Determination of the Parameters of Ground Acoustic-Impedance in Wind Farms
Abstract
1. Introduction
2. Measurement Set-Up
3. Methodology
3.1. Image Source Method
3.2. Four-Parameter Model of Attenborough
3.3. Technique of Calculating the Ground Acoustic-Impedance
4. Results and Discussions
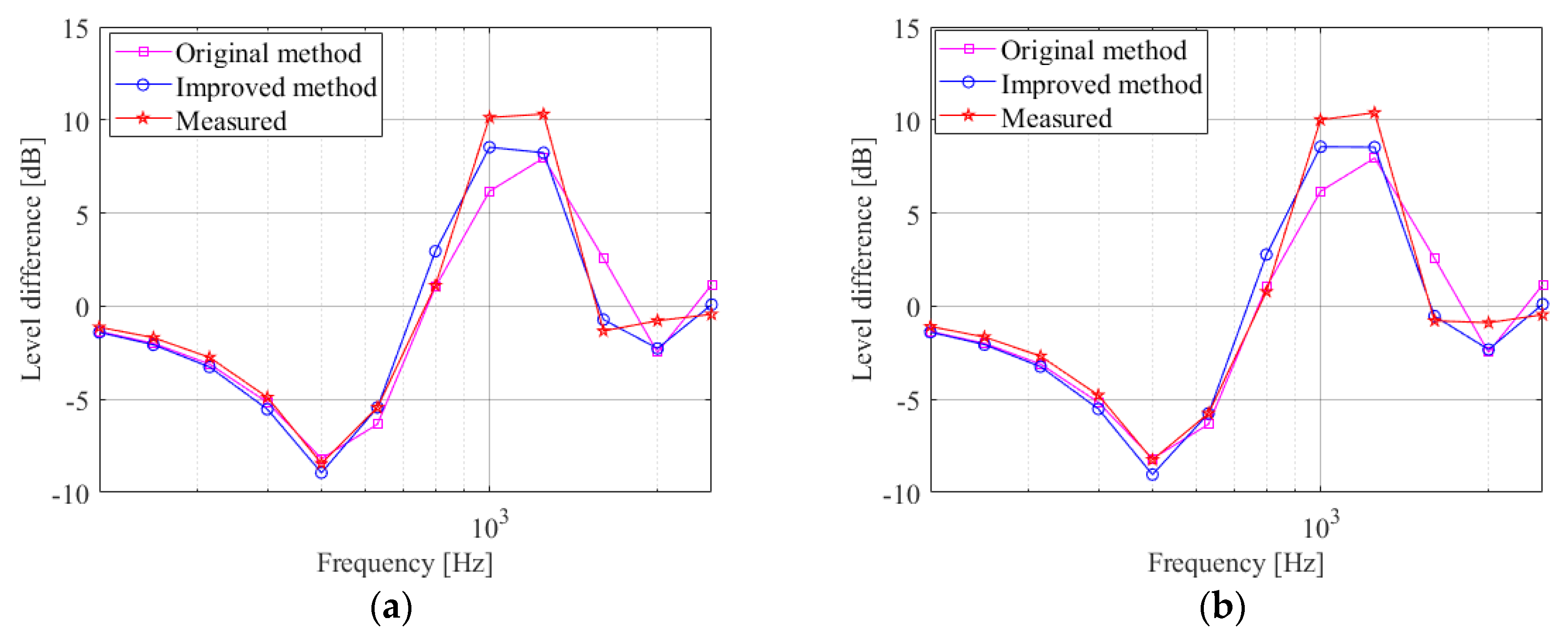
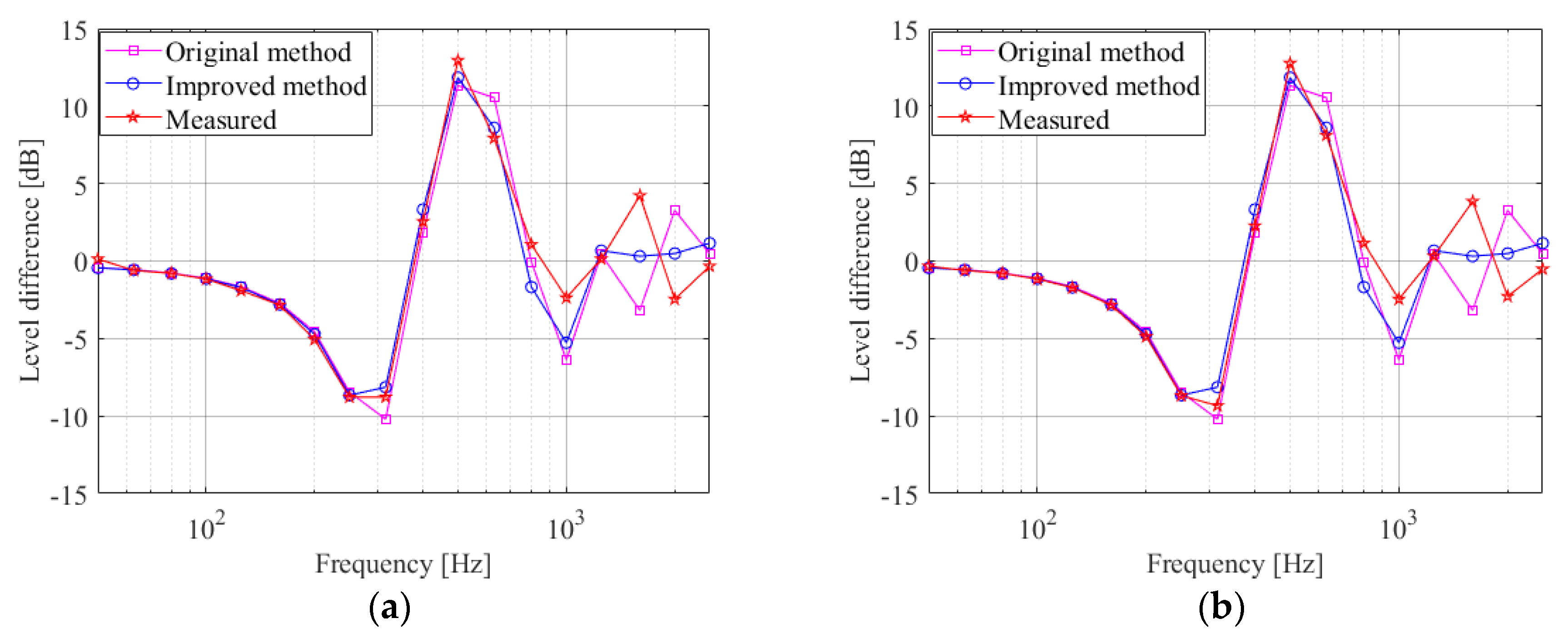
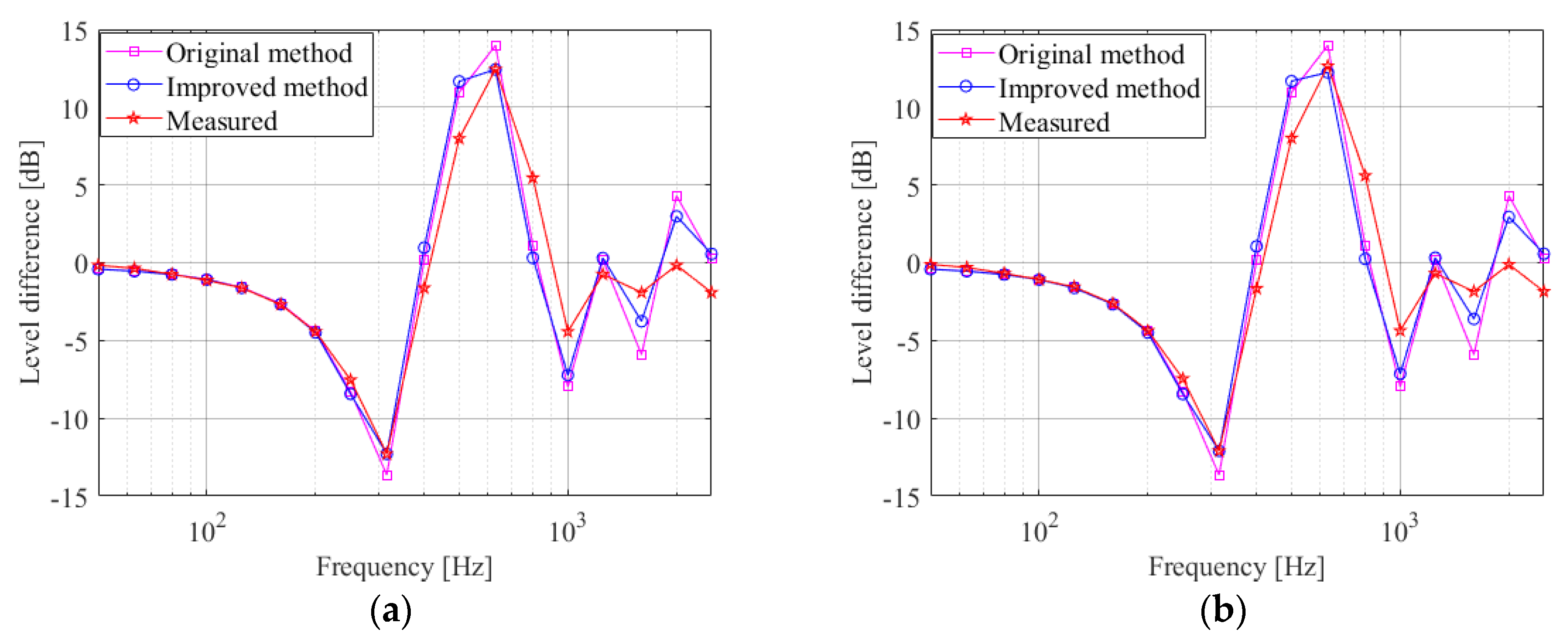
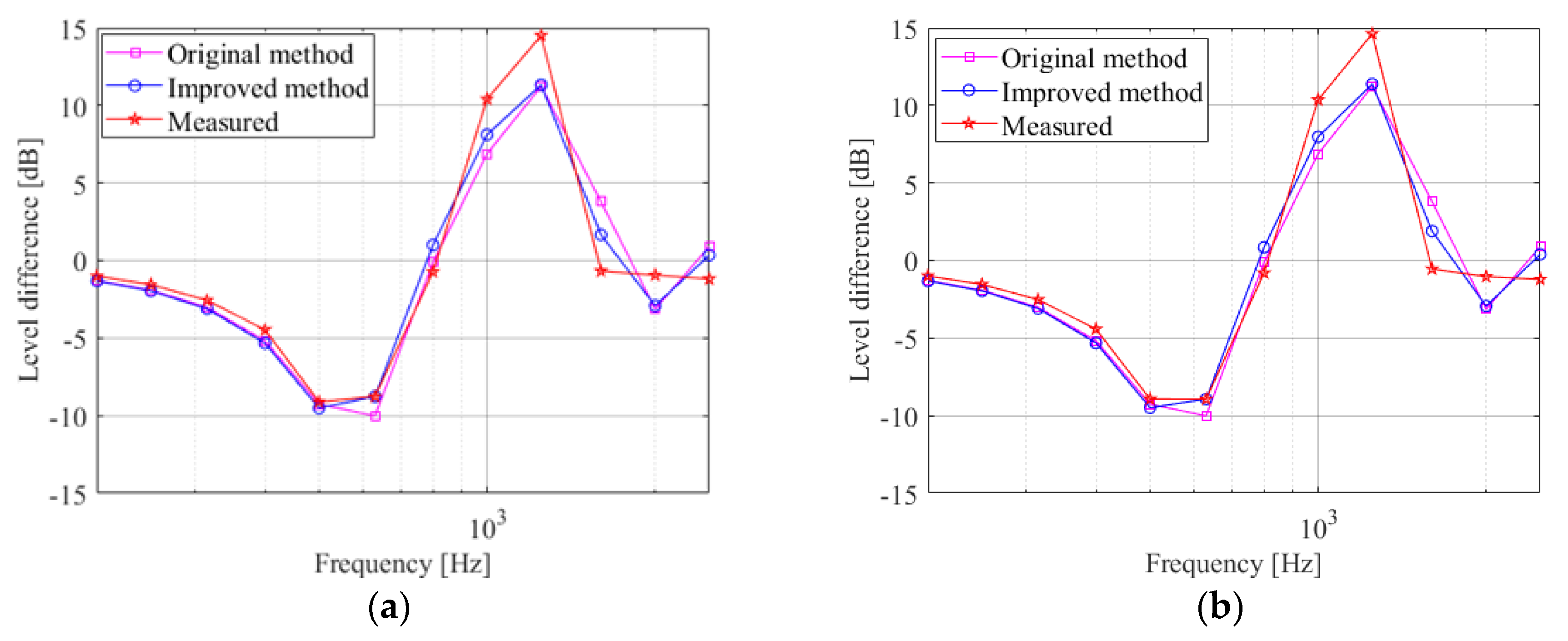
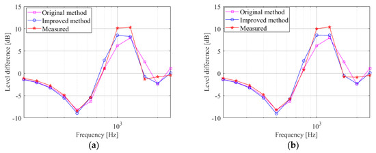
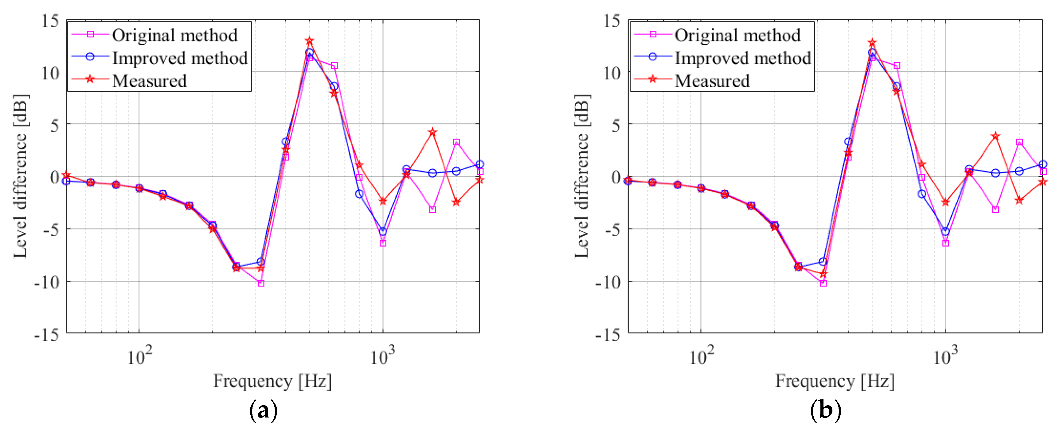
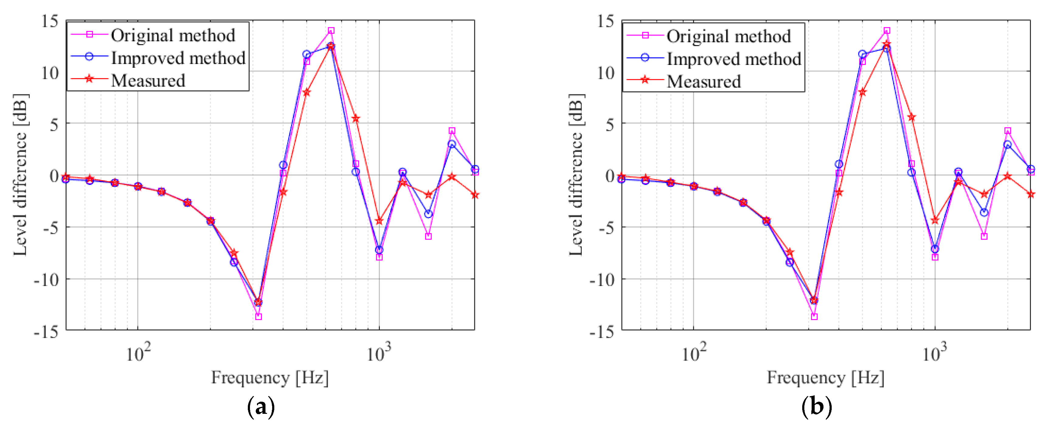
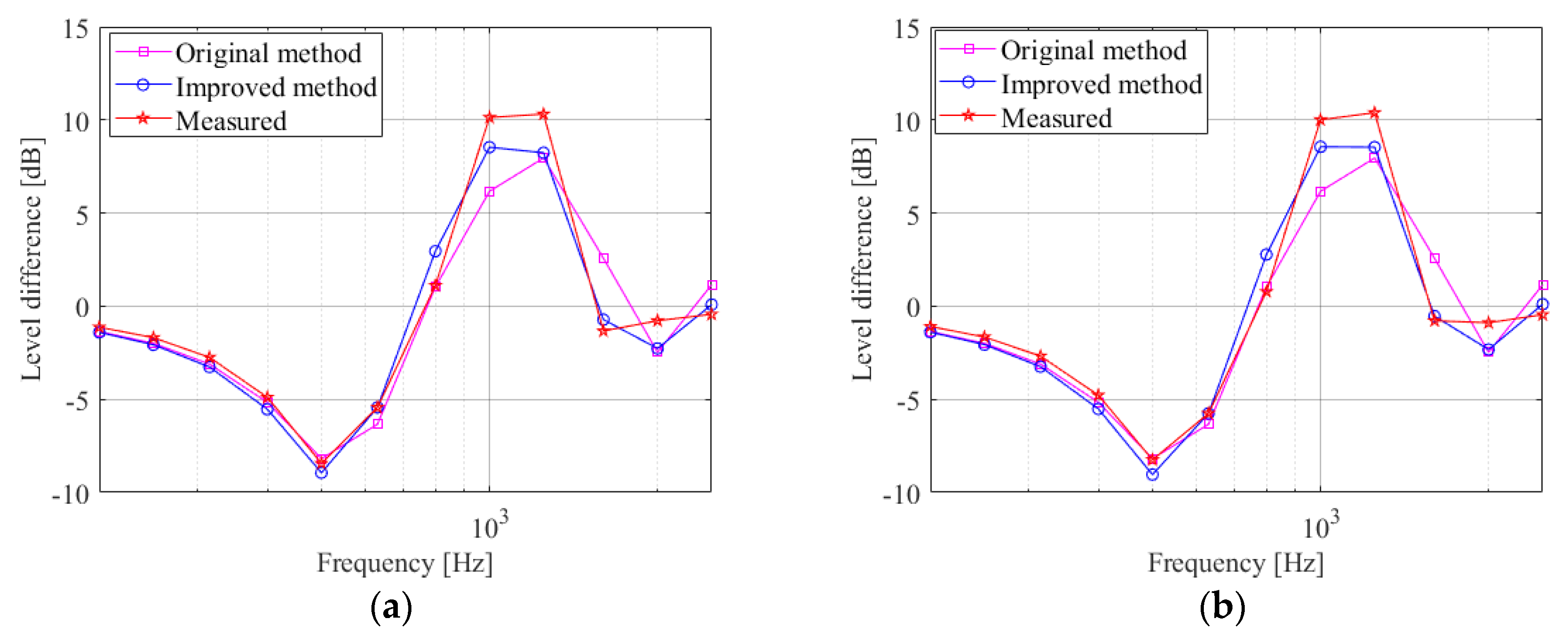
4.1. Calculation of Ground Acoustic-Impedance
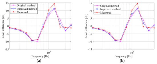
4.2. Accuracy of the Ground Acoustic-Impedance Calculated by the Two Methods
5. Conclusions
Author Contributions
Funding
Informed Consent Statement
Conflicts of Interest
References
- Zeng, M.W.; Zhu, W.J.; Sun, Z.Y.; Zheng, D.Z.; Li, S.L. The influence parameters of aerodynamic noise of wind turbine blades. Appl. Acoust. 2020, 39, 924–931. [Google Scholar]
- Erik, M.S. Computational Atmospheric Acoustics; Springer: Dordrecht, The Netherlands, 2001; pp. 21–36. [Google Scholar]
- Suárez, J.G.; Gutiérrez, M.M.; Fernández, A.T.; Lorenzana, T.L.; Arranz, A.M. Comparative Analysis of Several Acoustic Impedance Measurements; Forum Acusticum Sevilla: Sevilla, Spain, 2002. [Google Scholar]
- Allard, J.F.; Aknine, A. Acoustic impedance measurements with a sound intensity meter. Appl. Acoust. 1985, 18, 69–75. [Google Scholar] [CrossRef]
- Soh, J.H.; Kenneth, E.G.; Frazier, W.G.; Carrick, L.T.; Roger, W. A direct method for measuring acoustic ground impedance in long-range propagation experiments. J. Acoust. Soc. Am. 2010, 128, 286–293. [Google Scholar] [CrossRef] [PubMed]
- Kirill, V.H.; Mohamed, H.A.M. Experimental investigation of the effects of water saturation on the acoustic admittance of sandy soils. J. Acoust. Soc. Am. 2006, 120, 1910–1921. [Google Scholar]
- Kruse, R.; Mellert, V.; Verhey, J.L. In-Situ Measurement of Ground Impedances. Ph.D. Thesis, Technische Universität Braunschweig, Lower Saxony, Germany, 2008. [Google Scholar]
- Allard, J.F.; Sieben, B. Measurements of acoustic impedance in a free field with two microphones and a spectrum analyzer. J. Acoust. Soc. Am. 1998, 77, 1617. [Google Scholar] [CrossRef]
- Delany, M.E.; Bazley, E.N. Acoustical properties of fibrous absorbent materials. Appl. Acoust. 1970, 3, 105–116. [Google Scholar] [CrossRef]
- Nordic Innovation Center. Nordtest Method (NT ACOU 104)—Ground Surfaces: Determination of the Acoustic Impedance. In Teknikantie 12 FIN02150 Espoo Finland; Nordic Innovation Centre: Espoo, Finland, 1999; ISSN 0283-7145. Available online: http://www.nordtest.org (accessed on 8 September 2022).
- Nyborg, C.M.; Shen, W.Z. New measurement technique for ground acoustic impedance in wind farm. Renew. Energy 2021, 164, 791–803. [Google Scholar] [CrossRef]
- Attenborough, K. Acoustical impedance models for outdoor ground surfaces. J. Sound Vib. 1985, 99, 521–544. [Google Scholar] [CrossRef]
- ANSI/ASA S1.18-2010; American National Standard Method for Determining the Acoustic Impedance of Ground Surfaces (Revision of S1.18-1998). American National Standards Institute: New York, NY, USA, 2010.
- Taraldsen, G.; Jonasson, H. Aspects of ground effect modeling. J. Acoust. Soc. Am. 2011, 129, 47–53. [Google Scholar] [CrossRef] [PubMed]
- Attenborough, K. Ground parameter information for propagation modeling. J. Acoust. Soc. Am. 1998, 92, 418–427. [Google Scholar] [CrossRef]
- Attenborough, K.; Bashir, I.; Taherzadeh, S. Outdoor ground impedance models. J. Acoust. Soc. Am. 2011, 129, 2806–2819. [Google Scholar] [CrossRef] [PubMed]
- Attenborough, K.; Ver, I. Noise and Vibration Control Engineering; Wiley: New York, NY, USA, 2008; pp. 215–278. [Google Scholar]
- Bérengier, M.C.; Stinson, M.; Daigle, G.A.; Hamet, J.F. Porous road pavements: Acoustical characterization and propagation effects. J. Acoust. Soc. Am. 1997, 101, 155–162. [Google Scholar] [CrossRef]
- Taraldsen, G. The Delany–Bazley impedance model and Darcy’s Law. Acta Acust. United Acust. 2005, 91, 41–50. [Google Scholar]
- Dragna, D.; Attenborough, K.; Blanc-Benon, P. On the inadvisability of using single parameter impedance models for representing the acoustical properties of ground surfaces. J. Acoust. Soc. Am. 2015, 138, 2399–2413. [Google Scholar] [CrossRef] [PubMed]
- Richard, R.; James, M.S. The surface impedance of grounds with exponential porosity profiles. J. Acoust. Soc. Am. 1996, 99, 147–152. [Google Scholar]
- Attenborough, K. On the acoustic slow wave in air-filled granular media. J. Acoust. Soc. Am. 1987, 81, 93–102. [Google Scholar] [CrossRef]
- Attenborough, K. Acoustical characteristics of porous materials. Phys. Rep. 1982, 3, 179–227. [Google Scholar] [CrossRef]
- Attenborough, K. Acoustical characteristics of rigid fibrous absorbents and granular materials. J. Acoust. Soc. Am. 1983, 3, 785–799. [Google Scholar] [CrossRef]
- Takuya, O.; Masato, T.; Yumi, K. Comparison of flow resistivity values of ground soil obtained by direct measurements and estimations by in-situ acoustic measurements. In Proceedings of the 49th International Congress and Exposition on Noise Control Engineering, Seoul, Republic of Korea, 23 August 2020–26 August 2020; Institute of Noise Control Engineering: Washington, DC, USA, 2020. [Google Scholar]
- David, E.; Philippe, G.; Benoit, G.; Regis, B.; Hubert, L.; David, L. Uncertainty of an in situ method for measuring ground acoustic impedance. In Proceedings of the 44th International Congress and Exposition on Noise Control Engineering, 44th Inter-Noise Congress, San Francisco, CA, USA, 9 August 2015–12 August 2015. [Google Scholar]
- Fauri, G. Measurement of the Acoustic Ground Impedance in Wind Farms. Master’s Thesis, Technical University of Denmark, Copenhagen, Denmark, 16 August 2019. [Google Scholar]
- He, Z.Q.; Yu, M.Z. Method for measuring porosity of porous media. In Proceedings of the Symposium on Construction and Efficient Operation of Heating Engineering, Suzhou, Jiangsu, China, 21 April 2019; pp. 50–56. [Google Scholar]
- Attenborough, K.; Li, K.M.; Horoshenkov, K. Predicting Outdoor Sound; Taylor & Francis: New York, NY, USA, 2007; pp. 66–109. [Google Scholar]
- Yang, Q.A. Study on the Flow Characteristics of Particles in Porous Media. Master’s Thesis, Northeast Petroleum University, Daqing, China, 2018. [Google Scholar]
- Huang, S.P.; Jin, L.; Hu, Z.Q. The influence on Structure and Microstructure of Soil Burned or Roasted from Yang Mausoleum of the Han Dynasty. Chin. J. Soil Sci. 2013, 44, 1337–1342. [Google Scholar]
- Benjamin, G.Y. The Relationship between the Physical Properties of Soil, Fractal Dimension, and Shape Factors of Its Fragmented Aggregates: A Two-Dimensional Digital Image Processing and Analysis Approach. Ph.D. Thesis, Harbin Institute of Technology, Harbin, China, 2016. [Google Scholar]
- Nocedal, J.; Öztoprak, F.; Waltz, R.A. An interior point method for nonlinear programming with infeasibility detection capabilities. Optim. Methods Softw. 2014, 29, 837–854. [Google Scholar] [CrossRef]
- Abdalla, A.N.; Ju, Y.F.; Nazir, M.S.; Tao, H. A Robust Economic Framework for Integrated Energy Systems Based on Hybrid Shuffled Frog-Leaping and Local Search Algorithm. Sustainability 2022, 14, 10660. [Google Scholar] [CrossRef]
- Nazir, M.S.; Abdalla, A.N.; Zhao, H.Y.; Chu, Z.; Nazir, H.M.J.; Bhutta, M.S.; Javed, M.S.; Sanjeevikumarf, P. Optimized economic operation of energy storage integration using improved gravitational search algorithm and dual stage optimization. J. Energy Storage 2022, 50, 104591–104598. [Google Scholar] [CrossRef]
- Nazir, M.S.; Abdalla, A.N.; Wang, Y.Q.; Chu, Z.; Jie, J.; Tian, P.; Jiang, M.X.; Jiang, I.; Sanjeevikumar, P.; Tang, Y.F. Optimization configuration of energy storage capacity based on the microgrid reliable output power. J. Energy Storage 2020, 32, 101866–101877. [Google Scholar] [CrossRef]


















| Flow Resistivity | Tortuosity () [-] | Porosity () [-] | Grain-Shape Factor () [-] | ||
|---|---|---|---|---|---|
| Ground 1 | White noise | 257.62 | 0.7959 | 0.5417 | 0.7172 |
| Pink noise | 271.35 | 0.7666 | 0.5743 | 0.6417 | |
| Ground 2 | White noise | 498.75 | 0.7912 | 0.5632 | 0.6782 |
| Pink noise | 501.15 | 0.8040 | 0.5619 | 0.6798 | |
| Ground 3 | White noise | 300.00 | 0.8289 | 0.6000 | 0.5000 |
| Pink noise | 347.15 | 0.7705 | 0.6000 | 0.5000 | |
| Ground 4 | White noise | 853.20 | 0.8016 | 0.5121 | 0.6680 |
| Pink noise | 749.72 | 0.7931 | 0.5655 | 0.7415 |
Publisher’s Note: MDPI stays neutral with regard to jurisdictional claims in published maps and institutional affiliations. |
© 2022 by the authors. Licensee MDPI, Basel, Switzerland. This article is an open access article distributed under the terms and conditions of the Creative Commons Attribution (CC BY) license (https://creativecommons.org/licenses/by/4.0/).
Share and Cite
Wu, J.; Wang, J.; Sun, Z.; Zhu, W.J.; Shen, W.Z. Determination of the Parameters of Ground Acoustic-Impedance in Wind Farms. Sustainability 2022, 14, 15489. https://doi.org/10.3390/su142315489
Wu J, Wang J, Sun Z, Zhu WJ, Shen WZ. Determination of the Parameters of Ground Acoustic-Impedance in Wind Farms. Sustainability. 2022; 14(23):15489. https://doi.org/10.3390/su142315489
Chicago/Turabian StyleWu, Jiaying, Jing Wang, Zhenye Sun, Wei Jun Zhu, and Wen Zhong Shen. 2022. "Determination of the Parameters of Ground Acoustic-Impedance in Wind Farms" Sustainability 14, no. 23: 15489. https://doi.org/10.3390/su142315489
APA StyleWu, J., Wang, J., Sun, Z., Zhu, W. J., & Shen, W. Z. (2022). Determination of the Parameters of Ground Acoustic-Impedance in Wind Farms. Sustainability, 14(23), 15489. https://doi.org/10.3390/su142315489

