Study on Evolutionary Game of Rural E-Commerce Entrepreneurship Ecosystem with Governmental Participation
Abstract
1. Introduction
- (1)
- Is there a stable strategy in the evolutionary game among the three players, namely e-commerce platform, entrepreneurs and the government?
- (2)
- What is the relationship between the equilibrium convergence of the three players, namely e-commerce platform, entrepreneurs and the government, and the initial intention of their respective groups in the evolutionary process? How does the initial intention affect policy stability?
- (3)
- Can the sustainable development of the rural e-commerce entrepreneurship ecosystem be achieved by adjusting the government’s subsidies and penalties on e-commerce platforms and entrepreneurs?
2. Literature Review
2.1. Study on Entrepreneurship Ecosystem
2.2. Study on Rural E-Commerce Entrepreneurship
2.3. Study on Evolutionary Game
3. Model Hypothesis and Construction
3.1. Model Hypothesis
3.2. Game Payoff Matrix and Replication Dynamic Equation
4. Strategy Stability Analysis of Each Game Player
4.1. Solution of Equilibrium Point
4.2. Stability Analysis
5. Simulation of the Evolution of Tripartite Behavioral Strategies
5.1. Parameter Settings
5.2. Simulation Analysis
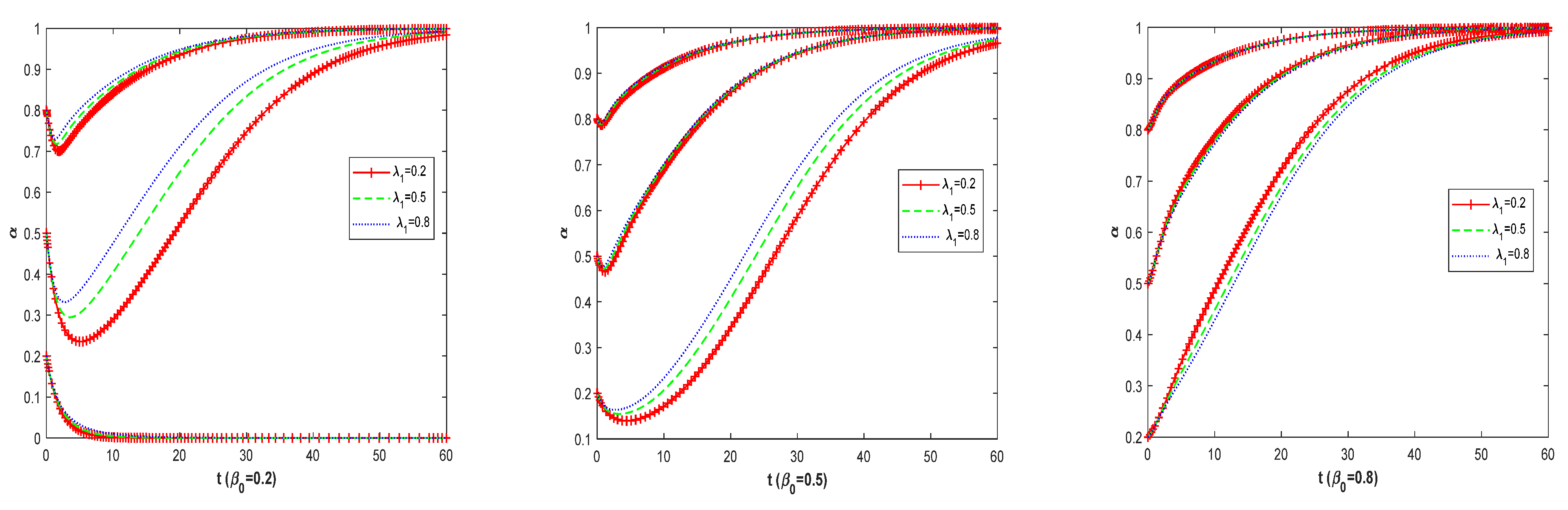
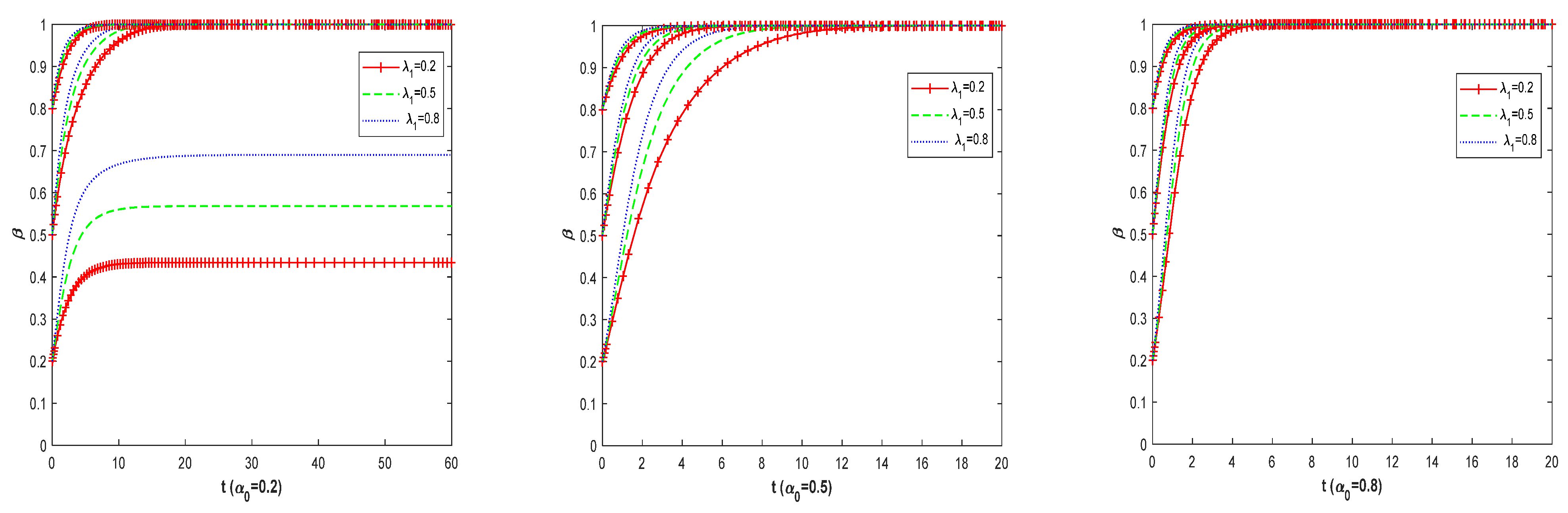
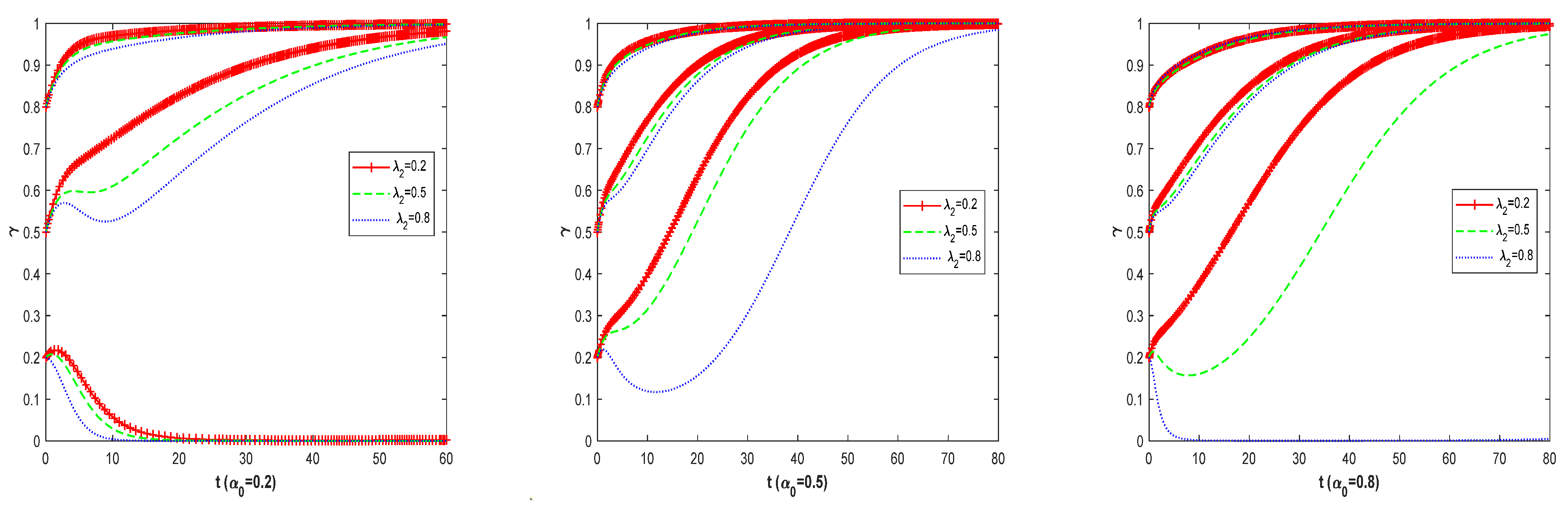
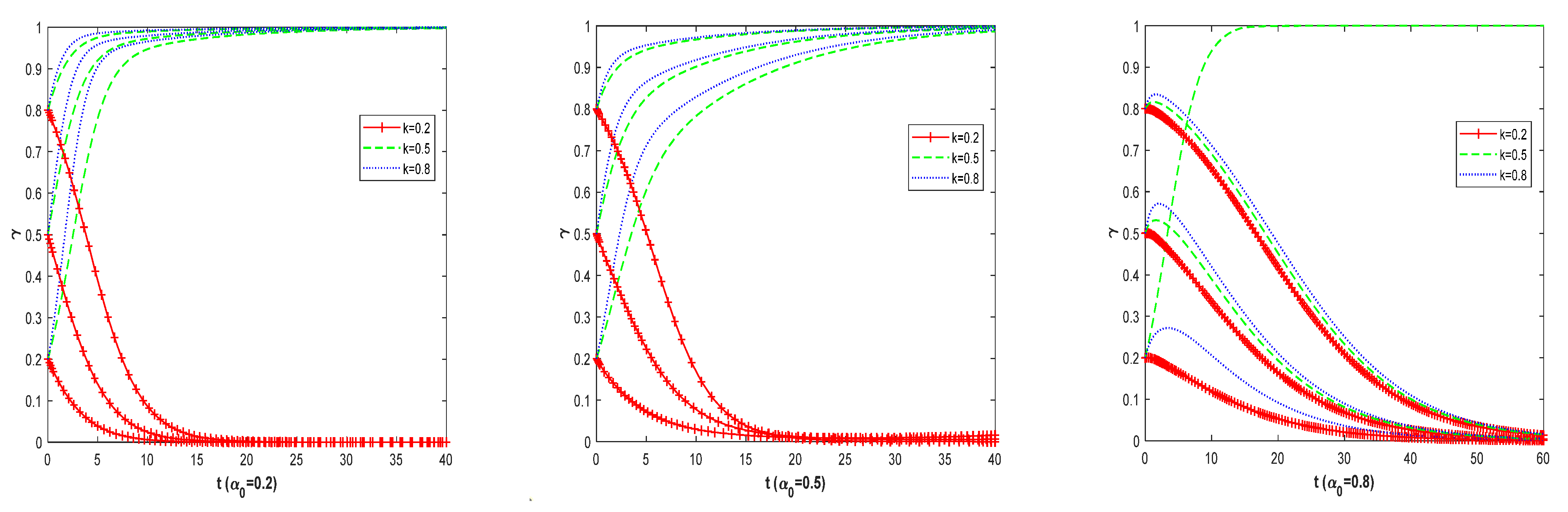
5.2.1. The Effect of the Initial Intentions of the Three Players and G’s Subsidy Intensity for EIs on the Evolution of Behavioral Strategy of Each Player
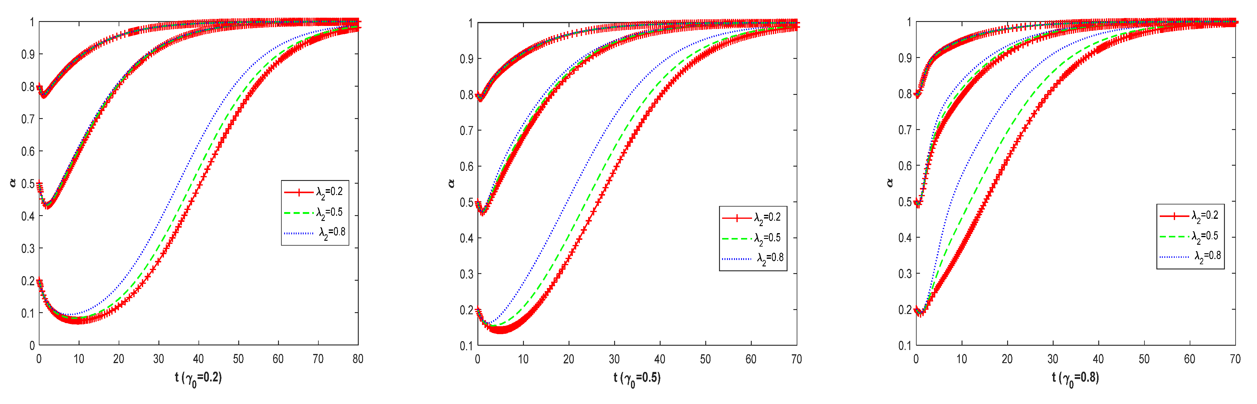
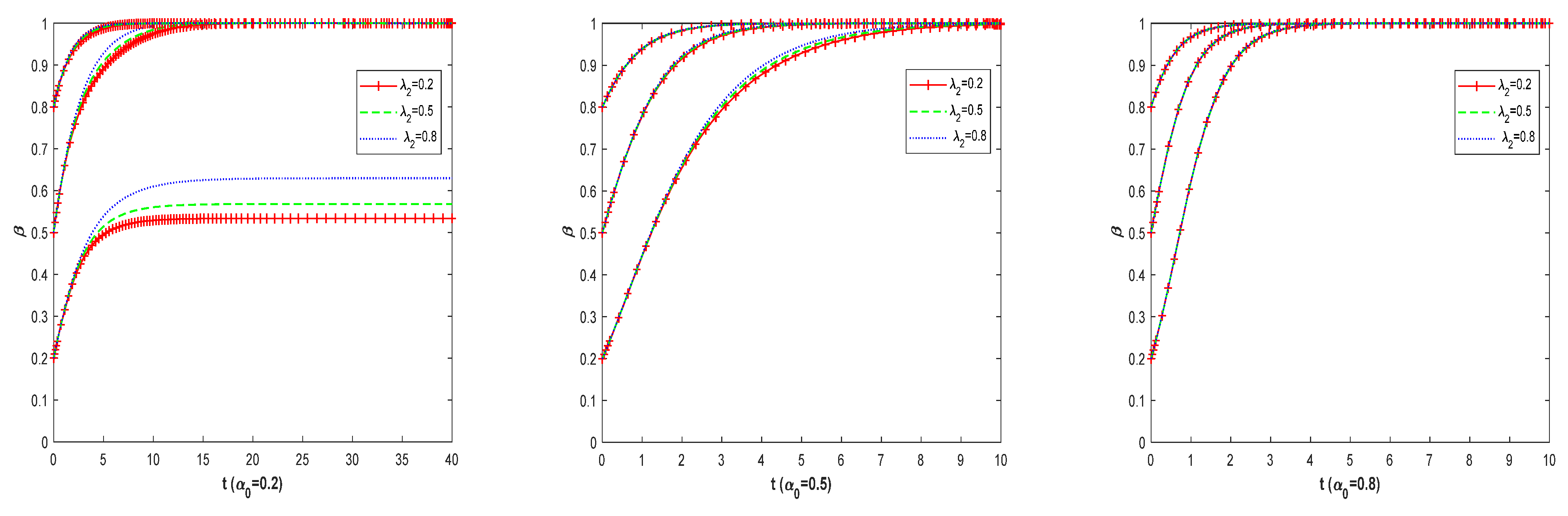
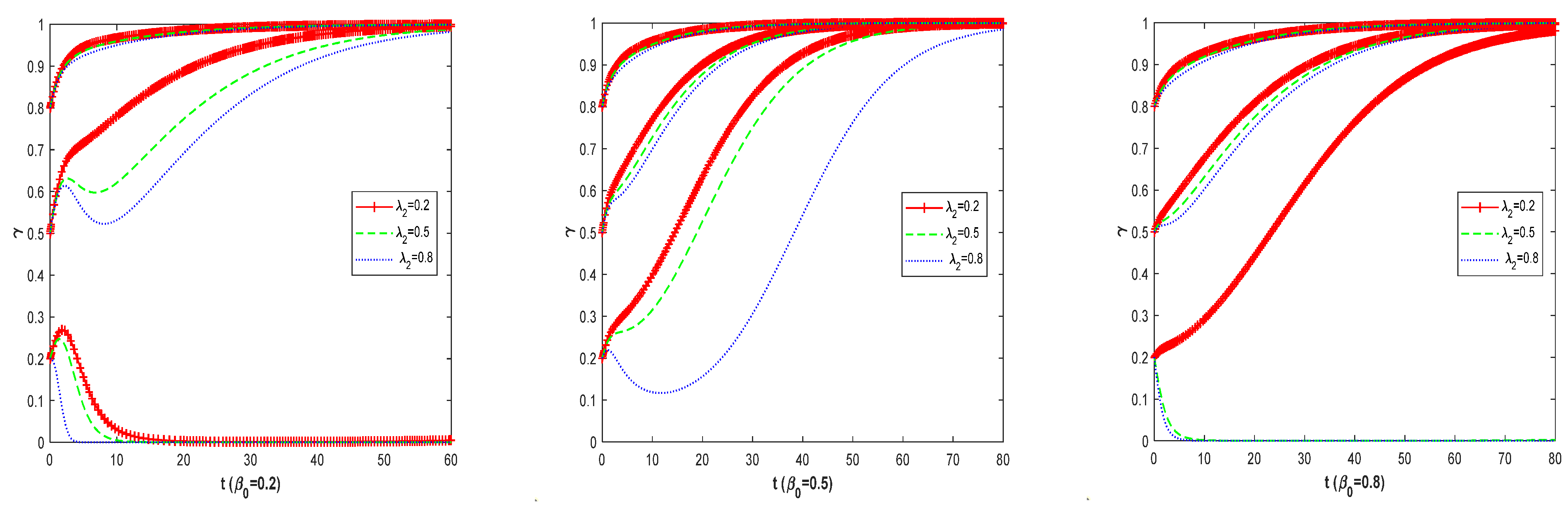
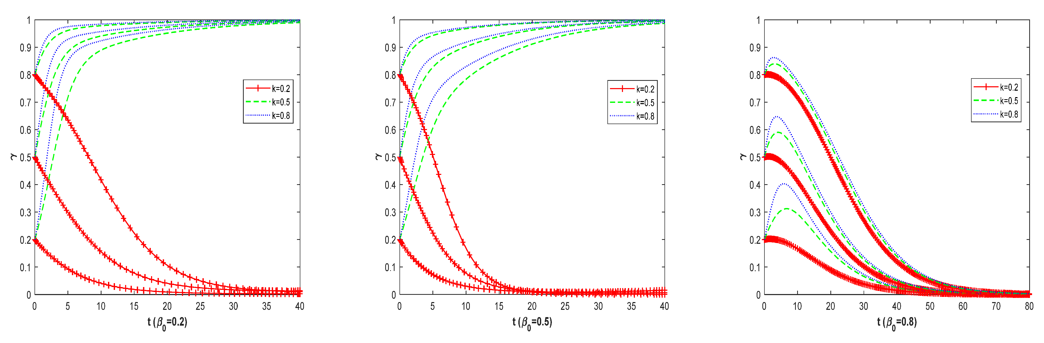
5.2.2. The Effect of the Initial Intentions of the Three Players and the G’s Subsidy Intensity for EPs on the Evolution of Behavioral Strategy of Each Player
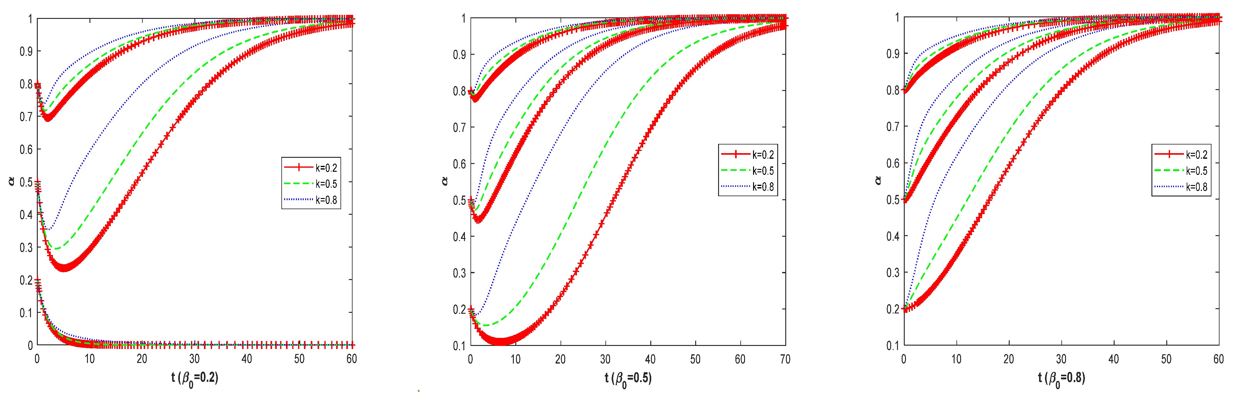
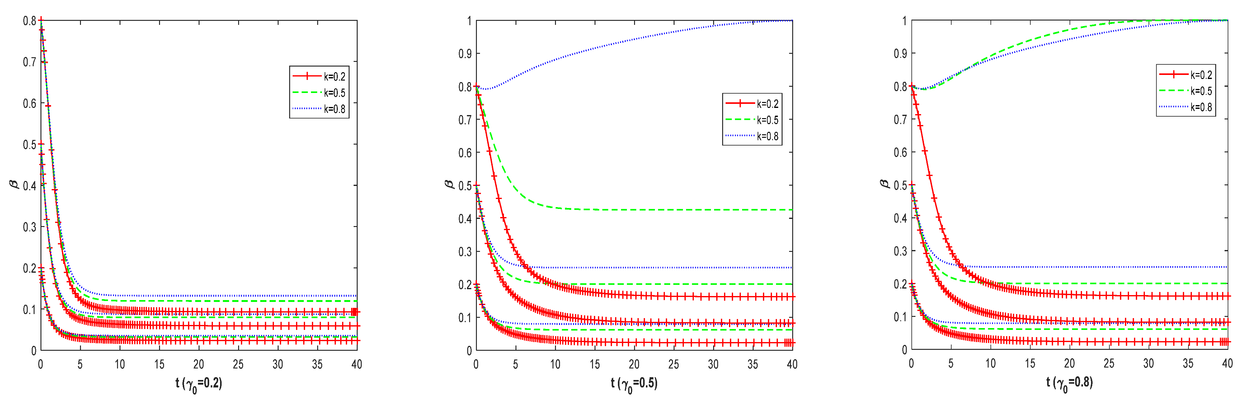
5.2.3. The Effect of the Initial Intentions of the Three Players and Different Punishment Intensities on the Evolution of Behavioral Strategy of Each Player
6. Conclusions and Implications
6.1. Conclusions
- (1)
- The means of government subsidies have a significant influence on the direction and speed of the system’s evolution. Compared with the G’s direct subsidy to the EIs, the G’s subsidy to the EPs is more conducive to the evolution of the EPs’ active participation and to EIs’ acceptance of the services. The evolution of the game strategy of e-commerce platforms and entrepreneurial subjects is affected by the initial willingness of the participants. When using punishment means to regulate e-commerce behavior, the government needs to use subsidies to improve the initial willingness of e-commerce platforms and entrepreneurs, so as to better play the effect of government punishment means.
- (2)
- In the early stage of the development of the rural e-commerce entrepreneurship ecosystem, the EPs’ performance deviates from the G’s expectations, and the G’s active participation is helpful for the EPs to provide high-quality services to the EIs. When the development of the rural e-commerce entrepreneurship ecosystem tends to mature, the G’s active participation will weaken its impact on the EPs’ and EIs’ behavioral evolution, and even inhibit the EPs from providing high-quality services to the EIs. Thus, the G’s behavioral strategy will evolve toward the passive direction.
- (3)
- The changes in the initial intentions of the three players have a significant impact on the evolution of the behavioral strategy of each player in the rural e-commerce entrepreneurship ecosystem. When the initial performance intention of the EPs and the initial intention of the EIs of accepting the services are at a low level, the G’s participation has a weak impact on the evolution of the EPs’ and EIs’ game strategy. When the initial performance intention of the EPs and the initial intention of the EIs of accepting the services are at a high level, the G’s participation can, at a low level, achieve the expected goal.
6.2. Managerial Implications
- (1)
- The government, in implementing the policy of rural e-commerce entrepreneurship ecosystem, should reward and punish simultaneously. On one hand, it may be necessary to increase the subsidies for e-commerce platforms and provide appropriate subsidies for entrepreneurs. Research shows that compared to the G’s direct subsidy to the EIs, the G’s subsidy to the EPs is more conducive. Therefore, the limited finance should first subsidize the e-commerce platforms (including tax incentives, loan subsidies and awards instead of punishment, etc.), so as to improve the enthusiasm of the e-commerce platforms to provide quality services. Then, through the moderate introduction of start-up subsidies, social security subsidies and rent subsidies, to reduce the risk for the entrepreneurs, their enthusiasm and the success rate of entrepreneurship. On the other hand, it may be reasonable to strengthen the supervision of the e-commerce platforms, and punish the e-commerce platforms that fail to perform their duties (including fines, warning interviews, orders to exit, etc.).
- (2)
- The government should fully play the role of “leader” based on the features of the different stages of the development of rural e-commerce entrepreneurship ecosystems. In the early stage of the development of the rural e-commerce entrepreneurship ecosystem, it is difficult for the system’s development to rely solely on market forces. The government should actively guide e-commerce platforms to provide quality services for entrepreneurs, take subsidy measures to reduce the entrepreneurial cost and capital pressure on entrepreneurs and then promote the development and evolution of the rural e-commerce entrepreneurship ecosystem. When the development of the rural e-commerce entrepreneurship ecosystem enters a mature stage, the government should gradually reduce its direct intervention on the behavior of e-commerce platforms, and instead regulate the performance behavior of e-commerce platforms by improving the access standards of e-commerce platforms, improving the supervision system of the whole chain, and establishing a government comprehensive coordination mechanism.
- (3)
- According to the research, the higher the initial willingness of the e-commerce platforms and entrepreneurs, the more conducive it is to the evolution of the game decision in a positive direction. Therefore, a high-quality entrepreneurial environment to enhance the initial intentions of the EIs and EPs should be created. First, an e-commerce public service center should be established to provide one-stop services such as training and incubation, business consultation and technical guidance for e-commerce platforms and entrepreneurial entities. Second, it may be necessary to further the development of logistics infrastructures in rural areas to create appropriate conditions for the convenient circulation of agricultural products. Third, it may be reasonable to actively cultivate rural e-commerce talents, improve the accuracy of training and incubate multiple types of new e-commerce farmers. Efforts should be made to create a good environment for the development of rural e-commerce to improve the initial willingness of all participants in the development process of the rural e-commerce entrepreneurship ecosystem.
6.3. Study Limitations and Further Directions
Author Contributions
Funding
Institutional Review Board Statement
Informed Consent Statement
Data Availability Statement
Acknowledgments
Conflicts of Interest
References
- Lei, B.; Zhong, Z. Research on the structure and symbiotic relationship of rural e-commerce ecological system. Sci. Technol. Ind. 2017, 17, 1–7. [Google Scholar]
- Mishra, B.; Gyawali, B.R.; Paudel, K.P.; Poudyal, N.C.; Simon, M.F.; Dasgupta, S.; Antonious, G. Adoption of Sustainable Agriculture Practices among Farmers in Kentucky, USA. Environ. Manag. 2018, 62, 1060–1072. [Google Scholar] [CrossRef] [PubMed]
- Mengmeng, D.; Noboru, N. Monitoring of Wheat Growth Status and Mapping of Wheat Yield’s within-Field Spatial Variations Using Color Images Acquired from UAV-camera System. Remote Sens. 2017, 9, 289. [Google Scholar]
- Taghikhah, F.; Voinov, A.; Shukla, N.; Filatova, T. Exploring consumer behavior and policy options in organic food adoption: Insights from the Australian wine sector. Environ. Sci. Policy 2020, 109, 116–124. [Google Scholar] [CrossRef]
- FAO; Zhejiang University. Digital Agriculture Report: Rural E-Commerce Development Experience from China; Digital Agriculture Report; FAO: Rome, Italy, 2021; ISBN 978-92-5-134510-8. [Google Scholar] [CrossRef]
- Munoz, P.; Kimmitt, J. Rural entrepreneurship in place: An integrated framework. Entrep. Region. Dev. 2019, 31, 842–873. [Google Scholar] [CrossRef]
- Acs, Z.J.; Stam, E.; Audretsch, D.B.; O’Connor, A. The lineages of the entrepreneurial ecosystem approach. Small Bus. Econ. 2017, 49, 1–10. [Google Scholar] [CrossRef]
- Cohen, B. Sustainable valley entrepreneurial ecosystems. Bus. Strategy Environ. 2006, 15, 1–14. [Google Scholar] [CrossRef]
- Neumeyer, X.; Santos, S.C. Sustainable business models, venture typologies, and entrepreneurial ecosystems: A social network perspective. J. Clean. Prod. 2018, 172, 4565–4579. [Google Scholar] [CrossRef]
- Nicotra, M.; Romano, M.; Del Giudice, M.; Schillaci, C.E. The causal relation between entrepreneurial ecosystem and productive entrepreneurship: A measurement framework. J. Technol. Transf. 2018, 43, 640–673. [Google Scholar] [CrossRef]
- Stam, E.; Ven, A. Entrepreneurial ecosystem elements. Small Bus. Econ. 2019, 56, 809–832. [Google Scholar] [CrossRef]
- Roundy, P.T. Social entrepreneurship and entrepreneurial ecosystems. Int. J. Soc. Econ. 2017, 44, 1252–1267. [Google Scholar] [CrossRef]
- Thompson, T.A.; Purdy, J.M.; Ventresca, M.J. How entrepreneurial ecosystems take form: Evidence from social impact initiatives in Seattle. Strategy Entrep. J. 2018, 12, 96–116. [Google Scholar] [CrossRef]
- Adams, S.B. From orchards to chips: Silicon Valley’s evolving entrepreneurial ecosystem. Entrep. Reg. Dev. 2020, 33, 15–35. [Google Scholar] [CrossRef]
- Lusch, R.F.; Nambisan, S. Service Innovation: A Service-Dominant Logic Perspective. MIS Quart. 2015, 39, 155–175. [Google Scholar] [CrossRef]
- Elia, G.; Margherita, A.; Passiante, G. Digital entrepreneurship ecosystem: How digital technologies and collective intelligence are reshaping the entrepreneurial process. Technol. Forecast Soc. 2020, 150, 119791. [Google Scholar] [CrossRef]
- Collins, P.K. Building a Local Design and Entrepreneurship Ecosystem. Procedia Technol. 2015, 20, 258–262. [Google Scholar] [CrossRef][Green Version]
- Kroll, F.; Müller, F.; Haase, D.; Fohrer, N. Rural–urban gradient analysis of ecosystem services supply and demand dynamics. Land Use Policy 2012, 29, 521–535. [Google Scholar] [CrossRef]
- Du, W.D.; Pan, S.L.; Zhou, N.; Ouyang, T. From a marketplace of electronics to a digital entrepreneurial ecosystem (DEE): The emergence of a meta-organization in Zhong guan cun, China. Inf. Syst. J. 2018, 28, 1158–1175. [Google Scholar] [CrossRef]
- Cantner, U.; Cunningham, J.A.; Lehmann, E.E.; Menter, M. Entrepreneurial ecosystems: A dynamic lifecycle model. Small Bus. Econ. 2020, 57, 407–423. [Google Scholar] [CrossRef]
- Cunha, M.; Rego, A.; Oliveira, P.; Rosado, P.; Habib, N. Product innovation in resource-poor environments: Three research streams. J. Prod. Innovat. Manag. 2014, 31, 202–210. [Google Scholar] [CrossRef]
- Mei, Y.; Mao, D.; Lu, Y.; Chu, W. Effects and mechanisms of rural E-commerce clusters on households’ entrepreneurship behavior in China. Growth Chang. 2020, 51, 1588–1610. [Google Scholar] [CrossRef]
- Saxena, S. Problems faced by rural entrepreneurs and remedies to solve it. IOSR J. Bus. Manag. 2012, 3, 23–29. [Google Scholar] [CrossRef]
- Los Ríos-Carmenado, D.; Ortuño, M.; Rivera, M. Private–public partnership as a tool to promote entrepreneurship for sustainable development: WWP torrearte experience. Sustainability 2016, 8, 199. [Google Scholar] [CrossRef]
- Huang, L.; Xie, G.; Huang, R.; Li, G.; Cai, W.; Apostolidis, C. Electronic Commerce for Sustainable Rural Development: Exploring the Factors Influencing BoPs’ Entrepreneurial Intention. Sustainability 2021, 13, 10604. [Google Scholar] [CrossRef]
- Mary George, N.; Parida, V.; Lahti, T.; Wincent, J. A systematic Literature Review of Entrepreneurial Opportunity Recognition: Insights on Influencing Factors. Int. Entrep. Manag. J. 2016, 12, 309–350. [Google Scholar] [CrossRef]
- Gao, Y.; Zang, L.; Sun, J. Does Computer Penetration Increase Farmers’ Income? An Empirical Study from China. Telecommun. Policy 2018, 42, 345–360. [Google Scholar] [CrossRef]
- Li, C.; Zhang, F.; Cao, C.; Liu, Y.; Qu, T. Organizational coordination in sustainable humanitarian supply chain: An evolutionary game approach. J. Clean. Prod. 2019, 219, 291–303. [Google Scholar] [CrossRef]
- Dattee, B.; Alexy, O.; Autio, E. Maneuvering in poor visibility: How firms play the ecosystem game when uncertainty is high. Acad. Manag. J. 2018, 61, 466–498. [Google Scholar] [CrossRef]
- Hofbauer, J.; Sigmund, K. Evolutionary Game Dynamics. B. Am. Math. Soc. 2003, 40, 479–519. [Google Scholar] [CrossRef]
- Akaka, M.A.; Vargo, S.L.; Lusch, R.F. The Complexity of Context: A Service Ecosystems Approach for International Marketing. J. Int. Mark. 2013, 21, 1–20. [Google Scholar] [CrossRef]
- Zhuang, W.; Wu, Q.; Jiang, M.; Ichiro, N.; Zhang, T.; Yu, X. Game analysis on epidemic prevention and resuming production: Based on China’s experience with COVID-19. Front. Psychol. 2021, 12, 747465. [Google Scholar] [CrossRef] [PubMed]
- Soundarrajan, P.; Vivek, N. Green finance for sustainable green economic growth in India. Agr. Econ.-Blackwell 2016, 62, 35–44. [Google Scholar] [CrossRef]
- Audretsch, D.B.; Cunningham, J.A.; Kuratko, D.F.; Lehmann, E.E.; Mente, M. Entrepreneurial ecosystems: Economic, technological, and societal impacts. J. Technol. Transf. 2019, 44, 313–325. [Google Scholar] [CrossRef] [PubMed]


















| Symbol | Meaning | Symbol | Meaning |
|---|---|---|---|
| EP active participation cost | G’s punishment intensity for EP’s passive participation | ||
| EP active participation income | EIs’ additional benefits from G’s active participation | ||
| EP retained income for passive participation | EIs’ obtained income for accepting EP services | ||
| EP additional benefits from EIs accepting the services | EIs’ retained income without accepting EP services | ||
| G’s financial subsidy intensity for EIs | G’s input costs for active participation | ||
| G’s financial subsidy intensity for EP | G’s financial subsidy to EIs accepting EP services in passive participation | ||
| G’s financial subsidy to EP in passive participation | G’s punishment for EP’s passive participation in active participation |
| EIs Strategy | EP Strategy | EIs Payoff | EP Payoff | G Payoff |
|---|---|---|---|---|
| Accept () | Active participation () | |||
| Passive participation () | ||||
| Not accept () | Active participation () | |||
| Passive participation () |
| EIs Strategy | EP Strategy | EIs Payoff | EP Payoff | G Payoff |
|---|---|---|---|---|
| Accept () | Active participation () | |||
| Passive participation () | ||||
| Not accept () | Active participation () | |||
| Passive participation () |
Publisher’s Note: MDPI stays neutral with regard to jurisdictional claims in published maps and institutional affiliations. |
© 2022 by the authors. Licensee MDPI, Basel, Switzerland. This article is an open access article distributed under the terms and conditions of the Creative Commons Attribution (CC BY) license (https://creativecommons.org/licenses/by/4.0/).
Share and Cite
Wang, Y.; Xu, J.; Zhang, G.; Wang, X. Study on Evolutionary Game of Rural E-Commerce Entrepreneurship Ecosystem with Governmental Participation. Sustainability 2022, 14, 16029. https://doi.org/10.3390/su142316029
Wang Y, Xu J, Zhang G, Wang X. Study on Evolutionary Game of Rural E-Commerce Entrepreneurship Ecosystem with Governmental Participation. Sustainability. 2022; 14(23):16029. https://doi.org/10.3390/su142316029
Chicago/Turabian StyleWang, Yanling, Junqian Xu, Guangsheng Zhang, and Xiao Wang. 2022. "Study on Evolutionary Game of Rural E-Commerce Entrepreneurship Ecosystem with Governmental Participation" Sustainability 14, no. 23: 16029. https://doi.org/10.3390/su142316029
APA StyleWang, Y., Xu, J., Zhang, G., & Wang, X. (2022). Study on Evolutionary Game of Rural E-Commerce Entrepreneurship Ecosystem with Governmental Participation. Sustainability, 14(23), 16029. https://doi.org/10.3390/su142316029

