The Coal, Petroleum, and Gas Embedded in the Sectoral Demand-and-Supply Chain: Evidence from China
Abstract
:1. Introduction
2. Methods and Data Sources
2.1. Methods
2.1.1. Fossil Fuels Embedded in the Sectoral Demand
2.1.2. Fossil Fuels Embedded in the Sectoral Supply
2.2. Data Sources
3. Results
3.1. Direct Fossil Fuel Use by Sectors
3.2. Fossil Fuel Embedded in the Sectoral Total Demand-and-Supply Chain
3.3. Fossil Fuel Embedded in the Sectoral Net Demand-and-Supply Chain
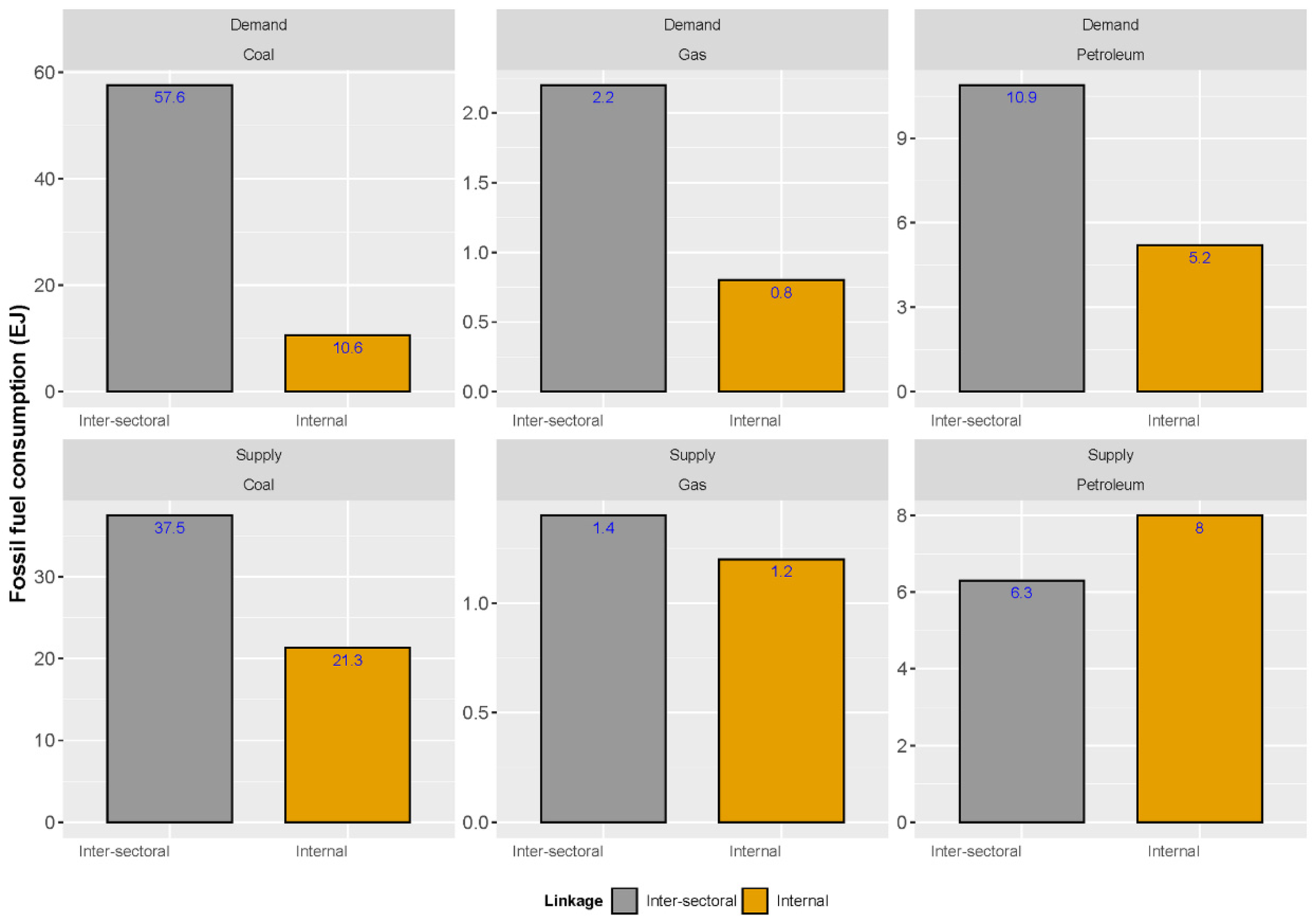
3.4. Decomposed Demand-and-Supply Embedded Fossil Fuel Linkages
4. Discussion
4.1. Discussion of Results
4.2. Limitations and Suggestions for Future Research
5. Conclusions
Supplementary Materials
Author Contributions
Funding
Institutional Review Board Statement
Informed Consent Statement
Data Availability Statement
Acknowledgments
Conflicts of Interest
References
- Environmental and Energy Study Institute (EESI). Fossil Fuels. Available online: https://www.eesi.org/topics/fossil-fuels/description (accessed on 31 December 2021).
- NS Energy Staff Writer. The world’s Most Used Energy Sources. NS Energy 18 December 2015. p. 3. Available online: https://www.nsenergybusiness.com/news/newsthe-worlds-most-used-energy-sources-4757903/ (accessed on 31 December 2021).
- Ritchie, H.; Roser, M. Energy. Available online: https://ourworldindata.org/energy (accessed on 31 December 2021).
- Enerdata. Total Energy Consumption. In Global Energy Statistical Yearbook 2021; Enerdata: Grenoble, France, 2021. [Google Scholar]
- U.S. Energy Information Administration’s (EIA). International Energy Outlook 2021 Narrative; U.S. Energy Information Administration’s: Washington, DC, USA, 2021.
- United Nations. The Sustainable Development Goals Report; Jensen, L., Ed.; United Nations Publication Issued by the Department of Economic and Social Affairs; United Nations: New York, NY, USA, 2021; ISBN 978-92-1-101439-6.
- Lange, S.; Pohl, J.; Santarius, T. Digitalization and energy consumption. Does ICT reduce energy demand? Ecol. Econ. 2020, 176, 106760. [Google Scholar] [CrossRef]
- Sedlmeir, J.; Buhl, H.U.; Fridgen, G.; Keller, R. The Energy Consumption of Blockchain Technology: Beyond Myth. Bus. Inf. Syst. Eng. 2020, 62, 599–608. [Google Scholar] [CrossRef]
- Alvarado, R.; Deng, Q.; Tillaguango, B.; Méndez, P.; Bravo, D.; Chamba, J.; Alvarado-Lopez, M.; Ahmad, M. Do economic development and human capital decrease non-renewable energy consumption? Evidence for OECD countries. Energy 2021, 215, 119147. [Google Scholar] [CrossRef]
- Rode, A.; Carleton, T.; Delgado, M.; Greenstone, M.; Houser, T.; Hsiang, S.; Hultgren, A.; Jina, A.; Kopp, R.E.; McCusker, K.E.; et al. Estimating a social cost of carbon for global energy consumption. Nature 2021, 598, 308–314. [Google Scholar] [CrossRef] [PubMed]
- Shi, X.; Yu, J.; Cheong, T.S. Convergence and distribution dynamics of energy consumption among China’s households. Energy Policy 2020, 142, 111496. [Google Scholar] [CrossRef]
- Jian, L.; Sohail, M.T.; Ullah, S.; Majeed, M.T. Examining the role of non-economic factors in energy consumption and CO2 emissions in China: Policy options for the green economy. Environ. Sci. Pollut. Res. 2021, 28, 67667–67676. [Google Scholar] [CrossRef]
- Aruga, K.; Islam, M.M.; Jannat, A. Effects of COVID-19 on Indian Energy Consumption. Sustainability 2020, 12, 5616. [Google Scholar] [CrossRef]
- Adebayo, T.S.; Rjoub, H. A new perspective into the impact of renewable and nonrenewable energy consumption on environmental degradation in Argentina: A time–frequency analysis. Environ. Sci. Pollut. Res. 2021, 1–17. [Google Scholar] [CrossRef]
- Topcu, E.; Altinoz, B.; Aslan, A. Global evidence from the link between economic growth, natural resources, energy consumption, and gross capital formation. Resour. Policy 2020, 66, 101622. [Google Scholar] [CrossRef]
- Rehman, A.; Ma, H.; Ozturk, I.; Ahmad, M.; Rauf, A.; Irfan, M. Another outlook to sector-level energy consumption in Pakistan from dominant energy sources and correlation with economic growth. Environ. Sci. Pollut. Res. 2021, 28, 33735–33750. [Google Scholar] [CrossRef]
- Wu, H.; Xu, L.; Ren, S.; Hao, Y.; Yan, G. How do energy consumption and environmental regulation affect carbon emissions in China? New evidence from a dynamic threshold panel model. Resour. Policy 2020, 67, 101678. [Google Scholar] [CrossRef]
- Khan, M.K.; Khan, M.I.; Rehan, M. The relationship between energy consumption, economic growth and carbon dioxide emissions in Pakistan. Financ. Innov. 2020, 6, 1. [Google Scholar] [CrossRef] [Green Version]
- Ivanovski, K.; Hailemariam, A.; Smyth, R. The effect of renewable and non-renewable energy consumption on economic growth: Non-parametric evidence. J. Clean. Prod. 2021, 286, 124956. [Google Scholar] [CrossRef]
- Khan, M.A.; Rehan, R.; Chhapra, I.U.; Bai, A. Inspecting energy consumption, capital formation and economic growth nexus in Pakistan. Sustain. Energy Technol. Assess. 2022, 50, 101845. [Google Scholar] [CrossRef]
- Odugbesan, J.A.; Rjoub, H. Relationship among Economic Growth, Energy Consumption, CO2 Emission, and Urbanization: Evidence from MINT Countries. SAGE Open 2020, 10, 1–15. [Google Scholar] [CrossRef] [Green Version]
- Baz, K.; Xu, D.; Ali, H.; Ali, I.; Khan, I.; Khan, M.M.; Cheng, J. Asymmetric impact of energy consumption and economic growth on ecological footprint: Using asymmetric and nonlinear approach. Sci. Total Environ. 2020, 718, 137364. [Google Scholar] [CrossRef]
- Aslan, A.; Altinoz, B.; Özsolak, B. The nexus between economic growth, tourism development, energy consumption, and CO2 emissions in Mediterranean countries. Environ. Sci. Pollut. Res. 2021, 28, 3243–3252. [Google Scholar] [CrossRef]
- Shao, M.; Wang, X.; Bu, Z.; Chen, X.; Wang, Y. Prediction of energy consumption in hotel buildings via support vector machines. Sustain. Cities Soc. 2020, 57, 102128. [Google Scholar] [CrossRef]
- Peng, L.; Wang, L.; Xia, D.; Gao, Q. Effective energy consumption forecasting using empirical wavelet transform and long short-term memory. Energy 2022, 238, 121756. [Google Scholar] [CrossRef]
- Pham, A.-D.; Ngo, N.-T.; Truong, T.T.H.; Huynh, N.-T.; Truong, N.-S. Predicting energy consumption in multiple buildings using machine learning for improving energy efficiency and sustainability. J. Clean. Prod. 2020, 260, 121082. [Google Scholar] [CrossRef]
- Liu, G.; Wang, K.; Hao, X.; Zhang, Z.; Zhao, Y.; Xu, Q. SA-LSTMs: A new advance prediction method of energy consumption in cement raw materials grinding system. Energy 2022, 241, 122768. [Google Scholar] [CrossRef]
- Bianco, V.; Righi, D.; Scarpa, F.; Tagliafico, L.A. Modeling energy consumption and efficiency measures in the Italian hotel sector. Energy Build. 2017, 149, 329–338. [Google Scholar] [CrossRef]
- Ahmad, T.; Zhang, D. A critical review of comparative global historical energy consumption and future demand: The story told so far. Energy Rep. 2020, 6, 1973–1991. [Google Scholar] [CrossRef]
- Miller, R.E.; Lahr, M.L. (Eds.) A Taxonomy of Extractions. In Regional Science Perspectives in Economic Analysis; Elsevier Science, B.V.: Amsterdam, The Netherlands, 2001; pp. 407–441. [Google Scholar]
- Lenzen, M. Environmentally important paths, linkages and key sectors in the Australian economy. Struct. Change Econ. Dyn. 2003, 14, 1–34. [Google Scholar] [CrossRef]
- Miller, R.E.; Blair, P.D. Input-Output Analysis: Foundations and Extensions, 2nd ed.; Cambridge University Press: Cambridge, UK, 2009; ISBN 9780521517133. [Google Scholar]
- Leontief, W.W. Quantitative Input and Output Relations in the Economic Systems of the United States. Rev. Econ. Stat. 1936, 18, 105–125. [Google Scholar] [CrossRef] [Green Version]
- Rasmussen, P.N. Studies in Inter-Sectoral Relations; Harcks: Kobenhavn, Denmark, 1956. [Google Scholar]
- Sajid, M.J.; Li, X.; Cao, Q. Demand and supply-side carbon linkages of Turkish economy using hypothetical extraction method. J. Clean. Prod. 2019, 228, 264–275. [Google Scholar] [CrossRef]
- Ghosh, A. Experiments with Input-Output Models; Cambridge University Press: London, UK, 1964. [Google Scholar]
- Chen, G.; Hadjikakou, M.; Wiedmann, T. Urban carbon transformations: Unravelling spatial and inter-sectoral linkages for key city industries based on multi-region input e output analysis. J. Clean. Prod. 2017, 163, 224–240. [Google Scholar] [CrossRef] [Green Version]
- Sajid, M.J.; Rahman, M.H. The Nexus between Environmental Impact and Agricultural Sector Linkages: A Case Study of Pakistan. Atmosphere 2021, 12, 1200. [Google Scholar] [CrossRef]
- Blanco, C.D.P.; Thaler, T. An Input-Output Assessment of Water Productivity in the Castile and León Region (Spain). Water 2014, 6, 929–944. [Google Scholar] [CrossRef] [Green Version]
- Sajid, M.J. Inter-sectoral carbon ties and final demand in a high climate risk country: The case of Pakistan. J. Clean. Prod. 2020, 269, 122254. [Google Scholar] [CrossRef]
- Sajid, M.J.; Santibanez, E.D.R.; Danish. The role of labor and capital in sectoral CO2 emissions and linkages: The case of China, India and the USA. Ecol. Indic. 2021, 131, 108241. [Google Scholar] [CrossRef]
- Wang, Y.; Liu, H.; Mao, G.; Zuo, J.; Ma, J. Inter-regional and sectoral linkage analysis of air pollution in Beijing–Tianjin–Hebei (Jing-Jin-Ji) urban agglomeration of China. J. Clean. Prod. 2017, 165, 1436–1444. [Google Scholar] [CrossRef]
- Sajid, M.J.; Qiao, W.; Cao, Q.; Kang, W. Prospects of industrial consumption embedded final emissions: A revision on Chinese household embodied industrial emissions. Sci. Rep. 2020, 10, 1826. [Google Scholar] [CrossRef] [PubMed] [Green Version]
- Sajid, M.J.; Qingren, C.; Ming, C.; Shuang, L. Sectoral carbon linkages of Indian economy based on hypothetical extraction model. Int. J. Clim. Change Strateg. Manag. 2020, 12, 1756–8692. [Google Scholar] [CrossRef]
- Deng, H.-M.; Wang, C.; Cai, W.-J.; Liu, Y.; Zhang, L.-X. Managing the water-energy-food nexus in China by adjusting critical final demands and supply chains: An input-output analysis. Sci. Total Environ. 2020, 720, 137635. [Google Scholar] [CrossRef]
- Fang, D.; Chen, B. Linkage analysis for water-carbon nexus in China. Appl. Energy 2018, 225, 682–695. [Google Scholar] [CrossRef]
- Sajid, M.J.; Gonzalez, E.D.R.S. The Impact of Direct and Indirect COVID-19 Related Demand Shocks on Sectoral CO2 Emissions: Evidence from Major Asia Pacific Countries. Sustainability 2021, 13, 9312. [Google Scholar] [CrossRef]
- He, W.; Wang, Y.; Zuo, J.; Luo, Y. Sectoral linkage analysis of three main air pollutants in China’s industry: Comparing 2010 with 2002. J. Environ. Manag. 2017, 202, 232–241. [Google Scholar] [CrossRef]
- Sajid, M.J.; Shahni, N.; Ali, M. Calculating inter-sectoral carbon flows of a mining sector via hypothetical extraction method. J. Min. Environ. 2019, 10, 853–867. [Google Scholar] [CrossRef]
- Sajid, M.J. Structural decomposition and Regional Sensitivity Analysis of industrial consumption embedded emissions from Chinese households. Ecol. Indic. 2021, 122, 107237. [Google Scholar] [CrossRef]
- Sajid, M.J.; Cao, Q.; Kang, W. Transport sector carbon linkages of EU’s top seven emitters. Transp. Policy 2019, 80, 24–38. [Google Scholar] [CrossRef]
- Guerra, A.I.; Sancho, F. Measuring energy linkages with the hypothetical extraction method: An application to Spain. Energy Econ. 2010, 32, 831–837. [Google Scholar] [CrossRef]
- Faridzad, A.; Banouei, A.A.; Banouei, J.; Golestan, Z. Identifying energy-intensive key sectors in Iran: Evidence from decomposed input-output multipliers. J. Clean. Prod. 2020, 243, 118653. [Google Scholar] [CrossRef]
- Tsirimokos, C. Estimating energy interindustry linkages based on the Hypothetical Extraction Method (HEM) in China and USA. Int. J. Environ. Stud. 2021, 1–24. [Google Scholar] [CrossRef]
- Wang, Q.; Yang, X. German’s oil footprint: An input-output and structural decomposition analysis. J. Clean. Prod. 2020, 242, 118246. [Google Scholar] [CrossRef]
- Ali, Y. Measuring CO2 emission linkages with the hypothetical extraction method (HEM). Ecol. Indic. 2015, 54, 171–183. [Google Scholar] [CrossRef]
- Sun, C.; Ding, D.; Yang, M. Estimating the complete CO2 emissions and the carbon intensity in India: From the carbon transfer perspective. Energy Policy 2017, 109, 418–427. [Google Scholar] [CrossRef]
- Sajid, M.J.; Niu, H.; Xie, J.; Habib, M. Final consumer embedded carbon emissions and externalities: A case of Chinese consumers. Environ. Dev. 2021, 39, 100642. [Google Scholar] [CrossRef]
- Eora Global MRIO. Eora National IO Tables. Available online: https://worldmrio.com/countrywise/ (accessed on 1 January 2021).
- Lenzen, M.; Kanemoto, K.; Moran, D.; Geschke, A. Mapping the structure of the world economy. Environ. Sci. Technol. 2012, 46, 8374–8381. [Google Scholar] [CrossRef]
- Lenzen, M.; Moran, D.; Kanemoto, K.; Geschke, A. Building Eora: A global multi-regional input-output database at high country and sector resolution. Econ. Syst. Res. 2013, 25, 20–49. [Google Scholar] [CrossRef]
- Eora Global MRIO. The Eora Global Supply Chain Database. Available online: https://worldmrio.com/ (accessed on 31 January 2022).
- Eora Global MRIO. Who Uses Eora? Available online: https://worldmrio.com/ (accessed on 31 January 2022).
- Janjua, L.R. Financial Flows and Environmental Degradation: Empirical Evidence from Algeria Using Auto Regressive Distributed Lag Estimation (ARDL). Int. J. Circ. Econ. Waste Manag. 2021, 1, 1–15. [Google Scholar] [CrossRef]
- Khan, S.A.R.; Ponce, P.; Yu, Z. Technological innovation and environmental taxes toward a carbon-free economy: An empirical study in the context of COP-21. J. Environ. Manag. 2021, 298, 113418. [Google Scholar] [CrossRef] [PubMed]
- Jones, P.; Wynn, M.G. The Circular Economy, Resilience, and Digital Technology Deployment in the Mining and Mineral Industry. Int. J. Circ. Econ. Waste Manag. 2021, 1, 16–32. [Google Scholar] [CrossRef]
- Xie, J.; Lv, T.; Tong, P.; Li, X.; Lu, Y.; Sajid, M.J.; Lv, Q. How Does the Efficiency of Value Realization on a Platform Influence Sustainability Transition? A Case of the Power Industry in China. Front. Energy Res. 2021, 8, 616124. [Google Scholar] [CrossRef]
- Khan, S.A.R.; Godil, D.I.; Yu, Z.; Abbas, F.; Shamim, M.A. Adoption of renewable energy sources, low-carbon initiatives, and advanced logistical infrastructure—An step toward integrated global progress. Sustain. Dev. 2021. [Google Scholar] [CrossRef]
- Qingren, C.; Kang, W.; Sajid, M.J.; Ming, C. Research on the optimization of carbon abatement efficiency in China on the basis of task allocation. J. Clean. Prod. 2021, 299, 126912. [Google Scholar] [CrossRef]
- Cao, M.; Kang, W.; Qingren, C.; Sajid, M.J. Estimating Chinese rural and urban residents’ carbon consumption and its drivers: Considering capital formation as a productive input. Environ. Dev. Sustain. 2019, 22, 5443–5464. [Google Scholar] [CrossRef]
- Cao, Q.; Kang, W.; Xu, S.; Sajid, M.J.; Cao, M. Estimation and decomposition analysis of carbon emissions from the entire production cycle for Chinese household consumption. J. Environ. Manag. 2019, 247, 525–537. [Google Scholar] [CrossRef]






| Major Category | Study | Main Topic | Key Findings |
|---|---|---|---|
| Drivers of energy consumption | Lange et al. [7] | Information and communication technologies (ICT) | In general, energy consumption increases as a result of ICT. |
| Sedlmeir et al. [8] | Blockchain Technology | This study established that the energy usage of blockchain technology varies considerably depending on the design decision. | |
| Alvarado et al. [9] | Economic development and human capital | Economic growth does not reduce fossil fuel consumption. Contrarily, human capital cuts down on non-renewable consumption. | |
| Rode et al. [10] | The social cost of carbon | One ton of CO2 released today is expected to reduce total future energy expenditures (consumption). | |
| Shi et al. [11] | Household | Due to the current household convergence dynamics, most Chinese households’ energy usage will likely decrease. | |
| Jian et al. [12] | Non-economic factors | The findings indicate that education, the rule of law, and societal globalization have a long-term detrimental influence on energy use. | |
| Aruga et al. [13] | COVID-19 | The study established a long-term correlation between COVID-19 cases and energy use. | |
| Energy consumption as a driver | Adebayo and Rjoub [14] | Environmental degradation | In the short and long term, fossil fuels (non-renewable energy) contribute to environmental damage. |
| Topcu et al. [15] | Economic growth | In high-income countries, energy use boosted economic growth. | |
| Rehman et al. [16] | Economic growth | Energy usage has a positive and negative effects on Pakistan’s economic growth. | |
| Wu et al. [17] | Carbon emissiosn | Energy usage is a significant contributor to rising carbon emissions. | |
| Khan et al. [18] | CO2 emissions | Energy use contributes to Pakistan’s CO2 emissions in the short and long terms. | |
| Ivanovski et al. [19] | Economic growth | Consumption of non-renewable energy has a favorable and significant influence on economic growth in OECD countries. | |
| Energy consumption as response and explanatory variable | Khan et al. [20] | Capital formation and economic growth | Pakistan’s energy sector (consumption) and long-run GDP production are interdependent. |
| Odugbesan and Rjoub [21] | Economic growth and CO2 emission | The study discovered that Nigeria and Indonesia had a one-way relationship between energy consumption and growth, and Mexico and Turkey had a bilateral relationship. | |
| Baz et al. [22] | Ecological footprint | In Pakistan, positive shocks to environmental quality caused energy consumption and vice versa. | |
| Aslan et al. [23] | Economic growth | Energy consumption contributes to economic growth at low and moderate levels of growth. According to the short-run causality test, economic development and all explanatory variables are bidirectionally causal. | |
| Forecasting | Shao et al. [24] | Hotel buildings | Forecasting can help to visualize the hotel’s actual energy usage and recommend operational changes to reduce energy consumption. |
| Peng et al. [25] | Energy consumption forecasting with many variables | The producer price index or crude petroleum imports play a crucial role in energy consumption. | |
| Pham et al. [26] | Multiple buildings | Forecasting the building energy usage trends can help to increase energy efficiency. | |
| Liu et al. [27] | Grinding mechanism for cement raw materials | The study’s suggested a framework for predicting real-time energy consumption in raw material grinding. | |
| Bianco et al. [28] | Italian hotel sector | The paper shows that making energy-saving changes that are financially viable could save the country 1.6 TWh (13% of primary energy) by 2030. | |
| Ahmad and Zhang [29] | Different business sectors | The review’s findings showed a significant potential worldwide energy demand until 2040. |
| Full Form | Abbreviation |
|---|---|
| National input-output table | NIOT |
| Exajoule | EJ |
| “Electricity and steam production and supply” | ESPS |
| “Railway freight transport” | RFT |
| “Railway passenger transport” | RPT |
| “Petroleum refining” | PR |
| “Crude petroleum products and Natural gas products” | CPNGP |
| “Other special industrial equipment” | OSIE |
| “Public administration and other sectors” | PDO |
| “Health services” | HS |
| “Coal mining and processing” | CMP |
| “Wholesale and retail trade” | WRT |
| “Steel-processing” | SP |
| “Water freight and passengers transport” | WFPT |
| “Cement and cement asbestos products” | CCAP |
| “Non-metal minerals and other mining” | NMOM |
| “Air passenger transport” | APT |
Publisher’s Note: MDPI stays neutral with regard to jurisdictional claims in published maps and institutional affiliations. |
© 2022 by the authors. Licensee MDPI, Basel, Switzerland. This article is an open access article distributed under the terms and conditions of the Creative Commons Attribution (CC BY) license (https://creativecommons.org/licenses/by/4.0/).
Share and Cite
Sajid, M.J.; Yu, Z.; Rehman, S.A. The Coal, Petroleum, and Gas Embedded in the Sectoral Demand-and-Supply Chain: Evidence from China. Sustainability 2022, 14, 1888. https://doi.org/10.3390/su14031888
Sajid MJ, Yu Z, Rehman SA. The Coal, Petroleum, and Gas Embedded in the Sectoral Demand-and-Supply Chain: Evidence from China. Sustainability. 2022; 14(3):1888. https://doi.org/10.3390/su14031888
Chicago/Turabian StyleSajid, Muhammad Jawad, Zhang Yu, and Syed Abdul Rehman. 2022. "The Coal, Petroleum, and Gas Embedded in the Sectoral Demand-and-Supply Chain: Evidence from China" Sustainability 14, no. 3: 1888. https://doi.org/10.3390/su14031888
APA StyleSajid, M. J., Yu, Z., & Rehman, S. A. (2022). The Coal, Petroleum, and Gas Embedded in the Sectoral Demand-and-Supply Chain: Evidence from China. Sustainability, 14(3), 1888. https://doi.org/10.3390/su14031888

