Installation and Performance Study of a Vertical-Axis Wind Turbine Prototype Model
Abstract
1. Introduction
2. Objective and Research Methodology
3. Installation
3.1. Mechanical Components
3.2. Electrical Components
4. Performance Study
4.1. Wind Energy Conversion
4.2. Power Generation
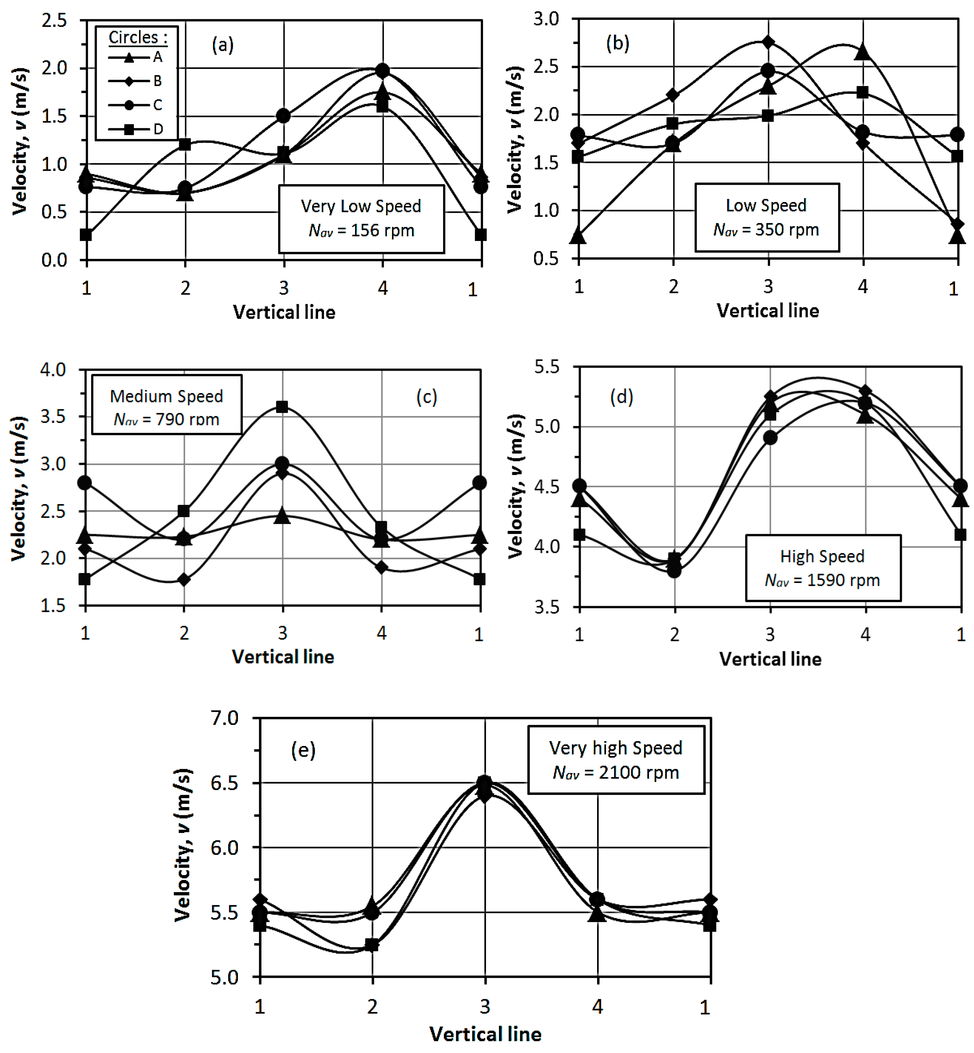
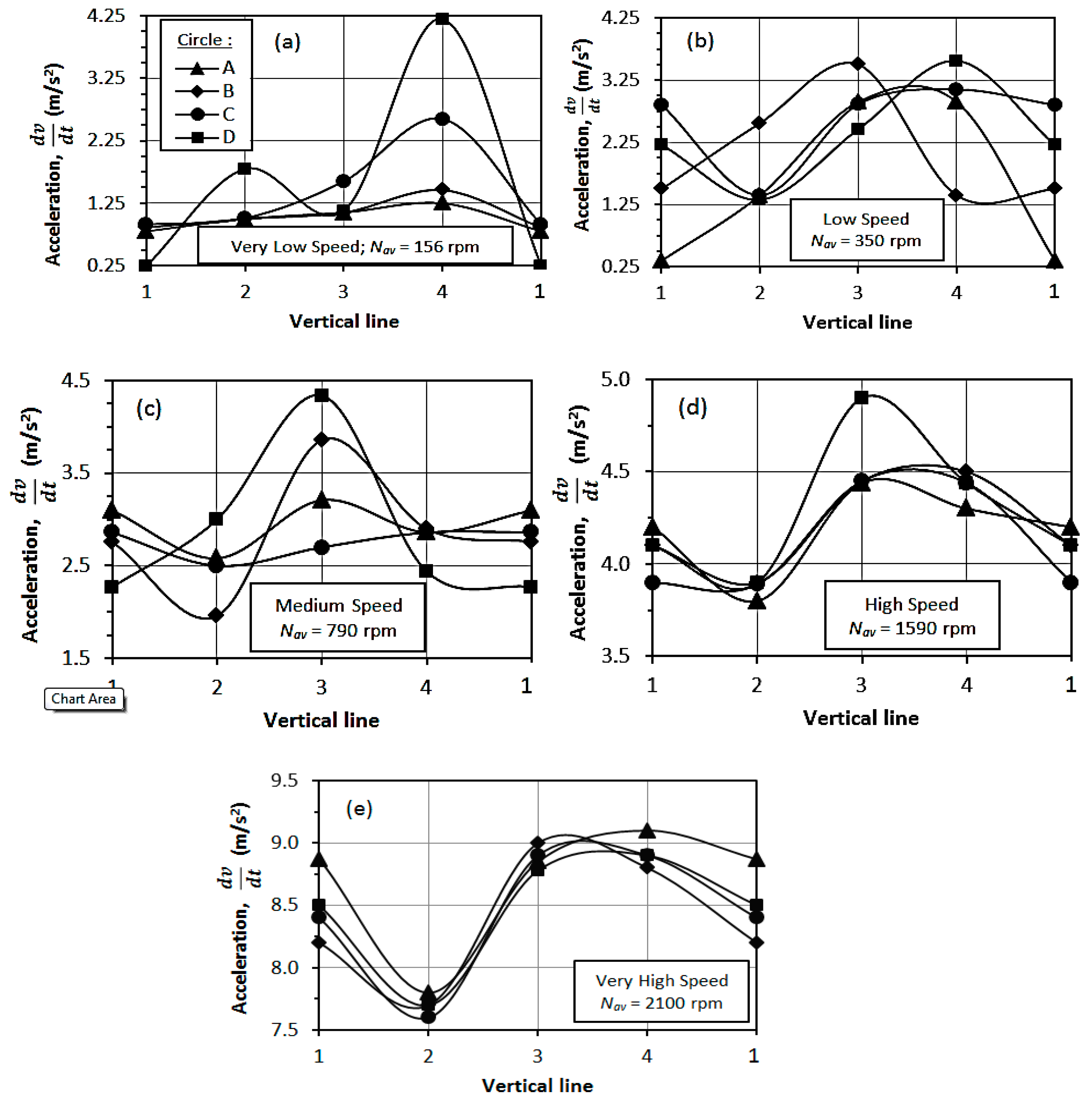
4.3. Vibration Analysis
5. Application
5.1. Description
5.2. Performance Analysis
6. Theoretical Analysis
6.1. Wind Flow Modeling
6.2. Power Efficiency
7. Summary and Conclusions
7.1. Summary
7.2. Conclusions
7.3. Novelty
7.4. Limitations
- The model wind turbine was supplied by the manufacturer. For a better study, the same could be designed and fabricated in-house with more instrumentations.
7.5. Future Research Directives
- Comparative studies on vertical- and horizontal-axis wind turbine performance analyses in terms of power generation efficiencies compared to installation and operational costs by means of small-scale models and full-scale field-based experiments.
- More rigorous theoretical models (analytical and/or numerical) may be developed to study the correlations between the wind flow velocity and the rotational energy produced, associated with lift and drag force analyses.
- Appropriate design recommendations for single and multiple turbines based on statistical and decision modeling concepts for optimal wind energy extraction might be significant for industrial uses [57].
Author Contributions
Funding
Institutional Review Board Statement
Informed Consent Statement
Data Availability Statement
Acknowledgments
Conflicts of Interest
Abbreviations
| A | Swept area of wind flow in turbine; |
| Cε1, Cε2, Cμ | Model constants in finite element analysis; |
| Optimized maximum peak acceleration; | |
| Et | Wind energy; |
| f | Peak frequency of vibration in tower shaft; |
| fmax | Maximum peak frequency; |
| Optimized maximum peak frequency; | |
| F | Volume force vector; |
| g | Gravitational acceleration; |
| k | Turbulent kinetic energy; |
| l | Length of blades; |
| N | Shaft speed; |
| Nav | Average shaft speed; |
| Nk | Model constant in finite element analysis; |
| p | Wind pressure; |
| P | Wind power; |
| Pav | Average power output; |
| Q | Discharge from drip irrigation equipment outlet; |
| R | Coefficient of determination in regression analysis; |
| r | Effective blade radius; |
| t | Time; |
| u | Wind velocity vector; |
| v | Peak velocity of tower shaft vibration; |
| vmax | Maximum peak velocity of tower shaft vibration; |
| Optimized maximum peak velocity of tower shaft vibration; | |
| VAC | AC voltage output; |
| VDC | DC voltage output; |
| Vav | Average voltage output; |
| δ | Peak displacement of tower shaft vibration; |
| δmax | Maximum peak displacement of tower shaft vibration; |
| Optimized maximum peak displacement of tower shaft vibration; | |
| ε | Turbulent dissipation rate; |
| ηp | Electrical power efficiency; |
| γ | Wind unit weight; |
| λ | Tip speed ratio; |
| μT | Turbulent viscosity; |
| ρ | Air density; |
| τ | Shear stress. |
References
- Omar, E.; Haitham, A.R.; Frede, B. Renewable energy resources: Current status, future prospects and their enabling technology. Renew. Sustain. Energy Rev. 2014, 39, 748–764. [Google Scholar]
- Shahzad, U. The need for renewable energy sources. Int. J. Inf. Technol. Electr. Eng. 2015, 4, 16–19. [Google Scholar]
- Owusu, P.A.; Asumadu-Sarkodie, A. A review of renewable energy sources, sustainability issues and climate change mitigation. Cogent Eng. 2016, 3, 1167990. [Google Scholar] [CrossRef]
- Hosseini, S.M.; Kanagaraj, N.; Sadeghi, C.; Yousefi, H. Midpoint and endpoint impacts of electricity generation by renewable and nonrenewable technologies: A case study of Alberta, Canada. Renew. Energy 2022, 197, 22–39. [Google Scholar] [CrossRef]
- Enevoldsen, P.; Permien, F.-H.; Bakhtaoui, I.; von Krauland, A.-K.; Jacobson, M.Z.; Xydis, G.; Sovacool, B.K.; Valentine, S.V.; Luecht, D.; Oxley, G. How much wind power potential does Europe have? Examining European wind power potential with an enhanced socio-technical atlas. Energy Policy 2019, 132, 1092–1100. [Google Scholar] [CrossRef]
- Evans, A.; Strezov, V.; Evans, T. Assessment of sustainability indicators for renewable energy technologies. Renew. Sustain. Energy Rev. 2009, 13, 1082–1088. [Google Scholar] [CrossRef]
- Basack, S.; Goswami, G.; Dai, Z.-H.; Baruah, P. Failure-mechanism and design techniques of offshore wind turbine pile foundation: Review and research directions. Sustainability 2022, 14, 12666. [Google Scholar] [CrossRef]
- Cheng, M.; Zhu, Y. The state of the art of wind energy conversion systems and technologies: A review. Energy Convers. Manag. 2014, 88, 332. [Google Scholar] [CrossRef]
- Savenkov, M. On the truncated weibull distribution and its usefulness in evaluating potential wind (or wave) energy sites. Univ. J. Eng. Technol. 2009, 1, 21–25. [Google Scholar]
- Schubel, P.J.; Crossley, R.J. Wind turbine blade design. Energies 2012, 5, 3425–3449. [Google Scholar] [CrossRef]
- West, C.G.; Smith, R.B. Global patterns of offshore wind variability. Wind Energy 2020, 24, 1466–1481. [Google Scholar] [CrossRef]
- Cao, W.; Xie, Y.; Tan, Z. Wind Turbine Generator Technologies. In Advances in Wind Power; Carriveau, R., Ed.; Intech Open: Rijeka, Croatia, 2012. [Google Scholar] [CrossRef]
- Basack, S.; Dutta, S.; Saha, D.; Das, G. Power generation by offshore wind turbines: An overview on recent research and developments. WSEAS Trans. Power Syst. 2021, 16, 254–261. [Google Scholar] [CrossRef]
- Malhotra, S. Design and construction considerations for offshore wind turbine foundations in North America. In Proceedings of the 26th International Conference on Offshore Mechanics and Arctic Engineering, ASME, San Diego, CA, USA, 10–15 June 2007; Paper No. OMAE2007-29761. pp. 635–647. [Google Scholar] [CrossRef]
- Mohod, S.W.; Aware, M.V. Laboratory development of wind turbine simulator using variable speed induction motor. Int. J. Eng. Sci. Technol. 2011, 3, 73–82. [Google Scholar] [CrossRef]
- Wang, S.; Ren, J.; Meng, X.; Wu, Y. Model experiment study for ventilation performance improvement of the wind energy fan system by optimizing wind turbines. Sustain. Cities Soc. 2020, 60, 102212. [Google Scholar] [CrossRef]
- Zhao, X.; Hu, T.; Zhang, L.; Liu, Z.; Wang, S.; Tian, W.; Yang, Z.; Guo, Y. Experimental study on the characteristics of wind turbine wake field considering yaw conditions. Energy Sci. Eng. 2021, 9, 2333–2341. [Google Scholar] [CrossRef]
- Xavier, E.; Mebarki, T. Full-scale wind turbine vibration signature analysis. Machines 2018, 6, 63. [Google Scholar] [CrossRef]
- Dickler, S.; Wintermeyer-Kallen, T.; Zierath, J.; Bockhahn, R.; Machost, D.; Konrad, T.; Abel, D. Full-scale field test of a model predictive control system for a 3 MW wind turbine. Forsch. Im Ing. 2021, 85, 313–323. [Google Scholar] [CrossRef]
- Torsvik, J.; Nejad, A.R.; Pedersen, E. Experimental field study of floater motion effects on a main bearing in a full-scale spar floating wind turbine. Mar. Struct. 2021, 79, 103059. [Google Scholar] [CrossRef]
- Bastankhah, M.; Porté-Agel, F. A new analytical model for wind-turbine wakes. Renew. Energy 2014, 70, 116–123. [Google Scholar] [CrossRef]
- Vieira, R.J.; Sharaf, A.M. Analytical model of a wind energy AC-DC-AC scheme. In Proceedings of the IEEE 27th Canadian Conference on Electrical and Computer Engineering, Toronto, ON, Canada, 4–7 May 2014. [Google Scholar]
- Dar, A.S.; Porté-Agel, F. An analytical model for wind turbine wakes under pressure gradient. Energies 2022, 15, 5345. [Google Scholar] [CrossRef]
- Major, D.; Palacios, J.; Maughmer, M.; Schmitz, S. A numerical model for the analysis of leading-edge protection tapes for wind turbine blades. J. Phys. Conf. Ser. 2020, 1452, 012058. [Google Scholar] [CrossRef]
- Hansen, J.T.; Mahak, M.; Tzanakis, I. Numerical modelling and optimization of vertical axis wind turbine pairs: A scale up approach. Renew. Energy 2021, 171, 1371–1381. [Google Scholar] [CrossRef]
- Faraggiana, E.; Giorgi, G.; Sirigu, M.; Ghigo, A.; Bracco, G.; Mattiazzo, G. A review of numerical modelling and optimisation of the floating support structure for offshore wind turbines. J. Ocean Energy Mar. Energy 2022, 8, 433–456. [Google Scholar] [CrossRef]
- Arushi, T.; Zaayer, M.B. Review of design concepts, methods and considerations of offshore wind turbines. In Proceedings of the European Offshore Wind Conference and Exhibition, Berlin, Germany, 4–7 December 2007. [Google Scholar]
- Chen, J.; Kim, M.H. Review of recent offshore wind turbine research and optimization methodologies in their design. J. Mar. Sci. Eng. 2022, 10, 28. [Google Scholar] [CrossRef]
- Salih, S.M.; Taha, M.Q.; Alawsaj, M.K. Performance analysis of wind turbine systems under different parameters effect. Int. J. Energy Environ. 2012, 3, 895–904. [Google Scholar]
- Ajewole, T.O.; Alawode, K.O.; Omoigui, M.O.; Oyekanmi, W.A. Design validation of a laboratory-scale wind turbine emulator. Cogent Eng. 2017, 4, 1280888. [Google Scholar] [CrossRef]
- Raut, S.; Sawant, K.; Yadhav, M.; Sawant, H.; Patel, V.D. Design and development of harmony wind turbine. Int. J. Eng. Res. Technol. 2020, 9. [Google Scholar] [CrossRef]
- Storer, R. Flower Power: How One Company Is Beautifying the Wind Turbine. The Guardian. 2 June 2021. Available online: https://www.theguardian.com/environment/2021/jun/02/flower-power-how-one-company-is-beautifying-the-wind-turbine (accessed on 1 August 2022).
- Jha, N.; Prashar, D.; Rashid, M.; Khanam, Z.; Nagpal, A.; AlGhamdi, A.S.; Alshamrani, S.S. Energy-efficient hybrid power system model based on solar and wind energy for integrated grids. Math. Probl. Eng. 2022, 2022, 4877422. [Google Scholar] [CrossRef]
- Whittlesey, R. Vertical Axis Wind Turbines: Farm and Turbine Design. In Wind Energy Engineering; Letcher, T.M., Ed.; Academic Press: Cambridge, MA, USA, 2017; pp. 185–202. [Google Scholar] [CrossRef]
- Krishankumara, R.; Nimmagadda, S.S.; Rani, P.; Mishra, A.R.; Ravichandran, K.; Gandomi, A.H. Solving renewable energy source selection problems using a q-rung orthopair fuzzy-based integrated decision-making approach. J. Clean. Prod. 2021, 279, 123329. [Google Scholar] [CrossRef]
- Krishankumar, R.; Mishra, A.R.; Ravichandran, K.S.; Peng, X.; Zavadskas, E.K.; Cavallaro, F.; Mardani, A. A group decision framework for renewable energy source selection under interval-valued probabilistic linguistic term set. Energy 2020, 13, 986. [Google Scholar] [CrossRef]
- Krishankumar, R.; Ravichandran, K.S.; Kar, S.; Cavallaro, F.; Zavadskas, E.K.; Mardani, A. Scientific decision framework for evaluation of renewable energy sources under q-rung orthopair fuzzy set with partially known weight information. Sustainability 2019, 11, 4202. [Google Scholar] [CrossRef]
- Pandey, A.K.; Krishankumar, R.; Pamucar, D.; Cavallaro, F.; Mardani, A.; Kar, S.; Ravichandran, K.S. A bibliometric review on decision approaches for clean energy systems under uncertainty. Energies 2021, 14, 6824. [Google Scholar] [CrossRef]
- Available online: https://nevonprojects.com (accessed on 1 December 2021).
- Aruri, D.; Adepu, K.; Adepu, K.; Bazavada, K. Wear and mechanical properties of 6061-T6 aluminum alloy surface hybrid composites [(SiC+ Gr) and (SiC+ Al2O3)] fabricated by friction stir processing. J. Mater. Res. Technol. 2013, 2, 362–369. [Google Scholar] [CrossRef]
- Ravikumar, S.; Jaswanthvenkatram, V.; Sohaib, S.M. Design and analysis of wind turbine blade hub using aluminium alloy AA 6061-T6. Proc. IOP Conf. Ser. Mater. Sci. Eng. 2017, 197, 012044. [Google Scholar] [CrossRef]
- Choon, T.W.; Prakash, C.; Aik, E.A.; Hin, T.T. Development of low wind speed anemometer. Int. J. Adv. Sci. Eng. Inf. Technol. 2012, 2, 237–240. [Google Scholar] [CrossRef][Green Version]
- Baseer, M.A.; Meyer, J.P.; Rehman, S.; Alam, M.; Al-Hadhrami, L.; Lashin, A. Performance evaluation of cup-anemometers and wind speed characteristics analysis. Renew. Energy 2016, 86, 733–744. [Google Scholar] [CrossRef]
- Ajayia, O.O.; Agaranab, M.C.; Animasaun, T.O. Vibration analysis of the low speed shaft and hub of a wind turbine using sub structuring techniques. Procedia Manuf. 2021, 7, 602–608. [Google Scholar] [CrossRef]
- Kitchin, C. Using Accelerometers in Low g Applications. Analogue Devices 1995, Application Note AN-374. Available online: http://www.bdtic.com/download/adi/AN-374.pdf (accessed on 1 August 2022).
- Ali, M.J.; Mondal, A.; Dutta, P. Intelligent monitoring and control of wind turbine prototype using Internet of Things (IoT). In Proceedings of the 2022 IEEE International IOT, Electronics and Mechatronics Conference (IEMTRONICS), Toronto, ON, Canada, 1–4 June 2022. [Google Scholar] [CrossRef]
- Bose, S.; Paria, S.; Hazra, A.; Paul, S.; Baidya, M.; Yadav, V.K.; Pramanik, A.; Sarkar, P.; Paik, S.; Dhar, S.; et al. Wind Turbine Driven Automated Irrigation System Using Soil Moisture Sensor and Ardunio; Technical Report, B. Tech. Project; Department of Electrical Engineering, Elitte College of Engineering: Kolkata, India, 2022. [Google Scholar]
- Ma, J.; Koutsougeras, C.; Luo, H. Efficiency of a vertical axis wind turbine with airfoil pitch control. In Proceedings of the International COMSOL 2016 Conference, Boston, MA, USA, 12 October 2016. [Google Scholar]
- Albadi, M.; EEl-Saadany; Albadi, H.A. Wind to power a new city in Oman. Energy 2009, 34, 1579–1586. [Google Scholar] [CrossRef]
- Sarkar, A.; Behera, D.K. Wind turbine blade efficiency and power calculation. Int. J. Sci. Res. Publ. 2012, 2, 2250–3153. [Google Scholar]
- Cetin, N.S.; Yurdusev, M.A.; Ata, R.; Özdamar, A. Assessment of optimum tip speed ratio of wind turbines. Math. Comput. Appl. 2005, 10, 147–154. [Google Scholar]
- Indian Meteorological Department. Climate of West Bengal. National Climate Centre, Office of the Additional Director General of Meteorology (Research), India Meteorological Department, Government of India, 2008; PGDM-144, 250-2008 (DSK-II). Available online: https://imdpune.gov.in/library/public/Climate%20of%20WestBengal.pdf (accessed on 1 August 2022).
- Nimbalkar, S.; Basack, S. Pile group in clay under cyclic lateral loading with emphasis on bending moment: Numerical modelling. Mar. Georesour. Geotechnol. 2022. [Google Scholar] [CrossRef]
- Basack, S.; Karami, M.; Karakouzian, M. Pile-soil interaction under cyclic lateral load in loose sand. Soil Dyn. Earthq. Eng. 2022, 162, 107439. [Google Scholar] [CrossRef]
- Basack, S.; Loganathan, M.K.; Goswami, G.; Khabbaz, H. Saltwater intrusion into coastal aquifers and associated risk management: Brief review and research directions. J. Coast. Res. 2022, 38, 654–672. [Google Scholar] [CrossRef]
- Basack, S.; Loganathan, M.K.; Goswami, G.; Bruah, P.; Alam, R. Review of risk assessment and mitigation measures of coastal aquifers vulnerable to saline water intrusion. Pol. J. Environ. Stud. 2022, 31, 1505–1512. [Google Scholar] [CrossRef]
- Li, Z.; Tian, G.; Shafay, A.S. Statistical-analytical study on world development trend in offshore wind energy production capacity focusing on Great Britain with the aim of MCDA based offshore wind farm siting. J. Clean. Prod. 2022, 363, 132326. [Google Scholar] [CrossRef]





























| Speed Category | Time Instances (s) | Output Parameters |
|---|---|---|
| Very low (Nav < 200 rpm) | 0, 10, 20, 30, 40, 50, 60 | Shaft speed (N), output power (P), output voltages: AC (VAC), DC (VDC) |
| Low (200 rpm ≤ Nav < 500 rpm) | -do- | -do- |
| Medium (500 rpm ≤ Nav < 1000 rpm) | -do- | -do- |
| High (1000 rpm ≤ Nav < 1600 rpm) | -do- | -do- |
| Very high (Nav ≥ 1600 rpm) | -do- | -do- |
| Speed Category | Circle | Vertical Line Number | Parameters to Measure |
|---|---|---|---|
| Very low, low, medium, high, very high | A, B, C, D | 1, 2, 3, 4 | Peak displacement (δ), peak velocity (v), peak acceleration , frequency (f) |
| Constant | Value |
|---|---|
| Cμ | 0.08 |
| Cε1 | 1.42 |
| Cε2 | 1.88 |
Publisher’s Note: MDPI stays neutral with regard to jurisdictional claims in published maps and institutional affiliations. |
© 2022 by the authors. Licensee MDPI, Basel, Switzerland. This article is an open access article distributed under the terms and conditions of the Creative Commons Attribution (CC BY) license (https://creativecommons.org/licenses/by/4.0/).
Share and Cite
Basack, S.; Dutta, S.; Saha, D. Installation and Performance Study of a Vertical-Axis Wind Turbine Prototype Model. Sustainability 2022, 14, 16084. https://doi.org/10.3390/su142316084
Basack S, Dutta S, Saha D. Installation and Performance Study of a Vertical-Axis Wind Turbine Prototype Model. Sustainability. 2022; 14(23):16084. https://doi.org/10.3390/su142316084
Chicago/Turabian StyleBasack, Sudip, Shantanu Dutta, and Dipasri Saha. 2022. "Installation and Performance Study of a Vertical-Axis Wind Turbine Prototype Model" Sustainability 14, no. 23: 16084. https://doi.org/10.3390/su142316084
APA StyleBasack, S., Dutta, S., & Saha, D. (2022). Installation and Performance Study of a Vertical-Axis Wind Turbine Prototype Model. Sustainability, 14(23), 16084. https://doi.org/10.3390/su142316084

