Abstract
This paper focuses on the sustainable development path of agricultural production in China under the pattern of intensive management, which aims to promote the agricultural green production networks consisting of new agricultural operators and traditional farmers. Based on these, this paper explores the evolution of agricultural green production networks through analyzing three interactive relationships among new agricultural operators and traditional farmers and constructing evolutionary game models on complex networks considering social preference and governments’ strong reciprocity, respectively. Then, the evolutionary stability strategies of these six evolutionary game models are analyzed, and the simulation of the evolution process of agricultural green production networks in different scenarios by MATLAB are realized. The results show that: (1) The evolutionary results of agricultural green production networks are positively correlated with the extra net profit of agricultural production operators. (2) If the extra net profit is positive, traditional farmers are more likely to adopt stable strategy of agricultural green production than new agricultural operators, while a few new agricultural operators would like to adopt the strategy of agricultural green production even though the extra net profit is low or negative. (3) The effect of social preference and governments’ strong reciprocity shows heterogeneity on the emergence of agricultural green production networks. When the net profit is enhanced, agricultural production operators with competitive preference would adopt the strategy of agricultural green production more quickly, as well as those agricultural production operators with social preference as governments’ strong reciprocity strengthened. As such, this paper suggests that it should be necessary to improve the net profit of agricultural green production by reducing costs and increasing benefits, encouraging agricultural production operators to cooperate in the agricultural green production networks to learn and share their green production experience.
1. Introduction
Agricultural intensive management in China is developing through a series of land policies, resulting in the fact that the proportion of land transfer area in the total land contracted by households has reached to 35% since 2017 [1,2]. As such, new agricultural operators consisting of professional large households, family farms, farmers’ cooperatives, agricultural industrialization leading enterprises, and other agricultural organizations are gradually emerging [3,4]. However, agricultural production operators composed of new agricultural operators and traditional farmers are to coexist for a long time in China because of the land geography and the household joint operation responsibility system [5,6], whose agricultural production behavior and strategies will be mutually influenced. Under agricultural intensive management patterns, there are complex relationships among new agricultural operators and traditional farmers [7], in which the complex networks composed of multiple interacting subsystems are formed with scale-free features. Given an agricultural production operator is abstracted as a node, their interaction between two agricultural production operators could be abstracted as an edge between two nodes, then the agricultural production system under the intensive management pattern could be abstracted into a complex network.
Compared with traditional farmers, new agricultural operators have advantages in scale effect, technical innovation, labor capital and financing ability in promoting agricultural modernization and green development, resulting in new opportunities to governance agricultural non-point source pollution and enhance agricultural product quality and safety [8,9]. However, the large-scale production of new agricultural operators and the separation of planting and breeding would accelerate the speed of resource consumption, weaken the self-purification ability of agricultural ecological environment, and cause serious soil and water pollution, which has brought new challenges to the agricultural green development [10,11]. In addition, the agricultural ecological environment resources are generally considered as public goods, their extensive production behavior of agricultural production operators (e.g., pollution discharge, improper application of modern agricultural means of production etc.) has significant spillover effect and negative externalities, while their agricultural green production behavior has typical positive externalities. As a result, other agricultural production operators who do not adopt the strategy of agricultural green production can also share the same economic utility as those who engage in agricultural green production. Therefore, rational agricultural production operators would adopt the strategy of “free ride”, and then agricultural green production inevitably becomes the “tragedy of the commons” [12]. Moreover, the strategy of agricultural green production cannot be widely promoted because the agricultural green production networks have not formed good development and diffusion modes, in which agricultural green production technology could be rapidly spread, standards of agricultural green production could be perfect, and management mechanism could be complete [13,14].
Therefore, establishing an endogenous mechanism of promoting the agricultural green production which could enhance the cooperation among new agricultural operators and traditional farmers is critical to solving the current predicament and promote the diffusion of agricultural green production. Thus, this paper explores the dynamic interactions among new agricultural operators and traditional farmers by adopting evolutionary game model on complex networks and comparing two mechanisms by considering social preference of agricultural production operators and governments’ strong reciprocity in the evolution process. This is because the agricultural green production behavior of agricultural production operators is not only affected by their own characteristics, but also affected by their social preference in which they would compare their strategies and profits with others. Consequently, complex systems may have self-organized ordered or disordered evolution with different social preferences. Thus, the strong reciprocal effect of government cannot be ignored in the situation that self-organization cannot achieve orderly evolution.
The rest of this paper is organized as follows. Section 2 reviews relevant research on agricultural green production, agricultural production operators and their interactive relations, as well as the complex network evolution analysis of green production and application of social preference and governments’ strong reciprocity. Section 3 constructs the evolutionary game models on complex networks of agricultural green production. In Section 4 the simulation analysis of complex networks is implemented. Section 5 discusses the research results, draws conclusions and suggestions.
2. Literature Review
The research topic is closely relevant to agricultural green production, agricultural production operators and their interactive relations, evolution analysis on complex network of green production and application of social preference and governments’ strong reciprocity.
2.1. Agricultural Green Production
In recent years, the research on agricultural green production has mainly been about the influencing factors on the adoption of green agricultural technology and organic fertilizers, waste disposal and operations of green agricultural products by agricultural production operators.
Many scholars have explored the influencing factors of farmers’ green production willingness through the research data from different regions. Williams (1999) adopted logit model to explore the cultural and socio-economic factors affecting farmers’ application of organic fertilizer in semi-arid areas of West Africa, and the results showed that cultivation scale and cooperation between growers and farmers both promoted the application of organic fertilizer [15]. Huang et al. (2018) developed empirical research based on the investigation data in Hubei province of China and found that agricultural income, current situation of rural environment, government subsidies and their understanding of green technology level and economic benefits all have positive effect on the willingness of farmers’ green production [16], while the green technology adopting risk, age of farmers, and the status of government regulation would reduce farmers’ willingness to green production. Aryal et al. (2021) adopted data from 2528 households across the Indo-Gangetic Plains in India, Nepal, and Bangladesh, and examined the factors affecting farmers’ adoption of organic and inorganic fertilizers for the two most important cereal crops-rice and wheat. The result indicated that various socio-economic and geographical factors would influence their adoption of organic and inorganic fertilizers [17]. Li et al. (2021) addressed the differences in farmers’ willingness and behavior regarding the development of green agriculture; by conducting a case study in the Xichuan county of China, they found that a farmer’s age, land type, compensation for land transfer, technical service organization, related training, and economic and technological subsidies had significant effects on their green agricultural production willingness [18].
Moreover, the green production behavior of new agricultural operators has been also researched. Cai and Du (2016) found that new agricultural operators’ education degree, trained experience, the number of years engaged in intensive operation, whether they joined the cooperatives, certifications and other factors had significant positive impact on the family farm green production behavior [19], which was further supported by Wang et al. (2018) [20]. Korir et al. (2015) and Allahyari et al. (2016) also explored the factors influencing the adoption of green prevention and control techniques on family farms [21,22]. Borkhani et al. (2013) studied the adoption behavior of green prevention and control technologies on family farms in two stages, which were namely adoption willingness and adoption degree [23]. Xia et al. (2019) added village regulations into the consideration of environmental regulations on large-scale pig farmers’ willingness to resource utilization and explored the influence mechanism of formal and informal institutional factors on new agricultural operators’ willingness to green production [24].
2.2. Agricultural Production Operators and Their Interactive Relations
With China’s land reform and the development of agricultural intensive management, the number of new agricultural operators is increasingly growing. Many scholars have paid attention to their development characteristics and influence on traditional farmers. Yang et al. (2014) found that new agricultural operators played leading role in the aspects of accelerating the adjustment of agricultural structure, improving the utilization rate of agricultural technology, promoting the added value of agricultural products and increasing the circulation of agricultural products, and promoted the economic income of traditional farmers [25]. Xu et al. (2021) calculated the irrigation water use efficiency of winter wheat with different agricultural operators in the North China Plain area; the results showed that there were great differences in irrigation water use efficiency of smallholder farmers, large grain growers, family farms, and agricultural cooperatives, and they suggested speeding up the transformation of traditional farmers to a new type of agricultural operator would help to improve the efficiency of irrigation water use [6]. Abdul and Abdulai (2018) examined the role of farmer groups in improving yield and technical efficiency by adopting survey data of 412 smallholder rice farmers from northern Ghana; the results showed that participation in farmer groups was associated with increased yield and technical efficiency, relative to farmers who produce and market rice individually [26]. Qiu et al. (2021) adopted the data from of Chinese household panel survey in 2017 and 2019, and then found that agricultural mechanization services could increase the market demand for land transfers and the marketization of land lease, and with the development of a land market, the agricultural mechanization service induced smallholder farmers to quit by giving up scattered and remote plots [27].
2.3. Evolution Analysis on Complex Network of Green Production
Evolutionary game theory has been widely applied in green development and environmental governance. For example, Estalaki et al. (2015) explored the evolutionary game model by penalty function to analyze water pollution load distribution and provided a wastewater treatment strategy that could be implemented in the actual state for Zarjub River in Iran [28]. Chen et al. (2019) analyzed the interaction and influencing factors among enterprise pollution control, government supervision, and public participation based on the evolutionary game theory, and then carried out an empirical analysis based on China’s 30 provincial panel data from 2009 to 2018; the results showed that the interaction between government and public had a positive effect on environmental governance [29]. Furthermore, Cui et al. (2019) extended the evolutionary game model on the green agriculture development by analyzing the relationships between government farmers and farmers agricultural enterprises to obtain the optimal stable strategy for green technology diffusion. The results showed that it is beneficial to reduce the cost of government supervision and strengthen the regulation of agricultural enterprises [30]. Moreover, Xu et al. (2020) discussed the interactive decision-making relationships between new agricultural operators and traditional farmers under the guidance of local governments by constructing a trilateral evolutionary game model, and the results showed that new agricultural operators played a leading role in agricultural non-point source pollution control, whose strategies had effects such as technology spillover and there were green synergy effects among the groups [10].
As green production is a huge and complex system, complex network theory is also applied to study green technology diffusion and agricultural production. Lubell et al. (2007) found that diffusion network played a role in improving satisfaction with environmental policies, participating in water quality management programs, and implementing sustainable agricultural practices in agricultural water quality management in the Sacramento River Basin based on the analysis of survey data from more than 1200 agricultural operators [31]. Ramirez (2013) investigated 37 farmers in Texas for five years and discussed the influence of social network on agricultural technology adoption [32]. Further, Campi et al. (2020) empirically explored the determinants of the process through which countries, given their capabilities, specialize in agricultural production from a complex-network perspective, and their results showed that the observed country community structures are not only shaped by environmental conditions, but also by economic, socio-political, and technological factors [33]. Additionally, Wang et al. (2020) analyzed the interaction effect between social network and extension service in farmers’ agricultural technology adoption efficiency; the results indicated that social network and extension service could improve farmers’ technology adoption efficiency, but they were found to be competitive from the perspective of overall social network [34]. Hermans et al. (2017) applied Social Network Analysis and Exponential Random Graph Modelling to investigate the structural properties of the collaborative, knowledge exchange and influence networks of these multi-stakeholder platforms in Burundi, Rwanda and the South Kivu province located in the eastern part of Democratic Republic of Congo, and compared them against value propositions derived from the innovation network literature. The results showed that there was a number of mismatches between collaboration, knowledge exchange and influence networks for effective innovation and scaling processes in all three countries [35].
2.4. Application of Social Preference and Governments’ Strong Reciprocity
Social preference refers to the tendency of agents focusing on the behaviors and profits of others, while governments’ strong reciprocity which was proposed by Gintis (2000) concerns the fairness and reciprocity of cooperation and expect to punish the agents who take the strategy of “free-riding” and non-cooperative behavior [36]. Some scholars have studied environmental governance and green production from the perspective of governments’ strong reciprocity and social preference. For example, Bo and Ping (2011) extended the model of prisoner’s dilemma on Barabási and Albert networks to include heterogeneous social welfare preference agents and studies its effects on the cooperation emergence on networks [37]. Fan et al. (2015) constructed a low-carbon evolutionary game model of complex network of industrial clusters which could effectively link the process of input and benefit distribution based on the fair preference of cooperation among cluster enterprises; the results revealed the inherent requirements of emerging low-carbon cooperation in complex network of industrial clusters [38]. Liao et al. (2022) examined the effect of social green preference on the incentive mechanism of recipients’ green items to manipulate the level of social green preference of game operators. The results showed that with higher social green preference, more and more subjects obtained green motivation in the subsequent printing task and were willing to carry out green behaviors. Among these subjects, both internal and external green motivations perceive the partial mediating effect between social green preference and green behavior [39]. Tan (2018) established an evolutionary game mathematical model with the upper and lower reaches of the Xiangjiang River Basin by analyzing the interest conflicts of stakeholders of ecological compensation and discussed the role of governments’ strong reciprocity [40]. Moreover, Huang et al. (2017) examined the status of inter-agency water governance in Dongguan City of China; they found that the network had a weak to moderate density, allowing for collective action problems and leading to insufficient cooperative governance, and they also demonstrated strong bonding capital among some policy actors as shown in high reciprocity, clustering coefficient and transitivity [41]..
The existing literature has mainly adopted empirical methods and game theory models to analyze the development path of agricultural green production and the relationships between agricultural production operators; it has clarified the effects of social preference and governments’ strong reciprocity on environmental governance and green production, which laid a good foundation for this paper. However, the research on the diversity and the complexity of agricultural green production behaviors under the intensive management pattern should also be deepened with regards to the following aspects. (1) As agricultural green production is a national strategy of China, the evolution law and process of agricultural green production networks are worth exploring. (2) Previous research on the relationships between these two types of agricultural production operators ‘s dynamic interaction and evolutions of the agricultural green production behavior is insufficient, while in fact traditional farmers and new agricultural operators will co-exist for a long time in China, thus their dynamic interactions and their evolutionary process of agricultural green production needs to be deeply explored. (3) There are several game relations between new agricultural operators and traditional farmers, such as supervision, technology spillover and competition etc. However, these relationships from the perspective of social networks have been paid less attention. (4) The research is mainly based on the maximization of agricultural production operators’ own interests, while the effects of social preferences and governments’ strong reciprocal policies have not been fully considered. As such, this article will further the existing research to analyze the evolution process of three kinds of games between two types of agricultural production operators including traditional farmers and new agricultural operators on the complex network, and explore how social preference and strong government reciprocity promote the diffusion of agricultural green production network among agricultural production operators. Then, the governance strategy of agricultural green production for two types of agricultural production operators in different scenarios will be proposed.
3. Evolutionary Game Models on Complex Network of Agricultural Green Production
3.1. Problem Description and Assumptions
3.1.1. Hypothesis of Game Relationships among Agricultural Production Operators
In this paper, three evolutionary game models of agricultural green production networks among new agricultural operators and traditional farmers are constructed. The strategies of each agricultural production operator are agricultural green production and agricultural non-green production.
The profit obtained by new agricultural operators and traditional farmers adopting agricultural non-green production strategy is denoted as , , respectively. However, if they adopt the strategy of agricultural non-green production, it will cause land and water pollution and also decrease their own profits, which is denoted as , respectively. If one new agricultural operator adopts the strategy of agricultural non-green production, the damage to other neighbors of new agricultural operators and traditional farmers are denoted as , respectively. The pollution caused by one traditional farmer adopting the strategy of agricultural non-green production will also decrease its neighbors’ profit, which are denoted as for traditional farmers and new agricultural operators, respectively. New agricultural operators who adopt the strategy of agricultural non-green production will compensate their neighbors who adopt the strategy of agricultural green production to make up for their loss caused by the agricultural non-green production of new agricultural operators. The amount of compensation to the neighbors of new agricultural operators and traditional farmers from new agricultural operators who adopt the strategy of agricultural non-green production is denoted as , respectively.
If new agricultural operators and traditional farmers adopt the strategy of agricultural green production, they need to pay some extra cost to learn agricultural green production technology or purchase organic fertilizer, and then their agricultural green production cost is denoted as , respectively. Therefore, the excess profit of agricultural green production is noted as , respectively. In addition, there are technology spillover effects on the neighbors of new agricultural operators and traditional farmers with the strategy of agricultural green production adopted by new agricultural operators, which is denoted as , respectively. Due to the limitation of capital, technology and operation scale of traditional farmers, their strategy effect of agricultural green production has little impact on new agricultural operators, thus it can be ignored. It only has a certain green spillover effect on their neighbors of traditional farmers, denoted as .
3.1.2. Hypothesis of Complex Network Model among Agricultural Production Operators
Agricultural production system is formed based on the spatial distribution of rural settlements. Previous research has shown that spatial distribution of rural residential areas presented obvious self-similarity and scale-free property, thus we could also regard the agricultural production system as a complex network system with scale-free and community characteristics, which can be abstracted as a scale-free network [42]. Therefore, the agricultural green production networks constructed in this paper are based on a scale-free network, and nodes in the network represent these two types of agricultural production operators: new agricultural operators and traditional farmers. Figure 1 shows a brief analysis of the complex network topological structure of agricultural green production. The connection of the network is regarded as the interactive relationship among agricultural production operators, which is namely as the relationship of traditional farmers’ relatives, friends or neighbors, their competitive relations among new agricultural operators, the strategic learning and mutual supervision relationship among agricultural production operators etc.
Figure 1.
Analysis of the complex network topological structure of agricultural green production.
In the process of network evolution, agricultural production operators play games repeatedly according to the evolutionary game models and update their strategy according to the strategy updating rules until the strategy is stable. Considering the difference and the fact that each traditional farmer has less cultivated land and the number of traditional farmers is large, while each new agricultural operator would have more cultivated land and the number of them is relatively less, the agricultural green production networks constructed in this paper is composed of 100 nodes, among which 20 nodes are new agricultural operators and 80 nodes are traditional farmers. The initial interactive relationship is randomly generated.
In addition, referring the previous research [43], some other assumptions are assumed as follows:
Hypothesis 1.
Given that two nodes in the agricultural green production networks are connected, the effect between two nodes is mutual [44]; that is, all connected edges in the network are undirected, and there is only one connected edge between two nodes.
Hypothesis 2.
In one period of time, the number of nodes in the network in one certain district is constant, that means the total number of agricultural production operators, the number of new agricultural operators and traditional farmers in one certain district is constant [45]. Thus, the scale of the network is fixed, and the connection relationship among nodes will not be changed according to the result of strategy evolution.
Hypothesis 3.
The parameters of the game on the agricultural green production networks are all with one unit.
3.2. Game Rules of Complex Network
In each round of the game, all nodes in the network play games with their connected neighbors and accumulate profits. And Fermi function in statistical mechanics is extended and adopted as updating rule in the process of evolution:
In Equation (1), where represents the strategy of node and , respectively, in one round of game, denotes as the cumulative earnings of , respectively, is the number of neighbors of nodes , respectively. Parameters is the noise value, which represents the possibility of irrational behavior. When tends to be 0, it implies that all the nodes of strategy choices are perfectly rational in the process of game, which would not be influenced by other factors such as individual economy, environmental factors, policy guidance and other factors. In this case, the profit of is higher than , the strategy of will be imitated with 100% probability. While tends to be infinity, it means that all economic comparison information is drowned by noise, and the strategies of all nodes are updated randomly by individuals.
3.3. Evolutionary Game Model of Agricultural Green Production Behavior Considering Social Preference
3.3.1. Analysis and Hypothesis of Social Preference
As different types of social preference will affect the utility of agricultural production operators, it will also affect their decision-making process of agricultural green production. Considering new agricultural operators and traditional farmers carry out production activities on the same network of agricultural production, their agricultural production behavior will affect their connected neighbors in one rural area. Thus, in the process of game, agricultural production operators would reward their connected neighbors whose adopt agricultural green production behavior and condemn those connected neighbors adopting agricultural non-green production behavior. Based on the classification hypothesis of social preferences proposed by Gary and Matthew (2002), this paper sets the types of social preferences of agricultural operators as self-interest in narrow sense (), competitive preference (), differential aversion preference ( or ) and social welfare preference () [46].
Given is the utility of agricultural production operators, which could be denoted as:
where, is the profit of agricultural production operator i and its connected neighbor j without considering social preferences, respectively. is the weighted average of agricultural production operators’ own utility and fairness. In Equation (2), α and β refers to the utility loss caused by disadvantage difference and advantage difference, respectively. The larger are the value of α and β, the higher are the agricultural production operator ‘s aversion to disadvantage or advantage difference.
3.3.2. Payment Matrix and Evolutional Stable Strategies
- (1)
- The game model 1 and evolutional stable strategies between traditional farmers and new agricultural operators.
The payoff matrix of the evolutionary game model 1 between traditional farmers and new agricultural operators considering social preference is shown in Table 1.
Table 1.
The payoff matrix between traditional farmers and new agricultural operators considering social preference.
As shown in Table 1, when the strategy set of new agricultural operators and traditional farmers is (green production, green production), the payoff is and , respectively. Similarly, payoffs with other strategy sets could be also deduced.
Proposition 1.
There are five equilibrium solutions in the game between the new agricultural operators and traditional farmers considering social preference which are (0,0), (1,0), (1,1), (0,1), and under the relevant conditions (Seen in Table 2).
Table 2.
The evolutional stable strategies and eigenvalues of the evolutionary game model 1.
Proof.
Proofs of Proposition 1 are given in Appendix A.1. □
- (2)
- The game model 2 and evolutional stable strategies between two types of new agricultural operators.
The payoff matrix of the evolutionary game model 2 between traditional farmers and new agricultural operators considering social preference is shown in Table 3 and Table 4.
Table 3.
The payoff matrix between two types of new agricultural operators considering social preference.
Table 4.
The evolutional stable strategies and eigenvalues of the evolutionary game model 2.
Proposition 2.
It can be seen that under the relevant conditions (Seen in Table 4), there are 4 equilibrium solutions in the game between these two types of new agricultural operators which are (0,0), (1,0), (1,1), and (0,1).
Proof.
Proofs of Proposition 2 are given in Appendix A.2. □
- (3)
- The game model 3 and evolutional stable strategies between two types of traditional farmers.
Similarly, the payoff matrix of the evolutionary game model 3 between two types of traditional farmers considering social preference is shown in Table 5.
Table 5.
The payoff matrix between two types of traditional farmers considering social preference.
Proposition 3.
It can be seen that under the relevant conditions (Seen in Table 6), there are five equilibrium solutions in the game between these two types of traditional farmers which are (0,0), (1,0), (1,1), (0,1), and .
Table 6.
The evolutional stable strategies and eigenvalues of the evolutionary game model 3.
Proof.
Proofs of Proposition 3 are given in Appendix A.3. □
3.4. Evolutionary Game Model of Agricultural Green Production Considering Governments’ Strong Reciprocity
3.4.1. Analysis and Hypothesis of Governments’ Strong Reciprocity
With the consideration of government strong reciprocity, if agricultural production operators adopt the strategy of green production, the government would offer subsidies to encourage their pro-environmental behavior. Otherwise, if agricultural production operators adopt the strategy of non-green production, they would be incurred penalty from the government for their negative impact on rural environment.
3.4.2. Payment Matrix and Evolutional Stable Strategies
- (1)
- The game model 4 and evolutional stable strategies between traditional farmers and new agricultural operators.
The payoff matrix of the evolutionary game model 4 between traditional farmers and new agricultural operators under governments’ strong reciprocity is shown in Table 7.
Table 7.
The payoff matrix between traditional farmers and new agricultural operators considering governments’ strong reciprocity.
Proposition 4.
It can be seen that under the relevant conditions (Seen in Table 8), there are five equilibrium solutions in the game between these two types of traditional farmers which are (0,0), (1,0), (1,1), (0,1), and .
Table 8.
The evolutional stable strategies and eigenvalues of the evolutionary game model 4.
Proof.
Proofs of Proposition 4 are given in Appendix A.4. □
- (2)
- The game model 5 and evolutional stable strategies between two types of new agricultural operators.
The payoff matrix of the evolutionary game model 5 between two types of new agricultural operators considering governments’ strong reciprocity is shown in Table 9.
Table 9.
The payoff matrix between two types of new agricultural operators considering governments’ strong reciprocity.
Proposition 5.
It can be seen that under the relevant conditions (Seen in Table 10), there are 4 equilibrium solutions in the game between these two types of new agricultural operators considering governments’ strong reciprocity which are (0,0), (1,0), (1,1), and (0,1).
Table 10.
The evolutional stable strategies and eigenvalues of the system of the evolutionary game model 5.
Proof.
Proofs of Proposition 5 are given in Appendix A.5. □
- (3)
- The game model 6 and evolutional stable strategies between two types of traditional farmers.
The payoff matrix of the evolutionary game model 6 between two types of traditional farmers considering governments’ strong reciprocity is shown in Table 11.
Table 11.
The payoff matrix between two types of traditional farmers considering governments’ strong reciprocity.
Proposition 6.
It can be seen that under the relevant conditions (Seen in Table 12), there are five equilibrium solutions in the game between these two types of traditional farmers considering governments’ strong reciprocity which are (0,0), (1,0), (1,1), (0,1), and .
Table 12.
The evolutional stable strategies and eigenvalues of the evolutionary game model 6.
Proof.
Proofs of Proposition 6 are given in Appendix A.6. □
4. Simulation Analysis of Complex Network
4.1. Simulation Analysis on Complex Network Considering Social Preference
According to constraints of the replication dynamic equations and evolutional stable strategies, the computer simulation technology based on complex network and MATLAB software were used to conduct numerical simulation experiments on the evolution process of green production behavior of agricultural production operators. Thus, the impact of profit, cost and different social preferences on the evolution process of agricultural green production networks are mainly explored.
Assuming that the initial time of the evolution process would begin at T = 0 and the end time T is 100, the initial scale-free network is 100 nodes, among which 20 nodes are denoted as new agricultural operators and the remaining 80 nodes are denoted as traditional farmers. The location and neighbors of agricultural production operators on the network are randomly generated, and the specific simulation experiment steps are as follows:
Step 1: T = 0, the agricultural green production networks and set parameter values are initialized.
Step 2: T = 1, the game starts. The agricultural production operators on the network randomly select nodes of neighbors for profit comparison. If their profit is not less than that of neighbors, they would continue to adopt their original strategy at the next round of game. Otherwise, they would learn from neighbors and update their strategy with certain probability.
Step 3: T = 2, repeat Step 2 for the next round until the end of the game.
In this section, four simulation experiments are conducted to further analyze the evolution process of agricultural green production behavior by agricultural production operators in the scenarios of being without social preference, with competitive preference, with the differential aversion preference, and with social welfare preference, respectively. The parameters are set as shown in Table 13.
Table 13.
Simulation parameter settings for complex network evolution games considering social preferences.
The values of preferences and in these simulation experiments are as follows: being with competitive preference: , being with differential aversion preference: and being with social welfare preference: .
In the first scenario, the cost of agricultural production operators adopting the strategy of green production is significantly greater than its corresponding extra income, and the evolution results are shown in Figure 2a–d, which represents the scenario of being without social preference, being with differential aversion preference, being with social welfare preference, and being with competitive preference, respectively.
Figure 2.
Evolution results under scenario 1. Subfigures (a–d) in figure caption denotes as the scenario of agricultural production operators are without social preference, with differential aversion pref-erence, with social welfare preference, and with competitive preference, respectively.
It can be seen from Figure 2 that when the cost of agricultural production operators adopting the strategy of green production is much higher than the extra income gained by the green production, the evolution of the density of the agricultural green production cooperator would be finally tend to be 0 in these four scenarios. It shows that new agricultural operators and traditional farmers will ultimately adopt the strategy of non-green production regardless of social preference. This is because even though the agricultural production operators have social preferences of green production, the utility brought by these social preferences is much lower than the strategy of non-green production. Therefore, the agricultural production operators will gradually adopt the strategy of non-green production after several times of game by learning from their neighbors. Thus, the cooperation of agricultural green production will collapse.
Furthermore, when comparing the behaviors of these two types of agricultural production operators, it can be seen that new agricultural operators made several attempts to adopt the strategy of agricultural green production in the evolution process, while traditional farmers formed a consistent stable strategy of non-green production earlier. This is mainly due to the well foundation and willingness of new agricultural operators for green production. Therefore, they should be the main target of green agricultural development policies.
The second scenario shows that the cost of adopting the strategy of green production is close to the corresponding extra profit. And the evolution results of these four different preferences are shown in Figure 3a–d, which represents the agricultural production operators on the network are without social preference, with differential aversion preference, with social welfare preference, and with competitive preference, respectively.
Figure 3.
Evolution results under scenario 2. Subfigures (a–d) in figure caption denotes as the scenario of agricultural production operators are without social preference, with differential aversion pref-erence, with social welfare preference, and with competitive preference, respectively. Same as below figures.
It is seen from Figure 3a that when the cost of adopting the strategy of green production is nearly close to the corresponding extra income and the agricultural production operators are without social preference, then the state of cooperative density of 1 cannot be reached. However, when the agricultural production operators are with the differential aversion preference, the density of agricultural green production cooperator could evolve to a stable state of 1 after 50 times of evolution, which could be seen in Figure 3b. While the agricultural production operators are with social welfare preference, the density of agricultural green production cooperator would fluctuate smoothly between 0 and 1, with the trend of approaching to be 1, which is shown in Figure 3c. When the agricultural production operators are with competitive preference, the density of agricultural green production cooperator would evolve to be 1 before 30 times, and then gradually decreased nearly to be 0, which is illustrated in Figure 3d. Thus, it can be concluded that social preference and differential aversion preference could promote the agricultural green production networks of agricultural production operators, and the effect of differential aversion preference is more significant.
Additionally, when compared with the first scenario, it is found that in the second scenario, the behavioral evolution trend of these two types of agricultural production operators is basically consistent.
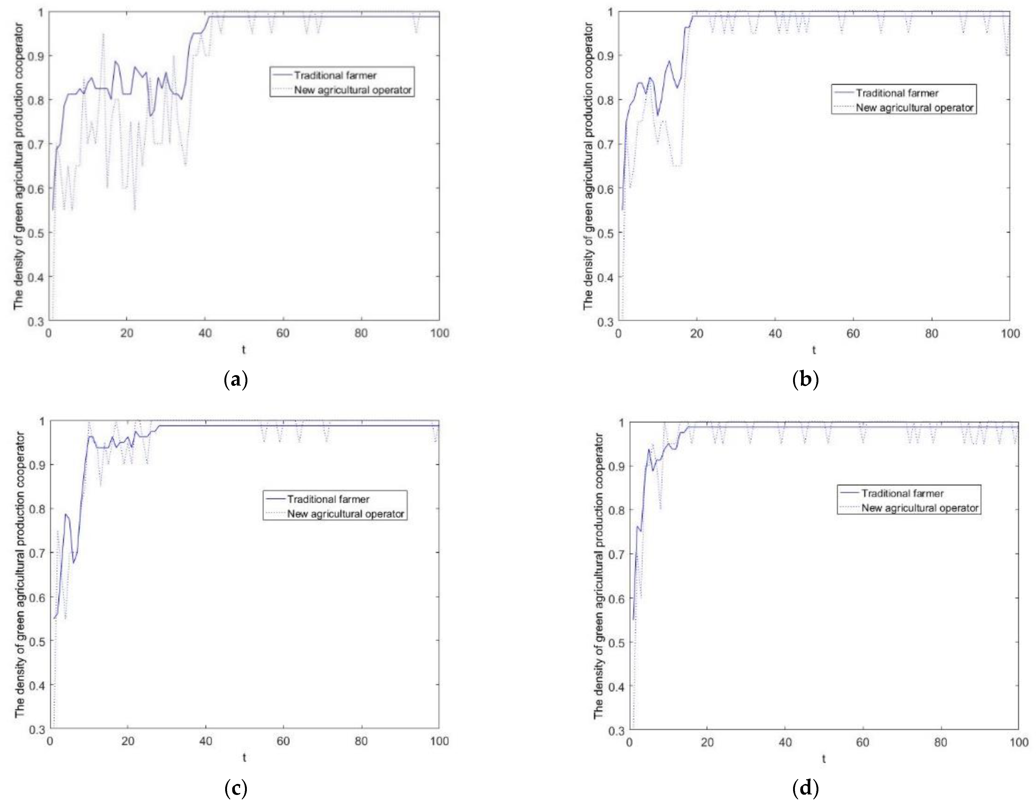
The third scenario shows that the cost of adopting the strategy of green production is less than the extra income gained by the green production. And the evolution results of these four different preferences are shown in Figure 4a–d, which represents the agricultural operators on the network are without social preference, with differential aversion preference, with social welfare preference, and with competitive preference, respectively.
Figure 4.
Evolution results under scenario 3. Subfigures (a–d) in figure caption denotes as the scenario of agricultural production operators are without social preference, with differential aversion pref-erence, with social welfare preference, and with competitive preference, respectively. Same as below figures.
It is seen from Figure 4 that as long as the cost of adopting the strategy of green production is less than the extra income gained by the green production, the density of agricultural green production cooperator tends to evolve to be 1, regardless of social preferences of agricultural production operators. However, in contrast with other preferences, agricultural production operators with competitive preference would cooperate in agricultural green production more quickly. This is because these agricultural production operators with competitive preference are more likely to learn from neighbor’s strategies by comparing profits.
Moreover, Figure 4 shows that traditional farmers are more likely to form stable strategy of agricultural green production than new agricultural operators, indicating that traditional farmers are more sensitive to the profits brought by agricultural green production.
4.2. Simulation Analysis on Complex Network Considering Governments’ Strong Reciprocity
In this section, five simulation experiments are conducted to further analyze the evolution process of green production behavior considering governments’ strong reciprocity by agricultural production operators. The simulation parameters are shown in Table 14. The preference value and experimental process are consistent with Section 4.1.
Table 14.
Simulation parameter settings for complex network evolution games considering governments’ strong reciprocity.
In the fourth scenario, the cost of agricultural production operators adopting the strategy of green production is significantly greater than the extra income, and the government’s strong reciprocity is small. The corresponding evolution results are shown in Figure 5a–d, which represents the scenario of four different preferences, that is without social preference, with differential aversion preference, with social welfare preference, and with competitive preference, respectively.

Figure 5.
Evolution results under scenario 4. Subfigures (a–d) in figure caption denotes as the scenario of agricultural production operators are without social preference, with differential aversion pref-erence, with social welfare preference, and with competitive preference, respectively. Same as below figures.
Comparing Figure 2 in Section 4.1 with Figure 5, it can be seen so long as the cost of agricultural production operators adopting the strategy of green production is much higher than the extra income gained by the green production, and the governments’ strong reciprocity is low, then the density of agricultural production cooperator would evolve to be 0 in these four scenarios. This implies that agricultural production operators would adopt the strategy of agricultural non-green production after a few times of game very quickly. In the four scenarios, the net profit of agricultural production operators adopting the strategy of agricultural green production is negative, and even if the government adopt the strategy of strong reciprocity, there Is still not enough profit to compensate for cost. As such, these two types of agricultural production operators’ cooperation in agricultural green production will collapse.
In addition, compared with new agricultural operators, traditional farmers are more likely to reach a consistent stable strategy of non-green production, which is similar in the first scenario.
As the level of government’s strong reciprocity is slightly enhanced in the fifth scenario, the evolution results are illustrated in Figure 6a–d, which represents the scenario without social preference, with differential aversion preference, with social welfare preference, and with competitive preference, respectively.

Figure 6.
Evolution results under scenario 5. Subfigures (a–d) in figure caption denotes as the scenario of agricultural production operators are without social preference, with differential aversion pref-erence, with social welfare preference, and with competitive preference, respectively. Same as below figures.
By comparing Figure 5 and Figure 6, it can be seen that the evolution result of the density of agricultural production cooperator would be better with the increase in governments’ strong reciprocity. When agricultural production operators have a differential aversion preference, the density of agricultural production cooperator could reach a stable state of 1. When the agricultural production operators have a social welfare preference, the density of the agricultural production cooperator would fluctuate in the range of 0 to1. While agricultural production operators are with competitive preference and without social preference, the density of agricultural production cooperator would decrease to be 0 both at nearly 10 times and 50 times of the game, respectively. Thus, differential aversion preference would promote agricultural production operators to adopt the strategy of agricultural green production, especially in the strong reciprocity policy of the government their agricultural green production networks would form more quickly.
Additionally, Figure 6 also shows that the behavioral evolution trend of these two types of agricultural production operators is basically consistent, which is similar to the second scenario.
Then, the degree of governments’ strong reciprocity is slightly enhanced based on the evolution of Figure 6, and the results are shown in in Figure 7a–d, which show the evolution results in the scenario of four different preferences, that is without social preference, with differential aversion preference, with social welfare preference, and with competitive preference, respectively.
Figure 7.
Evolution results under scenario 6. Subfigures (a–d) in figure caption denotes as the scenario of agricultural production operators are without social preference, with differential aversion pref-erence, with social welfare preference, and with competitive preference, respectively. Same as below figures.
Figure 7 shows that when the governments have strong reciprocity, the density of agricultural production cooperator in the above four scenarios would all evolve to a stable state of 1. Furthermore, if agricultural production operators have a social preference, then green agriculture production network could emerge even faster, especially the traditional farmers are more likely to form stable strategy of agricultural green production. This suggests that traditional farmers are more sensitive to the governments’ strong reciprocity by agricultural green production.
Comparing Figure 5 and Figure 6 with Figure 7, it can be seen that when the cost of agricultural green production is significantly greater than the extra income obtained from agricultural green production, governments’ strong reciprocity would significantly affect the agricultural green production density of cooperator. When the government reciprocity continues to be strengthened, no matter whether agricultural production operators have a social preference, it would all achieve the stable situation of agricultural green production cooperative density of 1.
Thus, it could be concluded that when the cost of adopting the strategy of agricultural green production (e.g., adoption of agricultural green production technology and development equipment, biological insecticides, etc.) are higher than the extra benefit of agricultural green production, governments’ strong reciprocity can play a role. Governments will reward agricultural production operators who adopt green production strategies and punish those adopting the strategy of non-green production for their negative behavior on the environment. Under the effect of governments’ strong reciprocity, even if the net benefit of agricultural green production is low, many agricultural production operators could be encouraged to adopt the strategy of agricultural green production, and influence their neighbors on agricultural production network, so as to gradually promote the emergence of agricultural green production cooperator.
The cost of adopting the strategy of agricultural green production is relatively similar to the corresponding extra income, and the evolution of these four different preferences are shown in Figure 8a–d, namely being without social preference, being with differential aversion preference, being with social welfare preference, and being with competitive preference, respectively.
Figure 8.
Evolution results under scenario 7. Subfigures (a–d) in figure caption denotes as the scenario of agricultural production operators are without social preference, with differential aversion pref-erence, with social welfare preference, and with competitive preference, respectively. Same as below figures.
Figure 8 shows that when the cost of the agricultural production operators adopting the strategy of agricultural green production nearly equals to the extra income, with the strong reciprocal intervention of government, the stable state of agricultural green production cooperative density of 1 can be reached regardless of the preference of agricultural production operators. Among them, the density of agricultural green production operator can reach to a stable state of 1 after 80, 30, 30 and 22 times of the game under four different preferences of being with differential aversion preference, being with social welfare preference, and being with competitive preference, respectively.
On the basis of Figure 8, the degree of governments’ strong reciprocity is increased, and the evolution results of four different preferences are shown in Figure 9a–d, which, respectively, represent the evolution results of agricultural production operators on the network without social preference, with differential aversion preference, with social welfare preference, and with competitive preference, respectively.
Figure 9.
Evolution results under scenario 8. Subfigures (a–d) in figure caption denotes as the scenario of agricultural production operators are without social preference, with differential aversion pref-erence, with social welfare preference, and with competitive preference, respectively. Same as below figures.
It can be seen from Figure 8 that if the government’s strong reciprocity is increased on the basis of Figure 8, no matter whether agricultural production operators have preferences or not, the density of agricultural green production cooperator will reach the stable state of 1 faster than Figure 8. When the intensity of governments’ strong reciprocity is enhanced, agricultural production operators without social preference, with differential aversion preference, social welfare preference, and competitive preference would reach to the stable state after 55, 22, 30 and 18 cycles, respectively.
Comparing Figure 4, Figure 8 and Figure 9 in Section 4.1, it can be seen that when the cost of adopting the strategy of agricultural green production is relatively close to the extra profit, the governments’ strong reciprocity could promote the diffusion of agricultural green production networks, even if the level of governments’ strong reciprocity is low. Then, if the governments’ strong reciprocity is strengthened, the density of agricultural green production cooperator with different preferences could reach to be 1 more quickly.
5. Conclusions and Policy Implications
5.1. Conclusions
In this study, the evolutionary game models on complex networks are adopted to explore whether the social preferences and governments’ strong reciprocity will promote the agricultural green production networks among agricultural production operators. Firstly, the behavior complexity of these two types of agricultural production operators and their interactions on complex network are analyzed. Secondly, the scale-free complex network model of agricultural production operators is established. Then, the evolutionary game model between new agricultural operators and traditional farmers, new agricultural operators and new agricultural operators, traditional farmers and traditional farmers considering social preference and governments’ strong reciprocity is constructed, respectively. Finally, simulation analysis on a complex network in 8 scenarios considering different social preference and governments’ strong reciprocity are conducted. The main conclusions of this paper are as follows:
First, the evolutionary results of the density of the agricultural green production cooperator are positively correlated with the extra net profit of agricultural production operators. If the net profit of agricultural green production is positive, agricultural production operators are inclined to adopt the strategy of agricultural green production, otherwise, the density of agricultural green production cooperator tends to be 0. Furthermore, traditional farmers are more likely to form stable strategy of agricultural green production than new agricultural operators, due to the profits brought by agricultural green production, while a few new agricultural operators would make several attempts to adopt the strategy of agricultural green production although the extra net profit is low or negative, due to their good foundation and willingness of green production.
Second, the effect of social preference on the emergence of agricultural green production networks varies in different scenarios. If the net profit of agricultural green production tends to be negative, agricultural production operators would adopt the strategy of non-green production regardless of social preference, among which traditional farmers would form a consistent stable strategy of non-green production earlier. Only when the cost of adopting the strategy of green production is less than the extra income, the density of the agricultural green production cooperator tends to evolve to be 1. When the net profit of agricultural production operators tends to be 0, social preference and differential aversion preference could promote the agricultural green production behavior of agricultural production operators, and the effect of differential aversion preference is more significant. When the net profit of agricultural production operators is enhanced, agricultural production operators with competitive preference would cooperate in agricultural green production more quickly. And traditional farmers are more likely to form stable strategy of agricultural green production than new agricultural operators.
Third, the effect of governments’ strong reciprocity on the evolution results also varies in different scenarios. As the level of government’s strong reciprocity enhanced, the density of agricultural green production cooperator would be gradually larger even if the net profit of agricultural green production tends to be negative. When the cost of adopting the strategy of agricultural green production is relatively close to the extra profit, with the governments’ strong reciprocity strengthened, and the density of agricultural green production cooperator with different preferences could reach to be 1 more quickly. By contrast, with agricultural production operators without social preference, those agricultural production operators with differential aversion preference, social welfare preference, and competitive preference would reach consensus quickly to adopt the strategy of agricultural green production.
5.2. Policy Implications
First, to improve the net profit of agricultural green production by reducing costs and increasing benefits.
In terms of cost reduction, the government should encourage agricultural machinery and agricultural materials enterprises to reduce the price of agricultural green production technologies, machineries and biological insecticides through tax incentives and green subsidies. Meanwhile, government could also provide preferential treatment as subsidies for agricultural production operators to purchase organic fertilizer and machineries, so as to solve the difficulties of agricultural production operators in material costs. In addition, the government should also strengthen subsidies for the purchase of large-scale agricultural machinery by new agricultural operators, support them in providing agricultural mechanization services to traditional farmers, and reduce the operation costs of large-scale agricultural machinery by these two types of agricultural production operators. When the cost exceeds the expected profit of agricultural green production for agricultural production operators, the governments’ strong reciprocity should be enhanced.
In terms of revenue, the government should enhance the publicity of agricultural green products, adopt green labels to promote agricultural green products, and improve their market competitiveness. Moreover, the government could also encourage traditional farmers to cooperate with new agricultural operators and increase the premium of agricultural green products through the sales channels of new agricultural operators. When the expected profit exceeds of the cost of agricultural green production, social preferences of agricultural production operators should be focused on polices to promote the emergence of agricultural green production networks, especially the incentive polices for traditional farmers.
Second, as new agricultural operators and traditional farmers will coexist for a long time under the pattern of agricultural intensive management, the strategy exchange activities of agricultural green production should be carried out regularly in the rural areas to encourage these two types of agricultural production operators learn and share their experience. It is worth mentioning that the demonstration and leading role of new agricultural operators should be fully achieved so that the concept of agricultural green production and agricultural green production technology can spread faster and more widely in rural areas through the agricultural green production networks.
5.3. Limitations and Prospects
There are some important future extensions that could build on the above results, which have been ignored in this article for clarity and simplicity. Firstly, our model assumes that the agricultural production operators have consistent social preferences, ignoring their bounded rationality and differentiated social preferences. Secondly, the model does not consider the network size is flexible and dynamic, and relations among agricultural production operators in the agricultural production network might be disconnected or reconnected. Thirdly, a consumer’s preference and purchasing decision for green agricultural products would also affect the diffusion of agricultural green production on complex network, which is worth further research.
Author Contributions
Conceptualization, L. F., L.X. and J.D.; methodology, L.X. and Z.Z.; software, Z.Z.; validation, L.X. and Z.Z.; formal analysis, L.F. and L.X.; data checking, D.W.; writing—original draft preparation, L.F., L.X. and Z.Z.; writing—review and editing, L. F. and L.X.; visualization, Z.Z.; supervision, L.X. and J.D.; funding acquisition, L.X. All authors have read and agreed to the published version of the manuscript.
Funding
This research is funded by the National Nature Science Foundation of China (72174076, 71704066, 72174054, and 71704068), National Social Science Foundation of China (22AGL028 and 20BGL191), Social Science Foundation of Jiangsu Province (21GLB016 and 22GLA007), Special research project of think-tanks in Grand Canal Cultural Belt Construction Research Institute (DYH21YB08). The APC was funded by the National Nature Science Foundation of China (72174076).
Institutional Review Board Statement
Not applicable.
Informed Consent Statement
Not applicable.
Data Availability Statement
The data presented in this study are available within the article.
Acknowledgments
The authors are indebted to the anonymous reviewers for their very insightful comments and constructive suggestions, which helped ameliorate the quality of this paper.
Conflicts of Interest
The authors declare no conflict of interest.
Appendix A
Appendix A.1. Proof of Proposition 1
The expected utility of new agricultural operators adopting the strategy of green production is as the following:
While the expected utility of new agricultural operators adopting the strategy of non-green production strategy is as the following:
Then, the average utility of new agricultural operators could be deduced as the following:
Similarly, the expected utility of traditional farmers adopting the strategy of green production is as the following:
And the expected utility of traditional farmers adopting the strategy of non-green production is as the following:
Accordingly, the average utility of traditional farmers is as the following:
Thus, the replicative dynamic equation of the game 1 between new agricultural operators and traditional farmers considering social preference could be composed of the following system:
Let , then we can derive the following lemmas about the evolutionary equilibrium.
Lemma A1.
If x = 0 or 1, y = 0 or 1, then there is
. Thus, we can derive that there are 22 = 4 equilibrium solutions in this situation, which are (0, 0), (1, 0), (1, 1) and (0, 1).
Lemma A2.
When
, if , then there should be met the condition of . Then, the equilibrium solution can be obtained as follows:
The equilibrium point obtained above maybe not the evolutionary stability strategy of the system. As the stability of the equilibrium point should be obtained from the local stability analysis of the Jacobian matrix. The Jacobian matrix of the system is as follows:
Thus, it can be concluded that there are five equilibrium solutions in the game between the new agricultural operators and traditional farmers considering social preference which are (0,0), (1,0), (1,1), (0,1), and .
Appendix A.2. Proof of Proposition 2
Similarly, the replication dynamic equation of the game between two types of new agricultural operators considering social preference could be denoted as the following:
Let , then we can derive the following lemmas about the evolutionary equilibrium.
Lemma A3.
When
, , there is . Thus, we can derive that there are 22 = 4 equilibrium solutions in this situation, which are (0, 0), (1, 0), (1, 1), and (0, 1).
Lemma A4.
When , if there is =0, then. The Jacobian matrix of the system is as the following:
As such, it can be seen that there are four equilibrium solutions in the game between these two types of new agricultural operators considering social preference which are (0,0), (1,0), (1,1), and (0,1).
Appendix A.3. Proof of Proposition 3
Similarly, the replication dynamic equation of the game between two types of new traditional farmers considering social preference could be denoted as the following:
Let , then we can derive the following lemmas about the evolutionary equilibrium.
Lemma A5.
When, , there is. Thus, we can derive that there are 22 = 4 equilibrium solutions in this situation, which are (0,0), (1,0), (1,1), and (0,1).
Lemma A6.
When
, if , then there is . The equilibrium solution can be obtained as follows:
The Jacobian matrix of the system is as follows:
Therefore, it can be seen that there are five equilibrium solutions in the game between these two types of traditional farmers which are (0,0), (1,0), (1,1) (0,1), and .
Appendix A.4. Proof of Proposition 4
The replicative dynamic equation of the game between new agricultural operators and traditional farmers considering governments’ strong reciprocity can be composed of the following system:
Let , then we can derive the following lemmas about the evolutionary equilibrium.
Lemma A7.
When x = 0 or 1, y = 0 or 1, there is. Thus, we can derive that there are 22 = 4 equilibrium solutions in this situation, which are (0,0), (1,0), (1,1), (0,1).
Lemma A8.
When, if , and there is . The equilibrium solution can be obtained as follows:
The Jacobian matrix of the system is as the following:
As such, it can be seen that there are five equilibrium solutions in the game between these two types of traditional farmers considering governments’ strong reciprocity which are (0,0), (1,0), (1,1), (0,1), and .
Appendix A.5. Proof of Proposition 5
The replication dynamic equation of the game between two types of new agricultural operators considering governments’ strong reciprocity could be denoted as the following:
Let , then we can derive the following lemmas about the evolutionary equilibrium.
Lemma A9.
When, Thus, we can derive that there are 22 = 4 equilibrium solutions in this situation, which are (0,0), (1,0), (1,1), and (0,1).
Lemma A10.
When
, if , then there is . The equilibrium solution can be obtained as follows:
Therefore, it can be seen that there are 4 equilibrium solutions in the game between these two types of new agricultural operators considering governments’ strong reciprocity which are (0,0), (1,0), (1,1), and (0,1).
Appendix A.6. Proof of Proposition 6
The replication dynamic equation of the game between two types of new traditional farmers considering governments’ strong reciprocity could be denoted as the following:
Let , then we can derive the following lemmas about the evolutionary equilibrium.
Lemma A11.
When , there is . Thus, we can derive that there are 22 = 4 equilibrium solutions in this situation, which are (0,0), (1,0), (1,1) and (0,1).
Lemma A12.
When, if , and there is . The equilibrium solution can be obtained as follows:
The Jacobian matrix of the system is as follows:
Thus, it can be seen that there are five equilibrium solutions in the game between these two types of traditional farmers considering governments’ strong reciprocity which are (0,0), (1,0), (1,1), (0,1), and .
References
- Liu, Q.; Xu, Q. Ministry of Agriculture: Land Transfer Area of the Whole Country Accounts for 35% of Total Area of Household Contracted Farmland, While Land-Use Mortgages Are Being Piloted. Available online: http://finance.people.com.cn/n1/2017/0307/c1004-29129227.html (accessed on 15 July 2022).
- Li, H.C.; Wang, L.; Gong, J.Z.; Zhu, A.X.; Hu, Y.M. Land-Use Modes of the Dike–Pond System in the Pearl River Delta of China and Implications for Rural Revitalization. Land 2021, 10, 455. [Google Scholar] [CrossRef]
- Cheng, L.; Zou, W.; Duan, K. The influence of new agricultural business entities on the economic welfare of farmer’s families. Agriculture 2021, 11, 880. [Google Scholar] [CrossRef]
- Liu, S.; Wang, B. The decline in agricultural share and agricultural industrialization—Some stylized facts and theoretical expla nations. China Agric. Econ. Rev. 2022, 14, 469–493. [Google Scholar] [CrossRef]
- Zhao, X.F.; Zhao, X.Y. Construction of socialized service capacity of new agricultural operators and prospect of small-scale peasant economy. Issues Agric. Econ. 2018, 24, 99–107. [Google Scholar]
- Xu, L.; Chen, J.; Liu, C. Comparison of irrigation efficiency of smallholder farmers and new agricultural operators and influencing factors. Resour. Sci. 2021, 43, 1821–1833. [Google Scholar] [CrossRef]
- Xie, X. New farmer identity: The emergence of a post-productivist agricultural regime in China. Sociol. Rural. 2021, 61, 52–73. [Google Scholar] [CrossRef]
- Du, J.G.; Wang, M.D.; Xu, L.Y. Comparative study on control model of agricultural non-point source pollution in Small WaterBasin under intensive operation. Syst. Eng. 2018, 36, 111–122. [Google Scholar]
- Chen, X.H. Highlight the key points of support, and effectively enhance the development and driving ability of new agricultural business entities. Issues Agric. Econ. 2020, 491, 6–9. [Google Scholar]
- Xu, L.Y.; Zhou, Z.Y.; Du, J.G. An evolutionary game model for the multi-agent Co-governance of agricultural non-point source pollution control under intensive management pattern in China. Int. J. Environ. Res. Public Health 2020, 17, 2472. [Google Scholar] [CrossRef]
- Xu, B.W.; Niu, Y.R.; Zhang, Y.N.; Chen, Z.F.; Zhang, L. China’s agricultural non-point source pollution and green growth: Interaction and spatial spillover. Environ. Sci. Pollut. Res. 2022, 29, 60278–60288. [Google Scholar] [CrossRef]
- Keyzer, M.D. Inclusive Commons and the Sustainability of Peasant Communities in the Medieval Low Countries; Routledge: London, UK, 2018. [Google Scholar]
- Qaim, M. Role of new plant breeding technologies for food security and sustainable agricultural development. Appl. Econ. Perspect. Policy 2020, 42, 129–150. [Google Scholar] [CrossRef]
- Kansanga, M.; Andersen, P.; Kpienbaareh, D.; Mason-Renton, S.; Atuoye, K.; Sano, Y.; Antab, R. Traditional agriculture in transition: Examining the impacts of agricultural modernization on smallholder farming in Ghana under the new Green Revolution. Int. J. Sustain. Dev. World Ecol. 2019, 26, 11–24. [Google Scholar] [CrossRef]
- Williams, T.O. Factors influencing manure application by farmers in semi-arid west Africa. Nutr. Cycl. Agroecosyst. 1999, 55, 15–22. [Google Scholar] [CrossRef]
- Huang, Y.Z.; Luo, X.F.; Li, R.R.; Zhang, J.B. Farmer cognition, external environment and green agricultural production willingness—Based on the research data of 632 farmers in Hubei Province. Resour. Environ. Yangtze Basin 2018, 27, 680–687. [Google Scholar]
- Aryal, J.P.; Sapkota, T.B.; Krupnik, T.J.; Rahut, D.B.; Jat, M.L.; Stirling, C.M. Factors affecting farmers’ use of organic and inorganic fertilizers in South Asia. Environ. Sci. Pollut. Res. 2021, 28, 51480–51496. [Google Scholar] [CrossRef]
- Li, Y.C.; Fan, Z.Y.; Jiang, G.H.; Quan, Z. Addressing the differences in farmers’ willingness and behavior regarding developing green agriculture—A case study in Xichuan county, China. Land 2021, 10, 316. [Google Scholar] [CrossRef]
- Cai, Y.P.; Du, Z.X. Analysis of ecological consciousness and its influencing factors—Empirical test based on national family farm monitoring data. Chin. Rural Econ. 2016, 12, 33–45. [Google Scholar]
- Wang, X.G.; Wang, X.Z.; Du, Z.X. Factor analysis of family farm administration behavior—Taking 371 food-type family farms as an example. Dongyue Trib. 2018, 39, 36–44. [Google Scholar]
- Korir, J.K.; Affognon, H.D.; Ritho, C.N.; Kingori, W.S.; Irungu, P.; Mohamed, S.A.; Ekesi, S. Grower adoption of an integrated pest management package for management of mango-infesting fruit flies (Diptera: Tephritidae) in Embu, Kenya. Int. J. Trop. Insect Sci. 2015, 35, 80–89. [Google Scholar] [CrossRef]
- Allahyari, M.S.; Damalas, C.A.; Ebadattalab, M. Determinants of integrated pest management adoption for olive fruit fly (Bactrocera oleae) in Roudbar, Iran. Crop Prot. 2016, 84, 113–120. [Google Scholar] [CrossRef]
- Borkhani, F.R.; Rezvanfar, A.; Fami, H.S. Pouratashi, M. Social factors influencing adoption of Integrated Pest Management (IPM) technologies by paddy farmers. Int. J. Agric. Manag. Dev. 2013, 3, 211–218. [Google Scholar]
- Xia, J.Q.; He, K.; Zhang, J.B. The impact of environmental regulation and village regulations on farmers’ green production willingness—Taking the resource recycling of large-scale pig farmers as an example. Chin. J. Eco-Agric. 2019, 27, 1925–1936. [Google Scholar]
- Yang, H.; Klerkx, L.; Leeuwis, C. Functions and limitations of farmer cooperatives as innovation intermediaries: Findings from China. Agric. Syst. 2014, 127, 115–125. [Google Scholar] [CrossRef]
- Abdul-Rahaman, A.; Abdulai, A. Do farmer groups impact on farm yield and efficiency of smallholder farmers? Evidence from rice farmers in northern Ghana. Food Policy 2018, 81, 95–105. [Google Scholar] [CrossRef]
- Qiu, T.W.; Shi, X.J.; He, Q.Y.; Luo, B.L. The paradox of developing agricultural mechanization services in China: Supporting or kicking out smallholder farmers? China Econ. Rev. 2021, 69, 101680. [Google Scholar] [CrossRef]
- Estalaki, S.M.; Abed-Elmdoust, A.; Kerachian, R. Developing environmental penalty functions for river water quality management: Application of evolutionary game theory. Environ. Earth Sci. 2015, 73, 4201–4213. [Google Scholar] [CrossRef]
- Chen, Y.; Zhang, J.; Tadikamalla, P.R.; Gao, X. The relationship among government, enterprise, and public in environmental governance from the perspective of multi-player evolutionary game. Int. J. Environ. Res. Public Health 2019, 16, 3351. [Google Scholar] [CrossRef]
- Cui, H.R.; Zhao, T.; Tao, P.J. Evolutionary game study on the development of green agriculture in China based on ambidexterity theory perspective. Pol. J. Environ. Stud. 2019, 28, 1093–1104. [Google Scholar] [CrossRef]
- Lubell, M.; Fulton, A. Local diffusion networks act as pathways to sustainable agriculture in the Sacramento River Valley. Calif. Agric. 2007, 61, 131–137. [Google Scholar] [CrossRef]
- Ramirez, A. The influence of social networks on agricultural technology adoption. Procedia—Soc. Behav. Sci. 2022, 79, 101–116. [Google Scholar] [CrossRef]
- Campi, M.; Dueñas, M.; Fagiolo, G. How do countries specialize in agricultural production? A complex network analysis of the global agricultural product space. Environ. Res. Lett. 2020, 15, 124006. [Google Scholar] [CrossRef]
- Wang, G.L.; Lu, Q.; Capareda, S.C. Social network and extension service in farmers’ agricultural technology adoption efficiency. PLoS ONE 2020, 15, e0235927. [Google Scholar] [CrossRef] [PubMed]
- Hermans, F.; Sartas, M.; Van Schagen, B.; van Asten, P.; Schut, M. Social network analysis of multi-stakeholder platforms in agricultural research for development: Opportunities and constraints for innovation and scaling. PLoS ONE 2017, 12, e0169634. [Google Scholar] [CrossRef] [PubMed]
- Gintis, H. Strong reciprocity and human sociality. J. Theor. Biol. 2000, 206, 169–179. [Google Scholar] [CrossRef]
- Bo, X.Y.; Ping, C. Does social welfare preference always promote cooperation on Barabási and Albert networks? Comput. Econ. 2011, 37, 249–266. [Google Scholar]
- Fan, R.G.; Zhang, Y.Q.; Luo, H.J. The complex network low-carbon evolution game model of industrial clusters considering fair preference and its simulation analysis. Chin. J. Manag. Sci. 2015, 23, 763–770. [Google Scholar]
- Liao, B.; Li, L.; Yang, Z. Perceived social green preference: The motivation mechanism of inducing green behaviour. Curr. Psychol. 2022, 41, 1–17. [Google Scholar] [CrossRef]
- Tan, W.B. Study on Ecological Compensation Evolution Game of Xiangjiang River Basin Based on Strong Mutual Benefit Theory. Soc. Sci. Hunan 2018, 3, 158–165. [Google Scholar]
- Huang, C.; Chen, T.; Yi, H.T.; Xu, X.L.; Chen, S.Y.; Chen, W.N. Collaborative environmental governance, inter-agency cooperation and local water sustainability in China. Sustainability 2017, 9, 2305. [Google Scholar] [CrossRef]
- Che, M.L.; Nie, Y.M.; Jiang, S.Q.; Zhang, J.H.; Duan, R.J.; Zhao, M. Fractal characteristics and influencing factors of rural settlements in Pingyi mountainous area. Trans. Chin. Soc. Agric. Eng. 2010, 26, 360–365. [Google Scholar]
- Du, J.; Zhou, Z.; Xu, L. Evolutionary game mechanism on complex networks of green agricultural production under intensive management pattern. Complexity 2020, 2020, 8541517. [Google Scholar] [CrossRef]
- Wang, J.; Gao, C. Research on the evolutiosn model and topological structure characteristics of innovation network of virtual cluster of software industry. Manag. Rev. 2014, 26, 29–37. [Google Scholar]
- Deng, M.; Xiang, G.; Yao, S. The effectiveness of the multilateral coalition to develop a green agricultural products market in China based on a TU cooperative game analysis. Sustainability 2018, 10, 1476. [Google Scholar] [CrossRef]
- Gary, C.; Matthew, R. Understanding social preferences with simple tests. Q. J. Econ. 2002, 117, 817–869. [Google Scholar]
Publisher’s Note: MDPI stays neutral with regard to jurisdictional claims in published maps and institutional affiliations. |
© 2022 by the authors. Licensee MDPI, Basel, Switzerland. This article is an open access article distributed under the terms and conditions of the Creative Commons Attribution (CC BY) license (https://creativecommons.org/licenses/by/4.0/).