Abstract
Sustainability is becoming the core theme of every organization to protect the planet from the drastic effects of climate change. Many organizations have drastically changed their practices to encourage green habits for sustainable operations. Practitioners have discussed the difficulties in the literature owing to the adoption of sustainable aspects of environmental, economic and social paradigms in the organization. One can identify diverse barriers, and ranking them would help policy-makers plan their actions. Motivated by this claim, a new integrated approach with nonlinear fuzzy data is put forward in this paper. The nonlinear mapping of fuzzy data provides a better representation of uncertainty, which inspired the authors to use nonlinear data. Further, the attitudinal variance method is proposed for a weight assessment of the criteria that can handle hesitation effectively and consider each agent’s reliability. The Boran principle in the nonlinear context is used to calculate the reliability values. Complex proportional assessment (COPRAS), a popular ranking algorithm, is extended to nonlinear data for rationally ranking barriers that affect sustainable operations. An illustrative example exemplifies the usability of the approach, and a comparison/sensitivity analysis reveals the pros and cons of the framework.
1. Introduction
The concept of sustainability intends to satisfy present needs without harming future resources. Organizations worldwide have started adopting sustainability in their action plans to strike a balance between global growth and ecological safety. Organizations have gained ISO-14000 and ISO-14001 certifications with the goal of achieving the 3Es, viz., economy, energy and the environment, by adopting lean, six sigma, social and green practices [1,2]. During the Paris Accord, many countries came forward to help fight climate change by reducing the carbon footprint from mother Earth [3]. Based on the survey report from KPMG, it was observed that almost 80% of the top firms worldwide are adopting sustainable strategies for growth and development. In a recent report by WBCSD it was stated that India will play a crucial role towards sustainable development goals’ success/failure, impacting the whole world owing to its abundant population.
However, the implementation of sustainable paradigms is not straightforward in such a highly populated country, which has an abundant scope for a global ranking in business/supply chains. Recent works from scholars [4,5,6,7] showcased diverse barriers/challenges that curtail the adoption of sustainability in business operations. The ranking of these barriers will help policy-makers plan their sequence of actions for promoting sustainability within the business lineup. Sirisawat et al. [8] proposed an integrated AHP/TOPSIS-based decision framework for ranking solutions that could mitigate the effects of the barriers in the reverse logistic field. Vishwakarma et al. [9] adopted a fuzzy AHP approach to prioritize barriers that hinder the proper functioning of pharmaceutical supply chains within India. Gardas et al. [10] introduced a novel framework with DEMATEL for ordering the barriers that affect the textile/apparel firms adopting sustainability and green practices. Singh and Sarkar [11] put forward an AHP/TOPSIS integrated approach for ranking solutions to tackle barriers by using fuzzy rating data to promote eco-design in small/medium enterprises.
Recently, Mahdiyar et al. [12] put forward a fuzzy BWM to assess diverse sets of internal/external barriers to help Malayasia adopt green roof installations to promote sustainability. Al-Asbahi et al. [13] came up with an AHP/TOPSIS-based framework for ranking barriers—related to technology, economy, the market, and politics—that disturb Yemen’s sustainability growth energy crisis. Song et al. [14] proposed an integrated model with interpretive structural modeling and a DEMATEL approach with rating information expressed as rough numbers to assess the barriers that impede sustainability in online consumption. Namzam et al. [15] adopted a fuzzy AHP for ranking barriers that affect the knowledge management process in sustainable supply chains within firms in Pakistan. Jiskani et al. [16] identified diverse challenges and ranked them for sustainable mining within Pakistan by adopting fuzzy synthetic data and probability impact measures to determine the challenges’ score values. Selerio et al. [17] adopted fuzzy DEMATEL with a fuzzy C-means technique for barrier assessment for an effective and sustainable management of underground water, by showcasing the causal relationship between sustainability and barriers. Bui et al. [18] used the fuzzy Delphi method to identify the potential barriers that hinder the management of solid wastes. Khandelwal et al. [19] provided a decision model with fuzzy AHP for ranking diverse barriers that impede the adoption of the circular economy within supply chains by considering an example of an Indian plastic firm. Chen et al. [20] presented the BWM method with TOPSIS by considering fuzzy rating values to evaluate critical barriers affecting the e-waste management process in Ghana.
Farooque et al. [21] provided the DEMATEL approach with fuzzy rating information to evaluate the inter-organizational barriers that affect the blockchain technology-driven life cycle assessment, so as to better understand the environmental impact of processes and products within China. Ozen et al. [22] put forward the fuzzy AHP method for ranking barriers from the circular economy and industry 4.0 context by including both the concepts and their corresponding barriers from the literature, to achieve a better transition towards sustainability aspects. Kumar et al. [7] recently gave a framework with the analytical hierarchy process (AHP) and “elimination et choix traduisant la realité” (ELECTRE) for ranking barriers that affect the adoption of sustainability in the operations within industries by considering circular economy criteria to rate the barriers in the classical fuzzy form. Musaad et al. [23] combined fuzzy AHP and fuzzy TOPSIS methods to present a framework that evalutes barriers and potential solutions to promote green innovations in small and medium enterprises. Dahooie et al. [24] integrated approaches such as DEMATEL/Delphi with correlation coefficients with standard deviation to calculate the weights of criteria and rank sustainable practices, respectively based on their impact on barriers. Solangi et al. [25] presented an integrated AHP/TOPSIS-based framework with fuzzy rating values for assessing the barriers affecting renewable energy usage owing to sustainablity development in Pakistan. Xu et al. [26] gave a mathematical model for evaluating the direct and indirect impact of barriers in e-waste management in western China by using fuzzy rating information. Khan et al. [27] developed a framework with hesitant fuzzy data for evaluating barriers in the adoption of social sustainability aspects within multi-tier suply chains by using prospect theory and the VIKOR method. Liu et al. [28] put forward a fuzzy-based DEMATEL approach for prioritizing barriers in the food consumption/production sector within China.
Motivation and Research Contributions
Based on the review outlines above, the following inferences can be made concerning the barrier prioritization: (i) AHP, TOPSIS and DEMATEL are prominent decision methods adopted by researchers; (ii) fuzzy numbers play a crucial role in modeling uncertainty in the decision problem; (iii) three main pillars of sustainability, viz., economy, environment and social aspects, are either considered/focused on individually or cumulatively during an assessment of the barriers that affect sustainable operations; and (iv) finally, criteria pertaining to a circular economy are directly/indirectly adopted during barrier evaluation. Furthermore, based on these inferences, some unexplored research lacunae can be identified from the literature, such as:
Rating data are often considered to be linear, but the behavioral characteristics of experts are dynamic, and the linear representation of data affects the rationality of the decision process [29];
Data are collected from multiple experts/agents for barrier assessment, but the extant models reviewed above do not consider the reliability of agents during the prioritization of barriers;
Besides, though the extant models put forward criteria weight calculation methods, the attitudinal characteristics of agents are not considered in the formulation; and
Finally, during the prioritization of barriers, the personal choices of the agents on each barrier are not taken into consideration, which could be a potential information for rational prioritization.
Motivated by the research lacunae, the authors put forward the following research contributions, that would counter these lacunae:
Nonlinear mapping [29] of a fuzzified Likert scale value is adopted for effectively handling uncertainty. A polynomial function is used for remapping the linear data obtained from the agents;
Later, motivated by the claim from Koksalmis and Kabk [30], the reliability of agents is methodically calculated by using the Boran principle in the nonlinear context;
Further, the values are used for determining the weights of factors by proposing an attitudinal-variance method that can efficiently capture hesitation in the preference distribution of the agents. The work from Kao [31] demonstrated the efficacy of variance measures to understand hesitation during preference distribution, which motivated the authors to adopt the nonlinear preference data; and
Finally, an interactive complex proportional assessment (COPRAS) algorithm is developed, taking advantage of the COPRAS formulation by considering the nature of the factors and considering the personal views of the agents for rational decision-making.
The rest of the paper has the following structure: Section 2 reviews the existing models for barrier selection and the COPRAS ranking used for diverse decision problems; Section 3 describes the research problem being focused on in the present study and the rationale behind the authors’ contribution; the methodology proposed in this work is explained stepwise in Section 4; a case example is presented in Section 5 to demonstrate the practicality of the proposed model; later, Section 6 offers a comparative study with a sensitivity analysis to describe the proposed framework’s benefits and shortcomings; finally, Section 7 presents the conclusion and future research directions.
2. Literature Review
2.1. Summarized View of the Barrier Prioritization Model
Based on the review presented in Section 1, the authors could identify certain research lacunae that motivated them to put forward research contributions that attempt to circumvent these lacunae. To set the supporting foundation for the claims, Table 1 summarizes the inferences from the literature. It can be seen that the challenges mentioned in Section 1 are in line with the summarized information presented in Table 1. A critical analysis reveals that (i) the remapping of preference information yields a better representation of the behavioral characteristics [29]; (ii) the reliability values of the agents are not methodically determined, which leads to subjectivity/bias in the decision process; (iii) further, the agents’ hesitation during preference sharing, along with their attitudinal characteristics, are involved in rating criteria and are not taken into consideration during to criteria’s weight estimation; (iv) finally, the agents’ personal choices regarding each alternative (barrier) can be seen as potential information that is ignored during ranking in the decision process.
Table 1.
Summarized inferences from the recent and relevant literature.
2.2. Review of the COPRAS Method
COPRAS [32] is a utility-based ranking approach that works with the idea of weighted arithmetic operations by considering the nature of criteria. Driven by the simplicity and elegance of COPRAS, many researchers used the approach for solving decision problems. Stefano et al. [33] prepared a review on COPRAS to showcase its efficacy and usefulness in decision-making. Chatterjee and Kar [34] determined the performance of suppliers in the telecom industry by using grey-COPRAS and Rasch mechanisms in uncertain contexts. Valipour et al. [35] performed a risk assessment in Iran’s deep foundation excavation zones by integrating COPRAS with SWARA under uncertain environments. Krishankumar et al. [36] achieved a ranking associated with the healthcare sector by considering sustainable factors in the hesitant linguistic form and extending COPRAS and the weighted geometric operator. Roy et al. [37] used web data for hotel assessment by incorporating interval rough numbers in weighted form and extending COPRAS for ranking hotels. Sivagami et al. [38] offered an integrated cloud assessment model with data in the probabilistic linguistic form by extending the COPRAS ranking approach. Krishankumar et al. [39] built a ranking model for renewable energy evaluation within the Indian context by proposing a COPRAS-optimization model with generalized uncertain data. Recently, Dhiman and Deb [40] came up with TOPSIS and COPRAS in the fuzzy environment for a hybrid wind-farm evaluation. Mishra et al. [41] combined SWARA with COPRAS under an intuitionistic fuzzy environment for determining the sustainability of the biofuel production mechanism. Alkan et al. [38] proposed a fuzzy entropy-COPRAS-MULTIMOORA framework for clean energy evaluation in Turkey. Rani et al. evaluated sustainable suppliers by adopting a SWARA-COPRAS combined method with hesitant fuzzy data. Krishankumar et al. [42] proposed an integrated framework under the probabilistic version of hesitant fuzzy data with Hamy mean and COPRAS for evaluating cloud vendors for suitable data processing/migration. Lu et al. [43] extended the COPRAS ranking approach to picture fuzzy setting and ranked suppliers who actively take up green strategies for gaining a sustainable supply chain. Wei et al. [44] used a linguistic variant of single-valued neutrosophic numbers to assess the safety of construction projects with the help of COPRAS. Narayanamoorthy et al. [45] put forward DEMATEL-COPRAS in an integrated fashion with uncertain data to select an alternative fuel for handling sustainability issues.
3. Materials and Methods
This section provides the intuition behind the integrated approach to support the developed framework from a systematic point of view. It can be noted that these contributions rationally mitigate the lacunae mentioned above. Certain intuitions behind using these methods in the integrated framework are:
As discussed in [29], the nonlinear transformation of the rating data from experts provides a better management of uncertainty by properly capturing the dynamic behavioral characteristics of agents;
The Boran principle is put forward in the nonlinear context for determining the reliability values of agents, which is inspired by the work by [30], and the method has the following advantages, viz., (i) it is simple and elegant; (ii) it considers all three degrees of uncertainty during the formulation; and (iii) it considers all preference values (decision matrix) in determining the reliability of an agent, unlike the extreme measures that are adopted in some statistical methods;
The variance method is used to determine the weights of the criteria, which are straightforward and can capture the hesitation of the agents during preference articulation. The method considers all data points for determing the variability in the preferences and distributions. Moreover, in this work, an attitudinal variance that considers the weights of the agents in the formulation of the criteria weights is put forward, which can be intuitively considered as potential information in the process;
Finally, the popular COPRAS method is extended to the nonlinear context by considering the personal choices of the agents, to provide a sense of personalized prioritization of the barriers. In the decision context, the agents may (or may not) have some a priori opinion about an alternative (barrier), which must be considered in the ranking process for obtaining a better ordering of alternatives (barriers).
These features of the methods motivated authors to propose an integrated framework for the rational prioritization of barriers with nonlinear rating information.
Figure 1 shows the research path that the authors attempt to adopt for prioritizing barriers that impede sustainable operations based on the CE criteria. The research problem focussed on by the authors in this paper pertains to the prioritization of barriers based on criteria by considering the rating data of order along with a matrix for the criteria weight calculation and a matrix for agents’ weight calculation by adopting polynomial functions. The latter aim to remap the data to the nonlinear context for a better understanding of the behavioral characteristics of the agents, as claimed in [29]. As mentioned earlier, nonlinear rating information is considered by the framework for decision-making. Initially, a Likert scale rating is used for rating barriers based on the criteria, and the criteria are rated by the agents. Further, the officials share their personal opinion on the agents shortlisted for the decision process. The values in these matrices are remapped to the nonlinear form by using the polynomial function [29].
Figure 1.
Framework with nonlinear data for barrier prioritization.
Further, the agents’ reliability values are determined using the Boran principle, that yields a vector. This vector’s values are considered along with agents’ opinions on the criteria for determining the weights of each criterion by proposing an attitudinal-variance measure. A weight vector is obtained by adopting the calculation procedure. As discussed earlier, apart from the key features of variance, the consideration of the attitudinal characteristics of the agents (weights) provide a rational weight determination procedure. This vector is used along with the decision matrix by the ranking algorithm for prioritizing barriers based on personal choices. This offers a sense of personalization and closely resembles human-driven decision-making, adding value to the practical perspective of decision-making.
4. Methodology
4.1. Preliminaries
Some basics of fuzzy sets in the linear and nonlinear context are presented here.
Definition 1 [46]: Let be a fixed set. Set on is the fuzzy set given by
where is the membership grade in the unit interval.
For ease of notation, we denote as the fuzzy number, and the fuzzy set has one or more fuzzy numbers.
Definition 2 [46]: and are two fuzzy numbers. Some operations are given by
where , is the complement.
Definition 3 [29]: Consider a function that satisfies the following properties, viz.,
In the unit interval, is automorphic;
is a ;
is convex in the 1 neighborhood and concave in the 0 neighborhood;
· in the unit interval;
, then is the extreme value amplification.
4.2. Weight Calculation Procedure
Weights are considered an essential parameter for decision-making, as each expert/agent poses a different level of importance/reliability during the decision process. As discussed earlier, Koksalmis and Kabak [30] and Kao [31] strongly emphasized the need for calculating weights to mitigate subjectivity, biases and inaccuracies.
Broadly, weights are determined with partially known information or completely unknown information. Programming models [47] are used for the former context, and the latter context uses approaches like the analytical hierarchy process [48], entropies [49] and the like. The present study assumes that the information about the factors is unknown, so it closely resembles the latter context.
Though the methods in this context provide the weights of factors, (i) the hesitation of the agents during opinion sharing is not appropriately captured, and (ii) the attitudinal characteristics of the agents are not considered during the formulation. Variance measure [50] is a statistical approach extended to nonlinear data to determine the weights of the factors. From [50] and [51], it is clear that (i) variance is a simple and elegant measure; (ii) it considers all data points before determining the distributions, unlike the extreme value measures; and (iii) finally, the variability of the agents’ opinions is properly modeled. Inspired by these benefits and to tackle the issue, an attitudinal-variance measure is put forward. A stepwise procedure is given below:
Step 1: Officials who constitute the panel for decision-making give their opinion on each agent, transformed into a nonlinear rating using the polynomial mapping function adapted from [29]. This is given to the Boran principle for determining the agents’ attitudinal characteristics. officials are rating agents, consolidated to a weight vector.
where is the weight of agent , is the index for an official, and is the index for an agent.
Step 2: Form factor rating matrix of order with fuzzy data transformed to nonlinear form. Here, agents rate factors.
Step 3: Apply Equation (3) by considering the attitudinal characteristic of agents from Equation (6) and the factor rating matrix from Step 2.
where is the weighted matrix.
Step 4: Apply Equation (8) to determine the variability in the distribution for each factor. Normalize the vector to obtain the weights of the factors, that is eventually a vector.
where is the weight associated with factor .
The values from Equation (8) are in the unit interval and sum up to unity.
4.3. Interactive Nonlinear COPRAS Algorithm
The ranking is the process of ordering options based on diverse factors. COPRAS [32] is a popular ranking approach that works based on utility functions. It considers the nature of factors and ranks options from different angles by considering complex proportional [52,53,54,55,56,57]. Based on the review presented above and the benefits of COPRAS, it is clear that COPRAS is an attractive approach for decision-making, and a consideration of the personal views of agents is lacking.
To tackle the issue, an interactive COPRAS algorithm is developed. Steps are given below:
Step 1: A rating matrix of with linear data is obtained. A polynomial function from [29] is utilized for remapping data to the nonlinear space.
Step 2: Apply Equation (3) to obtain weighted preferences that consider the personal opinion on each option and the preference vector. A matrix of is obtained, which is denoted as .
Step 3: Vectors associated with the parameters of interactive COPRAS are calculated by using Equations (9) and (10).
Step 4: The net rank vector is determined using Equation (11), which performs a linear combination of the two parameters obtained from Step 3.
where is the strategy value in the unit interval.
Options are ranked in the increasing order of values.
5. Case Example
The section provides a case example to demonstrate the usefulness of the developed decision model. Potential barriers that slow down the pace of sustainability operations in industries are analyzed in [7] based on the circular economy criteria, which is being adopted in this paper for demonstrating the usefulness of the proposed work. Eight potential barriers—viz., insufficient strategy, risk of management, insufficient legislation, lack of waste management, poor resource, inefficient performance index, use of materials as energy and lack of skilled workforce—are being rated over nine criteria, viz., technology usage/management, sustainable transformation, process design, green practices/products, resource circularity, job opportunity, integrity breach, total cost and the biased market. It can be seen that the final three criteria are cost type and the others are benefit type.
An explanation of each barrier and criterion can be found in [7]. The procedure for ranking these barriers is given below:
Step 1: Rating information from the agents on the barriers with respect to the criteria is obtained. Typically, eight vectors of order are obtained.
Table 2 shows the terms used by experts for rating and its associated fuzzy number in its linear form. Table 3 shows the fuzzy rating of barriers rated based on CE criteria. Further, Figure 2 shows the nonlinear structure of the data obtained using the polynomial function [29,58], which can handle uncertainty more effectively than the linear form. This data is further used for the ranking of barriers.
Table 2.
Linguistic terms for rating and associated fuzzy values.
Table 3.
Rating data pertaining to barriers.
Figure 2.
Nonlinear mapping of data using a polynomial function—Barrier/Criteria.
Step 2: Another set of rating vectors is obtained for criteria weight estimation, which eventually yields three vectors of order.
Table 4 provides the opinion vector on criteria from each DM in the linear form based on the values depicted in Table 2. Figure 3 shows the polynomial variant [29,59] of the linear data used for weight determination.
Table 4.
Rating data pertaining to the criteria.
Figure 3.
Nonlinear rating using a polynomial function—DMs/Criteria.
Step 3: The procedure proposed in Section 4.2 is applied to the data from Step 2 to obtain a weight vector of order.
Transformed data (see Figure 3) are fed to Section 4.2 for a weight assessment of the criteria. The attitude of DMs is embedded into the rating, which is later used by the variance measure for the weight assessment of criteria. Experts’ attitude values are calculated as 0.36, 0.43 and 0.21, respectively, by adopting Equation (6). Four officials rated three experts as 0.5, 0.6, 0.2; 0.5, 0.7, 0.3; 0.5, 0.7, 0.2; and 0.4, 0.7, 0.2. The weights are determined as depicted above by converting the values to a nonlinear form and applying the Boran principle. The weights of CE criteria are determined as 0.01, 0.30, 0.017, 0.015, 0.064, 0.24, 0.14, 0.038 and 0.18, respectively by adopting Equations (7) and (8).
Step 4: Use the vector from Step 3 and the matrix from Step 1 to determine the ordering of barriers to support a proper planning for a better sustainability adoption.
Table 5 gives the values of the proposed interactive COPRAS parameters. Three vectors of order are obtained, which depict the values from the benefit zone, cost zone and net ranks. Specifically, the last column of Table 3 provides the rank values of barriers at , and the ordering is given by based on Equation (11).
Table 5.
Parameters of the ranking algorithm.
6. Sensitivity and Comparative Analysis
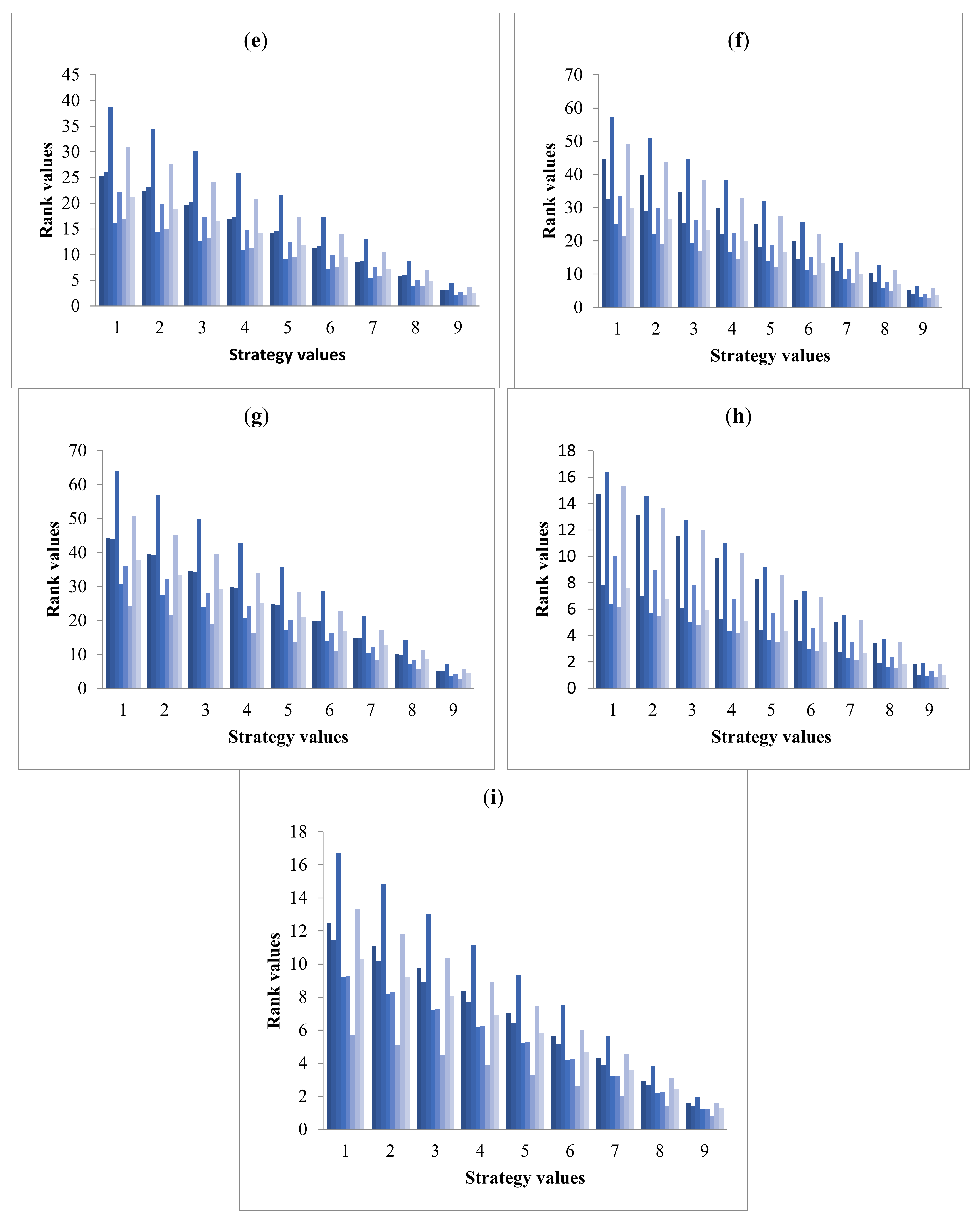
This portion provides a sensitivity analysis of the weights and a comparative investigation to realize the merits of the proposed work. By adopting the rotation concept, nine new weights are formed as input to determine the rank values. Further, the values are varied stepwise from 0.1 to 0.9 to validate its effect on ordering. Figure 4 and Figure 5 show that the proposed algorithm is highly robust both in the inter and intra context of alteration of values compared to its counterpart [40]. Further, a theoretical investigation reveals the strength of the proposed work compared to its counterpart.

Figure 4.
(a–i) Sensitivity analysis of criteria weights/strategy values.
Figure 5.
Sensitivity analysis of strategy values with set 1 weights.
In Figure 4, there are nine bar graphs plotted as (a) to (i), and each chart is for one weight set (set 1 to set 9) that is formed by rotating the values of nine criteria weights. Every rotation provides a new weight set of the same order as that of the original weight vector, which is . In each bar graph, we alter the strategy values () in a stepwise manner from 0.1 to 0.9. Rank values associated with all eight barriers are depicted based on both the alterations of the criteria weights and the strategy values. Inter correlation deals with criteria weight alteration, and intra correlation deals with strategy values. From Figure 4a–i, it is inferred that the rank values change for barriers, but the ranking order remains intact, indicating that the proposed framework can withstand an alteration of the parameters’ values. Similarly, Figure 5 is provided for method [40], depicting the rank values associated with barriers for different strategy values, with the weight vector obtained from the case example. It can be seen that the order changes for the barriers, and hence it is inferred that the proposed model is more robust than its counterpart.
Table 6 summarizes the characteristics of the proposed framework and its counterpart model from the method’s point of view. Table 1 shows the features of the proposed work with respect to extant models from the application’s perspective. To further elaborate, some innovative merits of the proposed work are:
Table 6.
Comparison of the proposed framework versus other frameworks—Theoretical aspects.
A nonlinear data form [29] is used in the present study to manage uncertainty better than the linear fuzzy variant.
The importance of the criteria is methodically determined by effectively capturing the hesitation and considering the attitude of DMs, which is lacking in the counterpart framework.
A personal opinion on each barrier is considered potential information in formulating a new interactive COPRAS algorithm, which is also lacking in the counterpart framework.
Figure 5 shows that the ordering produced by the counterpart framework changes when the weights of the criteria are altered, indicating that the approach is sensitive to weight alteration. On the other hand, Figure 4 clarifies the robustness of the proposed framework even after adequate alterations are made to criteria weights and strategy values.
From an experimental study with 300 matrices of order and weights as calculated above, it is inferred that the proposed algorithm has an approximately 10% higher discrimination strength than the counterpart. Figure 6 clarifies this claim by plotting the variability values of the rank values of barriers produced by the proposed model and the existing counterpart methods for all 300 matrices. Initially, in the experimental study, all simulated matrices were given input to both the proposed model and the counterpart. Rank values of order were obtained for all matrices from both models. Later, the variance was calculated for these rank values, that yielded two vectors of order plotted in Figure 6 to determine the discrimination strength of the models.
Figure 6.
Test for the discrimination power of the proposed vs. the existing model.
7. Discussion
This section discusses the results obtained by adopting the newly proposed decision framework. The framework attempts to prioritize barriers based on the CE criteria. Methods are put forward for calculating the weights of agents and criteria that are in turn used for ordering barriers based on a ranking algorithm. From the results, it could be inferred that the top four criteria are , , and that denote sustainable transformation, job opportunity, integrity breach and biased market, respectively. The top three barriers that affect sustainable operations are insufficient legislation, risk of materials as energy and insufficient strategy. Table 6 shows the comparative summary of the proposed model with a state-of-the-art model that provides the merits of the proposed model, such as: (i) adoption of nonlinear remapping to better represent the behavioral characteristics of the agents during the preference articulation; (ii) followed by a methodical calculation of the agents’ reliability values to avoid subjectivity/biases; (iii) later, these values were used for determining the importance of each CE criterion, which not only captured the hesitation of the agents during opinion/preference sharing but also considered the attitudinal characteristics of the agents; and (iv) finally, a ranking of barriers was obtained based on the personal choices of the agents that could provide a sense of the personalized ordering of barriers. These inferences show, theoretically, the superiority of the proposed model over its counterpart.
From the statistical viewpoint, the proposed model is unaffected by adequate alterations to the criteria and strategy value weights, showing that the model is robust. Further, a simulation experiment is conducted with 300 matrices to determine the discrimination power of the model that supports agents to plan backups efficiently during critical situations. Figure 6 shows that the proposed model has broad and sensible rank values compared to its counterpart. This efficacy in terms of robustness and broadness adds value to the framework from the method point of view. Finally, the prioritization of barriers by using the CE criteria gives the organizations clarity on which barriers to focus on primarily to promote sustainable operations.
8. Conclusions
This paper puts forward a new framework with a nonlinear data form for rational decision-making, which adds value to the field of multi-criteria decision-making. Earlier studies on nonlinear data transformation clarify the fact that the remapping of data/preferences from DMs to the nonlinear context by adopting a polynomial function effectively captures the behavioral charateristics of the DMs. Specifically, novel approaches are integrated in the present study to develop a framework whose usefulness is tested by using a case example of barrier ranking that hinders the sustainable operations in the firm by considering circular economy criteria. The reliability values of the agents are methodically determined by adopting the Boran principle in the nonlinear context. Later, the weights/importance of each criterion are methodically calculated by adopting a newly proposed attitude-variance measure that captures the hesitation of DMs, considers the reliability value associated with each DM and rationally calculates weights by mitigating subjectivity/biases. Furthermore, we develop a novel ranking algorithm that considers the nature of criteria during rank estimation and accepts personal views/opinions of DMs on barriers to promote a sense of personalized decision-making. Certain theoretical implications that are infered from the study are: (i) the proposed framework reduces human intervention, subjectivity and biases by considering a methodical estimation of parameters that also reduces the inaccuracies that may arise due to the direct assignment of values; (ii) the framework is robust enough to withstand parameter alterations, realized by conducting a sensitivity analysis of the weights of the criteria and strategy values through an inter/intra sensitivity analysis (refer Figure 4); and (iii) the framework produces broad and sensible rank values that provide a better discrimination power to the proposed framework compared to its counterparts, which favor backup management during critical situations (see Figure 6).
The innovative merits discussed above clarify the framework’s ability, but the authors present some shortcomings which may prevent further enhancement, such as (i) the non-availability of preference information owing to stress and pressure on DMs may occur in practical situations, and hence the assumption of a complete preference matrix may not be reasonable at times; and (ii) the consistency of the articulated data/preferences from DMs must be determined.
A few managerial implications that may be noted are (i) the framework is flexible, simple, and elegant, and can be directly used in other fields for decision-making; (ii) DMs must be trained with the nonlinear data form to understand the outcome better and take rational actions; (iii) the adoption of a nonlinear transformation by using a polynomial function effectively captures the behavioral characteristics of agents in the decision process; and (iv) the ordering of barriers helps managers to plan their course of action towards a successful sustainability operation within the firm.
In the future, plans are made to tackle the shortcomings stated above. Moreover, the proposed framework can be extended for group decisions and large-scale group decisions by incorporating fusion operators and rating information from multiple stakeholders [60,61]. Finally, machine learning concepts can be linked with decision frameworks for solving problems from the business, engineering and medicine fields.
Author Contributions
Conceptualization, K.N.S.V.R., R.K. and D.P.; methodology, R.K. and D.P.; validation, M.S.T., P.P.A., K.N.S.V.R. and R.K.; formal analysis, K.N.S.V.R. and R.K.; investigation, K.N.S.V.R.; writing—original draft preparation, K.N.S.V.R., R.K. and D.P. All authors have read and agreed to the published version of the manuscript.
Funding
This research received no external funding.
Conflicts of Interest
The authors declare no conflict of interest.
References
- Dinesh, S.; Rejikumar, G.; Sisodia, G.S. An empirical investigation into carpooling behaviour for sustainability. Transp. Res. Part F Traffic Psychol. Behav. 2021, 77, 181–196. [Google Scholar] [CrossRef]
- Vaishnavi, V.; Suresh, M. Assessment of readiness level for implementing lean six sigma in healthcare organization using fuzzy logic approach. Int. J. Lean Six Sigma 2021, 12, 175–209. [Google Scholar] [CrossRef]
- Ourbak, T.; Magnan, A.K. The Paris Agreement and climate change negotiations: Small Islands, big players. Reg. Environ. Chang. 2018, 18, 2201–2207. [Google Scholar] [CrossRef] [Green Version]
- Lopes de Sousa Jabbour, A.B.; Jabbour, C.J.C.; Godinho Filho, M.; Roubaud, D. Industry 4.0 and the circular economy: A proposed research agenda and original roadmap for sustainable operations. Ann. Oper. Res. 2018, 270, 273–286. [Google Scholar] [CrossRef]
- Thangavelu, S.; Gunasekar, S.; Jyotishi, A. Feedback effects of economic growth on innovation: A country-level empirical study. J. Sci. Technol. Policy Manag. 2021, 60076781. [Google Scholar] [CrossRef]
- Luthra, S.; Garg, D.; Mangla, S.K.; Singh Berwal, Y.P. Analyzing challenges to Internet of Things (IoT) adoption and diffusion: An Indian context. Proc. Comput. Sci. 2018, 125, 733–739. [Google Scholar] [CrossRef]
- Kumar, P.; Singh, R.K.; Kumar, V. Managing supply chains for sustainable operations in the era of industry 4.0 and circular economy: Analysis of barriers. Resour. Conserv. Recycl. 2021, 164, 105215. [Google Scholar] [CrossRef]
- Sirisawat, P.; Kiatcharoenpol, T. Computers & Industrial Engineering Fuzzy AHP-TOPSIS approaches to prioritizing solutions for reverse logistics barriers. Comput. Ind. Eng. 2018, 117, 303–318. [Google Scholar] [CrossRef]
- Vishwakarma, V.; Garg, C.P.; Barua, M.K. Modelling the barriers of Indian pharmaceutical supply chain using fuzzy AHP Vinayak Vishwakarma *, Chandra Prakash Garg and Mukesh Kumar Barua. Int. J. Oper. Res. 2019, 34, 240–268. [Google Scholar] [CrossRef]
- Gardas, B.B.; Raut, R.D.; Narkhede, B. Modelling the challenges to sustainability in the textile and apparel (T&A) sector: A Delphi-DEMATEL approach. Sustain. Prod. Consum. 2018, 15, 96–108. [Google Scholar] [CrossRef]
- Singh, P.K.; Sarkar, P. A framework based on fuzzy AHP-TOPSIS for prioritizing solutions to overcome the barriers in the implementation of ecodesign practices in SMEs. Int. J. Sustain. Dev. World Ecol. 2019, 26, 506–521. [Google Scholar] [CrossRef]
- Mahdiyar, A.; Mohandes, S.R.; Durdyev, S.; Tabatabaee, S.; Ismail, S. Barriers to green roof installation: An integrated fuzzy-based MCDM approach. J. Clean. Prod. 2020, 269, 122365. [Google Scholar] [CrossRef]
- Al Asbahi, A.A.M.H.; Fang, Z.G.; Chandio, Z.A.; Tunio, M.K.; Ahmed, J.; Abbas, M. Assessing barriers and solutions for Yemen energy crisis to adopt green and sustainable practices: A fuzzy multi-criteria analysis. Environ. Sci. Pollut. Res. 2020, 27, 36765–36781. [Google Scholar] [CrossRef] [PubMed]
- Song, W.; Zhu, Y.; Zhao, Q. Analyzing barriers for adopting sustainable online consumption: A rough hierarchical DEMATEL method. Comput. Ind. Eng. 2020, 140, 106279. [Google Scholar] [CrossRef]
- Nazam, M.; Hashim, M.; Baig, S.A.; Abrar, M.; Shabbir, R. Modeling the key barriers of knowledge management adoption in sustainable supply chain. J. Enterp. Inf. Manag. 2020, 33, 1077–1109. [Google Scholar] [CrossRef]
- Jiskani, I.M.; Cai, Q.; Zhou, W.; Lu, X. Assessment of risks impeding sustainable mining in Pakistan using fuzzy synthetic evaluation. Resour. Policy 2020, 69, 101820. [Google Scholar] [CrossRef]
- Selerio, E.F.; Arcadio, R.D.; Medio, G.J.; Natad, J.R.P.; Pedregosa, G.A. On the complex causal relationship of barriers to sustainable urban water management: A fuzzy multi-criteria analysis. Urban Water J. 2021, 18, 12–24. [Google Scholar] [CrossRef]
- Bui, T.D.; Tsai, F.M.; Tseng, M.L.; Ali, M.D.H. Identifying sustainable solid waste management barriers in practice using the fuzzy Delphi method. Resour. Conserv. Recycl. 2020, 154, 104625. [Google Scholar] [CrossRef]
- Khandelwal, C.; Barua, M.K. Prioritizing Circular Supply Chain Management Barriers Using Fuzzy AHP: Case of the Indian Plastic Industry. Glob. Bus. Rev. 2020. [Google Scholar] [CrossRef]
- Chen, D.; Faibil, D.; Agyemang, M. Evaluating critical barriers and pathways to implementation of e-waste formalization management systems in Ghana: A hybrid BWM and fuzzy TOPSIS approach. Environ. Sci. Pollut. Res. 2020, 27, 44561–44584. [Google Scholar] [CrossRef] [PubMed]
- Farooque, M.; Jain, V.; Zhang, A.; Li, Z. Fuzzy DEMATEL analysis of barriers to Blockchain-based life cycle assessment in China. Comput. Ind. Eng. 2020, 147, 106684. [Google Scholar] [CrossRef]
- Ozkan-Ozen, Y.D.; Kazancoglu, Y.; Kumar Mangla, S. Synchronized Barriers for Circular Supply Chains in Industry 3.5/Industry 4.0 Transition for Sustainable Resource Management. Resour. Conserv. Recycl. 2020, 161, 104986. [Google Scholar] [CrossRef]
- Almalki Sultan Musaad, O.; Zhuo, Z.; Almalki Otaibi Musaad, O.; Siyal, Z.A.; Hashmi, H.; Shah, S.A.A. A fuzzy multi-criteria analysis of barriers and policy strategies for small and medium enterprises to adopt green innovation. Symmetry 2020, 12, 116. [Google Scholar] [CrossRef] [Green Version]
- Heidary Dahooie, J.; Zamani Babgohari, A.; Meidutė-Kavaliauskienė, I.; Govindan, K. Prioritising sustainable supply chain management practices by their impact on multiple interacting barriers. Int. J. Sustain. Dev. World Ecol. 2021, 28, 267–290. [Google Scholar] [CrossRef]
- Solangi, Y.A.; Longsheng, C.; Shah, S.A.A. Assessing and overcoming the renewable energy barriers for sustainable development in Pakistan: An integrated AHP and fuzzy TOPSIS approach. Renew. Energy 2021, 173, 209–222. [Google Scholar] [CrossRef]
- Xu, Y.; Yeh, C.H.; Liu, C.G.; Ramzan, S.; Zhang, L. Evaluating and managing interactive barriers for sustainable e-waste management in China. J. Oper. Res. Soc. 2021, 72, 2018–2031. [Google Scholar] [CrossRef]
- Khan, S.A.R.; Zkik, K.; Belhadi, A.; Kamble, S.S. Evaluating barriers and solutions for social sustainability adoption in multi-tier supply chains. Int. J. Prod. Res. 2021, 59, 3378–3397. [Google Scholar] [CrossRef]
- Liu, Y.; Wood, L.C.; Venkatesh, V.G.; Zhang, A.; Farooque, M. Barriers to sustainable food consumption and production in China: A fuzzy DEMATEL analysis from a circular economy perspective. Sustain. Prod. Consum. 2021, 28, 1114–1129. [Google Scholar] [CrossRef]
- Zamora, D.G.; Labella, A.; Rodríguez, R.M.; Martinez, L. Nonlinear preferences in group decision—making. Extreme values amplifications and extreme values reductions. Int. J. Intell. Syst. 2021, 36, 6581–6612. [Google Scholar] [CrossRef]
- Koksalmis, E.; Kabak, Ö. Deriving Decision Makers Weights in Group Decision Making: An Overview of Objective Methods. Inf. Fusion 2018, 49, 146–160. [Google Scholar] [CrossRef]
- Kao, C. Weight determination for consistently ranking alternatives in multiple criteria decision analysis. Appl. Math. Model. 2010, 34, 1779–1787. [Google Scholar] [CrossRef]
- Zavadskas, E.K.; Kaklauskas, A.; Sarka, V. The new method of multi-criteria complex proportional assessment of projects. Technol. Econ. Dev. Econ. 1994, 1, 131–139. [Google Scholar]
- Stefano, N.M.; Casarotto Filho, N.; Garcia Lupi Vergara, L.; Garbin Da Rocha, R.U. COPRAS (Complex Proportional Assessment): State of the art research and its applications. IEEE Lat. Am. Trans. 2015, 13, 3899–3906. [Google Scholar] [CrossRef]
- Chatterjee, K.; Kar, S. Supplier selection in Telecom supply chain management: A Fuzzy-Rasch based COPRAS-G method. Technol. Econ. Dev. Econ. 2018, 24, 765–791. [Google Scholar] [CrossRef] [Green Version]
- Valipour, A.; Yahaya, N.; Md Noor, N.; Antuchevičienė, J.; Tamošaitienė, J. Hybrid SWARA-COPRAS method for risk assessment in deep foundation excavation project: An Iranian case study. J. Civ. Eng. Manag. 2017, 23, 524–532. [Google Scholar] [CrossRef] [Green Version]
- Krishankumar, R.; Ravichandran, K.; Premaladha, J.; Kar, S.; Zavadskas, E.; Antucheviciene, J. A Decision Framework under a Linguistic Hesitant Fuzzy Set for Solving Multi-Criteria Group Decision Making Problems. Sustainability 2018, 10, 2608. [Google Scholar] [CrossRef] [Green Version]
- Roy, J.; Sharma, H.K.; Kar, S.; Zavadskas, E.K.; Saparauskas, J. An extended COPRAS model for multi-criteria decision-making problems and its application in web-based hotel evaluation and selection. Econ. Res. Istraz. 2019, 32, 219–253. [Google Scholar] [CrossRef] [Green Version]
- Alkan, Ö.; Albayrak, Ö.K. Ranking of renewable energy sources for regions in Turkey by fuzzy entropy based fuzzy COPRAS and fuzzy MULTIMOORA. Renew. Energy 2020, 162, 712–726. [Google Scholar] [CrossRef]
- Krishankumar, R.; Ravichandran, K.S.; Kar, S.; Cavallaro, F.; Zavadskas, E.K.; Mardani, A. Scientific decision framework for evaluation of renewable energy sources under q-rung orthopair fuzzy set with partially known weight information. Sustainability 2019, 11, 4202. [Google Scholar] [CrossRef] [Green Version]
- Dhiman, H.S.; Deb, D. Fuzzy TOPSIS and fuzzy COPRAS based multi-criteria decision making for hybrid wind farms. Energy 2020, 202, 117755. [Google Scholar] [CrossRef]
- Mishra, A.R.; Rani, P.; Pandey, K.; Mardani, A.; Streimikis, J.; Streimikiene, D.; Alrasheedi, M. Novel multi-criteria intuitionistic fuzzy SWARA-COPRAS approach for sustainability evaluation of the bioenergy production process. Sustainability 2020, 12, 4155. [Google Scholar] [CrossRef]
- Krishankumar, R.; Garg, H.; Arun, K.; Saha, A.; Ravichandran, K.S.; Kar, S. An integrated decision-making COPRAS approach to probabilistic hesitant fuzzy set information. Complex Intell. Syst. 2021, 7, 2281–2298. [Google Scholar] [CrossRef]
- Lu, L.; Zhang, S.; Wu, J.; Wei, Y. COPRAS method for multiple attribute group decision-making under picture fuzzy environment and their application to green supplier selection. Technol. Econ. Dev. Econ. 2021, 3, 6. [Google Scholar] [CrossRef]
- Wei, G.; Wu, J.; Guo, Y.; Wang, J.; Wei, C. An extended copras model for multiple attribute group decision making based on single-valued neutrosophic 2-tuple linguistic environment. Technol. Econ. Dev. Econ. 2021, 27, 353–368. [Google Scholar] [CrossRef]
- Narayanamoorthy, S.; Ramya, L.; Kalaiselvan, S.; Kureethara, J.V.; Kang, D. Use of DEMATEL and COPRAS method to select best alternative fuel for control of impact of greenhouse gas emissions. Socioecon. Plann. Sci. 2021, 76, 100996. [Google Scholar] [CrossRef]
- Zadeh, L.A. Fuzzy logic systems: Origin, concepts, and trends. Science 2004, 16–18. [Google Scholar]
- Sivagami, R.; Krishankumar, R.; Sangeetha, V.; Ravichandran, K.S.; Kar, S.; Gandomi, A.H. Assessment of cloud vendors using interval-valued probabilistic linguistic information and unknown weights. Int. J. Intell. Syst. 2021, 36, 3813–3851. [Google Scholar] [CrossRef]
- Anbuudayasankar, S.P.; Srikanthan, R.; Karthik, M.; Nair, P.R.; Sivakarthik, N.; Indukumar, P. Cloud-based technology for small and medium scale enterprises: A decision-making paradigm using IPA, AHP and fuzzy-AHP techniques. Int. J. Integr. Supply Manag. 2020, 13, 335–352. [Google Scholar] [CrossRef]
- Liu, L.; Wu, J.; Wei, G.; Wei, C.; Wang, J.; Wei, Y. Entropy-based GLDS method for social capital selection of a PPP project with q-Rung orthopair fuzzy information. Entropy 2020, 22, 414. [Google Scholar] [CrossRef]
- Liu, S.; Chan, F.T.S.; Ran, W. Decision making for the selection of cloud vendor: An improved approach under group decision-making with integrated weights and objective/subjective attributes. Expert Syst. Appl. 2016, 55, 37–47. [Google Scholar] [CrossRef]
- Rao, R.V.; Patel, B.K.; Parnichkun, M. Industrial robot selection using a novel decision making method considering objective and subjective preferences. Rob. Auton. Syst. 2011, 59, 367–375. [Google Scholar] [CrossRef]
- Zheng, Y.; Xu, Z.; He, Y.; Liao, H. Severity assessment of chronic obstructive pulmonary disease based on hesitant fuzzy linguistic COPRAS method. Appl. Soft Comput. J. 2018, 69, 60–71. [Google Scholar] [CrossRef]
- Milosevic, T.; Pamucar, D.; Chatterjee, P. Model for selecting a route for the transport of hazardous materials using a fuzzy logic system. Mil. Tech. Cour. 2021, 69, 355–390. [Google Scholar]
- Ali, Z.; Mahmood, T.; Ullah, K.; Khan, Q. Einstein Geometric Aggregation Operators using a Novel Complex Interval-valued Pythagorean Fuzzy Setting with Application in Green Supplier Chain Management. Rep. Mech. Eng. 2021, 2, 105–134. [Google Scholar] [CrossRef]
- Pamucar, D.S.; Savin, L.M. Multiple-criteria model for optimal off-road vehicle selection for passenger transportation: BWM-COPRAS model. Mil. Tech. Cour. 2020, 68, 28–64. [Google Scholar]
- Aytekin, A. Comparative Analysis of the Normalization Techniques in the Context of MCDM Problems. Decis. Mak. Appl. Manag. Eng. 2021, 4, 1–25. [Google Scholar] [CrossRef]
- Gorcun, O.F.; Senthil, S.; Küçükönder, H. Evaluation of tanker vehicle selection using a novel hybrid fuzzy MCDM technique. Decis. Mak. Appl. Manag. Eng. 2021, 4, 140–162. [Google Scholar] [CrossRef]
- Fazlollahtabar, H.; Kazemitash, N. Green supplier selection based on the information system performance evaluation using the integrated Best-Worst Method. FU Mech. Eng. 2021, 19, 345–360. [Google Scholar] [CrossRef]
- Muhammad, L.J.; Badi, I.; Haruna, A.A.; Mohammed, I.A. Selecting the Best Municipal Solid Waste Management Techniques in Nigeria Using Multi Criteria Decision Making Techniques. Rep. Mech. Eng. 2021, 2, 180–189. [Google Scholar] [CrossRef]
- Pamucar, D.; Zizovic, M.; Biswas, S.; Božanić, D. A new logarithm methodology of additive weights (LMAW) for multi-criteria decision-making: Application in logistics. FU Mech. Eng. 2021, 19, 361–380. [Google Scholar] [CrossRef]
- Arsu, T.; Ayçin, E. Evaluation of OECD Countries with Multi-Criteria Decision-Making Methods in terms of Economic, Social and Environmental Aspects. Oper. Res. Eng. Sci. Theor. Appl. 2021, 4, 55–78. [Google Scholar] [CrossRef]
Publisher’s Note: MDPI stays neutral with regard to jurisdictional claims in published maps and institutional affiliations. |
© 2022 by the authors. Licensee MDPI, Basel, Switzerland. This article is an open access article distributed under the terms and conditions of the Creative Commons Attribution (CC BY) license (https://creativecommons.org/licenses/by/4.0/).