Re-Examining the Income–CO2 Emissions Nexus Using the New Kink Regression Model: Does the Kuznets Curve Exist in G7 Countries?
Abstract
:1. Introduction
2. Literature Review
2.1. Theoretical Explanations Supporting the EKC Hypothesis
2.2. Development and Debate of EKC Theory in Recent Years
3. Methodology and Data
3.1. Methodology
3.2. Variable
3.3. Data
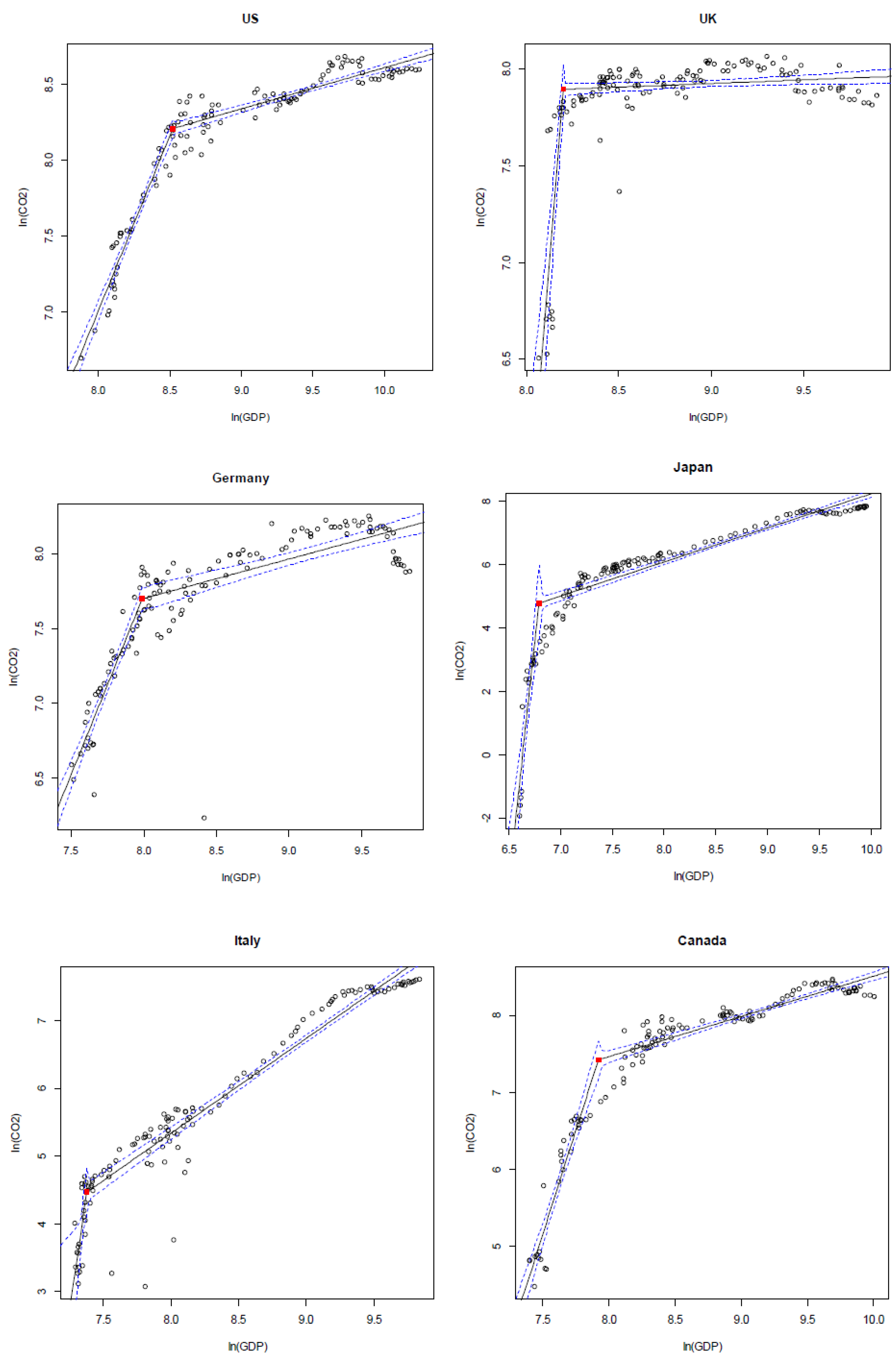
4. The Empirical Findings
4.1. Main Findings of CO2 Emission
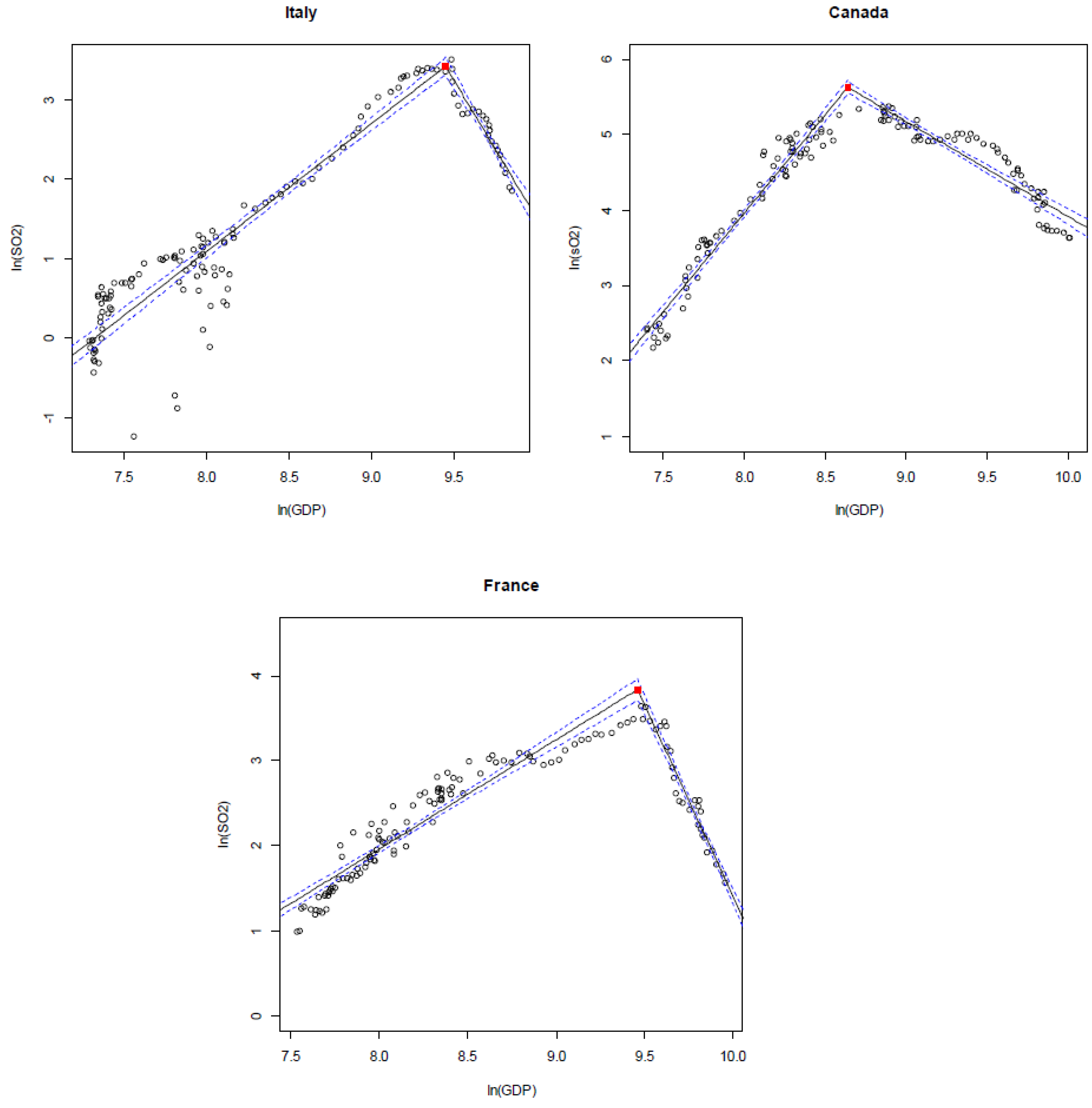
4.2. Robust Analysis about SO2 Emission
5. Discussion and Conclusions
5.1. Conclusions
5.2. Discussions and Policy Implications
Author Contributions
Funding
Institutional Review Board Statement
Informed Consent Statement
Data Availability Statement
Acknowledgments
Conflicts of Interest
References
- Grossman, G.M.; Krueger, A.B. Economic growth and the environment. Q. J. Econ. 1995, 110, 353–377. [Google Scholar] [CrossRef] [Green Version]
- Kuznets, S. Economic Growth and Income Inequality. Am. Econ. Rev. 1955, 45, 1–28. [Google Scholar]
- Özokcu, S.; Özdemir, Ö. Economic growth, energy, and environmental Kuznets curve. Renew. Sustain. Energy Rev. 2017, 72, 639–647. [Google Scholar] [CrossRef]
- Jalil, A.; Feridun, M. The impact of growth, energy and financial development on the environment in China: A cointegration analysis. Energy Econ. 2011, 33, 284–291. [Google Scholar] [CrossRef]
- Martinez-Zarzoso, I.; Bengochea-Morancho, A. Pooled mean group estimation of an Environmental Kuznets Curve for CO2. Econ. Lett. 2004, 82, 121–126. [Google Scholar] [CrossRef]
- Sarkodie, S.A.; Strezov, V. Empirical study of the Environmental Kuznets curve and Environmental Sustainability curve hypothesis for Australia, China, Ghana and USA. J. Clean. Prod. 2018, 201, 98–110. [Google Scholar] [CrossRef]
- Grossman, G.M.; Krueger, A.B. Environmental Impacts of a North American Free Trade Agreement; National Bureau of Economic Research: Cambridge, MA, USA, 1991. [Google Scholar]
- Coondoo, D.; Dinda, S. Causality between income and emission: A country group-specific econometric analysis. Ecol. Econ. 2002, 40, 351–367. [Google Scholar] [CrossRef]
- Kaika, D.; Zervas, E. The Environmental Kuznets Curve (EKC) theory—Part A: Concept, causes and the CO2 emissions case. Energy Policy 2013, 62, 1392–1402. [Google Scholar] [CrossRef]
- Nieto, J.; Carpintero, Ó.; Miguel, L.J.; de Blas, I. Macroeconomic modelling under energy constraints: Global low carbon transition scenarios. Energy Policy 2020, 137, 111090. [Google Scholar] [CrossRef] [Green Version]
- UNEP. Emissions Gap Report 2020; U.N. Environment Programme: Nairobi, Kenya, 2020. [Google Scholar]
- He, L.; Zhang, X.; Yan, Y. Heterogeneity of the Environmental Kuznets Curve across Chinese cities: How to dance with ‘shackles’? Ecol. Indic. 2021, 130, 108128. [Google Scholar] [CrossRef]
- Hansen, B.E. Regression Kink with an Unknown Threshold. J. Bus. Econ. Stat. 2017, 35, 228–240. [Google Scholar] [CrossRef]
- Chimeli, A.B. Growth and the environment: Are we looking at the right data? Econ. Lett. 2007, 96, 89–96. [Google Scholar] [CrossRef]
- Shafic, N.; Bandyopadhyay, S. Economic Growth and Environmental Quality. Time-Series and Cross Country Evidence. Policy Research Working Paper No. 904; World Development Report 1992; The World Bank: Washington, DC, USA, 1992. [Google Scholar]
- Panayotou, T. Economic Growth and the Environment 2003. Economic Survey of Europe; UNECE: Geneva, Switzerland, 2003; Volume 2, Chapter 2. [Google Scholar]
- Magnani, E. The Environmental Kuznets Curve, environmental protection policy and income distribution. Ecol. Econ. 2000, 32, 431–443. [Google Scholar] [CrossRef]
- Khanna, N. The income elasticity of non-point source air pollutants: Revisiting the environmental Kuznets curve. Econ. Lett. 2002, 77, 387–392. [Google Scholar] [CrossRef]
- López, R. The Environment as a Factor of Production: The Effects of Economic Growth and Trade Liberalization. J. Environ. Econ. Manag. 1994, 27, 163–184. [Google Scholar] [CrossRef]
- Suri, V.; Chapman, D. Economic growth, trade and energy: Implications for the environmental Kuznets curve. Ecol. Econ. 1998, 25, 195–208. [Google Scholar] [CrossRef]
- Selden, T.M.; Song, D. Environmental quality and development: Is there a Kuznets curve for air pollution emissions? J. Environ. Econ. Manag. 1994, 27, 147–162. [Google Scholar] [CrossRef]
- De Bruyn, S.M.; van den Bergh, J.C.J.M.; Opschoor, J.B. Economic growth and emissions: Reconsidering the empirical basis of Environmental Kuznets Curves. Ecol. Econ. 1998, 25, 161–175. [Google Scholar] [CrossRef]
- Wara, M. Is the global carbon market working? Nature 2007, 445, 595–596. [Google Scholar] [CrossRef]
- Fan, Y.; Wu, J.; Xia, Y.; Liu, J.-Y. How will a nationwide carbon market affect regional economies and efficiency of CO2 emission reduction in China? China Econ. Rev. 2016, 38, 151–166. [Google Scholar] [CrossRef]
- Panayotou, T. Demystifying the environmental Kuznets curve: Turning a black box into a policy tool. Environ. Dev. Econ. 1997, 2, 465–484. [Google Scholar] [CrossRef] [Green Version]
- Grossman, G.M.; Krueger, A.B. Environment Impacts of a North American Free Trade Agreement. In The Mexican-US Free Trade Agreement; Garber, P.M., Ed.; MIT Press: Cambridge, UK, 1993; pp. 1–10. [Google Scholar]
- Shafik, N. Economic Development and Environmental Quality: An Econometric Analysis. Oxf. Econ. Pap. 1994, 46, 757–773. [Google Scholar] [CrossRef]
- Roberts, J.T.; Grimes, P.E. Carbon intensity and economic development 1962–1991. A brief exploration of the environmental Kuznets curve. World Dev. 1997, 25, 191–198. [Google Scholar] [CrossRef]
- Magnani, E. The Environmental Kuznets Curve: Development path or policy result? Environ. Model. Softw. 2001, 16, 157–165. [Google Scholar] [CrossRef]
- Farhani, S.; Mrizak, S.; Chaibi, A.; Rault, C. The environmental Kuznets curve and sustainability: A panel data analysis. Energy Policy 2014, 71, 189–198. [Google Scholar] [CrossRef] [Green Version]
- Balado-Naves, R.; Baños-Pino, J.F.; Mayor, M. Do countries influence neighbouring pollution? A spatial analysis of the EKC for CO2 emissions. Energy Policy 2018, 123, 266–279. [Google Scholar] [CrossRef]
- Ang, J.B. CO2 emissions, energy consumption, and output in France. Energy Policy 2007, 35, 4772–4778. [Google Scholar] [CrossRef]
- Apergis, N.; Payne, J.E. The emissions, energy consumption, and growth nexus: Evidence from the commonwealth of independent states. Energy Policy 2010, 38, 650–655. [Google Scholar] [CrossRef]
- Arouri, M.H.; Ben Youssef, A.; M’Henni, H.; Rault, C. Energy consumption, economic growth and CO2 emissions in Middle East and North African countries. Energy Policy 2012, 45, 342–349. [Google Scholar] [CrossRef] [Green Version]
- Stern, D.I.; Common, M.S. Is There an Environmental Kuznets Curve for Sulfur? J. Environ. Econ. Manag. 2001, 41, 162–178. [Google Scholar] [CrossRef] [Green Version]
- Neve, M.; Hamaide, B. Environmental Kuznets curve with adjusted net savings as a trade-off between environment and development. Aust. Econ. Pap. 2017, 56, 39–58. [Google Scholar] [CrossRef] [Green Version]
- Dinda, S. Environmental Kuznets Curve Hypothesis: A Survey. Ecol. Econ. 2004, 49, 431–455. [Google Scholar] [CrossRef] [Green Version]
- Churchill, S.A.; Inekwe, J.; Ivanovski, K.; Smyth, R. The Environmental Kuznets Curve in the OECD: 1870–2014. Energy Econ. 2018, 75, 389–399. [Google Scholar] [CrossRef]
- Shahbaz, M.; Sinha, A. Environmental Kuznets curve for CO2 emissions: A literature survey. J. Econ. Stud. 2019, 46, 106–168. [Google Scholar] [CrossRef] [Green Version]
- Piaggio, M.; Padilla, E.; Román, C. The long-term relationship between CO2 emissions and economic activity in a small open economy: Uruguay 1882–2010. Energy Econ. 2017, 65, 271–282. [Google Scholar] [CrossRef]
- Rafindadi, A.A. Revisiting the concept of environmental Kuznets curve in period of energy disaster and deteriorating income: Empirical evidence from Japan. Energy Policy 2016, 94, 274–284. [Google Scholar] [CrossRef]
- Chang, H.-Y.; Wang, W.; Yu, J. Revisiting the environmental Kuznets curve in China: A spatial dynamic panel data approach. Energy Econ. 2021, 104, 105600. [Google Scholar] [CrossRef]
- Holtz-Eakin, D.; Selden, T.M. Stoking the fires? CO2 emissions and economic growth. J. Public Econ. 1995, 57, 85–101. [Google Scholar] [CrossRef] [Green Version]
- Friedl, B.; Getzner, M. Determinants of CO2 emissions in a small open economy. Ecol. Econ. 2003, 45, 133–148. [Google Scholar] [CrossRef]
- Shao, S.; Li, X.; Cao, J.; Yang, L. China’s Economic Policy Choices for Governing Smog Pollution Based on Spatial Spillover Effects. Econ. Res. 2016, 51, 73–88. (In Chinese) [Google Scholar]
- Baek, J. Environmental Kuznets curve for CO2 emissions: The case of Arctic countries. Energy Econ. 2015, 50, 13–17. [Google Scholar] [CrossRef]
- Park, S.; Lee, Y. Regional model of EKC for air pollution: Evidence from the Republic of Korea. Energy Policy 2011, 39, 5840–5849. [Google Scholar] [CrossRef]
- Marbuah, G.; Amuakwa-Mensah, F. Spatial analysis of emissions in Sweden. Energy Econ. 2017, 68, 383–394. [Google Scholar] [CrossRef] [Green Version]
- Churchill, S.A.; Inekwe, J.; Ivanovski, K.; Smyth, R. The Environmental Kuznets Curve across Australian states and territories. Energy Econ. 2020, 90, 104869. [Google Scholar] [CrossRef]
- Jaunky, V.C. The CO2 emissions-income nexus: Evidence from rich countries. Energy Policy 2011, 39, 1228–1240. [Google Scholar] [CrossRef]
- Fodha, M.; Zaghdoud, O. Economic growth and pollutant emissions in Tunisia: An empirical analysis of the environmental Kuznets curve. Energy Policy 2010, 38, 1150–1156. [Google Scholar] [CrossRef]
- Nasr, A.B.; Gupta, R.; Sato, J.R. Is there an environmental Kuznets curve for South Africa? A co-summability approach using a century of data. Energy Econ. 2015, 52, 136–141. [Google Scholar] [CrossRef] [Green Version]
- Al-Mulali, U.; Solarin, S.A.; Ozturk, I. Investigating the presence of the environmental Kuznets curve (EKC) hypothesis in Kenya: An autoregressive distributed lag (ARDL) approach. Nat. Hazards 2016, 80, 1729–1747. [Google Scholar] [CrossRef]
- Isik, C.; Ongan, S.; Ozdemir, D.; Ahmad, M.; Irfan, M.; Alvarado, R.; Ongan, A. The increases and decreases of the environment Kuznets curve (EKC) for 8 OECD countries. Environ. Sci. Pollut. Res. 2021, 28, 28535–28543. [Google Scholar] [CrossRef]
- Tenaw, D.; Beyene, A.D. Environmental sustainability and economic development in sub-Saharan Africa: A modified EKC hypothesis. Renew. Sustain. Energy Rev. 2021, 143, 110897. [Google Scholar] [CrossRef]
- Aziz, N.; Sharif, A.; Raza, A.; Jermsittiparsert, K. The role of natural resources, globalization, and renewable energy in testing the EKC hypothesis in MINT countries: New evidence from Method of Moments Quantile Regression approach. Environ. Sci. Pollut. Res. 2021, 28, 13454–13468. [Google Scholar] [CrossRef] [PubMed]
- List, J.A.; Gallet, C.A. The environmental Kuznets curve: Does one size fit all? Ecol. Econ. 1999, 31, 409–423. [Google Scholar] [CrossRef] [Green Version]
- Dijkgraaf, E.; Vollebergh, H.R.J. A Test for Parameter Homogeneity in CO2 Panel EKC Estimations. Environ. Resour. Econ. 2005, 32, 229–239. [Google Scholar] [CrossRef]
- Kaika, D.; Zervas, E. The environmental Kuznets curve (EKC) theory. Part B: Critical issues. Energy Policy 2013, 62, 1403–1411. [Google Scholar] [CrossRef]
- Liu, X. Explaining the relationship between CO2 emissions and national income—The role of energy consumption. Econ. Lett. 2005, 87, 325–328. [Google Scholar] [CrossRef]
- Card, D.; Lee, D.S.; Pei, Z.; Weber, A. Regression Kink Design: Theory and Practice; Emerald Publishing Limited: Bentley, UK, 2017. [Google Scholar]
- Maneejuk, N.; Ratchakom, S.; Maneejuk, P.; Yamaka, W. Does the environmental Kuznets curve exist? An international study. Sustainability 2020, 12, 9117. [Google Scholar] [CrossRef]
- Yi, M.; Fang, X.; Wen, L.; Guang, F.; Zhang, Y. The heterogeneous effects of different environmental policy instruments on green technology innovation. Int. J. Environ. Res. Public Health 2019, 16, 4660. [Google Scholar] [CrossRef] [Green Version]
- Antle, J.M.; Heidebrink, G. Environment and Development: Theory and International Evidence. Econ. Dev. Cult. Chang. 1995, 43, 603–625. [Google Scholar] [CrossRef]
- World Economic Forum. The Global Risks Report 2022. 2022. Available online: https://www.weforum.org/reports/global-risks-report-2022 (accessed on 11 January 2022).
- Yilanci, V.; Pata, U.K. Investigating the EKC hypothesis for China: The role of economic complexity on ecological footprint. Environ. Sci. Pollut. Res. 2020, 27, 32683–32694. [Google Scholar] [CrossRef]
- Galeotti, M.; Lanza, A. Richer and cleaner? A study on carbon dioxide emissions in developing countries. Energy Policy 1999, 27, 565–573. [Google Scholar] [CrossRef] [Green Version]
- Halicioglu, F. An econometric study of CO2 emissions, energy consumption, income and foreign trade in Turkey. Energy Policy 2009, 37, 1156–1164. [Google Scholar] [CrossRef] [Green Version]
- Ertugrul, H.M.; Cetin, M.; Seker, F.; Dogan, E. The impact of trade openness on global carbon dioxide emissions: Evidence from the top ten emitters among developing countries. Ecol. Indic. 2016, 67, 543–555. [Google Scholar] [CrossRef] [Green Version]
- Shahbaz, M.; Shafiullah, M.; Papavassiliou, V.G.; Hammoudeh, S. The CO2—Growth nexus revisited: A nonparametric analysis for the G7 economies over nearly two centuries. Energy Econ. 2017, 65, 183–193. [Google Scholar] [CrossRef] [Green Version]
- Dickey, D.A.; Fuller, W.A. Distribution of the estimators for autoregressive time series with a unit root. J. Am. Stat. Assoc. 1979, 74, 427–431. [Google Scholar]
- Phillips, P.C.; Perron, P. Testing for a unit root in time series regression. Biometrika 1988, 75, 335–346. [Google Scholar] [CrossRef]
- Zivot, E.; Andrews, D.W. Further Evidence on the Great Crash, the Oil-Price Shock, and the Unit-Root Hypothesis. J. Bus. Econ. Stat. 1992, 10, 251–270. [Google Scholar]
- Galeotti, M.; Lanza, A. Desperately seeking environmental Kuznets. Environ. Model. Softw. 2005, 20, 1379–1388. [Google Scholar] [CrossRef] [Green Version]
- Aslanidis, N.; Iranzo, S. Environment and development: Is there a Kuznets curve for CO2 emissions? Appl. Econ. 2009, 41, 803–810. [Google Scholar] [CrossRef] [Green Version]
- Olson, M. The Logic of Collective Action; Harvard University Press: Harvard, UK, 2009; Volume 124. [Google Scholar]
- Grooms, K.K. Enforcing the Clean Water Act: The effect of state-level corruption on compliance. J. Environ. Econ. Manag. 2015, 73, 50–78. [Google Scholar] [CrossRef]
- Guo, S.; Lu, J. Jurisdictional air pollution regulation in China: A tragedy of the regulatory anti-commons. J. Clean. Prod. 2019, 212, 1054–1061. [Google Scholar] [CrossRef]
- Ansuategi, A.; Escapa, M. Economic growth and greenhouse gas emissions. Ecol. Econ. 2002, 40, 23–37. [Google Scholar] [CrossRef]
- Wagner, M. The environmental Kuznets curve, cointegration and nonlinearity. J. Appl. Econ. 2015, 30, 948–967. [Google Scholar] [CrossRef]
- Onater-Isberk, E. Environmental Kuznets curve under noncarbohydrate energy. Renew. Sustain. Energy Rev. 2016, 64, 338–347. [Google Scholar] [CrossRef]
- Raza, S.A.; Shah, N. Testing environmental Kuznets curve hypothesis in G7 countries: The role of renewable energy consumption and trade. Environ. Sci. Pollut. Res. 2018, 25, 26965–26977. [Google Scholar] [CrossRef]
- Nabaee, M.; Shakouri, G.H.; Tavakoli, O. Comparison of the Relationship Between CO2, Energy USE, and GDP in G7 and Developing Countries: Is There Environmental Kuznets Curve for Those? In Energy Systems and Management; Bilge, A., Toy, A., Günay, M., Eds.; Springer Proceedings in Energy; Springer: Cham, Switzerland, 2015; pp. 229–239. [Google Scholar]
- Chang, M.C. Room for improvement in low carbon economies of G7 and BRICS countries based on the analysis of energy efficiency and environmental Kuznets curves. J. Clean. Prod. 2015, 99, 140–151. [Google Scholar] [CrossRef]
- Fosten, J.; Morley, B.; Taylor, T. Dynamic misspecification in the environmental Kuznets curve: Evidence from CO2 and SO2 emissions in the United Kingdom. Ecol. Econ. 2012, 76, 25–33. [Google Scholar] [CrossRef] [Green Version]
- Ostrom, E. A Polycentric Approach For Coping With Climate Change. Ann. Econ. Financ. 2014, 15. [Google Scholar]
- Ostrom, E. Polycentric systems for coping with collective action and global environmental change. Glob. Environ. Chang. 2010, 20, 550–557. [Google Scholar] [CrossRef]
- Cole, D.H. Advantages of a polycentric approach to climate change policy. Nat. Clim. Chang. 2015, 5, 114–118. [Google Scholar] [CrossRef] [Green Version]




| Typical Literature | Sample | Period | Method | Main Results |
|---|---|---|---|---|
| Inverted U-shaped relationship | ||||
| Grossman and Krugger (1995) | A total of 42 countries | 1977–1988 | Generalized least squared (GLS) method | There is an inverted U-shaped curve relationship between per capita income and SO2 pollution levels [1]. |
| Farhani et al. (2014) | A total of 10 the Middle East and North African countries | 1990–2010 | OLS regression, standard linear EKC model | There is an inverse U-shaped relationship between environmental degradation and income [30]. |
| Balado-Naves et al. (2018) | A total of 173 countries | 1990–2014 | OLS regression, log-linear EKC model; spatial models, SDEM (spatial Durbin error model) | Most regions support the standard EKC hypothesis; there is an inverted U-shaped relationship between national per capita emissions and per capita income in neighboring countries in Europe and Asia [32]. |
| Churchill et al. (2018) | OECD countries | 1870–2014 | OLS regression, standard linear EKC model | Evidence of EKC exists in 9 of the 20 countries. Five countries exhibit an inverted U-shaped relationship, three countries exhibit an N-shaped relationship, and one exhibits an inverted N-shaped relationship [38]. |
| Marbuah and Amuakwa-Mensah (2017) | Sweden | 2005–2013 | Spatial models | EKC is effective for all but one pollutant (carbon monoxide), and the distinguishing feature of this relationship is its spatial dependence [48]. |
| Rafindadi (2016) | Japan | 1961–2012 | Standard linear EKC model | The EKC phenomenon remained in place during the energy disaster and the deterioration of revenues [41]. |
| Chang et al. (2021) | China | 2004–2015 | First-order spatial dynamic panel model with fixed effects | An inverted U-shaped EKC is the nexus between air pollution and economic growth [42]. |
| Churchill et al. (2020) | Australia | 1990–2017 | Nonparametric methods | An inverted U-shaped EKC, which peaks in 2010 [49]. |
| A positive contribution relationship | ||||
| Holtz-Eakin and Selden (1995) | A total of 130 countries | 1951–1986 | Log quadratic models | There is a monotonic increasing relationship between economic growth and CO2. As GDP per capita increases, the marginal tendency to emit CO2 decreases [43]. |
| Jaunky (2011) | A total of 36 countries with high income | 1980–2005 | OLS regression, standard linear EKC model | There is a positive linear correlation between GDP per capita and environmental degradation [50]. |
| Fodha and Zaghdoud (2010) | Tunisia | 1961–2004 | OLS regression, cubic models | There is an inverted U-curve relationship between economic growth and SO2 but a monotonically increasing relationship with CO2 [51]. |
| N-shape, U-shape relationship | ||||
| Friedl and Getzner (2003) | Austria | 1960–1999 | Linear, quadratic or cubic models | An N-shaped relationship exists between economic growth and CO2 emission [44]. |
| Shao et al. (2016) | China | 1998–2012 | Spatial models, generalized method of moments (GMM) | There is a significant U-shaped curve relationship between economic growth and haze [45]. |
| No significant evidence for the EKC hypothesis | ||||
| Baek (2015) | Arctic countries | 1960–2010 | Log quadratic and cubic models; Autoregressive distributed lag (ARDL) modelling approach | There is scant evidence of the existence of the EKC for the Arctic [46]. |
| Nasr et al. (2015) | South Africa | 1911–2010 | OLS regression, standard linear EKC model | There is no support of the EKC for South Africa [52]. |
| Park and Lee (2011) | Korea | 1990–2005 | A fixed-effects model, a random-effects model, and a random coefficient model | There is no single dominant shape of the EKC curves for SO2 and NO2. Environmental policies should consider different pollutants and regions [47]. |
| Variables | Mean | Median | Maximum | Minimum | Std. Dev. | Skewness | Kurtosis | Jarque -Bera | Obs. |
|---|---|---|---|---|---|---|---|---|---|
| lnCanada_ CO2 | 1.9759 | 2.3443 | 2.8688 | −1.1272 | 1.0004 | −1.6011 | 4.8018 | 82.1295 *** | 146 |
| lnCanada_SO2 | 4.3175 | 4.6219 | 5.3798 | 2.1773 | 0.8608 | −0.9528 | 2.9059 | 20.0204 *** | 132 |
| lnCanada_GDP | 8.8254 | 8.8606 | 10.2709 | 7.4007 | 0.8711 | 0.0771 | 1.7209 | 10.0976 *** | 146 |
| lnFrance_ CO2 | 1.4584 | 1.5787 | 2.2707 | 0.2744 | 0.4936 | −0.4698 | 2.2695 | 8.6160 *** | 146 |
| lnFrance_SO2 | 2.3402 | 2.3394 | 3.6446 | 0.9841 | 0.6830 | 0.0074 | 1.9896 | 5.6166 *** | 132 |
| lnFrance_GDP | 8.6844 | 8.3922 | 10.0962 | 7.5367 | 0.8382 | 0.3557 | 1.6014 | 14.9774 *** | 146 |
| lnGermany_ CO2 | 0.6873 | 0.8620 | 1.1540 | −0.7276 | 0.4552 | −1.3204 | 3.8485 | 46.8030 *** | 146 |
| lnGermany_SO2 | 3.3378 | 3.4292 | 4.2191 | 1.3530 | 0.5627 | −1.3647 | 5.2396 | 68.5570 *** | 132 |
| lnGermany_GDP | 8.6586 | 8.4079 | 10.0761 | 7.5047 | 0.8189 | 0.3301 | 1.5980 | 14.6092 *** | 146 |
| lnItaly_ CO2 | 0.2511 | −0.0353 | 2.0997 | −2.5360 | 1.4041 | −0.0988 | 1.8003 | 8.9927 *** | 146 |
| lnItaly_SO2 | 1.3760 | 1.0515 | 3.5049 | −1.2313 | 1.1596 | 0.2691 | 2.0673 | 6.3774 *** | 132 |
| lnItaly_GDP | 8.4493 | 8.1043 | 9.9723 | 7.2912 | 0.9316 | 0.3611 | 1.5991 | 15.1126 *** | 146 |
| lnJapan_ CO2 | 1.7792 | 2.0708 | 2.2906 | 0.2028 | 0.6260 | −1.2803 | 3.1125 | 18.0643 *** | 66 |
| lnJapan_SO2 | 1.3214 | 1.6210 | 3.1709 | −2.4197 | 1.1706 | −1.2880 | 4.4436 | 47.9584 *** | 132 |
| lnJapan_GDP | 9.3158 | 9.5604 | 10.1447 | 7.5605 | 0.7676 | −0.8849 | 2.4661 | 9.3968 *** | 66 |
| lnUK_ CO2 | 2.2588 | 2.2709 | 2.4699 | 1.6959 | 0.1278 | −1.0910 | 5.1056 | 55.9347 *** | 146 |
| lnUK_SO2 | 3.7023 | 3.7794 | 4.1926 | 2.2346 | 0.3570 | −1.8152 | 7.7091 | 194.4561 *** | 132 |
| lnUK_GDP | 8.9406 | 8.8248 | 10.2035 | 8.0679 | 0.6283 | 0.4826 | 1.9740 | 12.0703 *** | 146 |
| lnUS_CO2 | 2.5260 | 2.7591 | 3.1140 | 0.8972 | 0.5662 | −1.4011 | 3.8816 | 52.4952 *** | 146 |
| LnUS_SO2 | 3.9452 | 4.0411 | 4.6404 | 2.7865 | 0.4422 | −0.7508 | 2.8467 | 12.5293 *** | 132 |
| lnUS_GDP | 9.0912 | 9.0955 | 10.4067 | 7.8017 | 0.7985 | 0.1295 | 1.7157 | 10.4416 *** | 146 |
| ADF | PP | Zivot-Andrews | ||||
|---|---|---|---|---|---|---|
| C | C + T | C | C + T | C + T | Break Date | |
| lnCanada_CO2 | −4.4384 ***(0) | −2.5252(0) | −4.6139(3) *** | −2.5361(3) | −3.1829 * | 1899 |
| lnCanada_SO2 | −2.8288 ***(0) | −0.6682(0) | −2.6527 *(6) | −0.5153(5) | −1.8375 ** | 1899 |
| lnCanada_GDP | −0.0507(10) | −3.3355 *(1) | −0.2107(3) | −2.8840(1) | −5.4529 *** | 1917 |
| lnFrance_CO2 | −2.4402(0) | −1.7711(0) | −2.4361(5) | −1.8914(5) | −3.8106 * | 1967 |
| lnFrance_SO2 | −1.6726(0) | 0.6143(0) | −1.7571(6) | 0.3842(4) | −4.0846 * | 1970 |
| lnFrance_GDP | 0.2427(6) | −1.8052(6) | −0.0704(4) | −2.2390(4) | −4.5760 *** | 1954 |
| lnGermany_CO2 | −3.9533 ***(6) | −1.7885(7) | −3.3369(1)** | −1.9015(2) | −3.0513 * | 1992 |
| lnGermany_SO2 | −0.1257(1) | 1.0226(1) | −0.7866(5) | 0.4649(1) | −4.5269 ** | 1981 |
| lnGermany_GDP | −0.2236(2) | −2.7187(2) | −0.2409(5) | −2.6823(3) | −4.6415 *** | 1955 |
| lnItaly_CO2 | −1.5248(7) | −2.5061(7) | −1.4460(20) | −2.7335(12) | −3.9406 *** | 1960 |
| lnItaly_SO2 | −2.0121(1) | −2.3243(1) | −1.5739(5) | −2.0901(5) | −3.6241 *** | 1960 |
| lnItaly_GDP | 0.1916(1) | −2.2673(1) | 0.3387(2) | −2.1392(2) | −3.4489 *** | 1957 |
| lnJapan_CO2 | −3.0633 **(1) | −0.9758(0) | −3.8536 ***(4) | −1.0198(3) | −4.1607 ** | 1899 |
| lnJapan_SO2 | −3.6578 **(1) | −2.2721(1) | −4.1074 ***(6) | −2.3226(5) | −3.5898 *** | 1974 |
| lnJapan_GDP | −3.4800 **(1) | −1.3310(1) | −5.9537 ***(4) | −1.5149(4) | −4.5932 *** | 1886 |
| lnUK_CO2 | −0.5902(4) | 0.0501(4) | −3.7993 ***(2) | −3.6314***(3) | −2.5917 *** | 1950 |
| lnUK_SO2 | 2.2388(1) | 4.5620(4) | 1.3912(3) | 3.1428(5) | −0.3955 * | 1974 |
| lnUK_GDP | 2.0266(4) | −1.1364(4) | 2.5055(15) | −0.9298(13) | −5.0165 *** | 1919 |
| lnUS_CO2 | −2.7615 *(12) | −1.5156(12) | −3.8307 **(4) | −1.6471(5) | −2.8103 *** | 1898 |
| LnUS_SO2 | −2.1211 *(0) | −1.4132(0) | −2.1344(4) | −1.3613(2) | −2.9835 * | 1908 |
| lnUS_GDP | −0.0070(9) | −4.0856 ***(1) | −0.2742(10) | −3.4111*(5) | −5.6089 *** | 1941 |
| Country | F-Test | R2 | ||||
|---|---|---|---|---|---|---|
| France | 2.31 * | 0.94 * | −0.85 * | 9.30 * | 432.31 * | 0.83 |
| (0.03) | (0.04) | (0.06) | (0.03) | |||
| UK | 2.44 * | 0.23 * | −0.45 * | 9.31 * | 173.97 * | 0.82 |
| (0.01) | (0.02) | (−0.04) | (0.03) | |||
| Germany | 0.73 * | 2.47 * | 0.18 * | 8.02 * | 276.12 * | 0.82 |
| (0.03) | (0.18) | (0.02) | (0.03) | |||
| Japan | 2.10 * | 1.10 * | 0.20 * | 9.30 * | 317.49 * | 0.84 |
| (0.03) | (0.02) | (0.05) | (0.03) | |||
| Italy | −1.10 * | 14.20 * | 1.30 * | 7.40 * | 50.18 * | 0.79 |
| (0.07) | (3.15) | (0.04) | (0.01) | |||
| Canada | 1.90 * | 4.88 * | 0.45 * | 7.99 * | 941.29 * | 0.76 |
| (0.05) | (0.41) | (0.03) | (0.04) | |||
| US | 2.67 * | 2.25 * | 0.18 * | 8.56 * | 1220.74 * | 0.81 |
| (0.02) | (0.06) | (0.02) | (0.02) |
| Country | F-Test | R2 | ||||
|---|---|---|---|---|---|---|
| France | 3.80 * | 1.30 * | −4.50 * | 9.50 * | 762.74 * | 0.84 |
| (0.05) | (0.05) | (0.16) | (0.02) | |||
| UK | 4.24 * | 0.64 * | −2.57 * | 9.27 * | 991.32 * | 0.83 |
| (0.02) | (0.02) | (0.21) | (0.02) | |||
| Germany | 4.15 * | 0.56 * | −16.54 * | 9.65 * | 569.81 * | 0.78 |
| (0.05) | (0.04) | (1.17) | (0.01) | |||
| Japan | 2.08 * | 5.60 * | −0.12 * | 7.26 * | 533.30 * | 0.82 |
| (0.06) | (0.27) | (0.05) | (0.02) | |||
| Italy | 3.40 * | 1.60 * | −3.50 * | 9.40 * | 116.36 * | 0.8 |
| (0.04) | (0.04) | (0.23) | (0.02) | |||
| Canada | 5.60 * | 2.60 * | −1.30 * | 8.60 * | 1673.94 * | 0.79 |
| (0.03) | (0.07) | (0.06) | (0.02) | |||
| US | 4.50 * | 2.07 * | −0.52 * | 8.59 * | 717.34 * | 0.80 |
| (0.04) | (0.08) | (0.05) | (0.02) |
Publisher’s Note: MDPI stays neutral with regard to jurisdictional claims in published maps and institutional affiliations. |
© 2022 by the authors. Licensee MDPI, Basel, Switzerland. This article is an open access article distributed under the terms and conditions of the Creative Commons Attribution (CC BY) license (https://creativecommons.org/licenses/by/4.0/).
Share and Cite
Liu, P.-Z.; Narayan, S.; Ren, Y.-S.; Jiang, Y.; Baltas, K.; Sharp, B. Re-Examining the Income–CO2 Emissions Nexus Using the New Kink Regression Model: Does the Kuznets Curve Exist in G7 Countries? Sustainability 2022, 14, 3955. https://doi.org/10.3390/su14073955
Liu P-Z, Narayan S, Ren Y-S, Jiang Y, Baltas K, Sharp B. Re-Examining the Income–CO2 Emissions Nexus Using the New Kink Regression Model: Does the Kuznets Curve Exist in G7 Countries? Sustainability. 2022; 14(7):3955. https://doi.org/10.3390/su14073955
Chicago/Turabian StyleLiu, Pei-Zhi, Seema Narayan, Yi-Shuai Ren, Yong Jiang, Konstantinos Baltas, and Basil Sharp. 2022. "Re-Examining the Income–CO2 Emissions Nexus Using the New Kink Regression Model: Does the Kuznets Curve Exist in G7 Countries?" Sustainability 14, no. 7: 3955. https://doi.org/10.3390/su14073955
APA StyleLiu, P.-Z., Narayan, S., Ren, Y.-S., Jiang, Y., Baltas, K., & Sharp, B. (2022). Re-Examining the Income–CO2 Emissions Nexus Using the New Kink Regression Model: Does the Kuznets Curve Exist in G7 Countries? Sustainability, 14(7), 3955. https://doi.org/10.3390/su14073955

