Can the Carbon Emission Trading Scheme Influence Industrial Green Production in China?
Abstract
:1. Introduction
2. Related Literature and Background
2.1. GTFP
2.2. ETS
3. Data
3.1. Constructing GTFP Index
3.2. Choosing Control Variables
3.3. Constructing TFP Index
3.4. Analyzing ETS Policy
4. Methods
4.1. Measurement of Green Total Factor Productivity
4.1.1. Models with Undesirable Outputs
SBM Model
EBM Model
4.1.2. GML Index
4.1.3. Calculation of GTFP based on the SBM-GML/EBM-GML Model
4.2. Measurement of Total Factor Productivity
4.3. DID Method
5. Main Results
5.1. Results of GTFP
5.2. Relationship between ETS and GTFP
5.3. Impact Mechanism
5.4. Relationship between ETS and TFP
5.5. Robustness Checks
5.5.1. Parallel Trend Test
5.5.2. Placebo Test: Randomly Selecting the Treatment Group
5.5.3. PSM-DID
5.6. Heterogeneous Analysis
6. Conclusions
Author Contributions
Funding
Institutional Review Board Statement
Informed Consent Statement
Data Availability Statement
Conflicts of Interest
References
- National Bureau of Statistics of China. Available online: http://www.stats.gov.cn/tjsj/zbjs/201912/t20191202_1713048.html (accessed on 12 December 2019).
- National Bureau of Statistics of China. Available online: https://data.stats.gov.cn/english/easyquery.htm?cn=C01 (accessed on 13 December 2021).
- Jiang, J.; Ye, B.; Xie, D.; Tang, J. Provincial-level carbon emission drivers and emission reduction strategies in China: Combining multi-layer lmdi decomposition with hierarchical clustering. J. Clean. Prod. 2017, 169, 178–190. [Google Scholar] [CrossRef]
- Naegele, H.; Zaklan, A. Does the eu ets cause carbon leakage in European manufacturing. J. Environ. Econ. Manag. 2019, 93, 125–147. [Google Scholar] [CrossRef]
- Fang, K.; Zhang, Q.; Song, J.; Yu, C.; Zhang, H.; Liu, H. How can national ETS affect carbon emissions and abatement costs? Evidence from the dual goals proposed by China’s NDCs. Resour. Conserv. Recycl. 2021, 171, 105638. [Google Scholar] [CrossRef]
- Wagner, M. On the relationship between environmental management, environmental innovation and patenting: Evidence from German manufacturing firms. Res. Policy 2007, 36, 1587–1602. [Google Scholar] [CrossRef]
- Lanoie, P.; Laurent-Lucchetti, J.; Johnstone, N.; Ambec, S. Environmental policy, innovation and performance: New insights on the porter hypothesis. J. Econ. Manag. Strategy 2011, 20, 803–842. [Google Scholar] [CrossRef]
- Wang, Z.; Yang, Y.; Wei, Y. Study on Relationship between Environmental Regulation and Green Total Factor Productivity from the Perspective of FDI—Evidence from China. Sustainability 2022, 14, 11116. [Google Scholar] [CrossRef]
- Qiu, S.; Wang, Z.; Geng, S. How do environmental regulation and foreign investment behavior affect green productivity growth in the industrial sector? An empirical test based on Chinese provincial panel data. J. Environ. Manag. 2021, 287, 112282. [Google Scholar] [CrossRef] [PubMed]
- Tian, G. How Does Outward Foreign Direct Investment Affect Green Total Factor Productivity? Evidence from Increment and Quality Improvement. Sustainability 2022, 14, 11833. [Google Scholar] [CrossRef]
- Zhang, D.; Vigne, S.A. How does innovation efficiency contribute to green productivity? A financial constraint perspective. J. Clean. Prod. 2021, 280, 124000. [Google Scholar] [CrossRef]
- Liu, G.T.; Wang, B.; Chen, Z.X.; Zhang, N. The drivers of China’s regional green productivity, 1999–2013. Resour. Conserv. Recycl. 2020, 153, 104561. [Google Scholar] [CrossRef]
- Wang, H.; Cui, H.; Zhao, Q. Effect of Green Technology Innovation on Green Total Factor Productivity in China: Evidence from Spatial Durbin Model Analysis. J. Clean. Prod. 2020, 288, 125624. [Google Scholar] [CrossRef]
- Hu, Y.; Ren, S.; Wang, Y.; Wang, Y.; Chen, X. Can carbon emission trading scheme achieve energy conservation and emission reduction? Evidence from the industrial sector in China. Energy Econ. 2020, 85, 104590. [Google Scholar] [CrossRef]
- Pietzcker, R.; Osorio, S.; Rodrigues, R. Tightening EU ETS targets in line with the European Green Deal: Impacts on the decarbonization of the EU power sector. Appl. Energy 2021, 293, 116914. [Google Scholar] [CrossRef]
- Schaefer, S. Decoupling the EU ETS from subsidized renewables and other demand side effects: Lessons from the impact of the EU ETS on CO2 emissions in the German electricity sector. Energy Policy 2019, 133, 110858.1–110858.12. [Google Scholar] [CrossRef]
- Zhang, Y.; Zhang, J. Estimating the Impacts of Emissions Trading Scheme on Low-Carbon Development. J. Clean. Prod. 2019, 238, 117913. [Google Scholar] [CrossRef]
- Lin, B.; Jia, Z. Is emission trading scheme an opportunity for renewable energy in China? A perspective of ETS revenue redistributions. Appl. Energy 2020, 263, 114605. [Google Scholar] [CrossRef]
- Nong, D.; Nguyen, T.H.; Wang, C.; Van Khuc, Q. The environmental and economic impact of the emissions trading scheme (ETS) in Vietnam. Energy Policy 2020, 140, 111362. [Google Scholar] [CrossRef]
- Solow, R.M. Technical Change and the Aggregate Production Function. Rev. Econ. Stat. 1957, 39, 312–320. [Google Scholar] [CrossRef]
- Caves, D.W.; Christensen, L.R.; Diewert, W.E. The Economic Theory of Index Numbers and the Measurement of Input, Output and Productivity. Econometrica 1982, 50, 1393–1414. [Google Scholar] [CrossRef]
- Färe, R.; Grosskopf, S.; Norris, M.; Zhang, Z. Productivity Growth, Technical Progress and Efficiency Change in Industrialized Countries. Am. Econ. Rev. 1994, 84, 66–83. [Google Scholar]
- Fare, R.; Färe, R.; Fèare, R.; Grosskopf, S.; Lovell, C.K. Production Frontiers; Cambridge University Press: Cambridge, UK, 1994. [Google Scholar]
- Mohtadi, H. Environment, Growth and Optimal Policy Design. J. Public Econ. 1996, 63, 119–140. [Google Scholar] [CrossRef]
- Ramanathan, R. An Analysis of Energy Consumption and Carbon Dioxide Emissions in Countries of the Middle East and North Africa. Energy 2005, 30, 2831–2842. [Google Scholar] [CrossRef]
- Chambers, R.G.; Chung, Y.; Färe, R. Benefit and Distance Function. J. Econ. Theory 1996, 70, 407–419. [Google Scholar] [CrossRef]
- Chung, Y.; Rolf, F.; Shawna, G. Productivity and Undesirable Outputs: A Directional Distance Function Approach. J. Environ. Manag. 1997, 51, 229–240. [Google Scholar] [CrossRef]
- Fare, R.; Grosskopf, S.; Pasurka, C.A. Accounting for Air Pollution Emissions in Measures of State Manufacturing Productivity Growth. J. Reg. Sci. 2001, 41, 381–409. [Google Scholar] [CrossRef]
- Oh, D.H. A global Malmquist-Luenberger productivity index. J. Product. Anal. 2010, 34, 183–197. [Google Scholar] [CrossRef]
- Tone, K. A slacks-based measure of super-efficiency in data envelopment analysis. Eur. J. Oper. Res. 2002, 143, 32–41. [Google Scholar] [CrossRef]
- Li, Y.; Chen, Y. Development of an SBM-ML model for the measurement of green total factor productivity: The case of pearl river delta urban agglomeration. Renew. Sustain. Energy Rev. 2021, 145, 111131. [Google Scholar] [CrossRef]
- Khan, S.U.; Cui, Y.; Khan, A.A.; Ali, M.A.S.; Khan, A.; Xia, X.; Liu, G.; Zhao, M. Tracking sustainable development efficiency with human-environmental system relationship: An application of DPSIR and super efficiency SBM model. Sci. Total Environ. 2021, 783, 146959. [Google Scholar] [CrossRef] [PubMed]
- Tone, K.; Tsutsui, M. An epsilon-based measure of efficiency in DEA-A third pole of technical efficiency. Eur. J. Oper. Res. 2010, 207, 1554–1563. [Google Scholar] [CrossRef]
- Liu, Y.; Feng, C. What drives the fluctuations of “green” productivity in China’s agricultural sector? A weighted Russell directional distance approach. Resour. Conserv. Recycl. 2019, 147, 201–213. [Google Scholar] [CrossRef]
- Jiang, Y.; Wang, H.; Liu, Z. The impact of the free trade zone on green total factor productivity—Evidence from the shanghai pilot free trade zone. Energy Policy 2021, 148, 112000. [Google Scholar] [CrossRef]
- Fang, Y.; Cao, H. Environmental Decentralization, Heterogeneous Environmental Regulation, and Green Total Factor Productivity—Evidence from China. Sustainability 2022, 14, 11245. [Google Scholar] [CrossRef]
- Zhang, B.B.; Yu, L.; Sun, C.W. How does urban environmental legislation guide the green transition of enterprises? Based on the perspective of enterprises’ green total factor productivity. Energy Econ. 2022, 110, 106032. [Google Scholar] [CrossRef]
- Zhuo, C.F.; Xie, Y.P.; Mao, Y.H.; Chen, P.Q.; Li, Y.Q. Can cross-regional environmental protection promote urban green development: Zero-sum game or win-win choice? Energy Econ. 2021, 106, 105803. [Google Scholar] [CrossRef]
- Lee, C.C.; Lee, C.C. How does green finance affect green total factor productivity? Evidence from China. Energy Econ. 2022, 107, 105863. [Google Scholar] [CrossRef]
- Mao, K.; Failler, P. Does Stronger Protection of Intellectual Property Improve Sustainable Development? Evidence from City Data in China. Sustainability 2022, 14, 14369. [Google Scholar] [CrossRef]
- Qian, W.; Wang, Y. How Do Rising Labor Costs Affect Green Total Factor Productivity? Based on the Industrial Intelligence Perspective. Sustainability 2022, 14, 13653. [Google Scholar] [CrossRef]
- Wang, H.; Chen, Z.; Wu, X.; Nie, X. Can a Carbon Trading System Promote the Transformation of a Low-Carbon Economy Under the Framework of the Porter Hypothesis?—Empirical Analysis Based on the PSM-DID Method. Energy Policy 2019, 129, 930–938. [Google Scholar] [CrossRef]
- Hong, Q.D.; Cui, L.H.; Hong, P.H. The impact of carbon emissions trading on energy efficiency: Evidence from quasi-experiment in China’s carbon emissions trading pilot. Energy Econ. 2022, 110, 106025. [Google Scholar] [CrossRef]
- Jiang, J.; Xie, D.; Ye, B.; Shen, B.; Chen, Z. Research on China’s cap-and-trade carbon emission trading scheme: Overview and outlook. Appl. Energy 2016, 178, 902–917. [Google Scholar] [CrossRef]
- Weng, Q.; Xu, H. A Review of China’s Carbon Trading Market. Renew. Sustain. Energy Rev. 2018, 91, 613–619. [Google Scholar] [CrossRef]
- Munnings, C.; Morgenstern, R.D.; Wang, Z.; Liu, X. Assessing the Design of Three Carbon Trading Pilot Programs in China. Energy Policy 2016, 96, 688–699. [Google Scholar] [CrossRef]
- Chen, H.; Guo, W.; Feng, X.; Wei, W.D.; Liu, H.B.; Feng, Y.; Gong, W.Y. The impact of low-carbon city pilot policy on the total factor productivity of listed enterprises in China. Resour. Conserv. Recycl. 2021, 169, 105457. [Google Scholar] [CrossRef]
- Fang, C.; Cheng, J.; Zhu, Y.; Chen, J.; Peng, X. Green Total Factor Productivity of Extractive Industries in China: An explanation from Technology Heterogeneity. Resour. Policy 2020, 70, 101933. [Google Scholar] [CrossRef]
- Li, C.; Qi, Y.; Liu, S.; Wang, X. Do carbon ETS pilots improve cities’ green total factor productivity? Evidence from a quasi-natural experiment in China. Energy Econ. 2022, 108, 105931. [Google Scholar] [CrossRef]
- Zhang, S.; Wang, Y.; Hao, Y.; Liu, Z. Shooting two hawks with one arrow: Could China’s emission trading scheme promote green development efficiency and regional carbon equality? Energy Econ. 2021, 101, 105412. [Google Scholar] [CrossRef]
- Gao, Y.; Li, M.; Xue, J.; Liu, Y. Evaluation of effectiveness of China’s carbon emissions trading scheme in carbon mitigation. Energy Econ. 2020, 90, 104872. [Google Scholar] [CrossRef]
- Beck, T.; Levine, R.; Levkov, A. Big Bad Banks? The Winners and Losers from Bank Deregulation in the United States. J. Financ. 2010, 65, 1637–1667. [Google Scholar] [CrossRef]
- Gu, Y.; Jiang, C.; Zhang, J.; Zou, B. Subways and Road Congestion. Am. Econ. J. Appl. Econ. 2021, 13, 83–115. [Google Scholar] [CrossRef]
- Lu, Y.; Tao, Z.; Zhu, L. Identifying FDI spillovers. J. Int. Econ. 2017, 107, 75–90. [Google Scholar] [CrossRef]









| Variables | Explanation | |
|---|---|---|
| Input | Human resource | Number of industrial laborers in different cities |
| Capital | Industrial fixed-assets investment in different cities | |
| Energy consumption | Industrial electricity consumption in different cities | |
| Output | Output value | Total industrial output value added in different cities |
| Undesirable value | emission | emission in different cities |
| emission | emission in different cities | |
| Smoke and dust emission | Industrial smoke and dust emission in different cities | |
| Wastewater | Industrial wastewater discharge in different cities | |
| (a) | |||||
|---|---|---|---|---|---|
| Unit | Mean | SD | Max | Min | |
| Number of industrial laborers | 10,000 persons | 172,199.1 | 248,079.2 | 2,609,248 | 3100 |
| Industrial fixed assets investment | RMB 10,000 | 10,222,462.7 | 13,825,672.5 | 18,920,5245 | 165,672 |
| Industrial electricity consumption | 10,000 KWh | 55,6429.5 | 905,669.4 | 1,202,035.1 | 1016 |
| Industrial added value | RMB 10,000 | 2,019,621.8 | 3,677,486.1 | 52,064,947 | 575 |
| Industrial output value | RMB 10,000 | 24,397,937.4 | 39,033,506.4 | 324,451,453 | 0.5 |
| emission | Million tons | 25.1 | 23.0 | 230.7 | 1.5 |
| emission | 1 ton | 62,461.84 | 83,163.14 | 152,6334 | 2 |
| Industrial smoke and dust emission | 1 ton | 32,506.6 | 117,934.8 | 5,168,812 | 34 |
| Industrial wastewater | 10,000 tons | 7256.9 | 9581.1 | 110,763.0 | 7 |
| Foreign direct investment | RMB 10,000 | 491,174.1 | 1,346,718.3 | 21,934,572.6 | 41.4 |
| Number of patents | 1 unit | 391.33 | 1764.30 | 45,970 | 0 |
| Urban population density | 430.7 | 326.4 | 2661.5 | 4.7 | |
| Per capita GDP | RMB/Person | 35,192.6 | 41,708.5 | 517,012.8 | 763.4 |
| (b) | |||||
| Pilot Areas | Non Pilot Areas | ||||
| Mean | SD | Mean | SD | ||
| Industrial employment | 367,764.5 | 502,768.7 | 143,106.8 | 162,971.1 | |
| Industrial fixed assets investment | 14,790,724 | 23,962,917 | 9,542,886.7 | 11,427,903.4 | |
| Industrial electricity consumption | 1,195,044.9 | 1,709,595.3 | 461,428.8 | 661,647.6 | |
| Industrial added value | 4,240,094.4 | 7,154,628.8 | 1,689,303.5 | 2,660,507.9 | |
| Industrial output value | 46,649,618.6 | 69,147,677.6 | 21,087,770 | 30,892,898.8 | |
| emission | 32.8 | 40.4 | 23.9 | 18.9 | |
| emission | 60,204.1 | 111,192.7 | 62,797.7 | 78,133.4 | |
| Industrial smoke and dust emission | 25,437.3 | 32,564.5 | 33,558.2 | 125,743.3 | |
| Industrial wastewater | 6268.1 | 8215.4 | 7404.0 | 9759.4 | |
| Foreign direct investment | 1,225,586.8 | 2,599,022.7 | 381,922.6 | 993,183.6 | |
| Number of patents | 1333.1 | 4303.8 | 251.2 | 817.8 | |
| Urban population density | 661.9 | 523.2 | 396.3 | 269.3 | |
| Per capita GDP | 58,382.8 | 80,968.4 | 31,742.8 | 30,516.0 | |
| Based on SBM Model | Based on EBM Model | |||
|---|---|---|---|---|
| Pilot Areas | Non-Pilot Areas | Pilot Areas | Non-Pilot Areas | |
| 2004 | 0.597839 | 0.67593 | 0.592816 | 0.650692 |
| 2005 | 1.361861 | 1.296809 | 1.353838 | 1.293537 |
| 2006 | 1.583451 | 1.689337 | 1.588087 | 1.56199 |
| 2007 | 1.284531 | 1.480194 | 1.268079 | 1.450308 |
| 2008 | 1.30414 | 1.0905 | 1.199184 | 1.07361 |
| 2009 | 1.878951 | 1.553328 | 1.918678 | 1.65774 |
| 2010 | 1.6034 | 1.985066 | 1.795808 | 2.021819 |
| 2011 | 1.092328 | 1.131729 | 1.108117 | 1.152424 |
| 2012 | 1.112318 | 1.049001 | 1.088625 | 1.056129 |
| 2013 | 2.021067 | 1.272477 | 1.833597 | 1.329562 |
| 2014 | 1.314508 | 1.580834 | 1.320042 | 1.587612 |
| 2015 | 1.576677 | 1.23058 | 1.47939 | 1.125624 |
| 2016 | 1.250382 | 1.422359 | 1.168852 | 1.431732 |
| 2017 | 0.929296 | 1.732859 | 0.933664 | 1.728271 |
| Variable | (1) | (2) | (3) | (4) | (5) | |
|---|---|---|---|---|---|---|
| 0.3647 *** (0.0465) | 0.3538 *** (0.0468) | 0.3532 *** (0.0468) | 0.3505 *** (0.0468) | 0.3484 *** (0.0469) | ||
| Annual fixed effect | Y | Y | Y | Y | Y | |
| City fixed effect | Y | Y | Y | Y | Y | |
| Control variables | Log(FDI) | N | −0.0380 ** (0.0179) | −0.0358 ** (0.0179) | −0.0351 * (0.0179) | −0.0362 ** (0.0180) |
| Log(P) | N | N | 0.0697 ** (0.0338) | 0.0701 ** (0.0338) | 0.0695 ** (0.0338) | |
| Log(PD) | N | N | N | 0.2252 (0.1380) | 0.2184 (0.1383) | |
| Log(PGDP) | N | N | N | N | 0.0572 (0.0700) | |
| Prob > F | 0.0000 | 0.0000 | 0.0000 | 0.0000 | 0.0000 | |
| Adj R-squared | 0.5040 | 0.5044 | 0.5048 | 0.5051 | 0.5050 | |
| Variable | (1) | (2) | (3) | (4) | (5) | |
|---|---|---|---|---|---|---|
| 0.1911 *** (0.0227) | 0.1863 *** (0.0228) | 0.1858 *** (0.0228) | 0.1837 *** (0.0228) | 0.1827 *** (0.0228) | ||
| Annual fixed effect | Y | Y | Y | Y | Y | |
| City fixed effect | Y | Y | Y | Y | Y | |
| Control variables | Log(FDI) | N | −0.0169 * (0.0087) | −0.0155 * (0.0087) | −0.0149 * (0.0087) | −0.0155 * (0.0088) |
| Log(P) | N | N | 0.0449 *** (0.0165) | 0.0452 *** (0.0165) | 0.0449 *** (0.0165) | |
| Log(PD) | N | N | N | 0.1788 *** (0.0672) | 0.1755 *** (0.0674) | |
| Log(PGDP) | N | N | N | N | 0.0278 (0.0341) | |
| Prob > F | 0.0000 | 0.0000 | 0.0000 | 0.0000 | 0.0000 | |
| Adj R-squared | 0.6271 | 0.6273 | 0.6280 | 0.6283 | 0.6285 | |
| Variable | SBM-GML | EBM-GML | |
|---|---|---|---|
| 0.2610 *** (0.0474) | 0.1253 *** (0.0230) | ||
| Annual fixed effect | Y | Y | |
| City fixed effect | Y | Y | |
| Control variables | FDI | −0.0000000266 *** (0.00000000925) | −0.0000000126 *** (0.00000000448) |
| P | 0.000014 * (0.00000745) | 0.0000153 *** (0.00000361) | |
| PD | 0.0001434 (0.0001152) | 0.0001232 ** (0.0000558) | |
| PGDP | 0.00000388 *** (0.00000046) | 0.0000019 *** (0.000000223) | |
| Prob > F | 0.0000 | 0.0000 | |
| Adj R-squared | 0.5168 | 0.6407 | |
| (a) | ||||
|---|---|---|---|---|
| Variables | Number of Industrial Laborers | Industrial Fixed Assets Investment | Industrial Electricity Consumption | Industrial Added Value |
| 0.1413 *** (0.0113) | −0.0135 (0.0112) | 0.0208 (0.0189) | 0.0591 *** (0.0226) | |
| Annual fixed effect | Y | Y | Y | Y |
| City fixed effect | Y | Y | Y | Y |
| Log(FDI) | −0.0009 (0.0043) | 0.0483 *** (0.0043) | 0.0122 * (0.0073) | 0.0209 ** (0.0087) |
| Log(P) | 0.1122 *** (0.0081) | −0.0163 ** (0.0081) | 0.0082 (0.0136) | 0.0335 ** (0.0163) |
| Log(PD) | 0.0932 *** (0.0333) | 0.0554 * (0.0331) | −0.0143 (0.0558) | 0.2899 *** (0.0666) |
| Log(PGDP) | 0.0410 ** (0.0169) | 0.2069 *** (0.0168) | −0.0974 *** (0.0282) | 0.4829 *** (0.0337) |
| Prob>F | 0.0000 | 0.0000 | 0.0000 | 0.0000 |
| Adj R-squared | 0.9365 | 0.9561 | 0.9108 | 0.8920 |
| (b) | ||||
| Variables | CO2 Emission | Industrial SO2 Emission | Industrial Smoke and Dust Emission | Industrial Wastewater Discharge |
| −0.0567 (0.0041) | 0.0324 (0.0357) | −0.0090 (0.0353) | −0.0961 *** (0.0299) | |
| Annual fixed effect | Y | Y | Y | Y |
| City fixed effect | Y | Y | Y | Y |
| Log(FDI) | −0.0071 *** (0.0016) | −0.0248 * (0.0137) | −0.0313 ** (0.0136) | −0.0253 ** (0.0115) |
| Log(P) | −0.0028 (0.0029) | −0.0876 *** (0.0256) | −0.0329 (0.0255) | −0.1222 *** (0.0216) |
| Log(PD) | 0.0015 (0.0120) | −0.0869 (0.1053) | 0.0703 (0.1042) | −0.0398 (0.0883) |
| Log(PGDP) | 0.0729 *** (0.0061) | 0.0443 (0.0533) | 0.0699 (0.0528) | 0.0707 (0.0447) |
| Prob>F | 0.0000 | 0.0000 | 0.0000 | 0.0000 |
| Adj R-squared | 0.9870 | 0.5610 | 0.5075 | 0.6265 |
| Variables | TFP | Variables | TFP | ||
|---|---|---|---|---|---|
| −0.0453 (0.0494) | −0.0405 (0.0507) | ||||
| Annual fixed effect | Y | Annual fixed effect | Y | ||
| City fixed effect | Y | City fixed effect | Y | ||
| Control variables | Log(FDI) | −0.0023 (0.0192) | Control variables | FDI | 0.0000000047 (0.00000000998) |
| Log(P) | 0.0411 (0.0361) | P | −0.0000119 (0.00000803) | ||
| Log(PD) | 0.0244 (0.1475) | PD | 0.0001381 (0.0001243) | ||
| Log(PGDP) | 0.0269 (0.0747) | PGDP | 0.000000402 (0.000000497) | ||
| Prob > F | 0.8099 | Prob > F | 0.5454 | ||
| Adj R-squared | 0.2079 | Adj R-squared | 0.2083 | ||
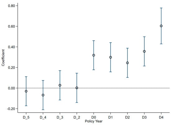
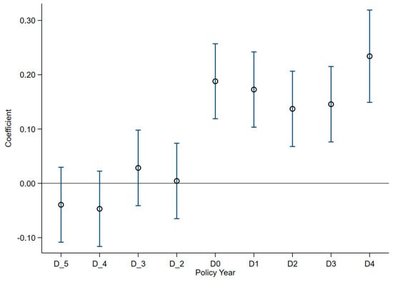
| Variables | GTFP | |
|---|---|---|
| SBM | EBM | |
| D−5 | −0.0306 (0.0861) | −0.0394 (0.0419) |
| D−4 | −0.0680 (0.0864) | −0.0469 (0.0421) |
| D−3 | 0.0273 (0.0867) | 0.0284 (0.0423) |
| D−2 | 0.0025 (0.0866) | 0.0044 (0.0422) |
| D0 | 0.3194 *** (0.0860) | 0.1879 *** (0.0420) |
| D1 | 0.2995 *** (0.0864) | 0.1727 *** (0.0421) |
| D2 | 0.2454 *** (0.0864) | 0.1371 *** (0.0422) |
| D3 | 0.3568 *** (0.0865) | 0.1457 *** (0.0422) |
| D4 | 0.6039 *** (0.1060) | 0.2341 *** (0.0517) |
| Annual fixed effect | Y | Y |
| City fixed effect | Y | Y |
| Prob>F | 0.0000 | 0.0000 |
| Adj R-squared | 0.5049 | 0.6275 |
| Variable | SBM-GML | EBM-GML | |
|---|---|---|---|
| 0.3414 *** (0.0472) | 0.1740 *** (0.0230) | ||
| Annual fixed effect | Y | Y | |
| City fixed effect | Y | Y | |
| Control variables | Log(FDI) | −0.0366 ** (0.0180) | −0.0160 * (0.0088) |
| Log(P) | 0.0701 ** (0.0338) | 0.0457 *** (0.0166) | |
| Log(PD) | 0.2034 (0.1388) | 0.1569 ** (0.0675) | |
| Log(PGDP) | 0.0580 (0.0701) | 0.0290 (0.0341) | |
| Prob > F | 0.0000 | 0.0000 | |
| Adj R-squared | 0.5048 | 0.6284 | |
| Variables | GTFP | ||
|---|---|---|---|
| SBM-GML | EBM-GML | ||
| 0.5058 *** (0.0544) | 0.2597 *** (0.0265) | ||
| −0.0400 (0.0830) | −0.0510 (0.0404) | ||
| 0.1873 (0.2697) | 0.2723 ** (0.1313) | ||
| Annual fixed effect | Y | Y | |
| City fixed effect | Y | Y | |
| Control variables | Log(FDI) | −0.0306 * (0.0180) | −0.0131 (0.0087) |
| Log(P) | 0.0715 ** (0.0337) | 0.0457 *** (0.0164) | |
| Log(PD) | 0.1783 (0.1379) | 0.1540 ** (0.0671) | |
| Log(PGDP) | 0.0755 (0.0699) | 0.0369 (0.0340) | |
| Prob > F | 0.0000 | 0.0000 | |
| Adj R-squared | 0.5088 | 0.6320 | |
Publisher’s Note: MDPI stays neutral with regard to jurisdictional claims in published maps and institutional affiliations. |
© 2022 by the authors. Licensee MDPI, Basel, Switzerland. This article is an open access article distributed under the terms and conditions of the Creative Commons Attribution (CC BY) license (https://creativecommons.org/licenses/by/4.0/).
Share and Cite
Chen, G.; Hibiki, A. Can the Carbon Emission Trading Scheme Influence Industrial Green Production in China? Sustainability 2022, 14, 15829. https://doi.org/10.3390/su142315829
Chen G, Hibiki A. Can the Carbon Emission Trading Scheme Influence Industrial Green Production in China? Sustainability. 2022; 14(23):15829. https://doi.org/10.3390/su142315829
Chicago/Turabian StyleChen, Guang, and Akira Hibiki. 2022. "Can the Carbon Emission Trading Scheme Influence Industrial Green Production in China?" Sustainability 14, no. 23: 15829. https://doi.org/10.3390/su142315829
APA StyleChen, G., & Hibiki, A. (2022). Can the Carbon Emission Trading Scheme Influence Industrial Green Production in China? Sustainability, 14(23), 15829. https://doi.org/10.3390/su142315829
