Research on the Evolution of Consumers’ Purchase Intention Based on Online Reviews and Opinion Dynamics
Abstract
1. Introduction
2. Related Works
- (1)
- The fuzzy quantification of online reviews is performed by the trapezoidal fuzzy number. Generally, consumers usually express their opinion in reviews, which are vague. The trapezoidal fuzzy number can be transformed to real numbers and triangular fuzzy numbers, and more consumer real needs can be satisfied.
- (2)
- Opinion similarities between consumer and online reviews and the “negative bias” mechanism are considered in the bound of the improved D-W model. Opinion similarity restricts the degree of the interaction relationship, which can better simulate the state of consumers browsing online reviews. The “negative bias” mechanism can fit the general mentality that customers are always sensitive to negative reviews and will interact with them.
3. Methodology
- Opinion mining of online review. A text analysis technique based on the sentiment dictionary is constructed to obtain the opinion values of online reviews.
- Fuzzy quantification of sentiment values. Online reviews are an expression of ambiguity. The trapezoidal fuzzy number is introduced to quantify online review opinions based on a five-point Likert scale method.
- Model construction of purchase intention evolution. The recipients and reviewers are divided into different groups. The improved D-W model is constructed to analyze the evolution model of consumer purchase intention.
3.1. Opinion Mining from Online Review
3.1.1. Acquisition and Pre-Processing of the Initial Review Dataset
3.1.2. Computation of the Sentiment Opinion Values
3.2. Fuzzy Quantification of Sentiment Values
3.3. Model Construction of Purchase Intention Evolution
4. Case Study
4.1. Acquisition and Processing of Dataset
4.2. Data Analysis
4.3. Analysis of Evolution Results
4.4. Sensitivity Analysis
4.4.1. Recipient Personality Coefficient
4.4.2. Reviewer Professionalism
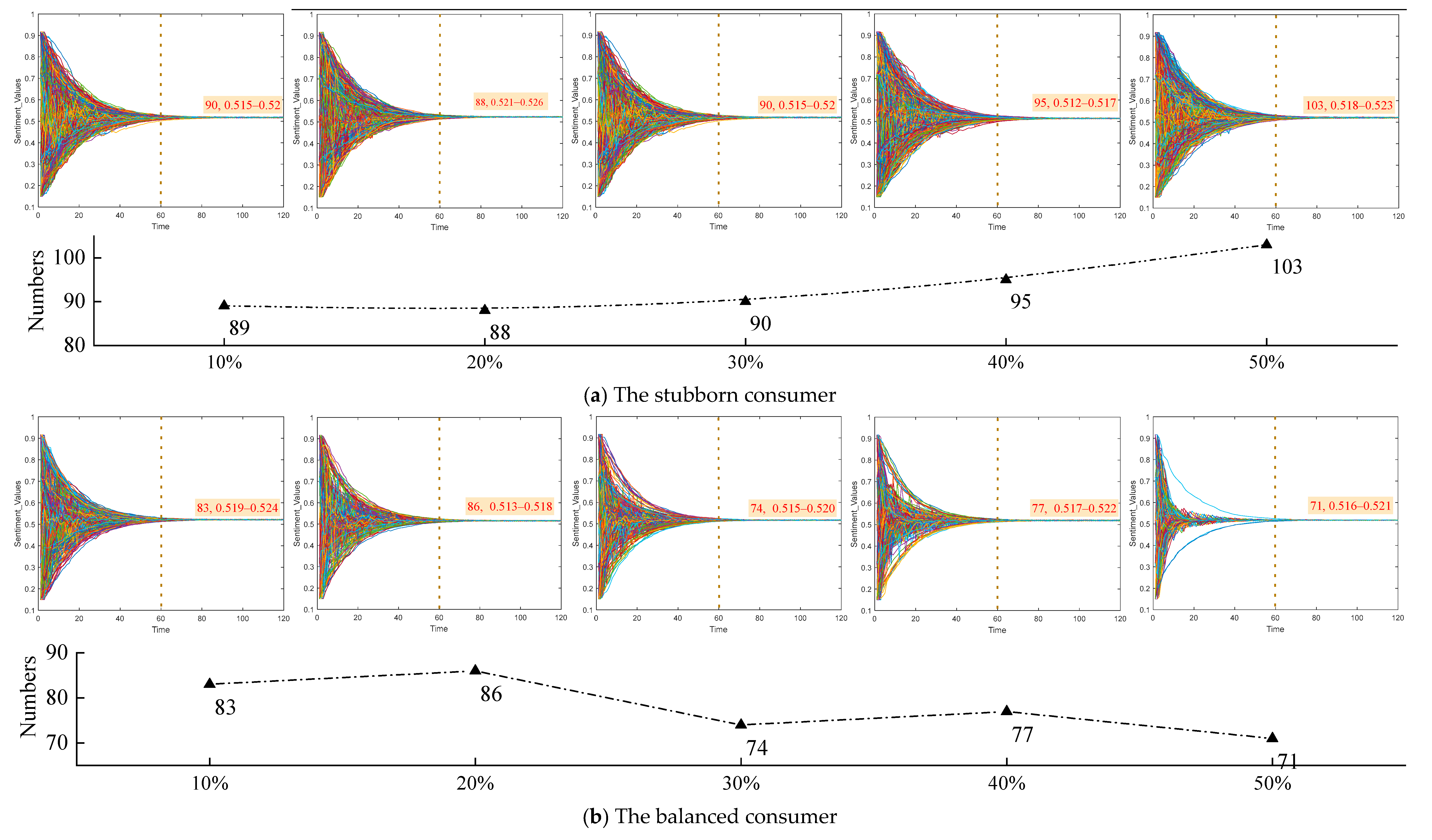
4.4.3. Size of Heterogeneous Consumers
5. Conclusions
Author Contributions
Funding
Institutional Review Board Statement
Informed Consent Statement
Data Availability Statement
Conflicts of Interest
References
- Bai, Y.; Li, T.; Zheng, C. Is there any value in the online reviews of remedial satisfied customers? An empirical study in the hospitality industry. J. Retail. Consum. Serv. 2022, 64, 102804. [Google Scholar] [CrossRef]
- Hennig-Thurau, T.; Gwinner, K.P.; Walsh, G.; Gremler, D.D. Electronic word-of-mouth via consumer-opinion platforms: What motivates consumers to articulate themselves on the internet? J. Interact. Mark. 2004, 18, 38–52. [Google Scholar] [CrossRef]
- Puengwattanapong, P.; Leelasantitham, A. A Holistic Perspective Model of Plenary Online Consumer Behaviors for Sustainable Guidelines of the Electronic Business Platforms. Sustainability 2022, 14, 6131. [Google Scholar] [CrossRef]
- Dias, E.G.; Oliveira, L.K.; Isler, C.A. Assessing the Effects of Delivery Attributes on E-Shopping Consumer Behaviour. Sustainability 2021, 14, 13. [Google Scholar] [CrossRef]
- Baek, J.; Lee, J. A Conceptual Framework on Reconceptualizing Customer Share of Wallet (SOW): As a Perspective of Dynamic Process in the Hospitality Consumption Context. Sustainability 2021, 13, 1423. [Google Scholar] [CrossRef]
- Chen, Y.L.; Chang, C.L.; Sung, A.Q. Predicting eWOM’s Influence on Purchase Intention Based on Helpfulness, Credibility, Information Quality and Professionalism. Sustainability 2021, 13, 7486. [Google Scholar] [CrossRef]
- Xia, Y.; Ha, H. Do Online Reviews Encourage Customers to Write Online Reviews? A Longitudinal Study. Sustainability 2022, 14, 4612. [Google Scholar] [CrossRef]
- Wu, W.; Kou, G. A group consensus model for evaluating real estate investment alternatives. Financ. Innov. 2016, 2, 10. [Google Scholar] [CrossRef]
- Park, D.H.; Kim, S. The effects of consumer knowledge on message processing of electronic word-of-mouth via online consumer reviews. Electron. Commer. Res. Appl. 2009, 7, 399–410. [Google Scholar] [CrossRef]
- Dodds, W.B.; Monroe, K.B.; Grewal, D. Effects of Price, Brand, and Store Information on Buyers’ Product Evaluations. J. Mark. Res. 1991, 28, 307–319. [Google Scholar]
- Changchit, C.; Klaus, T.; Lonkani, R. Online Reviews: What Drives Consumers to Use Them. J. Comput. Inf. Syst. 2022, 62, 227–236. [Google Scholar] [CrossRef]
- Ketron, S. Investigating the effect of quality of grammar and mechanics (QGAM) in online reviews: The mediating role of reviewer credibility. J. Bus. Res. 2017, 81, 51–59. [Google Scholar] [CrossRef]
- Zhong, M.; Qu, X.; Chen, Y.; Liao, S.; Xiao, Q. Impact of Factors of Online Deceptive Reviews on Customer Purchase Decision Based on Machine Learning. J. Healthc. Eng. 2021, 2021, 7475002. [Google Scholar] [CrossRef] [PubMed]
- Cain, L.N.; Kim, E.J.; Tanford, S. Hotel review framing and the “law of small numbers”. J. Consum. Behav. 2021, 20, 501–511. [Google Scholar] [CrossRef]
- Zhou, Q.; Xu, Z.; Yen, N.Y. User sentiment analysis based on social network information and its application in consumer reconstruction intention. Comput. Hum. Behav. 2019, 100, 177–183. [Google Scholar] [CrossRef]
- Su, L.; Yang, Q.; Swanson, S.R.; Chen, N.C. The impact of online reviews on destination trust and travel intention: The moderating role of online review trustworthiness. J. Vacat. Mark. 2021, 28, 135676672110632. [Google Scholar] [CrossRef]
- Yan, Q.; Zhou, S.; Zhang, X.; Li, Y. A System Dynamics Model of Online Stores’ Sales: Positive and Negative E-WOM and Promotion Perspective. Sustainability 2019, 11, 6045. [Google Scholar] [CrossRef]
- Cox, D.; Cox, J.G.; Cox, A.D. To err is human? How typographical and orthographical errors affect perceptions of online reviewers. Comput. Hum. Behav. 2017, 75, 245–253. [Google Scholar] [CrossRef]
- Hwang, J.; Park, S.; Woo, M. Understanding user experiences of online travel review websites for hotel booking behaviours: An investigation of a dual motivation theory. Asia. Pac. J. Tour. Res. 2018, 23, 359–372. [Google Scholar] [CrossRef]
- Park, D.H.; Lee, J.; Han, I. The Effect of On-Line Consumer Reviews on Consumer Purchasing Intention: The Moderating Role of Involvement. Int. J. Electron. Commer. 2007, 11, 125–148. [Google Scholar] [CrossRef]
- Chen, J.; Kou, G.; Peng, Y. The dynamic effects of online product reviews on purchase decisions. Technol. Econ. Dev. Econ. 2018, 24, 2045–2064. [Google Scholar] [CrossRef]
- Shin, B.; Ryu, S.; Kim, Y.; Kim, D. Analysis on Review Data of Restaurants in Google Maps through Text Mining: Focusing on Sentiment Analysis. J. Multimed. Inf. Syst. 2022, 9, 61–68. [Google Scholar] [CrossRef]
- Liu, X.; Mao, L.; Deng, W. The influence of consumer mindset and corporate social responsibility on purchase intention. Soc. Behav. Pers. 2018, 46, 1647–1656. [Google Scholar] [CrossRef]
- Zhuang, W.; Luo, X.; Riaz, M.U. On the factors influencing green purchase intention: A meta-analysis approach. Front. Psychol. 2021, 12, 644020. [Google Scholar] [CrossRef]
- Yali, Z.; Yoon, K.J. The Influence of Customer Perceptions of Overall Service Quality on Purchase Intention in M-Commerce: The Moderating Role of Chinese Consumer’s Innovativeness. J. Prod. Res. 2021, 39, 77–86. [Google Scholar]
- Wang, J.; Shahzad, F.; Ahmad, Z.; Abdullah, M.; Hassan, N.M. Trust and Consumers’ Purchase Intention in a Social Commerce Platform: A Meta-Analytic Approach. SAGE Open 2022, 12, 21582440221091262. [Google Scholar] [CrossRef]
- Chang, C.T.; Yen, C.T. Missing ingredients in metaphor advertising: The right formula of metaphor type, product type, and need for cognition. J. Advert. 2013, 42, 80–94. [Google Scholar] [CrossRef]
- Park, S.; Nicolau, J.L. Asymmetric effects of online consumer reviews. Ann. Touris. Res. 2015, 50, 67–83. [Google Scholar] [CrossRef]
- Kang, M.; Sun, B.; Liang, T.; Mao, H.Y. A study on the influence of online reviews of new products on consumers’ purchase decisions: An empirical study on JD.com. Front. Psychol. 2022, 13, 983060. [Google Scholar] [CrossRef]
- Wang, X.; Xu, F.; Luo, X.R.; Peng, L. Effect of sponsorship disclosure on online consumer responses to positive reviews: The moderating role of emotional intensity and tie strength. Decis. Support Syst. 2022, 156, 113741. [Google Scholar] [CrossRef]
- Von Helversen, B.; Abramczuk, K.; Kopec, W.; Nielek, R. Influence of consumer reviews on online purchasing decisions in older and younger adults. Decis. Support Syst. 2018, 113, 1–10. [Google Scholar] [CrossRef]
- Xiao, L.; Luo, L.; Ke, T. The influence of eWOM information structures on consumers’ purchase intentions. Electron. Commer. Res. 2022, 1–23. [Google Scholar] [CrossRef]
- Xu, X.; Jin, Y. Examining the effects of conflicting reviews on customers’ purchase intentions from a product attributes perspective. J. Consum. Behav. 2022, 21, 1351–1364. Available online: https://onlinelibrary.wiley.com/doi/10.1002/cb.2077 (accessed on 14 June 2022). [CrossRef]
- Zou, F.; Li, Y.; Huang, J. Group interaction and evolution of customer reviews based on opinion dynamics towards product redesign. Electron. Commer. Res. 2020, 22, 1131–1151. [Google Scholar] [CrossRef]
- Jiang, G.; Luo, T.; Liu, X. Opinion Evolution Model for Online Reviews from the Perspective of Value Co-creation. Inf. Fusion. 2022, 88, 41–58. [Google Scholar] [CrossRef]
- Jiang, H.; Kwong, C.K.; Kremer, G.E.O.; Park, W.Y. Dynamic modelling of customer preferences for product design using DENFIS and opinion mining. Adv. Eng. Inform. 2019, 42, 100969. [Google Scholar] [CrossRef]
- Sun, S.; Luo, C.; Chen, J. A review of natural language processing techniques for opinion mining systems. Inf. Fusion 2017, 36, 10–25. [Google Scholar] [CrossRef]
- Shankar, A.; Yadav, R.; Gupta, M.; Jebarajakirthy, C. How Does Online Engagement Drive Consumers’ Webrooming Intention? A Moderated-Mediation Approach. J. Glob. Inf. Manag. 2021, 29, 1–25. [Google Scholar] [CrossRef]
- Grljević, O.; Bošnjak, Z.; Kovačević, A. Opinion mining in higher education: A corpus-based approach. Enterp. Inf. Syst. 2020, 16, 1773542. [Google Scholar] [CrossRef]
- Xu, D.P.; Ye, Q.; Hong, H.; Sun, F.F. Emotions for attention in online consumer reviews: The moderated mediating role of review helpfulness. Ind. Manage. Data Syst. 2022, 122, 729–751. [Google Scholar] [CrossRef]
- Plotkina, D.; Munzel, A. Delight the experts, but never dissatisfy your customers! A multi-category study on the effects of online review source on intention to buy a new product. J. Retail. Consum. Serv. 2016, 29, 1–11. [Google Scholar] [CrossRef]
- Chiang, F.; Andritsos, P.; Zhu, E.; Miller, R.J. Autodict: Automated dictionary discovery. In Proceedings of the 2012 IEEE 28th International Conference on Data Engineering, Arlington, VA, USA USA, 1–5 April 2012; IEEE: Piscataway, NJ, USA, 2012; pp. 1277–1280. [Google Scholar] [CrossRef]
- Matsumoto, K.; Ren, F.; Kuroiwa, S.; Tsuchiya, S. Emotion Estimation Algorithm Based on Interpersonal Emotion Included in Emotional Dialogue Sentences. In Mexican International Conference on Artificial Intelligence; Springer: Berlin/Heidelberg, Germany, 2007; Volume 4827, pp. 1035–1045. [Google Scholar]
- Yang, Z.; Xiong, G.; Cao, Z.; Li, Y.; Huang, L. A decision method for online purchases considering dynamic information preference based on sentiment orientation classification and discrete DIFWA operators. IEEE Access 2019, 7, 77008–77026. [Google Scholar] [CrossRef]
- Giráldez-Cru, J.; Chica, M.; Cordón, O. A framework of opinion dynamics using fuzzy linguistic 2-tuples. Knowl.-Based Syst. 2021, 233, 107559. [Google Scholar] [CrossRef]
- Nilashi, M.; Mardani, A.; Liao, H.; Ahmadi, H.; Manaf, A.A.; Almukadi, W. A hybrid method with TOPSIS and machine learning techniques for sustainable development of green hotels considering online reviews. Sustainability 2019, 11, 6013. [Google Scholar] [CrossRef]
- Li, C.; Liu, Y.M.; Du, R. The Effects of Review Presentation Formats on Consumers’ Purchase Intention. J. Glob. Inf. Manag. 2021, 29, 20. [Google Scholar] [CrossRef]
- Deffuant, G.; Neau, D.; Amblard, F.; Weisbuch, G. Mixing beliefs among interacting agents. Adv. Complex Syst. 2000, 3, 87–98. [Google Scholar] [CrossRef]
- Guo, G.; Chen, F.; Chen, L. Research on Weibo Public Opinion Evolution Based on Similarity Measure of Fuzzy Perspective. Inf. Sci. 2020, 38, 82–86. (In Chinese) [Google Scholar]
- Sun, B.; Mao, H.Y.; Yin, C.S. How to identify product defects and segment consumer groups on an online auto forum. Int. J. Consum. Stud. 2022, 46, 2270–2287. [Google Scholar] [CrossRef]














| Attribute | Character Word |
|---|---|
| Attribute A1 | |
| Attribute A2 | |
| Attribute Am |
| Part-of-Speech | Key | Value | Representation |
|---|---|---|---|
| Emotion word | positive | 1 | |
| negative | −1 | ||
| Negation word | negation | −1 | |
| Degree adverb | strong | 1 | |
| medium | 0.5 | ||
| weak | 0.1 |
| Degree of Sentiment | Denotation | Scope of Value | Trapezoidal Fuzzy Number |
|---|---|---|---|
| Best | Strongly positive | [1, +∞) | [0.8, 0.85, 0.95, 1] |
| Better | Mediumly positive | [0.5, 1) | [0.6, 0.65, 0.75, 0.8] |
| Average | Weakly positive or weakly negative | (−0.5, 0.5) | [0.4, 0.45, 0.55, 0.6] |
| Worse | Mediumly negative | (−1, −0.5] | [0.2, 0.25, 0.35, 0.4] |
| Worst | Strongly negative | (−∞, −1] | [0, 0.05, 0.15, 0.2] |
| Attribute | Character Word |
|---|---|
| Appearance | design, style, facevalue, shape, appearance, color, icon, desktop theme, page, perception, color schemes, size, workmanship, outer frame, back |
| Screen and Sound | screen, animation, visual effects, clarity, recognition, image resolution, picture quality, filtration, color, timbre, voice, audio effect, music, loudspeaker, stereo, surround sound, sound effect, speaker, telephone, ring |
| Photo and Camera | photo, lens, front, camera, night view, imaging, video, telephoto, wide-angle lens, picture, colorimetric, telephoto lens, record |
| Standby Time | endurance, charging, battery capacity, power consumption, capacity, electricity, quantity of electric charge, battery |
| System operation | operating system, running speed, download speed, speed, power consumption, stuck/frozen, hardware, chip, refresh rate, sensitivity, smoothness, memory capacity, memory, storage, compatibility, game |
| Service and Experience | earphone, charger, weight, thickness, feel, heat, touch, fingerprint, curved surface, arc, micro-curved, signal, network, network speed, cyber, unlock, lock screen, development, experience, software, control, hand grip, anti-shake, touch screen, face recognition |
| Others | harmony, kirin, price-quality ratio, price, level, service life, send out, logistics, distribution, packaging, quality, delivery, bonding, payment, release, product, brand, physical, snatch, effect |
| Part-of-Speech | Key | Word | Value |
|---|---|---|---|
| Emotion word | positive | benefit, gift, good, great, beautiful, crazy, nameless, amazing, bonus, domineering, applicable, hospitable, reliable, excited, make progress, ultra-portable, love, witty, successful, honest, smooth, quick, improving, etc. | 1 |
| negative | competitive, fragile, invisible, dominant, vulgar, inconsiderate, anxious, third-rate, power consuming, slow, stuttering, stuttering, simple, dusty, rotten, etc. | −1 | |
| Negation word | negation | not, not a little, not very, not much, how not, hardly, never, don’t use, shouldn’t, don’t, can’t, no, very little, hasn’t, isn’t, hardly, put down, stifle, terminate | −1 |
| Degree adverb | strong | very, double, extreme, unbearable, sufficient, end, particularly, extremely, absolutely, amazing, etc. | 1 |
| medium | quite, quite a few, not better, surprisingly, much, can, really, etc. | 0.5 | |
| weak | more or less, slightly, a little, some, mildly, half | 0.1 |
| Online Review | Reviewer Rank | Trapezoidal Fuzzy Number |
|---|---|---|
| Appearance: beautiful, pink, feel super good, round running speed: fast, much faster than p40pro, harmony system operates smoothly | PLUS user | [0.4, 0.45, 0.55, 0.6] |
| Pretty good things. Authentic goods! It works very well. Appearance: Bright Screen sound: Good Photo effect: Great Running speed: always good | PLUS user and evaluation officer | [0.8, 0.85, 0.95,1] |
| Do not know when and why the mobile phone begins to not match the charger. Does the consumption level of native people has satisfied the mobile phone for single use? The series also does not indicate the case. The customer service persists they are always like this and recommends buying the official standard charger. The order page only has a standard series. How do I know there is no charger? I remember I bought mate40pro with a charger a year ago. Has technology developed so fast? Mobile phones do not have a charger have been the default industry rules? Shouldn’t anything that breaks the default rules have a strong text reminder? Playing some word games hurts the hearts of the fans. | Evaluation officer | [0.4, 0.45, 0.55, 0.6] |
| My husband sent it as a gift during double eleven. The screen is very large and feels just suitable in the hand. Quality of sound is good. Screen resolution is also very good, and there is the eye protection mode. Watching videos is not dazzling. Double eleven is very special. | Ordinary | [0.6, 0.65, 0.75, 0.8] |
| Rushing to purchase the phone with a mindset of trying, I just get it. It is the wife’s gift for Qiqiao Festival. It is very small in the hand, quite suitable for girls. The system is very smooth and feels quite adapted to Apple’s operating habits. I buy it roughly and do not pay attention to headsets and charging equipment. They need to be purchased separately. Running speed: very fast! Appearance: with phone case and protector Photo effect: Too many functions, no know how to use | Evaluation officer | [0.6, 0.65, 0.75, 0.8] |
| … | … | … |
| Types | Professionalism (cr) | Size/Person | Scale |
|---|---|---|---|
| Evaluation officer and PLUS user | 1 | 232 | 23.3% |
| Evaluation officer | 0.8 | 143 | 34.8% |
| PLUS user | 0.6 | 348 | 14.3% |
| Ordinary user | 0.5 | 277 | 27.7% |
Publisher’s Note: MDPI stays neutral with regard to jurisdictional claims in published maps and institutional affiliations. |
© 2022 by the authors. Licensee MDPI, Basel, Switzerland. This article is an open access article distributed under the terms and conditions of the Creative Commons Attribution (CC BY) license (https://creativecommons.org/licenses/by/4.0/).
Share and Cite
Zhang, N.; Yu, P.; Li, Y.; Gao, W. Research on the Evolution of Consumers’ Purchase Intention Based on Online Reviews and Opinion Dynamics. Sustainability 2022, 14, 16510. https://doi.org/10.3390/su142416510
Zhang N, Yu P, Li Y, Gao W. Research on the Evolution of Consumers’ Purchase Intention Based on Online Reviews and Opinion Dynamics. Sustainability. 2022; 14(24):16510. https://doi.org/10.3390/su142416510
Chicago/Turabian StyleZhang, Na, Ping Yu, Yupeng Li, and Wei Gao. 2022. "Research on the Evolution of Consumers’ Purchase Intention Based on Online Reviews and Opinion Dynamics" Sustainability 14, no. 24: 16510. https://doi.org/10.3390/su142416510
APA StyleZhang, N., Yu, P., Li, Y., & Gao, W. (2022). Research on the Evolution of Consumers’ Purchase Intention Based on Online Reviews and Opinion Dynamics. Sustainability, 14(24), 16510. https://doi.org/10.3390/su142416510

