Two-Dimensional Modelling of the Mixing Patterns in a Tropical Semiarid Reservoir
Abstract
1. Introduction
2. Materials and Methods
2.1. Study Site
2.2. Model Description
2.3. Meteorological Data
2.4. Model Configuration and Accuracy Evaluation
2.5. Stratification
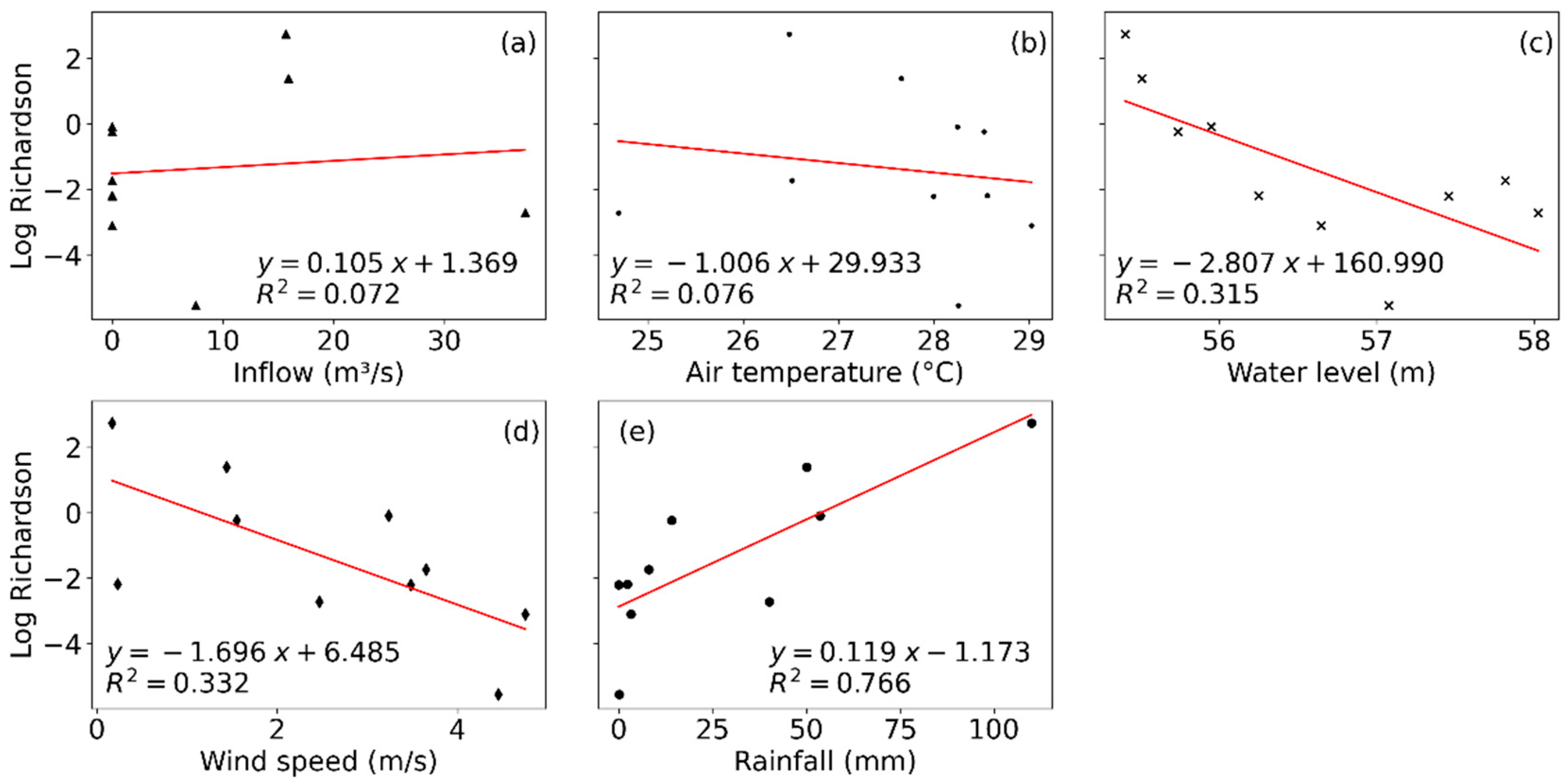
3. Results and Discussion
4. Conclusions
Supplementary Materials
Author Contributions
Funding
Institutional Review Board Statement
Informed Consent Statement
Data Availability Statement
Acknowledgments
Conflicts of Interest
References
- Li, Y.; Acharya, K.; Chen, D.; Stone, M. Modeling Water Ages and Thermal Structure of Lake Mead under Changing Water Levels. Lake Reserv. Manag. 2010, 26, 258–272. [Google Scholar] [CrossRef]
- de Araújo, J.C.; Mamede, G.L.; de Lima, B.P. Hydrological Guidelines for Reservoir Operation to Enhance Water Governance: Application to the Brazilian Semiarid Region. Water 2018, 10, 1628. [Google Scholar] [CrossRef]
- de Lacerda, L.D.; Santos, J.A.; Marins, R.V.; Da Silva, F.A.T.F. Limnology of the Largest Multi-Use Artificial Reservoir in NE Brazil: The Castanhão Reservoir, Ceará State. An. Acad. Bras. Cienc. 2018, 90, 2073–2096. [Google Scholar] [CrossRef] [PubMed]
- Azadi, F.; Ashofteh, P.S.; Chu, X. Evaluation of the Effects of Climate Change on Thermal Stratification of Reservoirs. Sustain. Cities Soc. 2020, 66, 102531. [Google Scholar] [CrossRef]
- Mesquita, J.B.d.F.; Lima Neto, I.E.; Raabe, A.; de Araújo, J.C. The Influence of Hydroclimatic Conditions and Water Quality on Evaporation Rates of a Tropical Lake. J. Hydrol. 2020, 590, 125456. [Google Scholar] [CrossRef]
- de Araújo, J.C.; Piedra, J.I.G. Comparative Hydrology: Analysis of a Semiarid and a Humid Tropical Watershed. Hydrol. Process. 2009, 23, 1169–1178. [Google Scholar] [CrossRef]
- Lima Neto, I.E. Impact of Artificial Destratification on Water Availability of Reservoirs in the Brazilian Semiarid. An. Acad. Bras. Cienc. 2019, 91, 1–12. [Google Scholar] [CrossRef]
- Raulino, J.B.S.; Silveira, C.S.; Lima Neto, I.E. Assessment of Climate Change Impacts on Hydrology and Water Quality of Large Semi-Arid Reservoirs in Brazil. Hydrol. Sci. J. 2021, 66, 1321–1336. [Google Scholar] [CrossRef]
- Wiegand, M.C.; do Nascimento, A.T.P.; Costa, A.C.; Lima Neto, I.E. Trophic State Changes of Semi-Arid Reservoirs as a Function of the Hydro-Climatic Variability. J. Arid Environ. 2021, 184, 104321. [Google Scholar] [CrossRef]
- Mamede, G.L.; Araújo, N.A.M.; Schneider, C.M.; De Araújo, J.C.; Herrmann, H.J. Overspill Avalanching in a Dense Reservoir Network. Proc. Natl. Acad. Sci. USA 2012, 109, 7191–7195. [Google Scholar] [CrossRef]
- Rabelo, U.P.; Dietrich, J.; Costa, A.C.; Simshauser, M.N.; Scholz, F.E.; Nguyen, V.T.; Lima Neto, I.E. Representing a dense network of ponds and reservoirs in a semi-distributed dryland catchment model. J. Hydrol. 2021, 603, 127103. [Google Scholar] [CrossRef]
- Chung, S.W.; Imberger, J.; Hipsey, M.R.; Lee, H.S. The Influence of Physical and Physiological Processes on the Spatial Heterogeneity of a Microcystis Bloom in a Stratified Reservoir. Ecol. Modell. 2014, 289, 133–149. [Google Scholar] [CrossRef]
- Zouabi-Aloui, B.; Adelana, S.M.; Gueddari, M. Effects of Selective Withdrawal on Hydrodynamics and Water Quality of a Thermally Stratified Reservoir in the Southern Side of the Mediterranean Sea: A Simulation Approach. Environ. Monit. Assess. 2015, 187, 1–19. [Google Scholar] [CrossRef] [PubMed]
- Yang, Z.; Xu, P.; Liu, D.; Ma, J.; Ji, D.; Cui, Y. Hydrodynamic Mechanisms Underlying Periodic Algal Blooms in the Tributary Bay of a Subtropical Reservoir. Ecol. Eng. 2018, 120, 6–13. [Google Scholar] [CrossRef]
- Soares, L.M.V.; Silva, T.F.d.G.; Vinçon-Leite, B.; Eleutério, J.C.; de Lima, L.C.; Nascimento, N.d.O. Modelling Drought Impacts on the Hydrodynamics of a Tropical Water Supply Reservoir. Inland Waters 2019, 9, 422–437. [Google Scholar] [CrossRef]
- Ziaie, R.; Mohammadnezhad, B.; Taheriyoun, M.; Karimi, A.; Amiri, S. Evaluation of Thermal Stratification and Eutrophication in Zayandeh Roud Dam Reservoir Using Two-Dimensional CE-QUAL-W2 Model. J. Environ. Eng. 2019, 145, 05019001. [Google Scholar] [CrossRef]
- Shilei, Z.; Yue, S.; Tinglin, H.; Ya, C.; Xiao, Y.; Zizhen, Z.; Yang, L.; Zaixing, L.; Jiansheng, C.; Xiao, L. Reservoir Water Stratification and Mixing Affects Microbial Community Structure and Functional Community Composition in a Stratified Drinking Reservoir. J. Environ. Manag. 2020, 267, 110456. [Google Scholar] [CrossRef]
- Barbosa, C.C.; Calijuri, M.d.C.; dos Santos, A.C.A.; Ladwig, R.; de Oliveira, L.F.A.; Buarque, A.C.S. Future Projections of Water Level and Thermal Regime Changes of a Multipurpose Subtropical Reservoir (Sao Paulo, Brazil). Sci. Total Environ. 2021, 770, 144741. [Google Scholar] [CrossRef]
- Bruce, L.C.; Frassl, M.A.; Arhonditsis, G.B.; Gal, G.; Hamilton, D.P.; Hanson, P.C.; Hetherington, A.L.; Melack, J.M.; Read, J.S.; Rinke, K.; et al. A Multi-Lake Comparative Analysis of the General Lake Model (GLM): Stress-Testing across a Global Observatory Network. Environ. Model. Softw. 2018, 102, 274–291. [Google Scholar] [CrossRef]
- Polli, B.A.; Bleninger, T. Comparison of 1D and 3D Reservoir Heat Transport Models and Temperature Effects on Mass Transport. Rev. Bras. Recur. Hidricos 2019, 24, 1–19. [Google Scholar] [CrossRef]
- Soares, L.M.V.; Calijuri, M.d.C.; Silva, T.F.d.G.; Moraes Novo, E.M.L.d.; Cairo, C.T.; Barbosa, C.C.F. A Parameterization Strategy for Hydrodynamic Modelling of a Cascade of Poorly Monitored Reservoirs in Brazil. Environ. Model. Softw. 2020, 134, 104803. [Google Scholar] [CrossRef]
- Zhang, F.; Zhang, H.; Bertone, E.; Stewart, R.; Lemckert, C.; Cinque, K. Numerical Study of the Thermal Structure of a Stratified Temperate Monomictic Drinking Water Reservoir. J. Hydrol. Reg. Stud. 2020, 30, 100699. [Google Scholar] [CrossRef]
- Ishikawa, M.; Bleninger, T.; Lorke, A. Hydrodynamics and Mixing Mechanisms in a Subtropical Reservoir. Inland Waters 2021, 11, 286–301. [Google Scholar] [CrossRef]
- Ma, S.; Kassinos, S.C.; Fatta Kassinos, D.; Akylas, E. Effects of Selective Water Withdrawal Schemes on Thermal Stratification in Kouris Dam in Cyprus. Lakes Reserv. Res. Manag. 2008, 13, 51–61. [Google Scholar] [CrossRef]
- Saber, A.; James, D.E.; Hayes, D.F.; Moret, G.J.M. Effects of Seasonal Fluctuations of Surface Heat Flux and Wind Stress on Mixing and Vertical Diffusivity of Water Column in Deep Lakes. Adv. Water Resour. 2018, 119, 150–163. [Google Scholar] [CrossRef]
- Freire, L.L.; Costa, A.C.; Lima Neto, I.E. Spatio-temporal Patterns of River Water Quality in the Semiarid Northeastern Brazil. Water Air Soil Pollut. 2021, 232, 452. [Google Scholar] [CrossRef]
- Sharaf, N.; Lemaire, B.J.; Fadel, A.; Slim, K.; Vinçon-Leite, B. Assessing the Thermal Regime of Poorly Monitored Reservoirs with a Combined Satellite and Three-Dimensional Modeling Approach. Inland Waters 2021, 11, 302–314. [Google Scholar] [CrossRef]
- Krisnayanti, D.S.; Bunganaen, W.; Frans, J.H.; Seran, Y.A.; Legono, D. Curve Number Estimation for Ungauged Watershed in Semi-Arid Regiom. Civ. Eng. J. 2021, 7, 1070–1083. [Google Scholar] [CrossRef]
- Kasri, J.E.; Lahmili, A.; Soussi, H.; Jaouda, I.; Bentaher, M. Trend Analysis of Meteorological Variables: Rainfall and Temperature. Civ. Eng. J. 2021, 7, 1868–1879. [Google Scholar] [CrossRef]
- Kirillin, G.; Shatwell, T. Generalized Scaling of Seasonal Thermal Stratification in Lakes. Earth-Sci. Rev. 2016, 161, 179–190. [Google Scholar] [CrossRef]
- Boegman, L.; Sleep, S. Feasibility of Bubble Plume Destratification of Central Lake Erie. J. Hydraul. Eng. 2012, 138, 985–989. [Google Scholar] [CrossRef]
- Noori, R.; Berndtsson, R.; Franklin Adamowski, J.; Rabiee Abyaneh, M. Temporal and Depth Variation of Water Quality Due to Thermal Stratification in Karkheh Reservoir, Iran. J. Hydrol. Reg. Stud. 2018, 19, 279–286. [Google Scholar] [CrossRef]
- Liu, M.; Zhang, Y.; Shi, K.; Zhu, G.; Wu, Z.; Liu, M.; Zhang, Y. Thermal Stratification Dynamics in a Large and Deep Subtropical Reservoir Revealed by High-Frequency Buoy Data. Sci. Total Environ. 2019, 651, 614–624. [Google Scholar] [CrossRef] [PubMed]
- Moura, D.S.; Lima Neto, I.E.; Clemente, A.; Oliveira, S.; Pestana, C.J.; Aparecida de Melo, M.; Capelo-Neto, J. Modeling Phosphorus Exchange between Bottom Sediment and Water in Tropical Semiarid Reservoirs. Chemosphere 2020, 246, 125686. [Google Scholar] [CrossRef]
- Lu, J.; Liu, T.; Zhang, X.; Gao, R.; Liu, Y. A Dynamic Flux Model for Analyses of Phosphorus Exchange between Overlying Water and Sedimentary Deposits of a Reservoir in the Cold Area of North China. Ecol. Eng. 2021, 161, 106116. [Google Scholar] [CrossRef]
- Lewis, W.M., Jr. Tropical Lakes: How Latitude Makes a Difference. Perspect. Trop. Limnol. 1996, 43–64. [Google Scholar]
- Imberger, J. Flux Paths in a Stratified Lake: A Review. Coast Estuar. Stud. (Phys. Proc. Lakes Ocean.) 1998, 54, 1–17. [Google Scholar] [CrossRef]
- Rouse, W.R.; Oswald, C.M.; Binyamin, J.; Blanken, P.D.; Schertzer, W.M.; Spence, C. Interannual and Seasonal Variability of the Surface Energy Balance and Temperature of Central Great Slave Lake. J. Hydrometeorol. 2003, 4, 720–730. [Google Scholar] [CrossRef]
- Curtarelli, M.P.; Alcântara, E.; Rennó, C.D.; Assireu, A.T.; Bonnet, M.P.; Stech, J.L. Modelling the Surface Circulation and Thermal Structure of a Tropical Reservoir Using Three-Dimensional Hydrodynamic Lake Model and Remote-Sensing Data. Water Environ. J. 2014, 28, 516–525. [Google Scholar] [CrossRef]
- Chen, G.; Fang, X.; Devkota, J. Understanding Flow Dynamics and Density Currents in a River-Reservoir System under Upstream Reservoir Releases. Hydrol. Sci. J. 2016, 61, 2411–2426. [Google Scholar] [CrossRef]
- Magee, M.R.; Wu, C.H. Response of Water Temperatures and Stratification to Changing Climate in Three Lakes with Different Morphometry. Hydrol. Earth Syst. Sci. 2017, 21, 6253–6274. [Google Scholar] [CrossRef]
- Plec, D.F.; das Graças Silva, T.F.; Vinçon-Leite, B.; Nascimento, N. Thermal Functioning of a Tropical Reservoir Assessed through Three-Dimensional Modelling and High-Frequency Monitoring. Rev. Bras. Recur. Hidricos 2021, 26, 1–25. [Google Scholar] [CrossRef]
- León, L.F.; Imberger, J.; Smith, R.E.H.; Hecky, R.E.; Lam, D.C.L.; Schertzer, W.M. Modeling as a Tool for Nutrient Management in Lake Erie: A Hydrodynamics Study. J. Great Lakes Res. 2005, 31, 309–318. [Google Scholar] [CrossRef]
- Imberger, J.; Hamblin, P.F. Dynamics of Lakes, Reservoirs, and Cooling Ponds. Annu. Rev. Fluid Mech. 1982, 14, 153–187. [Google Scholar] [CrossRef]
- Zhao, Q.; Ren, Y.; Wang, J.X.L. Temporal and Spatial Characteristics of Potential Energy Anomaly in Lake Taihu. Environ. Sci. Pollut. Res. 2018, 25, 24316–24325. [Google Scholar] [CrossRef]
- Xing, Z.; Chua, L.H.C.; Miao, H.; Imberger, J.; Yang, P. Wind Shielding Impacts on Water Quality in an Urban Reservoir. Water Resour. Manag. 2018, 32, 3549–3561. [Google Scholar] [CrossRef]
- Sundaram, T.R.; Rehm, R.G. Formation and Maintenance of Thermoclines in Temperate Lakes. AIAA J. 1971, 9, 1322–1329. [Google Scholar] [CrossRef]
- Chapra, S.C. Surface Water-Quality Modeling; Waveland Press: Long Grove, IL, USA, 2008; pp. 1–866. [Google Scholar]
- Dingjman, S.L. Physical Hydrology; Waveland Press: Long Grove, IL, USA, 2008; pp. 1–657. [Google Scholar]
- Boegman, L.; Imberger, J.; Ivey, G.N.; Antenucci, J.P. High-Frequency Internal Waves in Large Stratified Lakes. Limnol. Oceanogr. 2003, 48, 895–919. [Google Scholar] [CrossRef]
- Galperin, B.; Sukoriansky, S.; Anderson, P. On the Critical Richardson Number in Stably Stratified Turbulence. Atmos. Sci. Lett. 2007, 8, 65–69. [Google Scholar] [CrossRef]
- Han, B.P.; Armengol, J.; Carlos Garcia, J.; Comerma, M.; Roura, M.; Dolz, J.; Straskraba, M. The Thermal Structure of Sau Reservoir (NE: Spain): A Simulation Approach. Ecol. Modell. 2000, 125, 109–122. [Google Scholar] [CrossRef]
- Vinçon-Leite, B.; Casenave, C. Modelling Eutrophication in Lake Ecosystems: A Review. Sci. Total Environ. 2019, 651, 2985–3001. [Google Scholar] [CrossRef] [PubMed]
- Man, X.; Lei, C.; Carey, C.C.; Little, J.C. Relative Performance of 1-D versus 3-D Hydrodynamic, Water-Quality Models for Predicting Water Temperature and Oxygen in a Shallow, Eutrophic, Managed Reservoir. Water 2021, 13, 88. [Google Scholar] [CrossRef]
- Soares, L.M.V.; do Carmo Calijuri, M. Deterministic Modelling of Freshwater Lakes and Reservoirs: Current Trends and Recent Progress. Environ. Model. Softw. 2021, 144, 105143. [Google Scholar] [CrossRef]
- Gelda, R.K.; King, A.T.; Effler, S.W.; Schweitzer, S.A.; Cowen, E.A. Testing and Application of a Two-Dimensional Hydrothermal/Transport Model for a Long, Deep, and Narrow Lake with Moderate Burger Number. Inland Waters 2015, 5, 387–402. [Google Scholar] [CrossRef]
- Cole, T.M.; Wells, S.A. CE-QUAL-W2: A Two-Dimensional, Laterally Averaged, Hydrodynamic and Water Quality Model, Version 3. 71 User Manual By 2018; Portland State University: Portland, OR, USA, 2018. [Google Scholar]
- Kim, D.; Kim, Y.; Kim, B. Simulation of Eutrophication in a Reservoir by CE-QUAL-W2 for the Evaluation of the Importance of Point Sources and Summer Monsoon. Lake Reserv. Manag. 2019, 35, 64–76. [Google Scholar] [CrossRef]
- Muniz, L.F.; Pereira, J.M.R.; Ximenes Júnior, C.L.; Studar, T.M.d.C. Classificação Climática Para O Estado Do Ceará Climate Classification for the State of Ceará Using Various Characterization Systems. In Proceedings of the XXII Simpósio Brasileiro de Recursos Hídricos, Florianópolis, Brazil, 26 November 2017. [Google Scholar]
- Alazard, M.; Leduc, C.; Travi, Y.; Boulet, G.; Ben Salem, A. Estimating Evaporation in Semi-Arid Areas Facing Data Scarcity: Example of the El Haouareb Dam (Merguellil Catchment, Central Tunisia). J. Hydrol. Reg. Stud. 2015, 3, 265–284. [Google Scholar] [CrossRef]
- Lima Neto, I.E.; Medeiros, P.H.A.; Costa, A.C.; Wiegand, M.C.; Barros, A.R.M.; Barros, M.U.G. Assessment of Phosphorus Loading Dynamics in a Tropical Reservoir with High Seasonal Water Level Changes. Sci. Total Environ. 2022, 815, 152875. [Google Scholar] [CrossRef]
- Cole, T.; Buchak, E. A Two-Dimensional, Laterally Averaged, Hydro-dynamic and Water Quality Model, Version 2.0; U.S. Army Engineer Waterways Experiment Station: Vicksburg, MS, USA, 1995. [Google Scholar]
- Spigel, R.H.; Imberger, J. The Classification of Mixed-Layer Dynamics in Lakes of Small to Medium Size. J. Phys. Oceanogr. 1980, 10, 1104–1121. [Google Scholar] [CrossRef]
- França, J.M.B.; Lopes, I.K.C.; Souza, A.C.; Paulino, W.D.; Monteiro, C.M.G.; Avelino, F.F.; Capelo Neto, J. Estudo das condições de estratificação e da qualidade da água do reservatório Gavião (Ceará—Brasil). Revista DAE 2021, 69, 119–132. [Google Scholar] [CrossRef]
- Anis, A.; Singhal, G. Mixing in the Surface Boundary Layer of a Tropical Freshwater Reservoir. J. Mar. Syst. 2006, 63, 225–243. [Google Scholar] [CrossRef]
- García, P.R.; Nandini, S.; Sarma, S.S.S.; Valderrama, E.R.; Cuesta, I.; Hurtado, M.D. Seasonal Variations of Zooplankton Abundance in the Freshwater Reservoir Valle de Bravo (Mexico). Hydrobiologia 2002, 467, 99–108. [Google Scholar] [CrossRef]
- Moriasi, D.N.; Gitau, M.W.; Pai, N.; Daggupati, P. Hydrologic and Water Quality Models: Performance Measures and Evaluation Criteria. Trans. ASABE 2015, 58, 1763–1785. [Google Scholar] [CrossRef]
- Santos, J.A.; Marins, R.V.; Aguiar, J.E.; Chalar, G.; Silva, F.A.T.F.; Lacerda, L.D. Hydrochemistry and Trophic State Change in a Large Reservoir in the Brazilian Northeast Region under Intense Drought Conditions. J. Limnol. 2017, 76, 41–51. [Google Scholar] [CrossRef][Green Version]
- Rocha, M.d.J.D.; Lima Neto, I.E. Modeling Flow-Related Phosphorus Inputs to Tropical Semiarid Reservoirs. J. Environ. Manag. 2021, 295, 113123. [Google Scholar] [CrossRef] [PubMed]
- Rocha, M.d.J.D.; Lima Neto, I.E. Phosphorus mass balance and input load estimation from the wet and dry periods in tropical semiarid reservoirs. Environ. Sci. Pollut. Res. 2021, 29, 10027–10046. [Google Scholar] [CrossRef]
- Rocha, M.d.J.D.; Lima Neto, I.E. Internal phosphorus loading and its driving factors in the dry period of Brazilian semiarid reservoirs. J. Environ. Manag. 2022, 312, 114983. [Google Scholar] [CrossRef]
- Carneiro, B.L.D.S.; Rocha, M.d.J.D.; Barros, M.U.G.; Paulino, W.D.; Lima Neto, I.E. Predicting anoxia in the wet and dry periods of tropical semiarid reservoirs. J. Environ. Manag. 2022, 326, 116720. [Google Scholar] [CrossRef]







| Calibration | Validation | ||
|---|---|---|---|
| Day | MAE (°C) | Day | MAE (°C) |
| 12/8/2009 6:00 | 0.031 | 3/2/2010 6:00 | 0.122 |
| 12/8/2009 12:00 | 0.151 | 3/2/2010 9:00 | 0.173 |
| 12/8/2009 18:00 | 0.2 | 3/2/2010 12:00 | 0.235 |
| 12/9/2009 6:00 | 0.069 | 3/2/2010 15:00 | 0.364 |
| 12/9/2009 12:00 | 0.153 | 3/2/2010 18:00 | 0.326 |
| 12/9/2009 18:00 | 0.19 | 3/2/2010 21:00 | 0.34 |
| 1/26/2010 6:00 | 1.335 | 3/3/2010 0:00 | 0.222 |
| 1/26/2010 9:00 | 1.016 | 3/3/2010 3:00 | 0.207 |
| 1/26/2010 12:00 | 1.351 | 4/6/2010 6:00 | 0.4 |
| 1/26/2010 15:00 | 1.637 | 4/6/2010 9:00 | 0.428 |
| 1/26/2010 18:00 | 1.429 | 4/6/2010 12:00 | 0.503 |
| 1/26/2010 21:00 | 1.365 | 4/6/2010 15:00 | 0.486 |
| 1/27/2010 3:00 | 1.364 | 4/6/2010 18:00 | 0.528 |
| 1/27/2010 6:00 | 1.293 | 4/6/2010 21:00 | 0.598 |
| 4/7/2010 0:00 | 0.54 | ||
| 4/7/2010 3:00 | 0.454 | ||
| Mean | 0.828 | Mean | 0.37 |
| Standard deviation | 0.639 | Standard deviation | 0.146 |
Publisher’s Note: MDPI stays neutral with regard to jurisdictional claims in published maps and institutional affiliations. |
© 2022 by the authors. Licensee MDPI, Basel, Switzerland. This article is an open access article distributed under the terms and conditions of the Creative Commons Attribution (CC BY) license (https://creativecommons.org/licenses/by/4.0/).
Share and Cite
Rocha, S.M.G.; da Silva, J.V.B.; Lemos, W.E.D.; de Souza Filho, F.d.A.; Lima Neto, I.E. Two-Dimensional Modelling of the Mixing Patterns in a Tropical Semiarid Reservoir. Sustainability 2022, 14, 16051. https://doi.org/10.3390/su142316051
Rocha SMG, da Silva JVB, Lemos WED, de Souza Filho FdA, Lima Neto IE. Two-Dimensional Modelling of the Mixing Patterns in a Tropical Semiarid Reservoir. Sustainability. 2022; 14(23):16051. https://doi.org/10.3390/su142316051
Chicago/Turabian StyleRocha, Sofia Midauar Gondim, João Victor Barros da Silva, Wictor Edney Dajtenko Lemos, Francisco de Assis de Souza Filho, and Iran Eduardo Lima Neto. 2022. "Two-Dimensional Modelling of the Mixing Patterns in a Tropical Semiarid Reservoir" Sustainability 14, no. 23: 16051. https://doi.org/10.3390/su142316051
APA StyleRocha, S. M. G., da Silva, J. V. B., Lemos, W. E. D., de Souza Filho, F. d. A., & Lima Neto, I. E. (2022). Two-Dimensional Modelling of the Mixing Patterns in a Tropical Semiarid Reservoir. Sustainability, 14(23), 16051. https://doi.org/10.3390/su142316051

