Next Article in Journal
Improving Circular Supply Chain Performance through Green Innovations: The Moderating Role of Economic Policy Uncertainty
Next Article in Special Issue
Multinational Enterprises, Sustainability and Innovation
Previous Article in Journal
A Decision-Making Approach for Sustainable Machining Processes Using Data Clustering and Multi-Objective Optimization
Previous Article in Special Issue
Managerial Dilemmas and Entrepreneurial Challenges in the Ambidexterity of SMEs: A Systematic Review for Execution System
 
 
Font Type:
Arial Georgia Verdana
Font Size:
Aa Aa Aa
Line Spacing:
Column Width:
Background:
Article

Digital Competency, Innovative Medical Research, and Institutional Environment: A Global Context

1
Department of Obstetrics and Gynecology, CHA Bundang Medical Center, CHA University, 59 Yatap-ro, Bundang-gu, Seongnam 13496, Gyeonggi-do, Republic of Korea
2
College of Business, Hankuk University of Foreign Studies, Seoul 02450, Republic of Korea
*
Author to whom correspondence should be addressed.
Sustainability 2022, 14(24), 16887; https://doi.org/10.3390/su142416887
Submission received: 31 October 2022 / Revised: 5 December 2022 / Accepted: 12 December 2022 / Published: 16 December 2022
(This article belongs to the Special Issue Multinational Enterprises, Sustainability and Innovation)

Abstract

The use of digital technology accelerates the progress of medical research through improving the quality of clinical trials and medical education. However, empirical evidence on how digital competency contributes to the innovativeness of medical research and influence of institutional environment has received scant attention. Based on the data of 63 nations, this study explores the question of how national-level digital competency impacts the innovativeness of medical research reflected in research publications and examines the moderating effect of government and the economic environment. We find that national digital competency positively impacts the innovativeness of medical research in the focal nation. However, this relationship is positively or negatively modulated by diverse institutional environments. Our study contributes to innovation and institutional perspective literature in the context of digital technologies for medical research.

1. Introduction

The use of digital technology has great potential for medical research. Particularly, the COVID-19 pandemic has played a central role in accelerating the process of development and sophistication of digital technology in medical research [1,2]. Appropriately employing digital technology can significantly increase both efficiency and efficacy in clinical trials and medical education, which are key to the advancement of medical research [3,4,5,6]. More specifically, digital technology can contribute to the development of medical research by improving the efficiency of participant recruitment and retention, health data collection, and data analysis in clinical trials. It also increases the accuracy of the analysis by facilitating communication with the participants of an experiment and reducing the time for data collection. Thus, the development of digital technology is closely related to advances in medical research.
In a global perspective, the COVID-19 pandemic provides many countries with an opportunity to recognize the importance of employing digital technologies to respond to global challenge. Research collaboration for the development and distribution of vaccines, the prediction and tracking of confirmed cases, and the sharing of information have become globally critical issues. The role of digital technologies in medicine has received steady attention from scholars from diverse domains. In the field of medicine, researchers have mainly studied how digital technology contributes to the treatment or surgery of patients in specific fields. [7,8,9]. Scholars from engineering fields have focused on data sharing, protection, and management including the interface, integration, and coordination of data [10,11]. Business researchers have predominantly investigated digital health ecosystem and interactions among various stakeholders from an ecosystem perspective [12,13,14]. Although these existing studies have offered valuable and diverse insights, these studies have been conducted mainly in the context of specific types of organizations (e.g., hospital, biotech company, etc.) or industries (e.g., biotech industry, pharmaceutical industry, etc.), and national or global-level perspectives have been somehow neglected in this stream of research.
However, how digital competency contributes to the innovativeness of medical research has received scant attention and is barely supported by empirical evidence. Based on the awareness of this issue, this study examines how national digital competency impacts the innovativeness of medical research in a global context. As medical research is highly diversified, this study will pay special attention to the effects of national digital competency on the research performance of vital areas in medicine—a medical terminology—that comprehensively refers to four areas: (1) surgery; (2) internal medicine; (3) pediatrics, perinatology, and child health; and (4) obstetrics and gynecology. These areas are major disciplines in the field of medicine, encompassing various subfields. For example, geriatrics is included in internal medicine. (Pediatrics, etc., are included in this category not to distinguish a specific age group, but because babies and children require a fundamentally different medical approach than adults). The reason for focusing on those vital areas is because the research performance of those areas is straightly associated with fatalities through the whole lifespan of human. Knowledge in vital areas particularly becomes significant during pandemics, experiencing a new disease for which epidemiologic data have not been accumulated rapidly, and the death rate is determined within a short time. This is because knowledge about the effects of infectious diseases on body parts is directly related to human lives and forms the gist of coping with unprecedented pandemics. For example, at the beginning of the COVID-19 outbreak, many pediatric patients suffered due to a lack of adaptation period to changes in surgical environments and methods [15]. In addition, many people have experienced unexpected pains due to a lack of knowledge about complications or organ damage caused by COVID-19.
In addition, as it takes time for the institution to embrace various effects of rapidly developed knowledge, drastic progress in digital technology in terms of both development and utilization could cause particular social interest in the process of taking advantage of such benefits. This is a social phenomenon that is often accompanied by radically innovative knowledge, and it is not uncommon. Therefore, researchers have recognized the importance of understanding how institutional environments influence the progress of medical research [16,17,18,19], but enough empirical evidence still has not been found. Hence, we examined how various institutional factors moderate this relationship. We support our arguments using digital competencies, publications, and diverse institutional data of 63 countries. Our conceptual framework is depicted in Figure 1.
The remainder of this paper is organized as follows. First, we discuss how national digital competencies impact the degree of innovation research in medicine, and consequently, how this association is moderated by the government and business environments. Second, drawing on data from multiple databases, we provide the results of an empirical test. Third, we address the implications and contributions of this study.

2. Hypotheses Development

2.1. Digital Competency and Innovative Medical Research

Recent medical research requires an integrated system consisting of diverse digital technologies. These technologies typically include the Internet of Things [20], big data analysis [21], AI [22], and blockchains [23]. These digital technologies comprise digital health systems in hospitals or clinics [1]. Clinical trials play a crucial role in medical research by providing researchers with the basic knowledge and data to estimate causality when verifying the efficacy and safety of new therapies and devices as well as prevention and diagnosis [4]. However, conducting clinical trials efficiently is often challenging as inherent inefficiencies are embedded in each stage of procedure, including the identification and recruitment of participants, data collection, and analysis of participants, which result in poor clinical trial participation rates. For instance, cancer-related clinical trials secure only 8% of cancer patients [24]. Furthermore, financial burden caused by the physical distance between the patient and hospital as well as complicated scheduling problems lower the participation rates in clinical trials [25]. However, the experiment environments for clinical research have improved quite slowly over the years, thereby keeping them demanding and expensive. However, employing digital technology provides a stepping stone for improving clinical trials both qualitatively and quantitatively. It allows various clinical trials to be virtually implemented [5] and improves the quality of clinical trials in two aspects.
First, the adoption of digital technology contributes to the accuracy of clinical trials by making the key steps in clinical trials more reliable. According to Inan et al. (2020), digital clinical trials comprise three key steps: digital recruitment and retention, which is responsible for the participation and management of participants; digital data collection, comprising data mining and processing; and digital analytics, including data analysis and modeling. By utilizing digital technology, it is possible to increase the participation and communication levels of subjects through social media engagement and online consent. By using wearable and mobile sensing technologies, real-time data collection is possible, and various analyses and modeling are possible using AI. In other words, the digital clinical trial removes various obstacles that act as constraints in the existing clinical trials, thereby enabling the qualitative improvement of the clinical trial itself while saving resources.
The second aspect is medical education, which is an essential element for nurturing highly qualified medical researchers, armed with rigorous knowledge. The level of medical knowledge has a decisive influence on the ideas and conduction of clinical trials. However, there is a gap between the education provided by medical institutions and the knowledge required to conduct actual clinical trials [26]. In fact, it is difficult to practice all the theoretically learned medical tests in real life. However, this limitation can be overcome by using digital twin technology, as it can reproduce reality in a virtual space. Students can learn medical knowledge and experience diverse medical situations based on repeatable training such as a 3D surgery simulator using haptic technology. These increasing learning opportunities can have a direct impact on the innovativeness of clinical trials. The study of Chen et al. (2022) presented various application methods, such as medical education training, health and behavior tracking, operation playback and reproduction, and medical knowledge popularization, which can be useful when digital twin technology is used in medical education.
In summation, digital technology dramatically improves the quality of clinical trials and medical education that is critical to innovative medical research. Therefore, we propose the following hypothesis:
H1. 
National digital competency will have a positive impact on the innovativeness of medical research.

2.2. Moderating Effect of the Institutional Environment

The institutional environment significantly influences the strategic choices of the various actors in both the private and public sectors [27,28,29]. North (1990) provides a theoretical landscape of such changes, in which formal rules, structured incentives and constraints form the institutional matrix. Although our baseline proposition suggests that national digital competency will, in general, have a positive effect on innovative medical research, we anticipate that these positive effects can be contingent upon the institutional environment. In this context Salman et al. (2014) states that the quality of the public system and management system are the two key elements that should be considered when conducting medical research. Therefore, as investing in and conducting innovative research is inherently uncertain and risky, an appropriate level of stability in regulatory and economic systems is an inevitable environmental factor. In this study, we investigated how government and economic environments moderate the association between national digital competency and the innovativeness of medical research.

2.2.1. Government Environment: Quality of Administration and Legal System

In order for new knowledge to be used in a critical sector, such as medical research, the institutions and social systems that enable a country to manage the utilization of such knowledge, a stable market system, infrastructure, and high digital literacy must also be in place [30,31,32,33]. According to the OCED—a consortium of advanced countries—for digital technologies to be effectively utilized, the following must be available: infrastructure, public services, and data; effective use of digital data; data-driven and digital innovation; and social institutions such as labor markets and trust in society (https://goingdigital.oecd.org/dimensions, accessed on 11 October 2022). In other words, it is important to have a variety of institutional supports that enable the effective and efficient use of digital knowledge throughout society. Regarding legal and regulation aspects, numerous studies have addressed the quality of the legal system as medical research is closely and sensitively related to personal data, thus the need for ethical protocols, and there remains a responsibility issue for experiments that can critically influence the stability of society [16,17,18,19]. Therefore, we predict that countries with a high level of administrative and legal systems will have a more effective utilization of digital technology for medical research. Hence, we propose the following hypotheses:
H2a: 
The quality of the administrative system will positively moderate the association between national digital competency and the innovativeness of medical research.
H2b: 
The quality of the legal system positively moderates the association between national digital competency and the innovativeness of medical research.

2.2.2. Business Environment: Market Freedom and Disparity in Economic Development

Market freedom has been considered one of the major institutional environments [34,35]. Market freedom enhances the accessibility to resources [36] and reduces information asymmetry between investors and research teams through improved monitoring systems [37]. It also enables research teams to utilize their resources more [38] and make more explorative projects feasible options.
However, if a nation has an unevenly developed economy, a certain area may suffer from low accessibility to medical facilities and information due to the lack of basic digital infrastructure, such as the internet or network, or medical facilities [33,39]. As these areas have limited access to basic medical information, along with low participation rates in clinical trials, they lack the chance to experience improved medical knowledge ([40,41]. Digital technologies such as IoT, AI, and blockchain are applied technologies that can only be operated if basic infrastructure and devices such as computer hardware and wireless networks are available.
Further, vulnerable socioeconomic environments lead to low information utilization problems [6,42,43]. Even if the focal region has an adequate level of technological infrastructure that enables people to have high accessibility to information or participate in various clinical trials, limitations in time owing to low income, physical disability, and limited public service due to racial discrimination may reduce the chances of enjoying the benefits of using digital technologies. For example, during the COVID-19 pandemic, low-income residents even in New York City suffered significantly owing to serious health inequalities because of an uneven chance to utilize digital technology [43]
Furthermore, given that digital technology is closely related to cutting-edge knowledge, consistent investment is required in its development, diffusion, and market development. In fact, economic level has been cited as a source of various digital disparities, as well as healthcare, and this is clearly observed in the digital health market [42]. A region’s economic level is an important factor influencing the stable development of digital technology as well as market formation. If the growth of the digital health market is difficult, the need for medical research to support it will also decrease. Combining all the discussions presented above, we postulate the following two propositions:
H3a: 
The degree of market freedom will positively moderate the association between national digital competency and the innovativeness of medical research.
H3b: 
The degree of disparity in economic development will negatively moderate the association between national digital competency and the innovativeness of medical research.

3. Methods

Using 62 national-level panel data, we investigate the effect of national digital competency on the innovativeness of medical research and how government and business environmental factors moderate that relationship.

3.1. Data and Sample

For empirical analysis, we utilize multiple databases. Regarding national digital competency (NDC), we draw the data from the World Digital Competency data provided by the International Institute for Management Development (IMD), which is a top-tier global research institute in Switzerland. Since the late 1980s, the IMD’s annual report on national competency based on relevant proxies has been widely acknowledged by researchers in various disciplines [44,45,46].
To estimate the innovativeness of medical research, we use the data from the Journal and the Country Rank database offered by SCImago, which is an established data-mining and visualization group in Spain that provides a wide range of bibliometric data including journals and citations. The data of SCImago has demonstrated reliability in bibliometric research including top-tier medicine journals, such as Nature and Lancet [47,48]. We obtained the raw numerical values of published medical documents and citation data for each nation and constructed the dependent variable. For control variables, drawing on multiple databases, we collected nation-level data on innovation index health infrastructure, political rights index, globalization index, services sector value-adding, gross domestic product (GDP), government protectionism, science research legislation, and innovation index. We offer the details of these variables in the next section.
The final sample of our study comprises 63 countries with 341 nation-year observations between 2015 and 2020. The list of sample countries is shown in Table 1. In total, there are 33 countries from Europe, 8 countries from South America, 2 countries from North America, 14 countries from Asia and the Pacific, 5 countries from Middle East, and 1 country from Africa. Our sample include a wide range of countries, including both advanced economies and catching-up economies. We used 2015 as the starting year because interest in digital health has drastically increased based on the emergence of digital transformation, as illustrated in Figure 1. We use 2020 as the cutoff year as forward citation information generally suffer from the truncation issue [49].

3.2. Variable Descriptions

Dependent variable. To estimate our dependent variable, the innovativeness of medical research, we use the number of forward citations per document published in the fields of Surgery, Pediatrics, Perinatology and Child Health, Obstetrics and Gynecology, and Internal Medicine based on the Journal and Country Rank from the Scimago database. Many researchers address that highly cited research is highly likely to be conducted based on combinations of a broad range of knowledge domains that provide an explorative perspective to researchers and enable them to avoids intellectual lock [50]. Similarly, combinative knowledge from exploratory search can produce more innovative scientific research that ultimately becomes highly cited [51,52]. Therefore, the number of forward citations has been widely acknowledged and employed as a proxy for the innovativeness of research in prior studies [53,54,55].
We first calculate the total number of published and citable documents in each of the vital areas in medicine and the total number of forward citations that those documents received. Both numbers are aggregated at the nation level. Then, consistent with previous literature, we estimate medical research performance as:
I n n o v a t i v e n e s s   o f   M e d i c a l   R e s e a r c h   i , t , c = T o t a l   f o r w a r d   c i t a t i o n s   i , t , c C i t a t a b l e   d o c u m e n t i , t , c
where citable document i,t,c represents the number of citable documents published by country i in medical field c at the time of year t. Total forward citations i,t,c represents the number of forward citations (the document receives after published) of the focal citable document.
Independent variable. National digital competency (NDC) is measured based on the digital competency ranking data from the IMD World Competency Yearbook, which offers a comprehensive estimation of the digital and technological level of each nation country by combining statistical and survey data.
Moderating Variables. We draw institutional data from the Global Economy database. The quality of the administration system is measured as Government effectiveness index from the Global Economy Database. This measure captures the quality of public services, the quality of the civil service and the degree of its independence from political pressures, the quality of policy formulation and implementation, and the credibility of the government’s commitment to such policies. Regarding the quality of the legal system, we employ the rule of law index from the same database. This indicator captures perceptions of the extent to which agents have confidence in and abide by the rules of society, the quality of contract enforcement, property rights, the police, and the courts, as well as the likelihood of crime and violence. To capture the quality of market freedom, we use the business freedom index from the Global Economy database constructing this measure based on the World Bank’s Doing Business study. Lastly, the disparity of economic development is measured as the uneven economic development index from the Global Economy database.
Control Variables. The research can be affected by the overall innovation environment. Therefore, we used the innovation index of a nation from the Global Economy database. The Global Economy database measured the innovation index (country level) using data from Cornell University, INSEAD, and the World Intellectual Property Organization, which provide an innovation index that comprehensively captures each country’s quality of institutions, human capital and research, infrastructure, and market and business sophistication. We use the World Bank’s gross domestic product (GDP) data as our control variable. Economic level has been cited as an indicator of digital technologies in healthcare [42]. We also controlled for policy instruments that might have influenced the quality and application of the research. Based on the IMD National Competitiveness Data, we controlled for the nations’ government protectionism and scientific research legislation (laws relating to scientific research encourage innovation). The IMD also offers the measure of health infrastructure, the degree to which it meets the social needs of the focal society, of each nation. We also control the degree of globalization that may facilitate the innovative research in medicine and political rights index that can potentially influence the credibility of governmental policy. We also control for the portion of the services sector that can affect the business activities in the healthcare industry. Appendix A provides detailed information for variable descriptions regarding measurement and source.

3.3. Models

Using unbalanced panel data, we employed a fixed-effect regression model to investigate the effect of national digital competency on the innovativeness of medical research in vital areas and moderating effects delivered by various environmental factors. To control unobserved heterogeneity, we employed a fixed-effects regression model instead of a random-effects model based on the Hausman test [56]. We considered the time lag (two years) between the dependent and independent variables with consideration because the bibliometric information (documents and citations) includes the past two years.
(1)
IMR1 (S, P, O, I) i,t+2 = α0i + α1Natioanl digital competency (NDC) i,t +.
α2Controls i,t + ei,t
(2)
IMR 1 (S, P, O, I) i,t+3 = β0i + β1Natioanl digital competency (NDC) i,t +. β2Natioanl digital competency (NDC) x Institutional environment factors
Β3Controls i,t + ei,t
where α0i represents country fixed effects and ei,t is the random error. IMR (S), IMR (P), IMR (O), and IMR (I) refer to the innovativeness of medical research in Surgery, Pediatrics, Perinatology and Child Health, Obstetrics and Gynecology, and Internal Medicine, respectively.

4. Results

Table 2 and Table 3 present the descriptive statistics and correlation matrices, respectively. Considering space limitations, we used an abbreviated name of each variable for the correlation matrix. The summary statistics indicated that national digital competency (NDC) was positively correlated with forward citations per document in all vital fields, including Surgery (ρ = 0.30, p < 0.05), Pediatrics, Perinatology, Child Health (ρ = 0.21, p < 0.05), Obstetrics and Gynecology (ρ = 0.20, p < 0. 5), and Internal Medicine (ρ = 0.30, p < 0.05). The relatively high correlation among dependent variables could be attributed to their academic relatedness. However, no dependent variable is used in the same regression equation, and hence, multicollinearity was not a major concern in analyses.
Table 4 demonstrate the results of the main effect. Hypothesis 1 predicts that NDC will have a positive impact on the innovativeness of medical research in the field of the vital area. In Table 4, there are positive coefficients of Model 1 (β = 3.664, p < 0.001), Model 3 (β = 3.826, p < 0.01), Model 5 (β = 3.403, p < 0.05), and Model 7 (β = 5.148, p < 0.01), providing support for Hypothesis 1 with the baseline regression model. These results indicate that a national digital capability positively influences research performance in vital areas. These results are held after employing full model regression in Model 2 (β = 2.449, p < 0.05), Model 4 (β = 2.606, p < 0.05), Model 6 (β = 1.841, p < 0.05), and Model 8 (β = 3.251, p < 0.01).
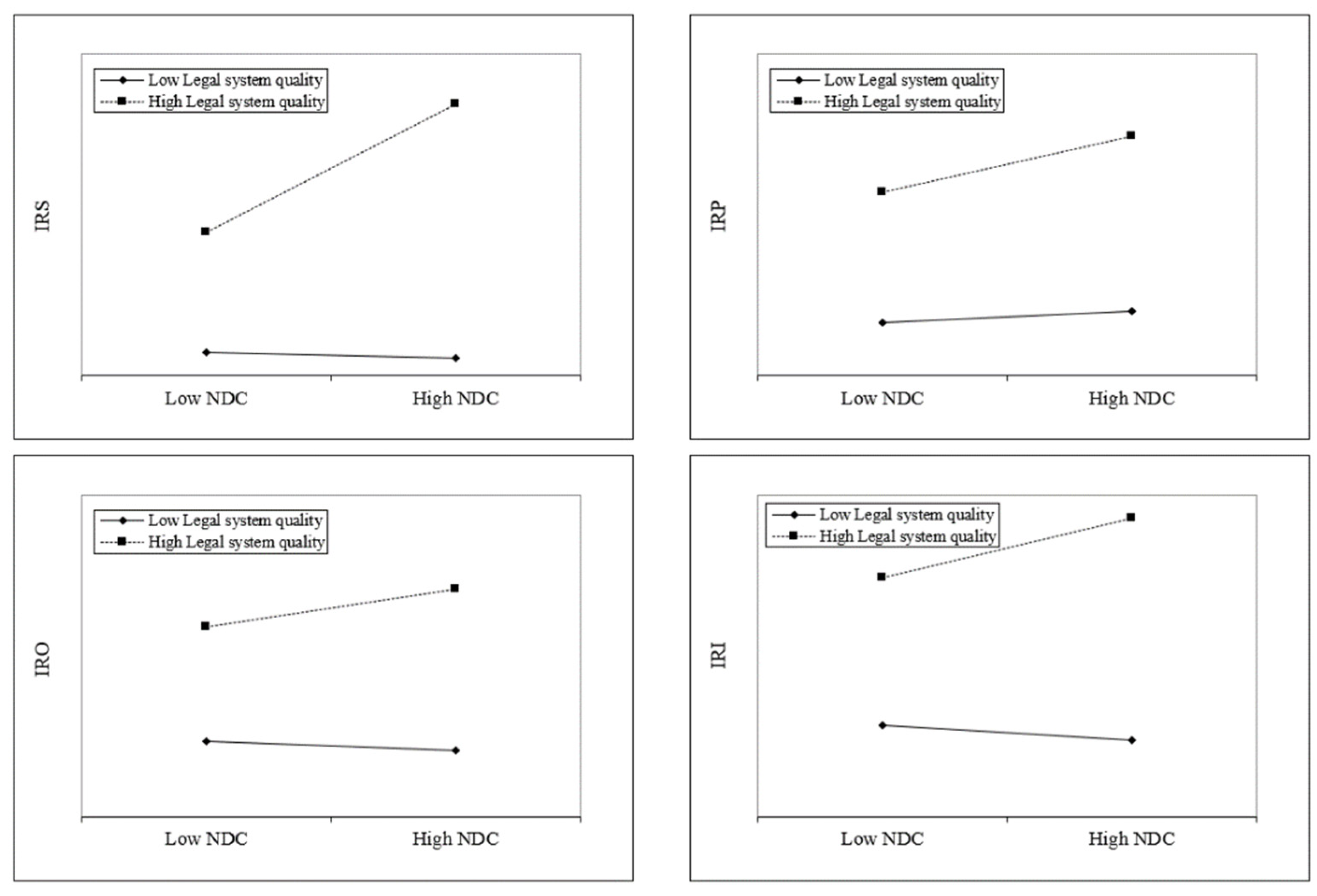
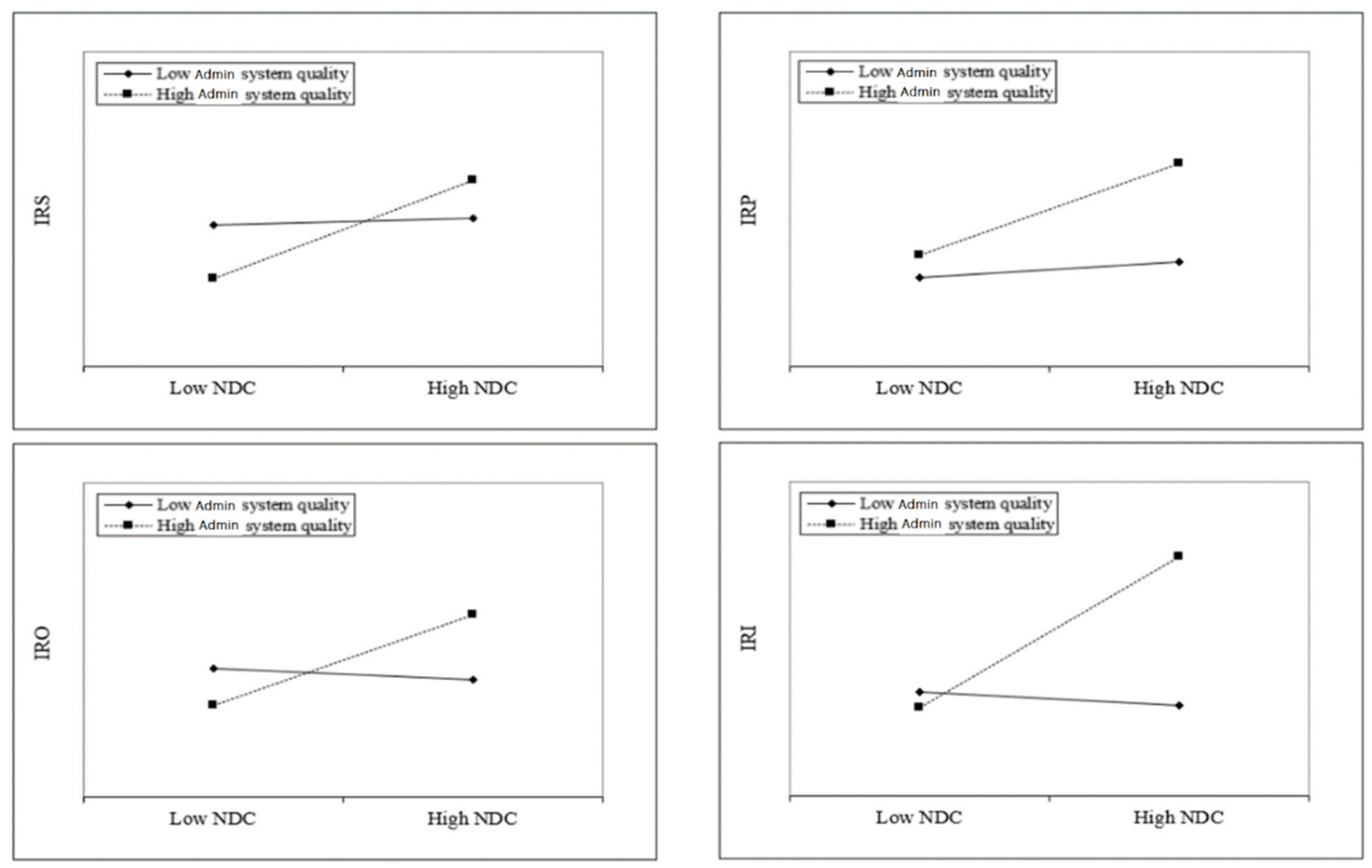
Next, we shift our attention to investigate how the main effect is moderated by various institutional variables. Hypothesis 2a posits that the quality of administration will enhance the positive impact of NDC on innovativeness of medical research. In Table 5, the positive coefficients of Model 2 (β = 3.052, p < 0.001), Model 4 (β = 2.531, p < 0.01), Model 6 (β = 3.359, p < 0.01), and Model 8 (β = 5.482, p < 0.001) provide support for Hypothesis 2a. Figure 2 provides a plot to understand these results. The plot indicates that the impact of national digital competency (NDC) on the innovativeness of medical research is contingent on the quality of the administration system.
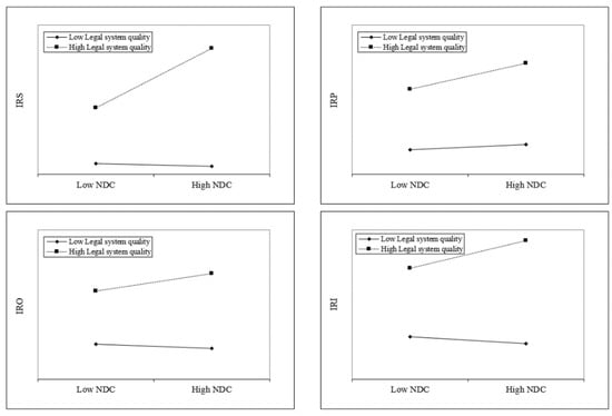
Hypothesis 2b predicts that quality of the legal system will strengthen the positive effect of NDC on the innovativeness of medical research. In Table 6, the positive coefficients of Model 2 (β = 2.661, p < 0.001), Model 4 (β = 1.668, p < 0.05), Model 6 (β = 2.641, p < 0.00), and Model 8 (β = 4.720, p < 0.001) offer support for Hypothesis 2b. To aid in understanding these results, we plotted the interaction effects in Figure 3. The slope of the high administration system quality line changes steeply over the high vs. low NDC in the areas of Surgery (IRS) and Obstetrics and Gynecology (IRO), which are more strongly moderated than the others.
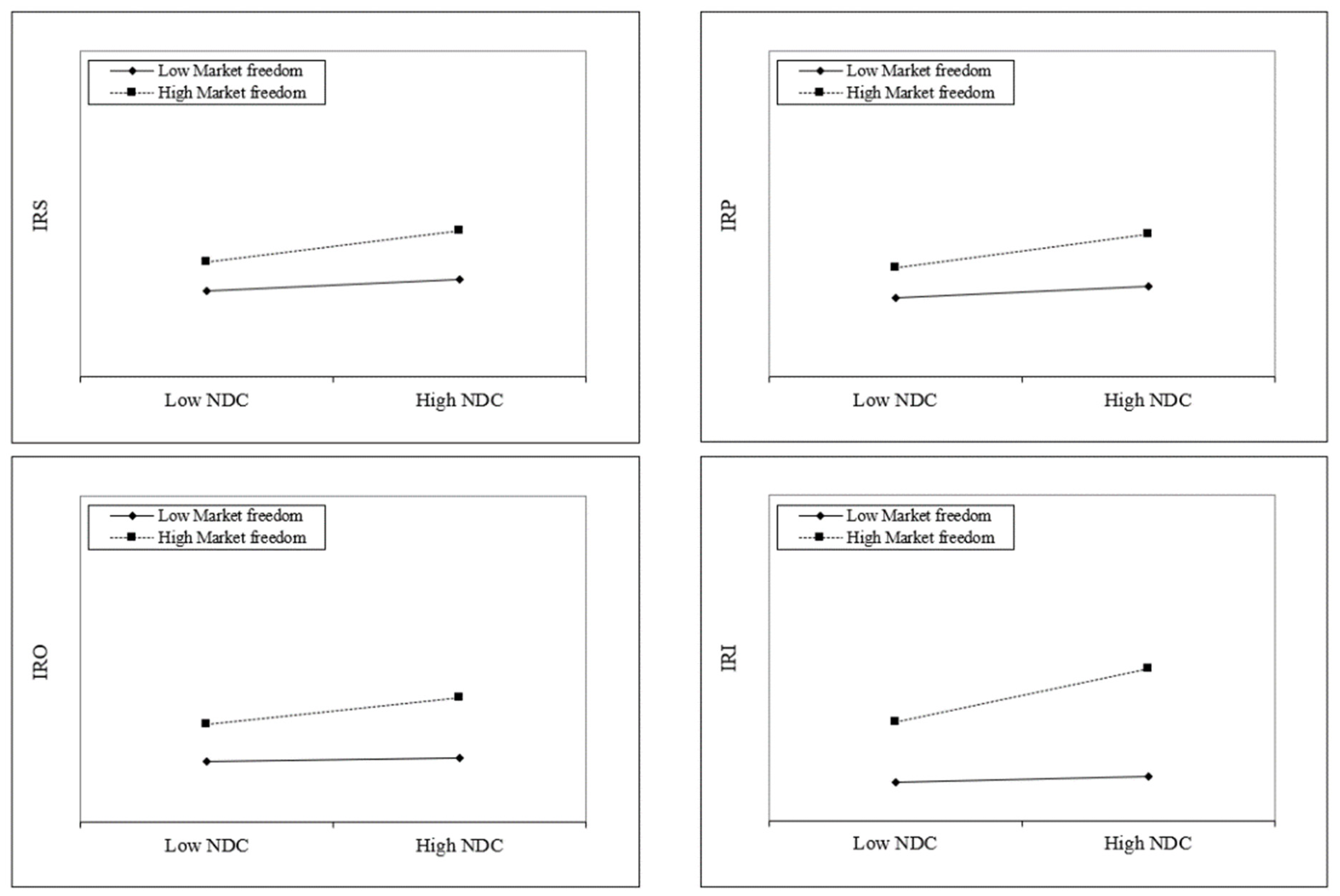
Hypothesis 3a postulates that market freedom will augment the positive impact of NDC on the innovativeness of medical research. In Table 7, the positive coefficients of Model 2 (β = 0.089, p < 0.05), Model 4 (β = 0.095, p < 0.05), Model 6 (β = 0.101, p < 0.05), and Model 8 (β = 0.218, p < 0.01) provide support for Hypothesis 3a. Figure 4 offers a plot to understand these results, and the slope of the high market freedom line increases steeply over the high vs. low NDC in the area of Internal Medicine (IRI) compared with the others.
Hypothesis 3b anticipates that disparity in the economic development system will diminish the positive effect of NDC on the innovativeness of medical research. In Table 8, the negative coefficients of Model 2 (β = −0.702, p < 0.05) and Model 8 (β = −1.274, p < 0.01) offer partial support for Hypothesis 3b. To help in understanding these results, we plotted the interaction effects in Figure 5.

5. Discussion and Conclusions

5.1. Summary and Implications

As seen in the COVID-19 crisis, the development and utilization of digital technologies in medicine is becoming a global issue, not just a matter of individual hospitals or companies. However, while the usage of digital technologies for medical purposes has been studied in various fields including medicine, engineering, and business, the predominant interests of existing studies have been the quality of medical services, data management, and interests of individual institutions in the ecosystem, with micro-level perspectives. The main purpose of our study is to expand interest in digital competency and medical research to the national-level perspective.
Accelerated by the COVID-19 pandemic, the development of digital technology has provided significant benefits. Our study used data from 63 nations to demonstrate that digital competency positively impacts the innovativeness of medical research in vital areas: Surgery, Pediatrics, Perinatology, Child Health, Obstetrics and Gynecology, and Internal Medicine, and we discuss how this association varies in different institutional environments. This is an important finding for medical research because producing innovative results is critical to the sustainable progress of the field. In addition, our analysis provides several insights into the use of digital technologies for medical research, which is meaningful to researchers, practitioners, and policymakers.
First, while we find a positive association between digital competency and innovativeness in medical research, the benefit of digital competency is notably contingent upon different types of institutional environments. The institutional environment likely modulates the positive impact of digital competency on the innovativeness of medical research. While the quality of administration, legal system, and market liberalization strengthen the main effect, the disparity in economic development alleviates the positive impact of digital competency. When a new technology brings about a macro-level socioeconomic change, how much and in what direction it is affected by institutional influence is a significant concern for innovation and institutional perspectives. As innovative medical research is an important criterion for determining digital health systems, it has received many institutional benefits or constraints. Our study provides a more detailed picture of the important institutional factors in medical research by suggesting two dimensions of the institutional environment—the government’s executive capacity and the economic system—and their impact.
Second, despite explicit benefits, the rapid adoption of new technologies may result in unintended or unexpected side effects. For example, economic inequality within the same country significantly reduces the positive impact of digital capabilities. This is because it implies the development and a distribution gap. In other words, although digital technology can facilitate the development of medical research, the benefits are not evenly distributed across people or regions. Consequently, many researchers focus on health inequality arising from the increased use of digital technology in medicine [3,39]. In other words, although the medical benefits significantly increase with digital technology for individuals (or groups) with the accessibility and ability to utilize such technology, for the remaining individuals (or groups), this change may leave them far behind where they are less likely to leverage these benefits. Hence, future studies can recognize this health inequality and develop digital health technologies to solve social problems.
The third important implication is for policymakers and institutions. Our findings support the most vital areas of medicine, but different results were obtained for some regions. For example, Pediatrics, Perinatology, Child Health, Obstetrics and Gynecology are unaffected by economic disparities. This could mean the system weakly affects children’s health or important health issues such as cancer. Therefore, these blind spots should be carefully considered when designing a system.
As seen during the COVID-19 pandemic, if a global infectious disease such as a pandemic re-emerges, ultimately, the collective intelligence through research collaboration can make an effective global response the key to cope with the crisis. Countries that adhere to closed systems may be able to keep their distance from some issues that can be potentially problematic, but they will be excluded from many of the great benefits that those collaborations will bring. To make those collaborations effective and efficient, in-depth understanding of the digital competency and institutional environment of individual countries must be a precedent. Our study empirically demonstrates that digital competency is conducive to the innovativeness of medical research at the country level. However, sophisticated design for the institutional environment must be concurrently considered to maximize its positive impact.

5.2. Limitations and Suggestions for Future Research

Our study has several limitations. Although it measured the innovativeness of medical research using established measures, due to the intrinsic characteristics of medicine, experimentations, services, and practices are critical to realizing the innovativeness of new knowledge. There can be limitations in accurately reflecting the degree of innovativeness using a document-based measure. Future research could conduct an in-depth analysis to investigate how innovative publications are utilized in digital health systems.
The scope of the medical research used in this study can be extended. Although this is important because of its direct linkage to mortality, recent medical services and practices require extensive cooperation within medicine, such as anesthesiology or radiology, and across other fields, such as material and biomedical engineering. Hence, further studies should be conducted using more comprehensive data. In addition, while we use the simple slope analysis to depict our moderating effects due to the methodological limitation, future study can employ more sophisticate analysis techniques to investigate the detailed mechanisms of moderating effects.

Author Contributions

W.S.: conceptualization, methodology, writing—original draft, writing—review & editing, formal analysis, visualization, B.C.: conceptualization, methodology, writing—original draft, writing—review and editing, formal analysis, visualization. All authors have read and agreed to the published version of the manuscript.

Funding

This research was funded by CHA Bundang Medical Center, CHA University. This work was supported by Hankuk University of Foreign Studies research fund.

Data Availability Statement

The data that support the findings of this study are available upon reasonable request from the authors.

Conflicts of Interest

The authors declare no conflict of interest.

Appendix A. Variable Description and Summary

Variable NameMeasurementDatabase
Dependent variables
Innovativeness of Research in Surgery
  • The ratio of the total number of published and citable documents in the focal country for each of vital areas in medicine to total number of forward citations that those documents received.
  • Reference: https://www.scimagojr.com/, (accessed on 11 October 2022).
Journal and Country Rank from Scimago
Innovativeness of Research in Pediatrics, Perinatology and Child Health
Innovativeness of Research in Obstetrics and Gynecology
Innovativeness of Research in Internal Medicine
Independent variable
National digital capacityInternational Institute for Management Development (IMD) Digital Competitiveness
Moderating variables
Quality of administration system
  • The index of government effectiveness captures perceptions of the quality of public services, the quality of the civil service and the degree of its independence from political pressures, the quality of policy formulation and implementation, and the credibility of the government’s commitment to such policies (GED website description)
  • Measure: point (−2.5 to +2.5)
  • Raw data source: The World Bank
  • Reference: https://www.theglobaleconomy.com/, (accessed on 11 October 2022)
Global Economy Database (GED)
Quality of legal system
  • The index for Rule of Law of GED. It captures perceptions of the extent to which agents have confidence in and abide by the rules of society, and in particular the quality of contract enforcement, property rights, the police, and the courts (GED website description)
  • Measure: point (−2.5 to +2.5)
  • Raw data source: The World Bank
  • Reference: https://www.theglobaleconomy.com/, (accessed on 11 October 2022)
Market freedom
  • The business freedom index of GED. It is based on 10 indicators, using data from the World Bank’s Doing Business study: Starting a business—procedures (number), time (days), cost (% of income per capita), and minimum capital (% of income per capita); Obtaining a license—procedures (number), time (days), and cost (% of income per capita); Closing a business—time (years), cost (% of estate), and recovery rate (cents on the dollar). (GED website description)
  • Measure: point (0–100)
  • Raw data source: The Heritage Foundation
  • Reference: https://www.theglobaleconomy.com/, (accessed on 11 October 2022)
Disparity of economic development
  • The uneven economic development index of the GED. It considers inequality within the economy, irrespective of the actual performance of an economy. The higher the value of the index, the higher the inequality in the country’s economy (GED website description)
  • Measure: point (0–10)
  • Raw data source: Fund for Peace
  • Reference: https://www.theglobaleconomy.com/, (accessed on 11 October 2022)
Control variables
Innovation index
  • The Global Innovation Index includes two sub-indices: the Innovation Input Sub-Index and the Innovation Output Sub-Index. The first sub-index is based on five pillars: Institutions, Human capital and research, Infrastructure, Market sophistication, and Business sophistication. The second sub-index is based on two pillars: Knowledge and technology outputs and Creative outputs. Each pillar is divided into sub-pillars and each sub-pillar is composed of individual indicators (GED website description)
  • Measure: point (0–100)
  • Raw data source: Cornell University, INSEAD, and the World Intellectual Property Organization (WIPO)
  • Reference: https://www.theglobaleconomy.com/, (accessed on 11 October 2022)
Global Economy Database (GED)
Political rights index
  • Reference: https://www.theglobaleconomy.com/, (accessed on 11 October 2022)
  • Score ratings from the Freedom House evaluate three categories: electoral process, political pluralism and participation, and the functioning of government indicators (GED website description).
  • Measure: point (1–7)
  • Raw data source: The Freedom House
  • Reference: https://www.theglobaleconomy.com/, (accessed on 11 October 2022)
Globalization index
  • Globalization index of GED. It covers the economic, social, and political dimensions of globalization. Higher values denote greater globalization.
  • Measure: point (0–100)
  • Raw data source: The Swiss Institute of Technology
  • Reference: https://www.theglobaleconomy.com/, (accessed on 11 October 2022)
Services sector value-adding
  • Services correspond to International Standard Industrial Classification (ISIC) divisions 50–99. Value added is the net output of a sector after adding up all outputs and subtracting intermediate inputs. It is calculated without making deductions for the depreciation of fabricated assets or depletion and degradation of natural resources (GED website description)
  • Measure: percent
  • Raw data source: The World Bank
  • Reference: https://www.theglobaleconomy.com/, (accessed on 11 October 2022)
Gross domestic product
  • Standard measure of the value added created through the production of goods and services in a country during a certain period
  • Reference: https://data.worldbank.org/, (accessed on 11 October 2022)
Science research legislationIMD national competitiveness
Health infrastructure

References

  1. Ting, D.S.W.; Carin, L.; Dzau, V.; Wong, T.Y. Digital technology and COVID-19. Nat. Med. 2020, 26, 459–461. [Google Scholar] [CrossRef] [PubMed]
  2. Tan, R.K.J.; Wu, D.; Day, S.; Zhao, Y.; Larson, H.J.; Sylvia, S.; Tang, W.; Tucker, J.D. Digital approaches to enhancing community engagement in clinical trials. NPJ Digit. Med. 2022, 5, 37. [Google Scholar] [CrossRef] [PubMed]
  3. Inan, O.T.; Tenaerts, P.; Prindiville, S.A.; Reynolds, H.R.; Dizon, D.S.; Cooper-Arnold, K.; Turakhia, M.; Pletcher, M.J.; Preston, K.L.; Krumholz, H.M.; et al. Digitizing clinical trials. NPJ Digit. Med. 2020, 3, 101. [Google Scholar] [CrossRef] [PubMed]
  4. Steinhubl, S.R.; Wolff-Hughes, D.L.; Nilsen, W.; Iturriaga, E.; Califf, R.M. Digital clinical trials: Creating a vision for the future. NPJ Digit. Med. 2019, 2, 126. [Google Scholar] [CrossRef] [PubMed]
  5. Rosa, C.; Marsch, L.A.; Winstanley, E.L.; Brunner, M.; Campbell, A.N. Using digital technologies in clinical trials: Current and future applications. Contemp. Clin. Trials 2021, 100, 106219. [Google Scholar] [CrossRef] [PubMed]
  6. Jenssen, B.P.; Mitra, N.; Shah, A.; Wan, F.; Grande, D. Using Digital Technology to Engage and Communicate with Patients: A Survey of Patient Attitudes. J. Gen. Intern. Med. 2016, 31, 85–92. [Google Scholar] [CrossRef]
  7. Devine, K.A.; Viola, A.S.; Coups, E.J.; Wu, Y.P. Digital health interventions for adolescent and young adult cancer survivors. JCO Clin. Cancer Inform. 2018, 2, 1–15. [Google Scholar] [CrossRef]
  8. Roberts, A.L.; Fisher, A.; Smith, L.; Heinrich, M.; Potts, H.W.W. Digital health behaviour change interventions targeting physical activity and diet in cancer survivors: A systematic review and meta-analysis. J. Cancer Surviv. 2017, 11, 704–719. [Google Scholar] [CrossRef]
  9. Fallahzadeh, R.; Rokni, S.A.; Ghasemzadeh, H.; Soto-Perez-De-Celis, E.; Shahrokni, A. Digital health for geriatric oncology. JCO Clin. Cancer Inform. 2018, 2, 1–12. [Google Scholar] [CrossRef]
  10. Demirkan, H. A Smart Healthcare Systems Framework. IT Prof. 2013, 15, 38–45. [Google Scholar] [CrossRef]
  11. Dong, H.; Hussain, F.K.; Chang, E. A framework for discovering and classifying ubiquitous services in digital health ecosystems. J. Comput. Syst. Sci. 2011, 77, 687–704. [Google Scholar] [CrossRef]
  12. Schiavone, F.; Mancini, D.; Leone, D.; Lavorato, D. Digital business models and ridesharing for value co-creation in healthcare: A multi-stakeholder ecosystem analysis. Technol. Forecast. Soc. Chang. 2021, 166, 120647. [Google Scholar] [CrossRef]
  13. Hermes, S.; Riasanow, T.; Clemons, E.K.; Böhm, M.; Krcmar, H. The digital transformation of the healthcare industry: Exploring the rise of emerging platform ecosystems and their influence on the role of patients. Bus. Res. 2020, 13, 1033–1069. [Google Scholar] [CrossRef]
  14. Frow, P.; McColl-Kennedy, J.R.; Payne, A. Co-creation practices: Their role in shaping a health care ecosystem. Ind. Mark. Manag. 2016, 56, 24–39. [Google Scholar] [CrossRef]
  15. Dedeilia, A.; Esagian, S.M.; Ziogas, I.A.; Giannis, D.; Katsaros, I.; Tsoulfas, G. Pediatric surgery during the COVID-19 pandemic. World J. Clin. Pediatr. 2020, 9, 7–16. [Google Scholar] [CrossRef] [PubMed]
  16. Donnelly, M.; McDonagh, M. Health research, consent and the GDPR exemption. Eur. J. Health Law 2019, 26, 97–119. [Google Scholar] [CrossRef] [PubMed]
  17. Rumbold, J.M.M.; Pierscionek, B. The effect of the general data protection regulation on medical research. J. Med. Internet Res. 2017, 19, e7108. [Google Scholar] [CrossRef] [PubMed]
  18. Chassang, G. The impact of the EU general data protection regulation on scientific research. Ecancermedicalscience 2017, 11, 709. [Google Scholar] [CrossRef]
  19. Salman, R.; Beller, E.; Kagan, J.; Hemminki, E.; Phillips, R.S.; Savulescu, J.; Macleod, M.; Wisely, J.; Chalmers, I. Increasing value and reducing waste in biomedical research regulation and management. Lancet 2014, 383, 176–185. [Google Scholar] [CrossRef]
  20. Ting, D.; Lin, H.; Ruamviboonsuk, P.; Wong, T.; Sim, D. Artificial intelligence, the internet of things, and virtual clinics: Ophthal mology at the digital translation forefront. Lancet Digit. Health 2019, 2, E8–E9. [Google Scholar] [CrossRef]
  21. Shilo, S.; Rossman, H.; Segal, E. Axes of a revolution: Challenges and promises of big data in healthcare. Nat. Med. 2020, 26, 29–38. [Google Scholar] [CrossRef] [PubMed]
  22. LeCun, Y.; Bengio, Y.; Hinton, G. Deep learning. Nature 2015, 521, 436–444. [Google Scholar] [CrossRef] [PubMed]
  23. Heaven, D. Bitcoin for the biological literature. Nature 2019, 566, 141–142. [Google Scholar] [CrossRef] [PubMed]
  24. Murthy, V.H.; Krumholz, H.M.; Gross, C.P. Participation in cancer clinical trials. JAMA 2004, 291, 2720–2726. [Google Scholar] [CrossRef] [PubMed]
  25. Anderson, D. Digital R&D: Four Ways to Maximize Patient Engagement in Clinical Trials, Deloitte Consulting LLP. 2018. Available online: https://www2.deloitte.com/us/en/blog/health-care-blog/2018/digital-rd-four-ways-to-maximize-patient-engagement-in-clinical-trials.html (accessed on 7 October 2022).
  26. Chen, M.; Wang, R.; Zhou, Y.; He, Z.; Liu, X.; He, M.; Wang, J.; Huang, C.; Zhou, H.; Hong, P.; et al. Digital medical education empowered by intelligent fabric space. Natl. Sci. Open 2022, 1, 10. [Google Scholar] [CrossRef]
  27. North, D.C. Institutions, Institutional Change and Economic Performance; Cambridge University Press: Cambridge, UK, 1990. [Google Scholar]
  28. Powell, W.W.; DiMaggio, P. (Eds.) The New Institutionalism in Organizational Analysis; University of Chicago Press: Chicago, IL, USA, 1991; pp. 183–203. [Google Scholar]
  29. Scott, W.R. Institutional Theory: Contributing to a Theoretical Research Program. In Great Minds in Management: The Process of Theory Development; Smith, K.G., Hitt, M.A., Eds.; Oxford University Press: New York, NY, USA, 2005; pp. 460–484. [Google Scholar]
  30. Kruse, C.; Betancourt, J.; Ortiz, S.; Luna, S.M.V.; Bamrah, I.K.; Segovia, N. Barriers to the use of mobile health in improving health outcomes in developing countries: Systematic review. J. Med. Internet Res. 2019, 21, e13263. [Google Scholar] [CrossRef]
  31. Mahmood, S.; Hasan, K.; Carras, M.C.; Labrique, A. Global preparedness against COVID-19: We must leverage the power of digital health. JMIR Public Health Surveill. 2020, 6, e18980. [Google Scholar] [CrossRef]
  32. Dadaczynski, K.; Okan, O.; Messer, M.; Leung, A.Y.M.; Rosário, R.; Darlington, E.; Rathmann, K. Digital Health Literacy and Web-Based Information-Seeking Behaviors of University Students in Germany during the COVID-19 Pandemic: Cross-sectional Survey Study. J. Med. Internet Res. 2021, 23, e24097. [Google Scholar] [CrossRef]
  33. Fagherazzi, G.; Goetzinger, C.; Rashid, M.A.; Aguayo, G.A.; Huiart, L. Digital Health Strategies to Fight COVID-19 Worldwide: Challenges, Recommendations, and a Call for Papers. J. Med. Internet Res. 2020, 22, e19284. [Google Scholar] [CrossRef]
  34. Zahra, S.A.; Ireland, R.D.; Gutierrez, I.; Hitt, M.A. Privatization and Entrepreneurial Transformation: Emerging Issues and a Future Research Agenda. Acad. Manag. Rev. 2000, 25, 524. [Google Scholar] [CrossRef]
  35. Park, S.H.; Li, S.; Tse, D.K. Market Liberalization and Firm Performance during China’s Economic Transition. J. Int. Bus. Stud. 2006, 37, 127–147. [Google Scholar] [CrossRef]
  36. La Porta, R.; Lopez-De-Silanes, F.; Shleifer, A.; Vishny, R. Legal Determinants of External Finance. J. Financ. 1997, 52, 1150. [Google Scholar] [CrossRef]
  37. Gang, K.W.; Woo, H.G.; Lee, C. The Transformation of Ownership Structure and Changes in Principal-Principal Conflicts: Evidence from Corporate Governance Reforms in South Korea. Int. J. Corp. Gov. 2018, 8, 281–301. [Google Scholar]
  38. Kim, H.; Kim, H.; Hoskisson, R.E. Does Market-Oriented Institutional Change in an Emerging Economy Make Business-Group-Affiliated Multinationals Perform Better? An Institution-Based View. J. Int. Bus. Stud. 2010, 41, 1141–1160. [Google Scholar] [CrossRef]
  39. Noonan, D.; Simmons, L.A. Navigating nonessential research trials during COVID-19: The push we needed for using digital technology to increase access for rural participants? J. Rural. Health 2021, 37, 185. [Google Scholar] [CrossRef] [PubMed]
  40. Young, L.; Barnason, S.; Do, V. Review Strategies to Recruit and Retain Rural Patient Participating Self-management Behavioral Trials. Online J. Rural Res. Policy 2015, 10, 1–12. [Google Scholar] [CrossRef]
  41. Unger, J.M.; Moseley, A.; Symington, B.; Chavez-MacGregor, M.; Ramsey, S.D.; Hershman, D.L. Geographic Distribution and Survival Outcomes for Rural Patients With Cancer Treated in Clinical Trials. JAMA Netw. Open 2018, 1, e181235. [Google Scholar] [CrossRef]
  42. Yamin, C.K.; Emani, S.; Williams, D.H.; Lipsitz, S.R.; Karson, A.S.; Wald, J.S.; Bates, D.W. The Digital Divide in Adoption and Use of a Personal Health Record. Arch. Intern. Med. 2011, 171, 568–574. [Google Scholar] [CrossRef]
  43. Eruchalu, C.N.; Pichardo, M.S.; Bharadwaj, M.; Rodriguez, C.B.; Rodriguez, J.A.; Bergmark, R.W.; Bates, D.W.; Ortega, G. The Expanding Digital Divide: Digital Health Access Inequities during the COVID-19 Pandemic in New York City. J. Urban Health 2021, 98, 183–186. [Google Scholar] [CrossRef]
  44. Cheung, H.Y.; Chan, A.W. Increasing the competitive positions of countries through employee training: The competency motive across 33 countries. Int. J. Manpow. 2012, 33, 144–158. [Google Scholar] [CrossRef]
  45. Ciocanel, A.B.; Pavelescu, F.M. Innovation and competitiveness in European context. Procedia Econ. Financ. 2015, 32, 728–737. [Google Scholar] [CrossRef]
  46. Fonseca, L.M.; Lima, V.M. Countries three wise men: Sustainability, innovation, and competitiveness. J. Ind. Eng. Manag. 2015, 8, 1288–1302. [Google Scholar] [CrossRef]
  47. Butler, D. Free journal-ranking tool enters citation market. Nature 2008, 451, 6. [Google Scholar] [CrossRef] [PubMed]
  48. El-Azami-El-Idrissi, M.; Lakhdar-Idrissi, M.; Ouldim, K.; Bono, W.; Amarti-Riffi, A.; Hida, M.; Nejjari, C. Improving medical research in the Arab world. Lancet 2013, 382, 2066–2067. [Google Scholar] [CrossRef] [PubMed]
  49. Choi, B.; Kumar, M.V.S.; Zambuto, F. Capital structure and innovation trajectory: The role of debt in balancing Exploration and exploitation. Organ. Sci. 2016, 27, 1183–1201. [Google Scholar] [CrossRef]
  50. Gavetti, G.; Levinthal, D. Looking forward and looking backward: Cognitive and experiential search. Adm. Sci. Q. 2000, 45, 113–137. [Google Scholar] [CrossRef]
  51. Phene, A.; Fladmoe-Lindquist, K.; Marsh, L. Breakthrough innovations in the US biotechnology industry: The effects of technological space and geographic origin. Strateg. Manag. J. 2006, 27, 369–388. [Google Scholar] [CrossRef]
  52. Rosenkopf, L.; Nerkar, A. Beyond local search: Boundary-spanning, exploration, and impact in the optical disk industry. Strateg. Manag. J. 2001, 22, 287–306. [Google Scholar] [CrossRef]
  53. Alvesson, M.; Sandberg, J. Has management studies lost its way? Ideas for more imaginative and innovative research. J. Manag. Stud. 2013, 50, 128–152. [Google Scholar] [CrossRef]
  54. Kaplan, S.; Vakili, K. The double-edged sword of recombination in breakthrough innovation. Strat. Manag. J. 2015, 36, 1435–1457. [Google Scholar] [CrossRef]
  55. Fleming, L.; Sorenson, O. Science as a map in technological search. Strat. Manag. J. 2004, 25, 909–928. [Google Scholar] [CrossRef]
  56. Wooldridge, J.M. Econometric Analysis of Cross Section and Panel Data; MIT Press: Cambridge, MA, USA, 2010. [Google Scholar]
Figure 1. Conceptual Framework.
Figure 1. Conceptual Framework.
Sustainability 14 16887 g001
Figure 2. Moderating Effect of Administration System Quality.
Figure 2. Moderating Effect of Administration System Quality.
Sustainability 14 16887 g002
Figure 3. Moderating Effect of Legal System Quality.
Figure 3. Moderating Effect of Legal System Quality.
Sustainability 14 16887 g003
Figure 4. Moderating Effect of Market Freedom.
Figure 4. Moderating Effect of Market Freedom.
Sustainability 14 16887 g004
Figure 5. Moderating Effect of Disparity in Economic Development.
Figure 5. Moderating Effect of Disparity in Economic Development.
Sustainability 14 16887 g005
Table 1. The 63 countries by regional classification.
Table 1. The 63 countries by regional classification.
Europe (33)America (10)Asia and Pacific (14)
AustriaLithuaniaArgentinaChina
BelgiumLuxembourgAustraliaHong Kong
BulgariaNetherlandsBrazilIndia
CroatiaNorwayCanadaIndonesia
CyprusPolandChileJapan
Czechia.PortugalColombiaKazakhstan
DenmarkRomaniaMexicoMalaysia
EstoniaRussiaPeruMongolia
FinlandSlovakiaUSANew Zealand
FranceSloveniaVenezuelaPhilippines
GermanySpainMiddle East (5)Singapore
GreeceSwedenIsraelSouth Korea
HungarySwitzerlandJordanTaiwan
IcelandTurkeyQatarThailand
IrelandUkraineSaudi ArabiaAfrica (1)
ItalyUnited KingdomUAESouth Africa
Latvia
Table 2. Descriptive statistics.
Table 2. Descriptive statistics.
Variables DescriptionAbbreviationMeanS.D.MinMax
Innovativeness of Research in Surgery IRS6.815.880.1057.17
Innovativeness of Research in Pediatrics, Perinatology and Child Health IRP6.746.020.2543.33
Innovativeness of Research in Obstetrics and Gynecology IRO7.967.190.0039.25
Innovativeness of Research in Internal Medicine IRI11.629.810.3263.60
National digital competencyNDC7.300.974.679.47
Quality of administration systemQAS0.910.74−1.172.23
Quality of legal systemQLS0.810.89−1.912.12
Market freedomMF76.0812.5037.00100.0
Disparity of economic developmentDED4.181.800.708.10
Innovation indexII46.699.8625.7068.40
Political rights indexPRI2.121.721.007.00
Globalization indexGI78.688.2953.2191.31
Services sector value-addingSBA60.728.4930.3288.70
Gross domestic product aGDP5.901.502.489.93
Science research legislationSRP5.371.581.818.43
Health infrastructureHI5.832.020.869.25
N = 341; a logarithm
Table 3. Correlation.
Table 3. Correlation.
IRSIRPIROIRIDCQASQLSMF
IRS1.00
IRP0.681.00
IRO0.720.611.00
IRI0.730.720.681.00
DC0.300.210.200.301.00
QAS0.210.160.090.260.581.00
QLS0.210.180.110.280.540.961.00
MF0.250.220.190.310.390.750.751.00
DED−0.10−0.02−0.04−0.10−0.39−0.74−0.77−0.60
II0.220.160.120.250.510.890.880.69
PRI−0.16−0.14−0.10−0.16−0.17−0.41−0.51−0.30
GI0.160.120.130.200.370.740.790.59
SBA0.090.060.030.120.320.590.590.50
GDP−0.15−0.14−0.20−0.110.120.190.120.06
SRP0.110.080.000.170.570.800.760.59
HI0.100.070.020.160.500.800.740.56
DEDIIPRIGISBAGDPSRPHI
UED1.00
II−0.701.00
PRI0.46−0.461.00
GI−0.740.76−0.571.00
SBA−0.470.62−0.420.541.00
GDP0.020.280.040.050.161.00
SRP−0.490.76−0.090.500.460.321.00
HI−0.620.70−0.170.590.470.290.731.00
All correlations with magnitude > |0.1| are significant at the 0.05 level.
Table 4. Fixed-Effect Regression of National Digital Competency (NDC) on Innovativeness of Medical Research Vital Performance.
Table 4. Fixed-Effect Regression of National Digital Competency (NDC) on Innovativeness of Medical Research Vital Performance.
VariablesSurgeryPediatrics, Perinatology and Child HealthObstetrics and GynecologyInternal Medicine
Model 1Model 2Model 3Model 4Model 5Model 6Model 7Model 8
NDC3.664 ***2.449 ***3.826 ***2.606 ***3.403 ***1.841 *5.148 ***3.251 **
(0.674)(0.646)(0.695)(0.684)(0.808)(0.794)(1.118)(1.104)
II 0.500* 0.671 ** 0.410 0.886 *
(0.213) (0.225) (0.261) (0.363)
PRI 0.282 1.228 −1.085 −0.230
(1.207) (1.278) (1.484) (2.061)
GI −2.043 *** −1.466 *** −2.007 *** −1.874 ***
(0.329) (0.348) (0.404) (0.561)
SBA −0.410 * −0.634 ** −0.667 *** −0.971 ***
(0.161) (0.170) (0.198) (0.275)
GDP −13.63 *** −10.44 *** −14.96 *** −23.63 ***
(3.163) (3.350) (3.889) (5.403)
SRP −3.006 *** −2.853 *** −3.464 *** −4.958 ***
(0.786) (0.833) (0.967) (1.343)
HI 0.868 2.512 *** 2.033 ** 2.662 *
(0.627) (0.664) (0.771) (1.071)
R20.0910.0030.0460.0080.0410.010.0870.005
F29.5715.0930.2812.6717.7610.8321.2211.00
N341341341341341341341341
* p < 0.05, ** p < 0.01, *** p < 0.001.
Table 5. Fixed-Effect Regression for Moderating Effect: Quality of Administration System (QAS).
Table 5. Fixed-Effect Regression for Moderating Effect: Quality of Administration System (QAS).
VariablesSurgeryPediatrics, Perinatology and Child HealthObstetrics and GynecologyInternal Medicine
Model 1Model 2Model 3Model 4Model 5Model 6Model 7Model 8
NDC2.447 ***−0.1882.532 ***0.3461.813 *−1.0863.158 **−1.575
(0.649)(0.984)(0.684)(1.047)(0.797)(1.216)(1.105)(1.673)
QAS0.144−22.8 ***4.465−14.61 +1.698−23.60 **5.591−35.71 **
(2.732)(7.085)(2.882)(7.537)(3.359)(8.748)(4.655)(12.04)
NDC × QAS 3.052 *** 2.531 ** 3.358 ** 5.482 ***
(0.871) (0.926) (1.075) (1.480)
ControlsYESYESYESYESYESYESYESYES
R20.310.3370.2770.2970.2420.2680.2480.284
F9.9513.7611.5911.429.639.929.9510.75
N341341341341341341341341
+ p < 0.1, * p < 0.05, ** p < 0.01, *** p < 0.001.
Table 6. Fixed-Effect Regression for Moderating Effect: Quality of Legal System (QLS).
Table 6. Fixed-Effect Regression for Moderating Effect: Quality of Legal System (QLS).
VariablesSurgeryPediatrics, Perinatology and Child HealthObstetrics and GynecologyInternal Medicine
Model 1Model 2Model 3Model 4Model 5Model 6Model 7Model 8
NDC2.277 ***−0.0072.335 ***0.9021.491 +−0.7762.704 **−1.356
(0.646)(0.900)(0.676)(0.957)(0.781)(1.098)(1.078)(1.498)
QLS 7.013 *−12.23 *11.06 ***−0.99914.29 ***−4.80322.30 ***−11.89
(3.131)(6.208)(3.279)(6.599)(3.788)(7.568)(5.226)(10.32)
NDC × QLS 2.661 *** 1.668 * 2.641 ** 4.729 ***
(0.746) (0.794) (0.910) (1.242)
ControlsYESYESYESYESYESYESYESYES
(0.622)(0.610)(0.652)(0.649)(0.753)(0.744)(1.039)(1.016)
R20.3190.3490.3000.3110.2780.3000.2910.327
F14.1714.5712.9512.2511.6811.6412.4213.18
N341341341341341341341341
+ p < 0.1, * p < 0.05, ** p < 0.01, *** p < 0.001.
Table 7. Fixed-Effect Regression for Moderating Effect: Market Freedom (MF).
Table 7. Fixed-Effect Regression for Moderating Effect: Market Freedom (MF).
VariablesSurgeryPediatrics, Perinatology and Child HealthObstetrics and GynecologyInternal Medicine
Model 1Model 2Model 3Model 4Model 5Model 6Model 7Model 8
NDC2.170 ***−4.3572.309 ***−4.7041.491 +−5.9602.647 *−13.32 *
(0.631)(3.151)(0.668)(3.336)0.774 ***(3.874)1.056(5.228)
MF 0.365 ***−0.3120.38 ***−0.3390.458−0.3150.789 ***−0.868
(0.087)(0.332)(0.093)(0.352)0.107(0.408)0.146(0.551)
NDC × MF 0.089 * 0.095 * 0.101 * 0.218 **
(0.042) (0.045) (0.052) (0.070)
ControlsYESYESYESYESYESYESYESYES
R20.0050.0070.0130.0160.0180.020.0110.015
F16.1615.1813.9013.1412.2611.5314.0113.98
N341341341341341341341341
+ p < 0.1, * p < 0.05, ** p < 0.01, *** p < 0.001.
Table 8. Fixed-Effect Regression for Moderating Effect: Disparity of Economic Development (DED).
Table 8. Fixed-Effect Regression for Moderating Effect: Disparity of Economic Development (DED).
VariablesSurgeryPediatrics, Perinatology and Child HealthObstetrics and GynecologyInternal Medicine
Model 1Model 2Model 3Model 4Model 5Model 6Model 7Model 8
NDC1.259 **4.112 **1.312 *2.631 +0.2432.4461.5376.713 **
(0.564)(1.330)(0.593)(1.411)(0.672)(1.595)(1.017)(2.400)
DED QAS7.721 ***12.55 ***8.345 ***10.57 ***10.24 ***13.97 ***11.05 ***19.81 ***
(0.758)(2.176)(0.798)(2.309)(0.904)(2.611)(1.368)(3.928)
NDC × DED −0.702 * −0.324 −0.542 −1.274 **
(0.297) (0.315) (0.356) (0.536)
ControlsYESYESYESYESYESYESYESYES
R20.0040.00260.00030.00010.00020.00010.00010.0002
F30.0428.0527.8825.2028.3325.8619.3018.23
N339339339339339339339339
+ p < 0.1, * p < 0.05, ** p < 0.01, *** p < 0.001.
Publisher’s Note: MDPI stays neutral with regard to jurisdictional claims in published maps and institutional affiliations.

Share and Cite

MDPI and ACS Style

Shin, W.; Choi, B. Digital Competency, Innovative Medical Research, and Institutional Environment: A Global Context. Sustainability 2022, 14, 16887. https://doi.org/10.3390/su142416887

AMA Style

Shin W, Choi B. Digital Competency, Innovative Medical Research, and Institutional Environment: A Global Context. Sustainability. 2022; 14(24):16887. https://doi.org/10.3390/su142416887

Chicago/Turabian Style

Shin, Whan, and Byungchul Choi. 2022. "Digital Competency, Innovative Medical Research, and Institutional Environment: A Global Context" Sustainability 14, no. 24: 16887. https://doi.org/10.3390/su142416887

APA Style

Shin, W., & Choi, B. (2022). Digital Competency, Innovative Medical Research, and Institutional Environment: A Global Context. Sustainability, 14(24), 16887. https://doi.org/10.3390/su142416887

Note that from the first issue of 2016, this journal uses article numbers instead of page numbers. See further details here.

Article Metrics

Back to TopTop