.org/documents/Impact_of_the_coronavirus_on_global_economy.pdf (accessed on 10 January 2022).
- Withers, M.; Henderson, S.; Shivakoti, R. International Migration, Remittances and COVID-19: Economic Implications and Policy Options for South Asia. J. Asian Public Policy 2021, 14, 1–16. [Google Scholar] [CrossRef]
- Islam, M.; Jannat, A.; Al Rafi, D.; Aruga, K. Potential Economic Impacts of the COVID-19 Pandemic on South Asian Economies: A Review. World 2020, 1, 283–299. [Google Scholar] [CrossRef]
- Aidi, W.; Karingi, S. Impact of the Covid-19 on Remittances and Economic Growth in Africa: Theoretical Framework and Em-pirical Evidences. Available online: https://www.gtap.agecon.purdue.edu/resources/res_display.asp?RecordID=6376 (accessed on 9 January 2022).
- Majumder, S.; Rahman, M.; Layla, F.; Abedin, M.Z. Forecasting the Impact of COVID-19 on Remittance Inflows in Selected South Asian Countries 2020. Available online: https://ssrn.com/abstract=3648937 (accessed on 9 January 2022). [CrossRef]
- Anoba, A.; Olaoluwa, A. Changes in Consumption During the COVID-19 Pandemic in Canada. Available online: https://137.122.9.185/bitstream/10393/42441/1/Abibat%20Anoba.pdf (accessed on 9 February 2022).
- Baker, S.R.; Farrokhnia, R.A.; Meyer, S.; Pagel, M.; Yannelis, C. How Does Household Spending Respond to an Epidemic? Consaumption during the 2020 COVID-19 Pandemic. Rev. Asset Pricing Stud. 2020, 10, 834–862. [Google Scholar] [CrossRef]
- Coffey, C.; Doorley, K.; O’Toole, C.; Roantree, B. The Effect of the COVID-19 Pandemic on Consumption and Indirect Tax in Ireland: (No. 2021/3) Budget Perspectives 2020; The Economic and Social Research Institute: Dublin, Ireland, 2020. [Google Scholar] [CrossRef]
- Chetty, R.; Friedman, J.N.; Hendren, N.; Stepner, M. How Did COVID-19 and Stabilisation Policies Affect Spending and Employment? A New Real-Time Economic Tracker Based on Private Sector Data; National Bureau of Economic Research: Cambridge, MA, USA, 2020; pp. 1–109. [Google Scholar]
- Krukov, Y.; Chernyagin, D. An Arima model for forecasting a values of network traffic. J. Inf. Technol. Comput. Syst. 2011, 2, 41–49. [Google Scholar]
- Us, Y.; Pimonenko, T.; Lyulyov, O. Energy efficiency profiles in developing the free-carbon economy: On the example of Ukraine and the V4 countries. Energy Policy J. 2020, 23, 49–66. [Google Scholar] [CrossRef]


| Variables | Indicators | Sources |
|---|---|---|
| Migrants’ remittances | PR | Ministry of Finance of Ukraine |
| Final consumption expenditure of households | FC | The World Bank |
| Expenditure on alcoholic beverages, tobaccos and narcotics | FC1 | State Statistics Service of Ukraine |
| Expenditure of households on clothing and footwear | FC2 | |
| Expenditure of households on communication | FC3 | |
| Expenditure of households on education | FC4 | |
| Expenditure of households on food and non-alcoholic beverages | FC5 | |
| Expenditure of households on furnishings, household equipment and routine maintenance of the house | FC6 | |
| Expenditure of households on health | FC7 | |
| Expenditure of households on utility bills | FC8 | |
| Expenditure of households on miscellaneous goods and services | FC9 | |
| Expenditure of households on recreation and culture | FC10 | |
| Expenditure of households on restaurants and hotels | FC11 | |
| Expenditure of households on transport | FC12 |
| Variables | Mean | Median | Maximum | Minimum | Std. Dev. | Skewness | Kurtosis | Jarque–Bera | Probability |
|---|---|---|---|---|---|---|---|---|---|
| PR | 2100.6 | 1965.0 | 3453.0 | 147.0 | 701.1 | −0.3 | 3.5 | 1.3 | 0.5 |
| FC | 427,770.3 | 348,809.5 | 910,471.0 | 145,971.0 | 225,236.6 | 0.7 | 2.1 | 4.9 | 0.1 |
| FC1 | 31,752.7 | 25,151.5 | 68,409.0 | 9207.0 | 17,100.3 | 0.7 | 2.2 | 4.6 | 0.1 |
| FC2 | 21,417.9 | 17,891.0 | 43,297.0 | 7712.0 | 10,032.8 | 0.6 | 2.1 | 4.5 | 0.1 |
| FC3 | 11,751.0 | 9987.5 | 24,678.0 | 4337.0 | 5963.6 | 0.7 | 2.3 | 4.3 | 0.1 |
| FC4 | 5246.7 | 4422.5 | 11,716.0 | 2651.0 | 2620.8 | 1.0 | 2.8 | 7.9 | 0.0 |
| FC5 | 170,075.7 | 142,067.0 | 362,975.0 | 53,926.0 | 93,410.6 | 0.6 | 2.0 | 4.7 | 0.1 |
| FC6 | 16,682.0 | 13,768.5 | 36,217.0 | 5464.0 | 8251.7 | 0.7 | 2.3 | 4.3 | 0.1 |
| FC7 | 23,534.2 | 19,042.5 | 55,601.0 | 6979.0 | 14,246.8 | 0.7 | 2.2 | 5.0 | 0.1 |
| FC8 | 55,463.0 | 42,826.5 | 149,726.0 | 22,638.0 | 32,844.0 | 1.2 | 3.5 | 12.1 | 0.0 |
| FC9 | 19,426.1 | 15,766.0 | 41,317.0 | 7561.0 | 9394.0 | 0.8 | 2.4 | 5.2 | 0.1 |
| FC10 | 16,256.4 | 13,893.0 | 33,789.0 | 6044.0 | 7867.4 | 0.6 | 2.3 | 4.1 | 0.1 |
| FC11 | 12,085.8 | 9655.5 | 25,561.0 | 3896.0 | 6959.0 | 0.5 | 1.8 | 4.8 | 0.1 |
| FC12 | 44,078.9 | 37,769.0 | 84,456.0 | 12,837.0 | 20,105.9 | 0.5 | 2.1 | 3.4 | 0.2 |
| Type of Expenditure | Variation Coefficient, % | Type of Expenditure | Variation Coefficient, % |
|---|---|---|---|
| FC1 | 14.06 | FC7 | 13.05 |
| FC2 | 12.30 | FC8 | 19.24 |
| FC3 | 13.54 | FC9 | 14.33 |
| FC4 | 18.25 | FC10 | 17.34 |
| FC5 | 11.54 | FC11 | 13.18 |
| FC6 | 14.99 | FC12 | 15.94 |
| Variables | Level | τ-stat. | Sign. Level | Prob. | Hypothesis | Conclusion |
|---|---|---|---|---|---|---|
| FC1 | at level | 4.18 | −2.93 | 1.00 | H0 | x |
| 1st diff. | −8.36 | −3.52 | 0.00 | Ha | + | |
| FC2 | at level | −0.87 | −3.52 | 0.95 | H0 | x |
| 1st diff. | −10.60 | −3.52 | 0.00 | Ha | + | |
| FC3 | at level | −0.87 | −3.52 | 0.95 | H0 | x |
| 1st diff. | −10.60 | −3.52 | 0.00 | Ha | + | |
| FC4 | at level | 0.83 | −3.53 | 1.00 | H0 | x |
| 1st diff. | −3.55 | −3.53 | 0.05 | Ha | + | |
| FC5 | at level | −0.57 | −3.52 | 0.98 | H0 | x |
| 1st diff. | −8.91 | −3.52 | 0.00 | Ha | + | |
| FC6 | at level | −0.31 | −3.52 | 0.99 | H0 | x |
| 1st diff. | −17.75 | −3.52 | 0.00 | Ha | + | |
| FC7 | at level | 0.23 | −3.52 | 1.00 | H0 | x |
| 1st diff. | −10.08 | −3.52 | 0.00 | Ha | + | |
| FC8 | at level | 0.64 | −3.52 | 1.00 | H0 | x |
| 1st diff. | −7.84 | −3.52 | 0.00 | Ha | + | |
| FC9 | at level | 0.27 | −3.53 | 1.00 | H0 | x |
| 1st diff. | −4.95 | −3.53 | 0.00 | Ha | + | |
| FC10 | at level | −0.45 | −3.53 | 0.98 | H0 | x |
| 1st diff. | −4.76 | −3.53 | 0.00 | Ha | + | |
| FC11 | at level | −2.71 | −3.51 | 0.24 | H0 | x |
| 1st diff. | −8.12 | −3.52 | 0.00 | Ha | + | |
| FC12 | at level | −3.05 | −3.54 | 0.13 | H0 | x |
| 1st diff. | −4.48 | −3.53 | 0.01 | Ha | + |
| Variable | Coefficient | ||||||||||||
|---|---|---|---|---|---|---|---|---|---|---|---|---|---|
| (1) | (2) | (3) | (4) | (5) | (6) | (7) | (8) | (9) | (10) | (11) | (12) | (13) | |
| PR | 0.22 | 0.17 | 0.27 | 0.23 | 0.40 | 0.23 | 0.17 | 0.40 | 0.24 | 0.27 | 0.22 | 0.33 | 0.27 |
| C | 0.01 | 0.01 | 0.00 | 0.01 | −0.01 | 0.01 | 0.01 | −0.01 | 0.01 | 0.01 | 0.01 | 0.00 | 0.01 |
| MA(1) | 0.70 | 0.83 | 0.64 | 0.93 | 0.62 | 0.93 | 0.73 | 0.62 | 0.54 | 0.60 | 0.62 | 0.47 | 0.55 |
| SIGMASQ | 0.34 | 0.30 | 0.36 | 0.25 | 0.37 | 0.25 | 0.34 | 0.37 | 0.45 | 0.42 | 0.39 | 0.46 | 0.42 |
| R-squared | 0.66 | 0.70 | 0.63 | 0.74 | 0.62 | 0.74 | 0.65 | 0.62 | 0.54 | 0.57 | 0.61 | 0.53 | 0.57 |
| Adjusted R-squared | 0.63 | 0.68 | 0.61 | 0.72 | 0.59 | 0.72 | 0.63 | 0.59 | 0.51 | 0.54 | 0.58 | 0.50 | 0.54 |
| F-statistic | 26.73 | 32.20 | 24.01 | 40.04 | 22.97 | 40.04 | 25.97 | 22.97 | 16.49 | 18.83 | 21.51 | 15.78 | 18.66 |
| Prob(F-statistic) | 0.00 | 0.00 | 0.00 | 0.00 | 0.00 | 0.00 | 0.00 | 0.00 | 0.00 | 0.00 | 0.00 | 0.00 | 0.00 |
| Akaike info criterion | 1.94 | 1.82 | 2.00 | 2.00 | 2.03 | 1.91 | 1.96 | 2.38 | 2.22 | 2.15 | 2.07 | 2.24 | 2.15 |
| Schwarz criterion | 2.10 | 1.98 | 2.20 | 2.00 | 2.19 | 2.07 | 2.12 | 2.54 | 2.38 | 2.31 | 2.23 | 2.40 | 2.31 |
| Hannan-Quinn criteria. | 2.00 | 1.88 | 2.10 | 2.00 | 2.09 | 1.97 | 2.02 | 2.44 | 2.28 | 2.21 | 2.13 | 2.30 | 2.21 |
| Durbin-Watson stat | 0.81 | 0.64 | 1.10 | 0.80 | 1.45 | 0.81 | 0.70 | 0.88 | 1.19 | 1.21 | 0.99 | 1.36 | 1.15 |
Publisher’s Note: MDPI stays neutral with regard to jurisdictional claims in published maps and institutional affiliations. |
© 2022 by the authors. Licensee MDPI, Basel, Switzerland. This article is an open access article distributed under the terms and conditions of the Creative Commons Attribution (CC BY) license (https://creativecommons.org/licenses/by/4.0/).
Share and Cite
Zhang, L.; Chen, Y.; Lyulyov, O.; Pimonenko, T. Forecasting the Effect of Migrants’ Remittances on Household Expenditure: COVID-19 Impact. Sustainability 2022, 14, 4361. https://doi.org/10.3390/su14074361
Zhang L, Chen Y, Lyulyov O, Pimonenko T. Forecasting the Effect of Migrants’ Remittances on Household Expenditure: COVID-19 Impact. Sustainability. 2022; 14(7):4361. https://doi.org/10.3390/su14074361
Chicago/Turabian StyleZhang, Lei, Yang Chen, Oleksii Lyulyov, and Tetyana Pimonenko. 2022. "Forecasting the Effect of Migrants’ Remittances on Household Expenditure: COVID-19 Impact" Sustainability 14, no. 7: 4361. https://doi.org/10.3390/su14074361
APA StyleZhang, L., Chen, Y., Lyulyov, O., & Pimonenko, T. (2022). Forecasting the Effect of Migrants’ Remittances on Household Expenditure: COVID-19 Impact. Sustainability, 14(7), 4361. https://doi.org/10.3390/su14074361

