Hydrogeochemical Mechanism Associated with Land Use Land Cover Indices Using Geospatial, Remote Sensing Techniques, and Health Risks Model
Abstract
1. Introduction
2. Materials and Methods
2.1. Study Area
2.2. Hydrogeochemical Analysis
2.3. Data Acquisition and Spatial Distribution
2.4. Classification of Land Use Land Cover (LULC)
2.5. Spectral Indices
2.6. Human Health Risks Model
3. Results and Discussion
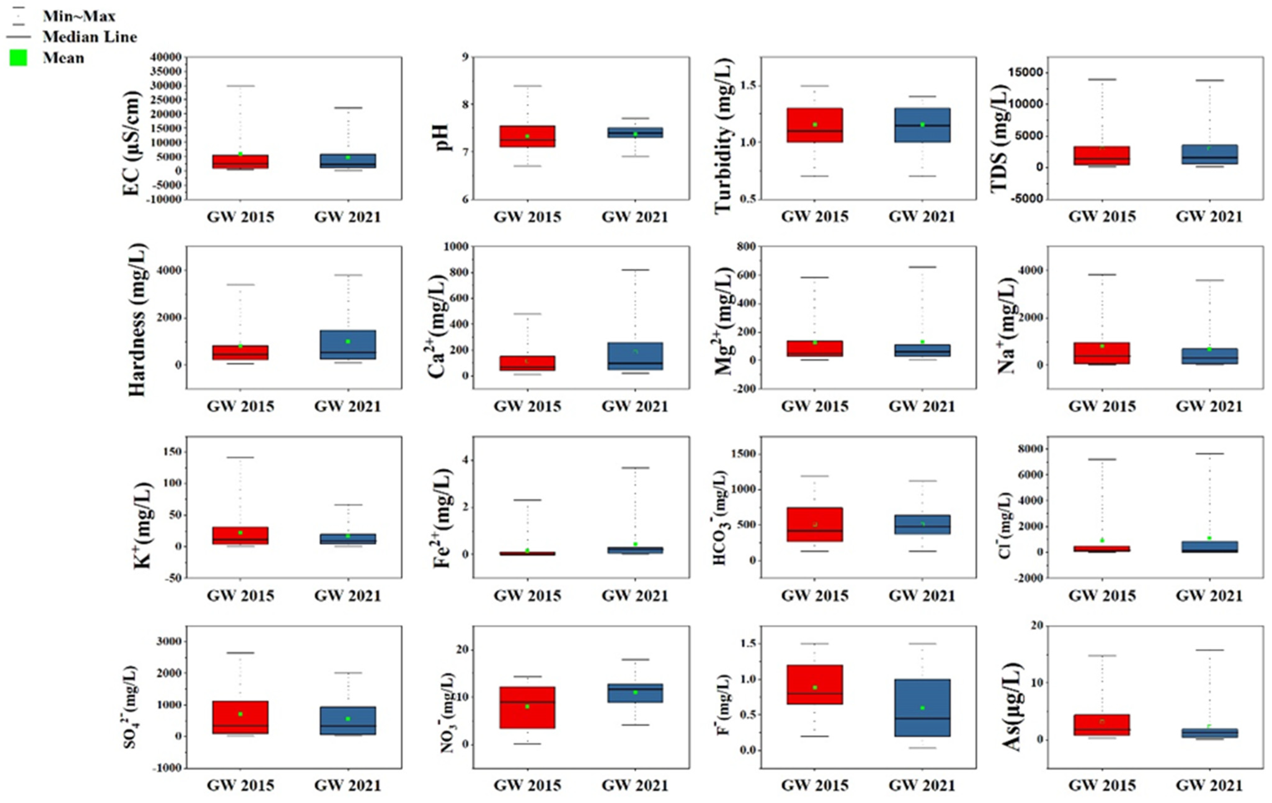
3.1. Characteristics of Groundwater
3.2. Hydrogeochemical Evolution and Silicate Weathering Effects
3.3. Drinking and Irrigation Groundwater Quality
3.4. Land Use Land Cover Status
3.5. Normalized Difference Vegetation Index (NDVI) and Normalized Difference Built-Up Index (NDBI)
3.6. Relationship between Groundwater and NDVI and NDBI
3.7. Spatial Variation of Nitrate Associated with Risk Assessment
4. Conclusions
Author Contributions
Funding
Institutional Review Board Statement
Informed Consent Statement
Data Availability Statement
Acknowledgments
Conflicts of Interest
References
- Hussain, S.; Mubeen, M.; Karuppannan, S. Land use and land cover (LULC) change analysis using TM, ETM+ and OLI Landsat images in district of Okara, Punjab, Pakistan. Phys. Chem. Earth Parts A/B/C 2022, 126, 103117. [Google Scholar] [CrossRef]
- Baloch, M.Y.J.; Su, C.; Talpur, S.A.; Iqbal, J.; Bajwa, K. Arsenic Removal from Groundwater using Iron Pyrite: Influences Factors and Removal Mechanism. J. Earth Sci. 2022, 6. [Google Scholar] [CrossRef]
- Jat Baloch, M.Y.; Zhang, W.; Zhang, D.; Al Shoumik, B.A.; Iqbal, J.; Li, S.; Chai, J.; Farooq, M.A.; Parkash, A. Evolution Mechanism of Arsenic Enrichment in Groundwater and Associated Health Risks in Southern Punjab, Pakistan. Int. J. Environ. Res. Public Health 2022, 19, 13325. [Google Scholar] [CrossRef] [PubMed]
- Noori, R.; Maghrebi, M.; Mirchi, A.; Tang, Q.; Bhattarai, R.; Sadegh, M.; Noury, M.; Torabi Haghighi, A.; Kløve, B.; Madani, K. Anthropogenic depletion of Iran’s aquifers. Proc. Natl. Acad. Sci. USA 2021, 118, e2024221118. [Google Scholar] [CrossRef] [PubMed]
- Hegazy, M.H.; Essam, A.; Elnaggar, A.Y.; Hussein, E.E. Heavy Metal Removal from the Water of the River Nile Using Riverbank Filtration. Water 2021, 13, 3642. [Google Scholar] [CrossRef]
- Ramachandran, V.; Ramalakshmi, R.; Kavin, B.P.; Hussain, I.; Almaliki, A.H.; Almaliki, A.A.; Elnaggar, A.Y.; Hussein, E.E. Exploiting IoT and its enabled technologies for irrigation needs in agriculture. Water 2022, 14, 719. [Google Scholar]
- Baloch, M.Y.J.; Mangi, S.H. Treatment of synthetic greywater by using banana, orange and sapodilla peels as a low cost activated carbon. J. Mater. Environ. Sci. 2019, 10, 966–986. [Google Scholar]
- Talpur, S.A.; Noonari, T.M.; Rashid, A.; Ahmed, A.; Jat Baloch, M.Y.; Talpur, H.A.; Soomro, M.H. Hydrogeochemical signatures and suitability assessment of groundwater with elevated fluoride in unconfined aquifers Badin district, Sindh, Pakistan. SN Appl. Sci. 2020, 2, 1038. [Google Scholar] [CrossRef]
- Fouad, M.; Hussein, E.E.; Jirka, B. Assessment of numerical groundwater models. Int. J. Sci. Eng. Res. 2018, 9, 951–974. [Google Scholar]
- Hussein, E.E.; Fouad, M.; Gad, M.I. Prediction of the pollutants movements from the polluted industrial zone in 10th of Ramadan city to the Quaternary aquifer. Appl. Water Sci. 2019, 9, 1–19. [Google Scholar] [CrossRef]
- Jat Baloch, M.Y.; Zhang, W.; Chai, J.; Li, S.; Alqurashi, M.; Rehman, G.; Tariq, A.; Talpur, S.A.; Iqbal, J.; Munir, M. Shallow Groundwater Quality Assessment and Its Suitability Analysis for Drinking and Irrigation Purposes. Water 2021, 13, 3361. [Google Scholar] [CrossRef]
- Baloch, M.Y.J.; Talpur, S.A.; Talpur, H.A.; Iqbal, J.; Mangi, S.H.; Memon, S. Effects of Arsenic Toxicity on the Environment and Its Remediation Techniques: A Review. J. Water Environ. Technol. 2020, 18, 275–289. [Google Scholar] [CrossRef]
- Zhang, W.; Chai, J.; Li, S.; Wang, X.; Wu, S.; Liang, Z.; Baloch, M.Y.J.; Silva, L.F.; Zhang, D. Physiological characteristics, geochemical properties and hydrological variables influencing pathogen migration in subsurface system: What we know or not? Geosci. Front. 2022, 13, 101346. [Google Scholar] [CrossRef]
- Zhang, W.; Zhu, Y.; Gu, R.; Liang, Z.; Xu, W.; Jat Baloch, M.Y. Health Risk Assessment during In Situ Remediation of Cr(VI)-Contaminated Groundwater by Permeable Reactive Barriers: A Field-Scale Study. Int. J. Environ. Res. Public Health 2022, 19, 13079. [Google Scholar] [CrossRef]
- Han, D.; Currell, M. Review of drivers and threats to coastal groundwater quality in China. Sci. Total Environ. 2022, 806, 150913. [Google Scholar] [CrossRef]
- Balogun, M.A.; Anumah, A.O.; Adegoke, K.A.; Maxakato, N.W. Environmental health impacts and controlling measures of anthropogenic activities on groundwater quality in Southwestern Nigeria. Environ. Monit. Assess. 2022, 194, 1–36. [Google Scholar] [CrossRef] [PubMed]
- Pelorosso, R.; Leone, A.; Boccia, L. Land cover and land use change in the Italian central Apennines: A comparison of assessment methods. Appl. Geogr. 2009, 29, 35–48. [Google Scholar] [CrossRef]
- Kidane, M.; Tolessa, T.; Bezie, A.; Kessete, N.; Endrias, M. Evaluating the impacts of climate and land use/land cover (LU/LC) dynamics on the Hydrological Responses of the Upper Blue Nile in the Central Highlands of Ethiopia. Spat. Inf. Res. 2019, 27, 151–167. [Google Scholar] [CrossRef]
- Roy, P.S.; Ramachandran, R.M.; Paul, O.; Thakur, P.K.; Ravan, S.; Behera, M.D.; Sarangi, C.; Kanawade, V.P. Anthropogenic Land Use and Land Cover Changes—A Review on Its Environmental Consequences and Climate Change. J. Indian Soc. Remote Sens. 2022, 50, 1615–1640. [Google Scholar] [CrossRef]
- Ortiz-Oliveros, H.; Ávila-Pérez, P.; Cruz-González, D.; Villalva-Hernández, A.; Lara-Almazán, N.; Torres-García, I. Society. Climatic and hydrological variations caused by Land Use/Land Cover changes in the Valley of Toluca, Mexico: A rapid assessment. Sustain. Cities Soc. 2022, 85, 104074. [Google Scholar] [CrossRef]
- Usman, M.; Liedl, R.; Shahid, M.; Abbas, A. Land use/land cover classification and its change detection using multi-temporal MODIS NDVI data. J. Geogr. Sci. 2015, 25, 1479–1506. [Google Scholar] [CrossRef]
- Latocha, A. Land-use changes and longer-term human–environment interactions in a mountain region (Sudetes Mountains, Poland). Geomorphology 2009, 108, 48–57. [Google Scholar] [CrossRef]
- Wang, J.; Lin, Y.; Zhai, T.; He, T.; Qi, Y.; Jin, Z.; Cai, Y. The role of human activity in decreasing ecologically sound land use in China. Land Degrad. Dev. 2018, 29, 446–460. [Google Scholar] [CrossRef]
- Tariq, A.; Mumtaz, F.; Zeng, X.; Baloch, M.Y.J.; Ul Moazzam, M.F. Environment. Spatio-temporal variation of seasonal heat islands mapping of Pakistan during 2000–2019, using day-time and night-time land surface temperatures MODIS and meteorological stations data. Remote Sens. Appl. Soc. Environ. 2022, 27, 100779. [Google Scholar]
- Liaqut, A.; Younes, I.; Sadaf, R.; Zafar, H. Impact of urbanization growth on land surface temperature using remote sensing and GIS: A case study of Gujranwala City, Punjab, Pakistan. Int. J. Econ. Environ. Geol. 2019, 9, 44–49. [Google Scholar]
- Maqsoom, A.; Aslam, B.; Alwetaishi, M.; Awais, M.; Hassan, U.; Maqsoom, S.; Alaloul, W.S.; Musarat, M.A.; Zerouali, B.; Hussein, E.E. A GIS-Based Groundwater Contamination Assessment Using Modified DRASTIC Geospatial Technique. Water 2021, 13, 2868. [Google Scholar] [CrossRef]
- Derdour, A.; Jodar-Abellan, A.; Pardo, M.Á.; Ghoneim, S.S.; Hussein, E.E. Designing Efficient and Sustainable Predictions of Water Quality Indexes at the Regional Scale Using Machine Learning Algorithms. Water 2022, 14, 2801. [Google Scholar] [CrossRef]
- Kharazmi, R.; Tavili, A.; Rahdari, M.R.; Chaban, L.; Panidi, E.; Rodrigo-Comino, J. Monitoring and assessment of seasonal land cover changes using remote sensing: A 30-year (1987–2016) case study of Hamoun Wetland, Iran. Environ. Monit. Assess. 2018, 190, 1–23. [Google Scholar] [CrossRef]
- Helsel, D.R.; Ragone, S.E. Evaluation of Regional Ground-Water Quality in Relation to Land Use: US Geological Survey Toxic Waste-Ground-Water Contamination Program; US Geological Survey: Reston, VA, USA, 1984. [Google Scholar]
- Worrall, F.; Kolpin, D.W. Aquifer vulnerability to pesticide pollution—Combining soil, land-use and aquifer properties with molecular descriptors. J. Hydrol. 2004, 293, 191–204. [Google Scholar] [CrossRef]
- Johnson, T.D.; Belitz, K. Assigning land use to supply wells for the statistical characterization of regional groundwater quality: Correlating urban land use and VOC occurrence. J. Hydrol. 2009, 370, 100–108. [Google Scholar] [CrossRef]
- Hejazian, M.; Gurdak, J.J.; Swarzenski, P.; Odigie, K.O.; Storlazzi, C.D. Land-use change and managed aquifer recharge effects on the hydrogeochemistry of two contrasting atoll island aquifers, Roi-Namur Island, Republic of the Marshall Islands. Appl. Geochem. 2017, 80, 58–71. [Google Scholar] [CrossRef]
- Yan, B.; Xiao, C.; Liang, X.; Fang, Z. Impacts of urban land use on nitrate contamination in groundwater, Jilin City, Northeast China. Arab. J. Geosci. 2016, 9, 105. [Google Scholar] [CrossRef]
- Long, D.T.; Pearson, A.L.; Voice, T.C.; Polanco-Rodríguez, A.G.; Sanchez-Rodríguez, E.C.; Xagoraraki, I.; Concha-Valdez, F.G.; Puc-Franco, M.; Lopez-Cetz, R.; Rzotkiewicz, A.T. Influence of rainy season and land use on drinking water quality in a karst landscape, State of Yucatán, Mexico. Appl. Geochem. 2018, 98, 265–277. [Google Scholar] [CrossRef]
- Siddik, M.S.; Tulip, S.S.; Rahman, A.; Islam, M.N.; Haghighi, A.T.; Mustafa, S.M.T. The impact of land use and land cover change on groundwater recharge in northwestern Bangladesh. J. Environ. Manag. 2022, 315, 115130. [Google Scholar] [CrossRef] [PubMed]
- Elmahdy, S.; Mohamed, M.; Ali, T. Land use/land cover changes impact on groundwater level and quality in the northern part of the United Arab Emirates. Remote Sens. 2020, 12, 1715. [Google Scholar] [CrossRef]
- Panneerselvam, B.; Muniraj, K.; Duraisamy, K.; Pande, C.; Karuppannan, S.; Thomas, M. An integrated approach to explore the suitability of nitrate-contaminated groundwater for drinking purposes in a semiarid region of India. Environ. Geochem. Health 2022, 1–17. [Google Scholar] [CrossRef] [PubMed]
- Lerner, D.N.; Harris, B. The relationship between land use and groundwater resources and quality. Land Use Policy 2009, 26, S265–S273. [Google Scholar] [CrossRef]
- Yan, J.; Chen, J.; Zhang, W. Impact of land use and cover on shallow groundwater quality in Songyuan city, China: A multivariate statistical analysis. Environ. Pollut. 2022, 307, 119532. [Google Scholar] [CrossRef]
- Patra, S.; Sahoo, S.; Mishra, P.; Mahapatra, S.C. Impacts of urbanization on land use/cover changes and its probable implications on local climate and groundwater level. J. Urban Manag. 2018, 7, 70–84. [Google Scholar] [CrossRef]
- Maghrebi, M.; Noori, R.; Partani, S.; Araghi, A.; Barati, R.; Farnoush, H.; Haghighi, T. Iran’s groundwater hydrochemistry. Earth Space Sci. 2021, 8, e2021EA001793. [Google Scholar] [CrossRef]
- Yang, Y.; Meng, Z.; Jiao, W. Hydrological and pollution processes in mining area of Fenhe River Basin in China. Environ. Pollut. 2018, 234, 743–750. [Google Scholar] [CrossRef] [PubMed]
- Adnan, M. Pakistan’s Ability to Mitigate Water Shortage by Making Diamer-Bhasha Dam. J. Res. Soc. Pak. 2022, 59, 81. [Google Scholar]
- Iqbal, J.; Su, C.; Rashid, A.; Yang, N.; Baloch, M.Y.J.; Talpur, S.A.; Ullah, Z.; Rahman, G.; Rahman, N.U.; Sajjad, M.M. Hydrogeochemical assessment of groundwater and suitability analysis for domestic and agricultural utility in Southern Punjab, Pakistan. Water 2021, 13, 3589. [Google Scholar] [CrossRef]
- Saddiqa, A.; Batool, S.; Gill, S.A.; Khan, A. Water Governance and Management in the 21st Century: A Case Study of Pakistan. Pak. J. Humanit. Soc. Sci. 2022, 10, 29–42. [Google Scholar] [CrossRef]
- Ahmed, K.; Shahid, S.; Demirel, M.C.; Nawaz, N.; Khan, N. The changing characteristics of groundwater sustainability in Pakistan from 2002 to 2016. Hydrogeol. J. 2019, 27, 2485–2496. [Google Scholar] [CrossRef]
- Gao, J.; Li, Z.; Chen, Z.; Zhou, Y.; Liu, W.; Wang, L.; Zhou, J. Deterioration of groundwater quality along an increasing intensive land use pattern in a small catchment. Agric. Water Manag. 2021, 253, 106953. [Google Scholar] [CrossRef]
- Meneses, B.M.; Reis, R.; Vale, M.; Saraiva, R. Land use and land cover changes in Zêzere watershed (Portugal)—Water quality implications. Sci. Total Environ. 2015, 527, 439–447. [Google Scholar] [CrossRef]
- Li, Y.; Bi, Y.; Mi, W.; Xie, S.; Ji, L. Land-use change caused by anthropogenic activities increase fluoride and arsenic pollution in groundwater and human health risk. J. Hazard. Mater. 2021, 406, 124337. [Google Scholar] [CrossRef]
- Wang, W.; Chen, Y.; Wang, W.; Jiang, J.; Cai, M.; Xu, Y. Evolution characteristics of groundwater and its response to climate and land-cover changes in the oasis of dried-up river in Tarim Basin. J. Hydrol. 2021, 594, 125644. [Google Scholar] [CrossRef]
- Ahmad, S.; Imran, M.; Murtaza, B.; Arshad, M.; Nawaz, R.; Waheed, A.; Hammad, H.M.; Naeem, M.A.; Shahid, M.; Niazi, N.K.; et al. Hydrogeochemical and health risk investigation of potentially toxic elements in groundwater along River Sutlej floodplain in Punjab, Pakistan. Environ. Geochem. Health 2021, 43, 5195–5209. [Google Scholar] [CrossRef]
- Shakoor, M.B.; Niazi, N.K.; Bibi, I.; Rahman, M.M.; Naidu, R.; Dong, Z.; Shahid, M.; Arshad, M. Unraveling health risk and speciation of arsenic from groundwater in rural areas of Punjab, Pakistan. Int. J. Environ. Res. Public Health 2015, 12, 12371–12390. [Google Scholar] [CrossRef] [PubMed]
- Mazhar, I.; Hamid, A.; Afzal, S. Groundwater quality assessment and human health risks in Gujranwala District, Pakistan. Environ. Earth Sci. 2019, 78, 634. [Google Scholar] [CrossRef]
- Jiang, Y.; Zhang, C.; Yuan, D.; Zhang, G.; He, R. Impact of land use change on groundwater quality in a typical karst watershed of southwest China: A case study of the Xiaojiang watershed, Yunnan Province. Hydrogeol. J. 2008, 16, 727–735. [Google Scholar] [CrossRef]
- Jia, Z.; Bian, J.; Wang, Y. Impacts of urban land use on the spatial distribution of groundwater pollution, Harbin City, Northeast China. J. Contam. Hydrol. 2018, 215, 29–38. [Google Scholar] [CrossRef] [PubMed]
- Chiloane, C.N. Multispectral Remote Sensing of Vegetation Responses to Groundwater Variability in the Greater Floristic Region of the Western Cape, South Africa. Master’s Thesis, University of the Western Cape, Cape Town, South Africa, 2021. [Google Scholar]
- Ahmad, F. Detection of change in vegetation cover using multi-spectral and multi-temporal information for District Sargodha, Pakistan. Soc. Nat. 2012, 24, 557–571. [Google Scholar] [CrossRef]
- Mobeen, M.; Ahmed, H.; Ullah, F.; Riaz, M.O.; Mustafa, I.; Khan, M.R.; Hanif, M.U. Management. Impact of climate change on the precipitation pattern of district Sargodha, Pakistan. Int. J. Clim. Change Strateg. Manag. 2017, 9, 21–35. [Google Scholar] [CrossRef]
- Ashraf, A.; Ahmad, Z.; Akhter, G. Monitoring groundwater flow dynamics and vulnerability to climate change in Chaj Doab, Indus Basin, through modeling approach. In Groundwater of South Asia; Springer: Berlin/Heidelberg, Germany, 2018; pp. 593–611. [Google Scholar]
- Greenman, D.W.; Bennett, G.D.; Swarzenski, W.V. Ground-Water Hydrology of the Punjab, West Pakistan, with Emphasis on Problems Caused by Canal Irrigation; US Government Printing Office: Washington, DC, USA, 1967; Volume 1. [Google Scholar]
- W.E. Federation; American Public Health Association. Standard Methods for the Examination of Water and Wastewater; APHA: Washington, DC, USA, 2005; Volume 21. [Google Scholar]
- Piper, A.M. A graphic procedure in the geochemical interpretation of water-analyses. Eos Trans. Am. Geophys. Union 1944, 25, 914–928. [Google Scholar] [CrossRef]
- Noori, R.; Berndtsson, R.; Hosseinzadeh, M.; Adamowski, J.F.; Abyaneh, M.R. A critical review on the application of the National Sanitation Foundation Water Quality Index. Environ. Pollut. 2019, 244, 575–587. [Google Scholar] [CrossRef]
- Richards, L. Diagnosis and Improvement of Saline and Alkali Soils; US Government Printing Office: Washington, DC, USA, 1954; Volume 60. [Google Scholar]
- Wilcox, L. Classification and Use of Irrigation Waters; US Department of Agriculture: Washington, DC, USA, 1955. [Google Scholar]
- Siddique, S.; Al Shoumik, B.A.; Kibria, K.Q. Spatial distribution and the assessment of pond water suitability for aquaculture in the Sonadanga and Kotwali Thanas of khulna city corporation. Khulna Univ. Stud. 2022, 19, 55–65. [Google Scholar] [CrossRef]
- Tucker, C.J.; Sellers, P.J. Satellite remote sensing of primary production. Int. J. Remote Sens. 1986, 7, 1395–1416. [Google Scholar] [CrossRef]
- Xu, H. Extraction of urban built-up land features from Landsat imagery using a thematicoriented index combination technique. Photogramm. Eng. Remote Sens. 2007, 73, 1381–1391. [Google Scholar] [CrossRef]
- Noori, R.; Farahani, F.; Jun, C.; Aradpour, S.; Bateni, S.M.; Ghazban, F.; Hosseinzadeh, M.; Maghrebi, M.; Naseh, M.R.V.; Abolfathi, S. A non-threshold model to estimate carcinogenic risk of nitrate-nitrite in drinking water. J. Clean. Prod. 2022, 363, 132432. [Google Scholar] [CrossRef]
- Narsimha, A.; Rajitha, S. Spatial distribution and seasonal variation in fluoride enrichment in groundwater and its associated human health risk assessment in Telangana State, South India. Hum. Ecol. Risk Assess. Int. J. 2018, 24, 2119–2132. [Google Scholar] [CrossRef]
- Ahada, C.P.; Suthar, S. Assessment of human health risk associated with high groundwater fluoride intake in southern districts of Punjab, India. Expo. Health 2019, 11, 267–275. [Google Scholar] [CrossRef]
- Means, B. Risk-Assessment Guidance for Superfund—Volume 1—Human Health Evaluation Manual—Part A; Interim report (Final); U.S. Environmental Protection Agency: Washington, DC, USA, 1989; Volume 1. [Google Scholar]
- Usepa, I.R.I.S. Integrated Risk Information System; Environmental Protection Agency Region I: Washington, DC, USA, 2011; p. 20460. [Google Scholar]
- Adimalla, N.; Qian, H.; Tiwari, D.M. Groundwater chemistry, distribution and potential health risk appraisal of nitrate enriched groundwater: A case study from the semi-urban region of South India. Ecotoxicol. Environ. Saf. 2021, 207, 111277. [Google Scholar] [CrossRef] [PubMed]
- Khan, N.; Bano, A.; Zandi, P. Effects of exogenously applied plant growth regulators in combination with PGPR on the physiology and root growth of chickpea (Cicer arietinum) and their role in drought tolerance. J. Plant Interact. 2018, 13, 239–247. [Google Scholar] [CrossRef]
- Janardhana Raju, N.; Shukla, U.; Ram, P. Hydrogeochemistry for the assessment of groundwater quality in Varanasi: A fast-urbanizing center in Uttar Pradesh, India. Environ. Monit. Assess. 2011, 173, 279–300. [Google Scholar] [CrossRef]
- Panneerselvam, B.; Karuppannan, S.; Muniraj, K. Evaluation of drinking and irrigation suitability of groundwater with special emphasizing the health risk posed by nitrate contamination using nitrate pollution index (NPI) and human health risk assessment (HHRA). Hum. Ecol. Risk Assess. Int. J. 2020, 27, 1324–1348. [Google Scholar] [CrossRef]
- Gibbs, R.J. Mechanisms controlling world water chemistry. Science 1970, 170, 1088–1090. [Google Scholar] [CrossRef]
- Srinivasamoorthy, K.; Chidambaram, S.; Prasanna, M.; Vasanthavihar, M.; Peter, J.; Anandhan, P. Identification of major sources controlling groundwater chemistry from a hard rock terrain—A case study from Mettur taluk, Salem district, Tamil Nadu, India. J. Earth Syst. Sci. 2008, 117, 49. [Google Scholar] [CrossRef]
- Rahman, S.H.; Khanam, D.; Adyel, T.M.; Islam, M.S.; Ahsan, M.A.; Akbor, M.A. Assessment of heavy metal contamination of agricultural soil around Dhaka Export Processing Zone (DEPZ), Bangladesh: Implication of seasonal variation and indices. Appl. Sci. 2012, 2, 584–601. [Google Scholar] [CrossRef]
- Talib, M.A.; Tang, Z.; Shahab, A.; Siddique, J.; Faheem, M.; Fatima, M. Hydrogeochemical characterization and suitability assessment of groundwater: A case study in Central Sindh, Pakistan. Int. J. Environ. Res. Public Health 2019, 16, 886. [Google Scholar] [CrossRef]
- Islam, S.; Majumder, R.K.; Uddin, M.J.; Khalil, M.; Ferdous Alam, M. Hydrochemical characteristics and quality assessment of groundwater in Patuakhali district, southern coastal region of Bangladesh. Expo. Health 2017, 9, 43–60. [Google Scholar] [CrossRef]
- Khalid, S. An assessment of groundwater quality for irrigation and drinking purposes around brick kilns in three districts of Balochistan province, Pakistan, through water quality index and multivariate statistical approaches. J. Geochem. Explor. 2019, 197, 14–26. [Google Scholar]
- Ashraf, H.; Mobeen, M.; Miandad, M.; Khan, M.A.; Rahman, G.; Munawar, S. Assessment of Urban Sprawl in Sargodha City using Remotely Sense Data. Ecol. Quest. 2022, 33, 1–16. [Google Scholar] [CrossRef]
- Alam, H.-m.E.; Alam, M.; Hoque, M.; Sarkar, M.S.I.; Arafat, M.; Ahmed, K.T.; Uddin, M. The impact of coastal development on land surface temperature in the mangrove ecosystem of the Chattogram coast in Bangladesh. J. Coast. Conserv. 2022, 26, 23. [Google Scholar] [CrossRef]
- Wu, J.; Li, P.; Wang, D.; Ren, X.; Wei, M. Statistical and multivariate statistical techniques to trace the sources and affecting factors of groundwater pollution in a rapidly growing city on the Chinese Loess Plateau. Hum. Ecol. Risk Assess. Int. J. 2019, 26, 1603–1621. [Google Scholar] [CrossRef]
- Wu, J.; Zhang, Y.; Zhou, H. Groundwater chemistry and groundwater quality index incorporating health risk weighting in Dingbian County, Ordos basin of northwest China. Geochemistry 2020, 80, 125607. [Google Scholar] [CrossRef]









| Land Use Land Cover | 2015 | 2021 | Change (km2) | ||
|---|---|---|---|---|---|
| Area (km2) | Area (%) | Area (km2) | Area (%) | ||
| Water Bodies | 8.61 | 11.35 | 6.70 | 8.83 | 1.91 |
| Urban Areas | 24.53 | 32.34 | 33.77 | 44.53 | 9.24 |
| Bare Lands | 15.57 | 20.53 | 20.03 | 26.41 | 4.46 |
| Agricultural Lands | 12.73 | 16.79 | 7.73 | 10.19 | −5.0 |
| Vegetation | 16.31 | 21.51 | 5.70 | 7.52 | −10.61 |
| 2015 | ||||||||||||||||||
| Variables | EC | pH | Turbidity | TDS | Hardness | Ca2+ | Mg2+ | Na+ | K+ | Fe2+ | HCO3− | Cl− | SO42− | NO3− | F− | As | NDVI | NDBI |
| EC | 1 | |||||||||||||||||
| pH | −0.398 | 1 | ||||||||||||||||
| Turbidity | 0.145 | −0.428 | 1 | |||||||||||||||
| TDS | 0.996 | −0.416 | 0.158 | 1 | ||||||||||||||
| Hardness | 0.971 | −0.497 | 0.223 | 0.971 | 1 | |||||||||||||
| Ca2+ | 0.951 | −0.465 | 0.160 | 0.941 | 0.949 | 1 | ||||||||||||
| Mg2+ | 0.946 | −0.494 | 0.244 | 0.951 | 0.989 | 0.891 | 1 | |||||||||||
| Na+ | 0.989 | −0.386 | 0.167 | 0.997 | 0.958 | 0.921 | 0.941 | 1 | ||||||||||
| K+ | 0.231 | −0.571 | 0.131 | 0.262 | 0.292 | 0.191 | 0.330 | 0.247 | 1 | |||||||||
| Fe2+ | −0.007 | 0.113 | 0.205 | 0.014 | −0.019 | −0.001 | −0.026 | 0.011 | −0.172 | 1 | ||||||||
| HCO3− | 0.454 | −0.674 | 0.498 | 0.504 | 0.538 | 0.347 | 0.610 | 0.515 | 0.587 | 0.104 | 1 | |||||||
| Cl− | 0.976 | −0.294 | 0.037 | 0.960 | 0.915 | 0.941 | 0.870 | 0.949 | 0.120 | −0.027 | 0.267 | 1 | ||||||
| SO42− | 0.889 | −0.495 | 0.264 | 0.923 | 0.919 | 0.821 | 0.932 | 0.929 | 0.397 | 0.102 | 0.729 | 0.781 | 1 | |||||
| NO3− | 0.143 | −0.530 | 0.187 | 0.147 | 0.206 | 0.192 | 0.205 | 0.126 | 0.404 | 0.052 | 0.417 | 0.041 | 0.248 | 1 | ||||
| F− | 0.665 | −0.397 | 0.312 | 0.685 | 0.658 | 0.590 | 0.667 | 0.687 | 0.400 | 0.372 | 0.617 | 0.574 | 0.744 | 0.307 | 1 | |||
| As | −0.062 | 0.384 | −0.005 | −0.075 | −0.084 | −0.113 | −0.067 | −0.057 | −0.200 | 0.009 | −0.029 | −0.062 | −0.100 | −0.199 | −0.076 | 1 | ||
| NDVI | −0.251 | 0.049 | −0.107 | −0.270 | −0.250 | −0.247 | −0.243 | −0.286 | 0.123 | −0.182 | −0.242 | −0.202 | −0.337 | −0.081 | −0.085 | −0.280 | 1 | |
| NDBI | 0.141 | 0.099 | 0.106 | 0.158 | 0.135 | 0.103 | 0.145 | 0.181 | −0.134 | 0.163 | 0.191 | 0.088 | 0.241 | 0.146 | −0.050 | 0.229 | −0.855 | 1 |
| 2021 | ||||||||||||||||||
| Variables | EC | pH | Turbidity | TDS | Hardness | Ca2+ | Mg2+ | Na+ | K+ | Fe2+ | HCO3− | Cl− | SO42− | NO3− | F− | As | NDVI | NDBI |
| EC | 1 | |||||||||||||||||
| pH | −0.512 | 1 | ||||||||||||||||
| Turbidity | −0.554 | 0.278 | 1 | |||||||||||||||
| TDS | 0.998 | −0.507 | −0.551 | 1 | ||||||||||||||
| Hardness | 0.980 | −0.490 | −0.624 | 0.981 | 1 | |||||||||||||
| Ca2+ | 0.852 | −0.524 | −0.563 | 0.868 | 0.865 | 1 | ||||||||||||
| Mg2+ | 0.920 | −0.393 | −0.577 | 0.910 | 0.940 | 0.644 | 1 | |||||||||||
| Na+ | 0.996 | −0.507 | −0.518 | 0.994 | 0.960 | 0.832 | 0.902 | 1 | ||||||||||
| K+ | 0.255 | −0.115 | 0.034 | 0.267 | 0.253 | 0.293 | 0.192 | 0.264 | 1 | |||||||||
| Fe2+ | −0.007 | 0.028 | −0.148 | 0.006 | 0.020 | 0.138 | −0.069 | −0.012 | 0.066 | 1 | ||||||||
| HCO3− | 0.318 | −0.338 | −0.109 | 0.331 | 0.338 | 0.402 | 0.248 | 0.305 | 0.723 | −0.020 | 1 | |||||||
| Cl− | 0.975 | −0.399 | −0.558 | 0.977 | 0.953 | 0.821 | 0.897 | 0.975 | 0.149 | 0.019 | 0.161 | 1 | ||||||
| SO42− | 0.798 | −0.714 | −0.399 | 0.798 | 0.805 | 0.764 | 0.712 | 0.782 | 0.448 | −0.035 | 0.603 | 0.658 | 1 | |||||
| NO3− | 0.225 | −0.354 | −0.284 | 0.216 | 0.263 | 0.154 | 0.302 | 0.208 | 0.318 | 0.089 | 0.320 | 0.145 | 0.350 | 1 | ||||
| F− | 0.568 | −0.239 | −0.297 | 0.573 | 0.515 | 0.472 | 0.468 | 0.583 | 0.409 | −0.140 | 0.530 | 0.506 | 0.575 | 0.182 | 1 | |||
| As | −0.185 | 0.261 | 0.220 | −0.184 | −0.236 | −0.257 | −0.188 | −0.150 | −0.253 | −0.178 | −0.361 | −0.135 | −0.224 | −0.132 | 0.066 | 1 | ||
| NDVI | −0.160 | 0.192 | −0.046 | −0.152 | −0.129 | −0.099 | −0.132 | −0.165 | 0.044 | −0.064 | 0.168 | −0.189 | −0.011 | −0.229 | −0.180 | −0.127 | 1 | |
| NDBI | 0.072 | −0.104 | 0.040 | 0.067 | 0.067 | 0.003 | 0.104 | 0.074 | −0.041 | 0.162 | −0.170 | 0.104 | −0.063 | 0.197 | 0.078 | 0.064 | −0.939 | 1 |
| Parameters | 2015 | 2021 | ||||
|---|---|---|---|---|---|---|
| F1 | F2 | F3 | F1 | F2 | F3 | |
| EC | 0.959 | −0.193 | −0.183 | 0.976 | −0.093 | −0.148 |
| pH | −0.570 | −0.644 | −0.131 | −0.590 | −0.010 | −0.230 |
| Turbidity | 0.289 | 0.315 | 0.455 | −0.602 | 0.043 | 0.263 |
| TDS | 0.972 | −0.170 | −0.146 | 0.977 | −0.082 | −0.145 |
| Hardness | 0.974 | −0.093 | −0.121 | 0.975 | −0.067 | −0.148 |
| Ca2+ | 0.917 | −0.163 | −0.200 | 0.878 | 0.038 | −0.080 |
| Mg2+ | 0.967 | −0.057 | −0.080 | 0.894 | −0.128 | −0.167 |
| Na+ | 0.965 | −0.191 | −0.126 | 0.964 | −0.101 | −0.147 |
| K+ | 0.388 | 0.663 | 0.051 | 0.363 | 0.496 | 0.576 |
| Fe2+ | 0.053 | −0.106 | 0.414 | 0.020 | −0.094 | 0.167 |
| HCO3− | 0.656 | 0.425 | 0.444 | 0.463 | 0.632 | 0.499 |
| Cl− | 0.882 | −0.295 | −0.312 | 0.920 | −0.207 | −0.258 |
| SO42− | 0.959 | −0.010 | 0.088 | 0.872 | 0.236 | 0.142 |
| NO3− | 0.293 | 0.517 | 0.565 | 0.338 | 0.572 | 0.546 |
| F− | 0.753 | 0.192 | 0.080 | 0.625 | 0.084 | 0.212 |
| As | −0.112 | −0.483 | 0.274 | −0.259 | −0.344 | −0.181 |
| NDVI | −0.297 | 0.509 | −0.684 | −0.158 | 0.818 | −0.503 |
| NDBI | 0.179 | −0.490 | 0.723 | 0.079 | −0.803 | 0.526 |
| Eigenvalue | 8.996 | 2.415 | 2.037 | 8.623 | 2.243 | 1.841 |
| Variability (%) | 49.981 | 13.391 | 11.319 | 47.907 | 12.454 | 10.245 |
| Cumulative % | 49.981 | 63.371 | 74.691 | 47.907 | 60.361 | 70.606 |
| 2015 | 2021 | |||||||||||
|---|---|---|---|---|---|---|---|---|---|---|---|---|
| CDI | HQing | CDI | HQing | |||||||||
| Age | Children | Adult | Infant | Children | Adult | Infant | Children | Adult | Infant | Children | Adult | Infant |
| Min | 3.13 × 10−3 | 4.67 × 10−3 | 6 × 10−3 | 1.95 × 10−3 | 2.92 × 10−3 | 3.75 × 10−3 | 1.31 × 10−1 | 1.96 × 10−1 | 2.52 × 10−1 | 8.20 × 10−2 | 1.23 × 10−1 | 1.58 × 10−1 |
| Max | 4.50 × 10−1 | 6.72 × 10−1 | 8.64 × 10−1 | 2.81 × 10−1 | 4.20 × 10−1 | 5.40 × 10−1 | 5.63 × 10−1 | 8.40 × 10−1 | 1.08 × 100 | 3.52 × 10−1 | 5.25 × 10−1 | 6.75 × 10−1 |
| Mean | 2.51 × 10−1 | 3.74 × 10−1 | 4.81 × 10−1 | 1.57 × 10−1 | 2.34 × 10−1 | 3.01 × 10−1 | 3.46 × 10−1 | 5.17 × 10−1 | 6.65 × 10−1 | 2.17 × 10−1 | 3.23 × 10−1 | 4.16 × 10−1 |
Publisher’s Note: MDPI stays neutral with regard to jurisdictional claims in published maps and institutional affiliations. |
© 2022 by the authors. Licensee MDPI, Basel, Switzerland. This article is an open access article distributed under the terms and conditions of the Creative Commons Attribution (CC BY) license (https://creativecommons.org/licenses/by/4.0/).
Share and Cite
Jat Baloch, M.Y.; Zhang, W.; Shoumik, B.A.A.; Nigar, A.; Elhassan, A.A.M.; Elshekh, A.E.A.; Bashir, M.O.; Mohamed Salih Ebrahim, A.F.; Adam Mohamed, K.a.; Iqbal, J. Hydrogeochemical Mechanism Associated with Land Use Land Cover Indices Using Geospatial, Remote Sensing Techniques, and Health Risks Model. Sustainability 2022, 14, 16768. https://doi.org/10.3390/su142416768
Jat Baloch MY, Zhang W, Shoumik BAA, Nigar A, Elhassan AAM, Elshekh AEA, Bashir MO, Mohamed Salih Ebrahim AF, Adam Mohamed Ka, Iqbal J. Hydrogeochemical Mechanism Associated with Land Use Land Cover Indices Using Geospatial, Remote Sensing Techniques, and Health Risks Model. Sustainability. 2022; 14(24):16768. https://doi.org/10.3390/su142416768
Chicago/Turabian StyleJat Baloch, Muhammad Yousuf, Wenjing Zhang, Baig Abdullah Al Shoumik, Anam Nigar, Adil A. M. Elhassan, Ali. E. A. Elshekh, Maaz Osman Bashir, Ahmed Fathi Mohamed Salih Ebrahim, Khalaf alla Adam Mohamed, and Javed Iqbal. 2022. "Hydrogeochemical Mechanism Associated with Land Use Land Cover Indices Using Geospatial, Remote Sensing Techniques, and Health Risks Model" Sustainability 14, no. 24: 16768. https://doi.org/10.3390/su142416768
APA StyleJat Baloch, M. Y., Zhang, W., Shoumik, B. A. A., Nigar, A., Elhassan, A. A. M., Elshekh, A. E. A., Bashir, M. O., Mohamed Salih Ebrahim, A. F., Adam Mohamed, K. a., & Iqbal, J. (2022). Hydrogeochemical Mechanism Associated with Land Use Land Cover Indices Using Geospatial, Remote Sensing Techniques, and Health Risks Model. Sustainability, 14(24), 16768. https://doi.org/10.3390/su142416768

