Identification Method for Crash-Prone Sections of Mountain Highway under Complex Weather Conditions
Abstract
1. Introduction and Review
2. Data Preparation
3. Methodology
3.1. Framework for Research Design
3.2. Spatial and Time Density Ratio Indicators
3.2.1. Spatial Density Ratio
3.2.2. Time–Density Ratio
3.2.3. Time-Spatial Density Ratio
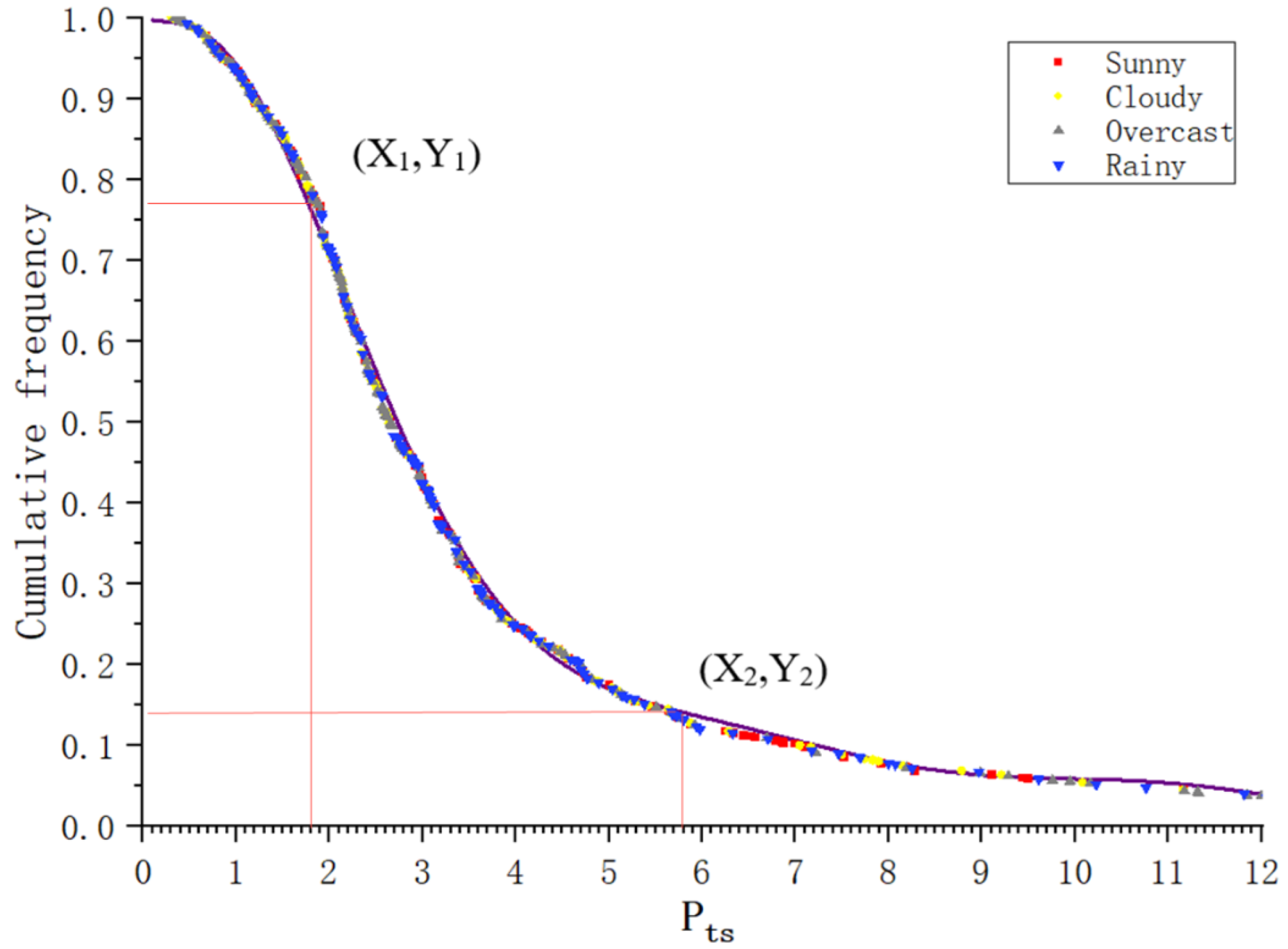
3.3. Risk Threshold and Classification
3.4. Kernel Density Analysis
3.5. Method Comparison and Test
4. Results
4.1. Spatial Distribution of Crashes
4.2. Time Distribution of Crashes
4.2.1. Time Distribution of Unit Crashes
4.2.2. Time Distribution of Road Crashes
4.3. Time-Spatial Distribution of Crashes
5. Comparative Analysis and Discussion
6. Conclusions
Author Contributions
Funding
Institutional Review Board Statement
Informed Consent Statement
Data Availability Statement
Conflicts of Interest
References
- Traffic Administration Bureau of the Ministry of Public Security. 2019 Statistical Bulletin on the Development of the Transportation Industry. 2020. Available online: http://www.gov.cn/xinwen/2020-05/12/content_5510817.htm (accessed on 13 April 2022).
- WHO. Global Plan for the Decade of Action for Road Safety 2021–2030. 2021. Available online: https://www.who.int/teams/social-determinants-of-health/safety-and-mobility/decade-of-action-for-road-safety-2021-2030 (accessed on 28 October 2021).
- Yu, B.; Chen, Y.; Bao, S.; Xu, D. Quantifying drivers’ visual perception to analyze accident-prone locations on two-lane mountain highways. Accid. Anal. Prev. 2018, 119, 122–130. [Google Scholar] [CrossRef] [PubMed]
- Oppe, S. Development of traffic and traffic safety, global trends and incidental fluctuations. Accid. Anal. Prev. 1991, 23, 413–422. [Google Scholar] [CrossRef]
- Zhang, J.; Wan, C.; He, A.; Zhang, D.; Soares, C.G. A two-stage black-spot identification model for inland waterway transportation. Reliab. Eng. Syst. Saf. 2021, 213, 107677. [Google Scholar] [CrossRef]
- Prieto, F.; Gómez-Déniz, E.; Sarabia, J.M. Modelling road accident blackspots data with the discrete generalized Pareto distribution. Accid. Anal. Prev. 2014, 71, 38–49. [Google Scholar] [CrossRef] [PubMed][Green Version]
- Jordan, P. ITE and road safety audit-a partnership for traffic safety. ITE J. 1999, 69, 24–27. [Google Scholar]
- Gregoriades, A.; Mouskos, K.C. Black spots identification through a Bayesian Networks quantification of accident risk index. Transp. Res. Part C Emerg. Technol. 2013, 28, 28–43. [Google Scholar] [CrossRef]
- Shen, L.; Lu, J.; Long, M.; Chen, T. Identification of accident blackspots on rural roads using grid clustering and principal component clustering. Math. Probl. Eng. 2019, 2019, 2151284. [Google Scholar] [CrossRef]
- Wan, Y.; He, W.; Zhou, J. Urban road accident black spot identification and classification approach: A novel grey verhuls–Empirical bayesian combination method. Sustainability 2021, 13, 11198. [Google Scholar] [CrossRef]
- Yakar, F. A multicriteria decision making–based methodology to identify accident-prone road sections. J. Transp. Saf. Secur. 2021, 13, 143–157. [Google Scholar] [CrossRef]
- Zhang, C.; Shu, Y.; Yan, L. A Novel Identification Model for Road Traffic Accident Black Spots: A Case Study in Ningbo, China. IEEE Access 2019, 7, 140197–140205. [Google Scholar] [CrossRef]
- Wang, J.; He, S.; Zhai, X.; Wang, Z.; Fu, X. Estimating mountainous freeway crash rate: Application of a spatial model with three-dimensional (3D) alignment parameters. Accid. Anal. Prev. 2022, 170, 106634. [Google Scholar] [CrossRef] [PubMed]
- Saccomanno, F.F.; Grossi, R.; Greco, D.; Mehmood, A. Identifying black spots along highway SS107 in Southern Italy using two models. J. Transp. Eng. 2001, 127, 515–522. [Google Scholar] [CrossRef]
- Malyshkina, N.V.; Mannering, F.L. Zero-state Markov switching count-data models: An empirical assessment. Accid. Anal. Prev. 2010, 42, 122–130. [Google Scholar] [CrossRef] [PubMed]
- Barua, S.; El-Basyouny, K.; Islam, M.T. Effects of spatial correlation in random parameters collision count-data models. Anal. Methods Accid. Res. 2015, 5, 28–42. [Google Scholar] [CrossRef]
- Debrabant, B.; Halekoh, U.; Bonat, W.H.; Hansen, D.L.; Hjelmborg, J.; Lauritsen, J. Identifying traffic accident black spots with Poisson-Tweedie models. Accid. Anal. Prev. 2018, 111, 147–154. [Google Scholar] [CrossRef]
- Chang, L.Y.; Chen, W.C. Data mining of tree-based models to analyze freeway accident frequency. J. Saf. Res. 2005, 36, 365–375. [Google Scholar] [CrossRef]
- Zhang, Y.; Lu, H.; Qu, W. Geographical detection of traffic accidents spatial stratified heterogeneity and influence factors. Int. J. Environ. Res. Public Health 2020, 17, 572. [Google Scholar] [CrossRef]
- Fan, Z.; Liu, C.; Cai, D.; Yue, S. Research on black spot identification of safety in urban traffic accidents based on machine learning method. Saf. Sci. 2019, 118, 607–616. [Google Scholar] [CrossRef]
- Gutierrez-Osorio, C.; Pedraza, C. Modern data sources and techniques for analysis and forecast of road accidents: A review. J. Traffic Transp. Eng. 2020, 7, 432–446. [Google Scholar] [CrossRef]
- Ahmed, M.; Huang, H.; Abdel-Aty, M.; Guevara, B. Exploring a Bayesian hierarchical approach for developing safety performance functions for a mountainous freeway. Accid. Anal. Prev. 2011, 43, 1581–1589. [Google Scholar] [CrossRef]
- Yu, R.; Abdel-Aty, M.; Ahmed, M. Bayesian random effect models incorporating real-time weather and traffic data to investigate mountainous freeway hazardous factors. Accid. Anal. Prev. 2013, 50, 371–376. [Google Scholar] [CrossRef] [PubMed]
- Yakar, F. Identification of accident-prone road sections by using relative frequency method. Promet Traffic Transp. 2015, 27, 539–547. [Google Scholar] [CrossRef]
- Ghadi, M.; Török, Á. A comparative analysis of black spot identification methods and road accident segmentation methods. Accid. Anal. Prev. 2019, 128, 1–7. [Google Scholar] [CrossRef] [PubMed]
- Kwon, O.H.; Park, M.J.; Yeo, H.; Chung, K. Evaluating the performance of network screening methods for detecting high collision concentration locations on highways. Accid. Anal. Prev. 2013, 51, 141–149. [Google Scholar] [CrossRef] [PubMed]
- Wei, C.; Wen, H. Geochemical baselines of heavy metals in the sediments of two large freshwater lakes in China: Implications for contamination character and history. Environ. Geochem. Health 2012, 34, 737–748. [Google Scholar] [CrossRef]
- Fan, K.; Wei, C.Y.; Yang, X.S. Geochemical baseline of heavy metals in the soils of Qiaokou Town, Changsha City and its application. Acta Sci. Circumstantiae 2014, 34, 3076–3083. [Google Scholar]
- Johnson, B.A.; Scheyvens, H.; Khalily, M.B.; Onishi, A. Investigating the relationships between climate hazards and spatial accessibility to microfinance using geographically-weighted regression. Int. J. Disaster Risk Reduct. 2019, 33, 122–130. [Google Scholar] [CrossRef]
- Xie, Z.; Yan, J. Detecting traffic accident clusters with network kernel density estimation and local spatial statistics: An integrated approach. J. Transp. Geogr. 2013, 31, 64–71. [Google Scholar] [CrossRef]
- Anderson, T.K. Kernel density estimation and K-means clustering to profile road accident hotspots. Accid. Anal. Prev. 2009, 41, 359–364. [Google Scholar] [CrossRef]
- Mohaymany, A.S.; Shahri, M.; Mirbagheri, B. GIS-based method for detecting high-crash-risk road segments using network kernel density estimation. Geo Spat. Inf. Sci. 2013, 16, 113–119. [Google Scholar] [CrossRef]
- Silverman, B.W. Density Estimation for Statistics and Data Analysis, 1st ed.; Routledge: New York, NY, USA, 1998; pp. 1–176. [Google Scholar] [CrossRef]
- Wu, P.; Meng, X.; Song, L. Identification and spatiotemporal evolution analysis of high-risk crash spots in urban roads at the microzone-level: Using the space-time cube method. J. Transp. Saf. Secur. 2021, 14, 1510–1530. [Google Scholar] [CrossRef]













| Risk Level | Ps | Length of the Road (m) | Ratio of Identified Length to the Total Length | Number of Crashes | Ratio of Identified Crashes to Total Crashes | Search Efficiency Index | |
|---|---|---|---|---|---|---|---|
| Spatial Density Ratio Method | Cumulative Frequency Method | ||||||
| I | 0~0.5 | 58,958.15 | 0.434 | 66 | 0.051 | 0.12 | 2.97 |
| II | 0.5~2.8 | 68,263.48 | 0.502 | 758 | 0.589 | 1.17 | |
| III | 2.8~∞ | 8652.962 | 0.064 | 462 | 0.360 | 5.64 | |
| No. | Number of Crashes | of Sunny Days | of Cloudy Days | of Overcast Days | of Rainy Days | of Foggy Days |
|---|---|---|---|---|---|---|
| 111 | 11 | 0.82 | 0.91 | 0.33 | 2.31 | 0 |
| 308 | 5 | 0.9 | 0.67 | 0 | 3.05 | 0 |
| 309 | 4 | 0 | 0.83 | 2.73 | 0 | 0 |
| 359 | 5 | 2.69 | 0 | 0.73 | 1.02 | 0 |
| 365 | 4 | 0 | 0.83 | 0 | 2.54 | 0 |
| 380 | 8 | 0 | 0.83 | 0.46 | 3.18 | 0 |
| 384 | 4 | 0 | 0 | 0.91 | 3.82 | 0 |
| 385 | 16 | 0.84 | 1.04 | 0.68 | 1.27 | 12.67 |
| …… | ||||||
| 662 | 4 | 0 | 0.83 | 0 | 3.82 | 0 |
| Weather | Risk Level | Pts | Ratio to the Total Length | Ratio to Total Crashes | Search Efficiency Index | |
|---|---|---|---|---|---|---|
| Time-Spatial Density Ratio Method | Cumulative Frequency Method | |||||
| Sunny | I | 0–1.9 | 0.818 | 0.139 | 0.17 | 5.466 |
| II | 1.9–5.8 | 0.158 | 0.592 | 3.749 | ||
| III | 5.8–∞ | 0.025 | 0.269 | 10.994 | ||
| Cloudy | I | 0–1.9 | 0.818 | 0.215 | 0.263 | 4.915 |
| II | 1.9–5.8 | 0.18 | 0.553 | 3.071 | ||
| III | 5.8–∞ | 0.024 | 0.231 | 9.755 | ||
| Overcast | I | 0–1.9 | 0.789 | 0.18 | 0.229 | 4.553 |
| II | 1.9–5.8 | 0.185 | 0.513 | 2.777 | ||
| III | 5.8–∞ | 0.026 | 0.307 | 11.588 | ||
| Rainy | I | 0–1.9 | 0.749 | 0.081 | 0.109 | 4.826 |
| II | 1.9–5.8 | 0.213 | 0.576 | 2.706 | ||
| III | 5.8–∞ | 0.039 | 0.342 | 8.892 | ||
Publisher’s Note: MDPI stays neutral with regard to jurisdictional claims in published maps and institutional affiliations. |
© 2022 by the authors. Licensee MDPI, Basel, Switzerland. This article is an open access article distributed under the terms and conditions of the Creative Commons Attribution (CC BY) license (https://creativecommons.org/licenses/by/4.0/).
Share and Cite
Sun, R.; Zhang, C.; Xiang, Y.; Hou, L.; Wang, B. Identification Method for Crash-Prone Sections of Mountain Highway under Complex Weather Conditions. Sustainability 2022, 14, 15181. https://doi.org/10.3390/su142215181
Sun R, Zhang C, Xiang Y, Hou L, Wang B. Identification Method for Crash-Prone Sections of Mountain Highway under Complex Weather Conditions. Sustainability. 2022; 14(22):15181. https://doi.org/10.3390/su142215181
Chicago/Turabian StyleSun, Rishuang, Chi Zhang, Yujie Xiang, Lei Hou, and Bo Wang. 2022. "Identification Method for Crash-Prone Sections of Mountain Highway under Complex Weather Conditions" Sustainability 14, no. 22: 15181. https://doi.org/10.3390/su142215181
APA StyleSun, R., Zhang, C., Xiang, Y., Hou, L., & Wang, B. (2022). Identification Method for Crash-Prone Sections of Mountain Highway under Complex Weather Conditions. Sustainability, 14(22), 15181. https://doi.org/10.3390/su142215181

