Fabrication of Nano-Ag Encapsulated on ZnO/Fe2V4O13 Hybrid-Heterojunction for Photodecomposition of Methyl Orange
Abstract
1. Introduction
2. Experimental
Fabrication of Ag Coated with ZnO/Fe2V4O13
3. Results and Discussion
3.1. FT-IR
3.2. XRD
3.3. BET Surface Area
3.4. SEM-EDX with Color Mapping
3.5. HR-TEM
3.6. UV-Vis-DRS
3.7. PL Emission Spectra
3.8. Primary Analysis
3.9. Effect of pH
3.10. Reusability
3.11. Mineralization Studies
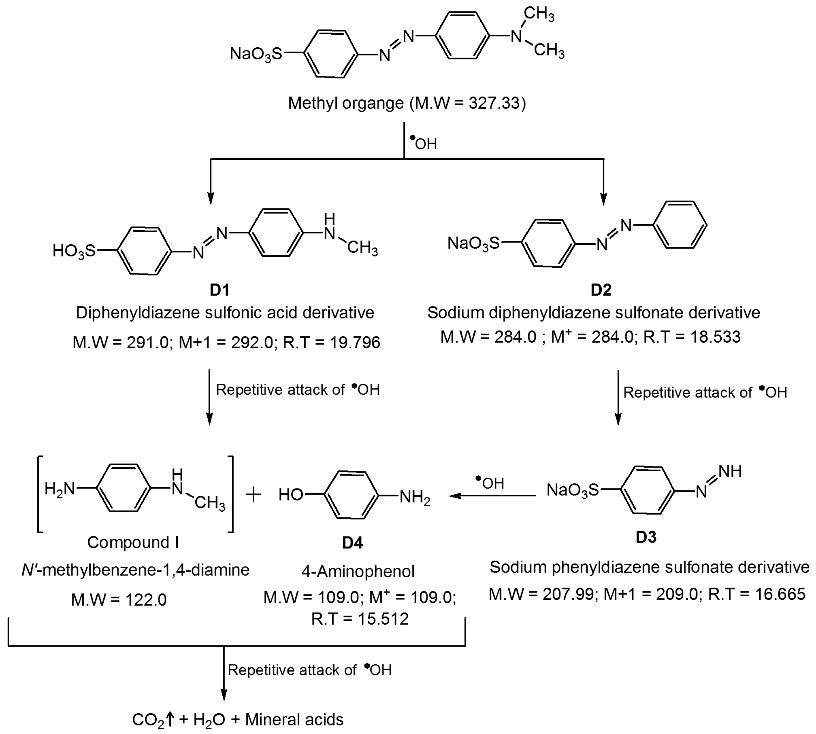
3.11.1. Gas Chromatography–Mass Spectrometry (GC-MS) Analysis
3.11.2. FT-IR Spectral Analysis
3.11.3. UV-Vis Spectral Analysis
3.11.4. COD Measurements
3.12. Mechanism
4. Conclusions
Supplementary Materials
Author Contributions
Funding
Acknowledgments
Conflicts of Interest
Abbreviations
| ZnO | Zinc Oxide |
| Fe2V4O13 | Iron tetrapolyvanadate |
| FT-IR | Fourier transform infrared spectroscopy |
| XRD | X-ray diffraction |
| BET | Brunauer–Emmett–Teller analysis |
| EDX | Energy dispersive X-ray |
| ECM | Electron color mapping |
| HR-TEM | High-resolution transmission electron microscopy |
| UV-vis-DRS | Ultraviolet–visible diffuse reflectance spectroscopy |
| PL | Photoluminescence spectroscopy |
| MO | Methyl orange |
| AOPs | Advanced oxidation processes |
References
- Weber, E.J.; Adams, R.L. Chemical- and Sediment-Mediated Reduction of the Azo Dye Disperse Blue 79. Environ. Sci. Technol. 1995, 29, 1163–1170. [Google Scholar] [CrossRef] [PubMed]
- Zollinger, H. Colour Chemistry—Synthesis, Properties of Organic Dyes and Pigments; VCH Publishers: New York, NY, USA, 1987; pp. 92–100. [Google Scholar]
- Rajasri, S.; Krishnakumar, B.; Sobral, A.J.F.N.; Balachandran, S.; Swaminathan, M.; Muthuvel, I. Development of Cd3(PO4)2/rGO coupled semiconductor system for effective mineralization of Basic Violet 10 (BV 10) under UV-A light. Mater. Today Proc. 2019, 15, 471–480. [Google Scholar] [CrossRef]
- Tanaka, K.; Padermpole, K.; Hisanaga, T. Photocatalytic degradation of commercial azo dyes. Water Res. 2000, 34, 327–333. [Google Scholar] [CrossRef]
- Ruan, W.; Hu, J.; Qi, J.; Hou, Y.; Zhou, C.; Wei, X. Removal of dyes from wastewater by nanomaterials: A review. Adv. Mater. Lett. 2019, 10, 9–20. [Google Scholar] [CrossRef]
- Muthuvel, I.; Swaminathan, M. Photoassisted Fenton mineralisation of Acid Violet 7 by heterogeneous Fe(III)–Al2O3 catalyst. Catal. Commun. 2007, 8, 981–986. [Google Scholar] [CrossRef]
- Muthuvel, I.; Swaminathan, M. Highly solar active Fe(III) immobilized–Alumina for the degradation of Acid Violet 7. Sol. Energy Mater. Sol. Cells 2008, 92, 857–863. [Google Scholar] [CrossRef]
- Shirzad-Siboni, M.; Samadi, M.T.; Yang, J.; Lee, S. Photocatalytic reduction of Cr(VI) and Ni(II) in aqueous solution by synthesized nanoparticle ZnO under ultraviolet light irradiation: A kinetic study. Environ. Technol. 2011, 32, 1573–1579. [Google Scholar] [CrossRef]
- Rezaee, A.; Masoumbeigi, H.; Soltani, R.D.C.; Khataee, A.R.; Hashemiyan, S. Photocatalytic decolorization of methylene blue using immobilized ZnO nanoparticles prepared by solution combustion method. Desalination Water Treat. 2012, 44, 174–179. [Google Scholar] [CrossRef]
- Zhang, N.; Zhang, Y.; Xu, Y.-J. Recent progress on graphene-based photocatalysts: Current status and future perspectives. Nanoscale 2012, 4, 5792–5813. [Google Scholar] [CrossRef]
- Lee, H.J.; Kim, H.; Park, S.S.; Hong, S.S.; Lee, G.D. Degradation kinetics for photocatalytic reaction of methyl orangver-allAl-doped ZnO nanoparticles. J. Ind. Eng. Chem. 2015, 25, 199–206. [Google Scholar]
- Ansari, S.A.; Khan, M.M.; Ansari, M.O.; Lee, J.; Cho, M.H. Biogenic synthesis, photocatalytic, and photoelectrochemical performance of Ag–ZnO nanocomposite. J. Phys. Chem. 2013, 117, 27023–27030. [Google Scholar] [CrossRef]
- Muñoz-Fernandez, L.; Gomez-Villalba, L.; Milošević, O.; Rabanal, M. Influence of nanoscale defects on the improvement of photocatalytic activity of Ag/ZnO. Mater. Charact. 2022, 185, 111718. [Google Scholar] [CrossRef]
- Gurugubelli, T.R.; Ravikumar, R.V.S.S.N.; Koutavarapu, R. Enhanced Photocatalytic Activity of ZnO–CdS Composite Nanostructures towards the Degradation of Rhodamine B under Solar Light. Catalysts 2022, 12, 84. [Google Scholar] [CrossRef]
- Dharmana, G.; Gurugubelli, T.R.; Masabattula, P.S.R.; Babu, B.; Yoo, K. Facile synthesis, characterization, and photocatalytic activity of hydrothermally crown Cu2+-doped ZnO-SnS nanocomposites for MB dye degradation. Catalysts 2022, 12, 328. [Google Scholar] [CrossRef]
- Alam, M.W.; Azam, H.; Khalid, N.R.; Naeem, S.; Hussain, M.K.; Baqais, A.; Farhan, M.; Souayeh, B.; Zaidi, B.; Kahan, K. Enhanced photocatalytic performance of Ag3PO4/Mn-ZnO nanocomposite for the degradation of Tetracycline Hydrochloride. Crystals 2022, 12, 1156. [Google Scholar] [CrossRef]
- El-Sayed, F.; Hussien, M.S.A.; Alabdulaal, T.H.; Ismail, A.; Zahran, H.Y.; Yahia, I.S.; Abdel-Wahab, M.S.; Khairy, Y.; Ali, T.E.; Ibrahim, M.A. Comparative degradation studies of Carmine Dye by photocatalysis and photoelectrochemical oxidation pro-cesses in the presence of Graphene/N-Doped ZnO nanostructures. Crystals 2022, 12, 535. [Google Scholar] [CrossRef]
- Landge, V.K.; Huang, C.M.; Hakke, V.S.; Sonawane, S.H.; Manickam, S.; Hsieh, M.C. Solar-energy-driven Cu-ZnO/TiO2 nanocomposite photocatalyst for the rapid degradation of Congo Red azo dye. Catalysts 2022, 12, 605. [Google Scholar] [CrossRef]
- Lakkepally, S.; Kalegowda, Y.; Ganganagappa, N.; Siddaramanna, A. A new and effective approach for Fe2V4O13 nanoparticles synthesis: Evaluation of electrochemical performance as cathode for lithium secondary batteries. J. Alloys Compd. 2018, 737, 665–671. [Google Scholar] [CrossRef]
- Li, S.-R.; Yesibolati, N.; Qiao, Y.; Ge, S.-Y.; Feng, X.-Y.; Zhu, J.-F.; Chen, C.-H. Electrostatic spray deposition of porous Fe2V4O13 films as electrodes for Li-ion batteries. J. Alloys Compd. 2012, 520, 77–82. [Google Scholar] [CrossRef]
- Tang, D.; Rettie, A.J.E.; Mabayoje, O.; Wygant, B.R.; Lai, Y.; Liu, Y.; Mullins, C.B. Facile growth of porous Fe2V4O13 films for photoelectrochemical water oxidation. J. Mater. Chem. A 2016, 4, 3034–3042. [Google Scholar] [CrossRef]
- Muthuvel, I.; Gowthami, K.; Thirunarayanan, G.; Suppuraj, P.; Krishnakumar, B.; Sobral, A.J.F.N.; Swaminathan, M. Gra-phene oxide–Fe2V4O13 hybrid material as highly efficient Hetero-Fenton catalyst for degradation of Methyl Orange. Int. J. Ind. Chem. 2019, 10, 77–87. [Google Scholar] [CrossRef]
- Li, P.; Zhou, Y.; Li, H.; Xu, Q.; Meng, X.; Wang, X.; Xiao, M.; Zou, Z. Correction: All-Solid-State Z-Scheme System arrays of Fe2V4O13/RGO/CdS for visible light-driving photocatalytic CO2 reduction into renewable hydrocarbon fuel. Chem. Commun. 2015, 51, 800–813. [Google Scholar] [CrossRef] [PubMed]
- Li, P.; Zhou, Y.; Tu, W.; Liu, Q.; Yan, S.; Zou, Z. Direct growth of Fe2V4O13 nanoribbons on a stainless-steel mesh for visible-light photoreduction of CO2 into renewable hydrocarbon fuel and degradation of gaseous isopropyl alcohol. ChemPlusChem 2013, 78, 274–278. [Google Scholar] [CrossRef]
- Yu, J.; Sun, D.; Wang, T.; Li, F. Fabrication of Ag@AgCl/ZnO submicron wire film catalyst on glass substrate with excellent. visible light photocatalytic activity and reusability. Chem. Eng. J. 2018, 334, 225–236. [Google Scholar] [CrossRef]
- Hashim, F.S.; Alkaim, A.F.; Salim, S.J.; Alkhayatt, A.H.O. Effect of (Ag, Pd) doping on structural, and optical properties of ZnO nanoparticles: As a model of photocatalytic activity for water pollution treatment. Chem. Phys. Lett. 2019, 737, 136828. [Google Scholar] [CrossRef]
- Sampaio, M.J.; Lima, M.J.; Baptista, D.L.; Silva, A.M.; Silva, C.G.; Faria, J.L. Ag-loaded ZnO materials for photocatalytic water treatment. Chem. Eng. J. 2017, 318, 95–102. [Google Scholar] [CrossRef]
- Zhang, F.; Li, Y.H.; Qi, M.Y.; Tang, Z.R.; Xu, Y.J. Boosting the activity and stability of Ag-Cu2O/ZnO nanorods for photo-catalytic CO2 reduction. Appl. Catal. B 2020, 268, 118380. [Google Scholar] [CrossRef]
- Ahmad, M.; Ahmad, I.; Ahmed, E.; Akhtar, M.S.; Khalid, N. Facile and inexpensive synthesis of Ag doped ZnO/CNTs composite: Study on the efficient photocatalytic activity and photocatalytic mechanism. J. Mol. Liq. 2020, 311, 113326. [Google Scholar] [CrossRef]
- Moradi, M.; Haghighi, M.; Allahyari, S. Precipitation dispersion of Ag–ZnO nanocatalyst over functionalized multiwall carbon nanotube used in degradation of Acid Orange from wastewater. Process. Saf. Environ. Prot. 2017, 107, 414–427. [Google Scholar] [CrossRef]
- Gowthami, K.; Krishnakumar, B.; Sobral, A.J.F.N.; Thirunarayanan, G.; Swaminathan, M.; Siranjeevi, R.; Rajachandrasekar, T.; Muthuvel, I. Fabrication of Hybrid Fe2V4O13/ZnO Heterostructure for Effective Mineralization of Aqueous Methyl Orange Solution. J. Cluster Sci. 2020, 31, 839–849. [Google Scholar] [CrossRef]
- Gowthami, K.; Suppuraj, P.; Thirunarayanan, G.; Krishnakumar, B.; Sobral, A.J.F.N.; Swaminathan, M.; Muthuvel, I. Fe2V4O13 assisted hetero-Fenton mineralization of methyl orange under UV-A light irradiation. Iran. Chem. Commun. 2018, 6, 97–108. [Google Scholar]
- Babu, B.; Aswani, T.; Thirumala Rao, G.; Joyce Stella, R.; Jayaraja, B.; Ravikumar, R.V.S.S.N. Room temperature ferromagnetism and op-tical properties of Cu2+ doped ZnO nanopowder by ultrasound assisted solid state reaction technique. J. Magn. Magn. Mater. 2014, 355, 76–80. [Google Scholar] [CrossRef]
- Shah, A.H.; Manikandan, E.; Basheer Ahmed, M.; Ganesan, V. Enhanced bioactivity of Ag/ZnO nanorods-A comparative antibacterial Study. J. Nanomed. Nanotechnol. 2013, 4, 1000168. [Google Scholar]
- Bandekar, G.; Rajurkar, N.S.; Mulla, I.S.; Mulik, U.P.; Amalnerkar, D.P.; Adhyapak, P.V. Synthesis, characterization, and photocatalytic activity of PVP stabilized ZnO and modified ZnO nanostructures. Appl. Nanosci. 2014, 4, 199–208. [Google Scholar] [CrossRef]
- Rekha, K.; Nirmala, M.; Nair, M.G.; Anukaliani, A. Structural, optical, photocatalytic and antibacterial activity of zinc oxide and manganese doped zinc oxide nanoparticles. Phys. B: Condens. Matter 2010, 405, 3180–3185. [Google Scholar] [CrossRef]
- Mohammadzadeh, S.; Olya, M.E.; Arabi, A.M.; Shariati, A.; Nikou, M.R.K. Synthesis, characterization and application of ZnO-Ag as a nanophotocatalyst for organic compounds degradation, mechanism and economic study. J. Environ. Sci. 2015, 35, 194–207. [Google Scholar] [CrossRef]
- Yin, X.; Que, W.; Fei, D.; Shen, F.; Guo, Q. Ag nanoparticle/ZnO nanorods nanocomposites derived by a seed-mediated method and their photocatalytic properties. J. Alloys Compd. 2012, 524, 13–21. [Google Scholar] [CrossRef]
- Krishnakumar, B.; Imae, T.; Miras, J.; Esquena, J. Synthesis and azo dye photodegradation activity of ZrS2–ZnO nano-composites. Sep. Purif. Technol. 2014, 132, 281–288. [Google Scholar] [CrossRef]
- Qiu, Z.; He, D.; Wang, Y.; Zhao, X.; Zhao, W.; Wu, H. High performance asymmetric supercapacitors with ultra-high energy density based on hierarchical carbon nanotubes and NiO core–shell nanosheets and defect-introduced graphene sheets with hole structure. RSC Adv. 2017, 7, 7843–7856. [Google Scholar] [CrossRef]
- Zheng, M.; Wu, J. One-step synthesis of nitrogen-doped ZnO nanocrystallites and their properties. Appl. Surf. Sci. 2009, 255, 5656–5661. [Google Scholar] [CrossRef]
- Baeissa, E. Photocatalytic degradation of methylene blue dye under visible light irradiation using In/ZnO nanocomposite. Front. Nanosci. Nanotechnol. 2016, 2, 1–5. [Google Scholar] [CrossRef]
- Suppuraj, P.; Thirumalai, K.; Parthiban, S.; Swaminathan, M.; Muthuvel, I. Novel Ag-TiO2/ZnFe2O4 nanocomposites for effective photocatalytic, electrocatalytic and cytotoxicityapplications. J. Nanosci. Nanotechnol. 2020, 20, 709–718. [Google Scholar] [CrossRef] [PubMed]
- Wang, Q.; Hui, J.; Li, J.; Cai, Y.; Yin, S.; Wang, F.; Su, B. Photodegradation of methyl orange with PANI-modified BiOCl photocatalyst under visible light irradiation. Appl. Surf. Sci. 2013, 283, 577–583. [Google Scholar] [CrossRef]
- Ge, L.; Han, C.; Liu, J. In situ synthesis and enhanced visible light photocatalytic activities of novel PANI–g-C3N4 composite photocatalysts. J. Mater. Chem. 2012, 22, 11843–11850. [Google Scholar] [CrossRef]
- Ghaly, H.A.; El-Kalliny, A.S.; Gad-Allah, T.A.; El-Sattar, N.E.A.A.; Souaya, E.R. Stable plasmonic Ag/AgCl–polyaniline photoactive composite for degradation of organic contaminants under solar light. RSC Adv. 2017, 7, 12726–12736. [Google Scholar] [CrossRef]
- Krishnakumar, B.; Subash, B.; Swaminathan, M. AgBr–ZnO–An efficient nano-photocatalyst for the mineralization of Acid Black 1 with UV light. Sep. Purif. Technol. 2012, 85, 35–44. [Google Scholar] [CrossRef]
- Senthilraja, A.; Krishnakumar, B.; Hariharan, R.; Sobral, A.J.; Surya, C.; John, N.A.A.; Shanthi, M. Synthesis and characterization of bimetallic nanocomposite and its photocatalytic, antifungal and antibacterial activity. Sep. Purif. Technol. 2018, 202, 373–384. [Google Scholar] [CrossRef]
- Kalyani, D.C.; Telke, A.A.; Govindwar, S.P.; Jadhav, J.P. Biodegradation and detoxification of reactive textile dye by isolated Pseudomonas sp. SUK1. Water Environ. Res. 2009, 81, 298–307. [Google Scholar] [CrossRef]
- Deng, J.; Jiang, J.; Zhang, Y.; Lin, X.; Du, C.; Xiong, Y. Hybrid copper doped Titania/polythiophene nanorods as efficient visible light-driven photocatalyst for degradation of organic pollutants. Appl. Catal. B 2009, 84, 468–473. [Google Scholar] [CrossRef]
- Liu, H.; Hu, Y.; Zhang, Z.; Liu, X.; Jia, H.; Xu, B. Synthesis of spherical Ag/ZnO heterostructural composites with excellent photocatalytic activity under visible light and UV irradiation. Appl. Surf. Sci. 2015, 355, 644–652. [Google Scholar] [CrossRef]
- Liu, H.; Zhai, H.; Hu, C.; Yang, J.; Liu, Z. Hydrothermal synthesis of In2O3 nanoparticles hybrid twins hexagonal disk ZnO heterostructures for enhanced photocatalytic activities and stability. Nanoscale Res. Lett. 2017, 12, 466. [Google Scholar] [CrossRef]















| SBET (m2 g−1) | Vp (cm3 g−1) | Dp (nm) | Smicro (m2 g−1) | Vmicro (cm3 g−1) |
|---|---|---|---|---|
| 0.9043 | 0.1044 | 461.86 | 16.53 | 0.0089 |
| Compounds | Retention Time (min) | m/z Values |
|---|---|---|
| C13H13N3O3S (D1) | 19.796 | 292.0 (M + 1), 258.0, 229.0, 181.0, 152.0, 126.0, 111.0, 75.0 |
| C12H9N2NaO3S (D2) | 18.533 | 284.0 (M+), 282.0, 211.0, 111.0, 85.0, 71.0, 57.0, 54.0 |
| C6H5N2NaO3S (D3) | 16.665 | 209.0 (M+), 111.0, 97.0, 85.0, 71.0, 57.0 |
| C6H7NO (D4) | 15.512 | 109.0 (M+), 83.0, 71.0, 67.0, 57.0 |
| Time (min) | 0 | 30 | 60 | 90 | 120 |
|---|---|---|---|---|---|
| COD reduction (%) | 0 | 31.6 | 57.4 | 79.3 | 88.0 |
Publisher’s Note: MDPI stays neutral with regard to jurisdictional claims in published maps and institutional affiliations. |
© 2022 by the authors. Licensee MDPI, Basel, Switzerland. This article is an open access article distributed under the terms and conditions of the Creative Commons Attribution (CC BY) license (https://creativecommons.org/licenses/by/4.0/).
Share and Cite
Kaliyamoorthy, G.; Chinnasamy, S.; Pongiya, U.D.; Rajadurai, V.; Ganesamoorthy, T.; Thambusamy, S.; Inbasekaran, M. Fabrication of Nano-Ag Encapsulated on ZnO/Fe2V4O13 Hybrid-Heterojunction for Photodecomposition of Methyl Orange. Sustainability 2022, 14, 16276. https://doi.org/10.3390/su142316276
Kaliyamoorthy G, Chinnasamy S, Pongiya UD, Rajadurai V, Ganesamoorthy T, Thambusamy S, Inbasekaran M. Fabrication of Nano-Ag Encapsulated on ZnO/Fe2V4O13 Hybrid-Heterojunction for Photodecomposition of Methyl Orange. Sustainability. 2022; 14(23):16276. https://doi.org/10.3390/su142316276
Chicago/Turabian StyleKaliyamoorthy, Gowthami, Surya Chinnasamy, Uma Devi Pongiya, Vijayalakshmi Rajadurai, Thirunarayanan Ganesamoorthy, Stalin Thambusamy, and Muthuvel Inbasekaran. 2022. "Fabrication of Nano-Ag Encapsulated on ZnO/Fe2V4O13 Hybrid-Heterojunction for Photodecomposition of Methyl Orange" Sustainability 14, no. 23: 16276. https://doi.org/10.3390/su142316276
APA StyleKaliyamoorthy, G., Chinnasamy, S., Pongiya, U. D., Rajadurai, V., Ganesamoorthy, T., Thambusamy, S., & Inbasekaran, M. (2022). Fabrication of Nano-Ag Encapsulated on ZnO/Fe2V4O13 Hybrid-Heterojunction for Photodecomposition of Methyl Orange. Sustainability, 14(23), 16276. https://doi.org/10.3390/su142316276

