Effects of Fire on Diversity and Aboveground Biomass of Understory Communities in Seasonally Dry Tropical Forest in Western Thailand
Abstract
1. Introduction
2. Materials and Methods
2.1. Study Site
2.2. Historical Record
2.3. Data Collection
2.3.1. Understory Community
2.3.2. Aboveground Biomass Measurement and Analysis
3. Results
3.1. Understory Species Composition by Forest Types
3.2. Canopy Cover
3.3. Aboveground Biomass of Understory Plants
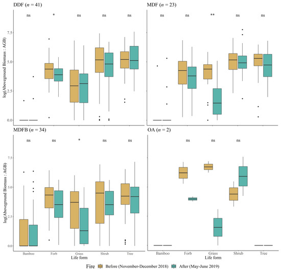
3.4. Variation in Biomass by Life Forms
3.5. Aboveground Biomass of Key Species of Deciduous Dipterocarp Forests
4. Discussion
4.1. Effects of Fire on Understory Biomasses
4.2. The 30-Year Succession after Logging
4.3. Management Implication
5. Conclusions
Supplementary Materials
Author Contributions
Funding
Institutional Review Board Statement
Informed Consent Statement
Data Availability Statement
Acknowledgments
Conflicts of Interest
References
- Crowther, T.W.; Glick, H.B.; Covey, K.R.; Bettigole, C.; Maynard, D.S.; Thomas, S.M.; Smith, J.R.; Hintler, G.; Duguid, M.C.; Amatulli, G.; et al. Mapping tree density at a global scale. Nature 2015, 525, 201–205. [Google Scholar] [CrossRef] [PubMed]
- Hasnat, G.N.T.; Hossain, M.K. Global Overview of Tropical Dry Forests. In Handbook of Research on the Conservation and Restoration of Tropical Dry Forests; Bhadouria, R., Tripathi, S., Srivastava, P., Singh, P., Eds.; IGI Global: Hershey, PN, USA, 2020; pp. 1–23. [Google Scholar] [CrossRef]
- Panda, P.C.; Mahapatra, A.K.; Acharya, P.K.; Debata, A.K. Plant diversity in tropical deciduous forests of Eastern Ghats, India: A landscape level assessment. Int. J. Biodivers. Conserv. 2013, 5, 625–639. [Google Scholar] [CrossRef]
- Ratnam, J.; Tomlinson, K.; Rasquinha, D.; Sankaran, M. Savannahs of Asia: Antiquity, biogeography, and an uncertain future. Philos. Trans. R. Soc. Biol. Sci. 2016, 371, 0305. [Google Scholar] [CrossRef]
- Hu, M.; Liu, Y.; Sun, Z.; Zhang, K.; Liu, T.; Miao, R.; Wan, S. Fire rather than nitrogen addition affects understory plant communities in the short term in a coniferous-broadleaf mixed forest. Ecol. Evol. 2018, 8, 8135–8148. [Google Scholar] [CrossRef]
- Saha, S.; Howe, H.F. Species composition and fire in dry deciduous forest. Ecology 2003, 84, 3118–3123. [Google Scholar] [CrossRef]
- Wanthongchai, K.; Bauhus, J.; Goldammer, J.G. Nutrient losses through prescribed burning of aboveground litter and understorey in dry dipterocarp forests of different fire history. Catena 2008, 74, 321–332. [Google Scholar] [CrossRef]
- Baker, P.J.; Bunyavejchewin, S. Fire behavior and fire effects across the forest landscape of continental Southeast Asia. In Tropical Fire Ecology: Climate Change, Land Use and Ecosystem Dynamics; Cochrane, M.A., Ed.; Springer-Praxis: Heidelberg, Germany, 2009; pp. 311–334. [Google Scholar]
- Suresh, H.S.; Dattaraja, H.S.; Mondal, N.; Sukumar, R. Seasonally dry tropical forest in Southern India: An Analysis of Floristis Composition, Structure, and Dynamic in Mudumalai Wildlife Sanctuary. In The Ecology and Conservation of Seasonally Dry Forests in Asia; McShea, W.J., Davies, S.J., Bhumpakphan, N., Eds.; Smithsonian Institution Scholarly Press: Washington, DC, USA, 2011; pp. 37–58. [Google Scholar]
- Marod, D.; Kutintara, U.; Tanaka, H.; Nakashizuka, T. Effect of drought and fire on seedling survival and growth under constrasting light conditions in a seasonal tropical forest. J. Veg. Sci. 2004, 15, 691–700. [Google Scholar] [CrossRef]
- Clarke, P.J.; Lawes, M.J.; Midgley, J.J.; Lamont, B.B.; Ojeda, F.; Burrows, E.G.; Enright, N.J.; Knox, K.J.E. Resprouting as a key functional trait: How buds, protection and resources drive persistence after fire. New Phytol. 2013, 197, 19–35. [Google Scholar] [CrossRef]
- Bunyavejchewin, S.; Baker, P.J.; Davies, S.J. Seasonally dry tropical forest in continental south east asia: Structure, Composition, and Dynamics. In The Ecology and Conservation of Seasonally Dry Forests in Asia; McShea, W.J., Davies, S.J., Bhumpakphan, N., Eds.; Smithsonian Institution Scholarly Press: Washington, DC, USA, 2011; pp. 9–35. [Google Scholar]
- Wanthongchai, K.; Goldammer, G.; Bauhus, J. Effects of fire frequency on prescribed fire behaviour and soil temperatures in dry dipterocarp forests. Int. J. Wildland Fire 2011, 20, 35–45. [Google Scholar] [CrossRef]
- Royal-Forest-Department, Final Report 2017–2018: Forestry Area Condition Data Preparation Project; Report, Forestry Research Center Faculty of Forestry Kasetsart University: Bangkok, Thailand, 2019.
- UNESCO World Heritage Centre. Thungyai-Huai Kha Khaeng Wildlife Sanctuaries. 2021. Available online: https://whc.unesco.org/en/list/591/ (accessed on 13 June 2021).
- Faculty of Forestry, K.U. Basic Information Master Plan for Huai Kha Khaeng Wildlife Sanctuary Management, Uthai Thani—Tak Province; Faculty of Forestry, Kasetsart University: Bangkok, Thailand, 1989. [Google Scholar]
- Nakhasathien, S.; Stewart-Cox, B. Nomination of The Thung Yai–Huai Kha Khaeng Wildlife Sanctuary to Be the UNESCO World Heritage Site; Royal Forest Department: Bankok, Thailand, 1990. [Google Scholar]
- Royal-Forest-Department. Thailand National Periodic Report Section II: State of Conservation of Specific World Heritage Properties; Report, Royal Forest Department: Bankok, Thailand, 2002. [Google Scholar]
- Johnson, L.A. Fire, Seasonally Dry Evergreen Forest and Conservation. Ph.D. Thesis, Huai Kha Khaeng Wildlife Sanctuary, Rabam, Thailand, 2006. [Google Scholar]
- Peterson, D.; Reich, P.; Wrage, K. Plant functional group responses to fire frequency and tree canopy cover gradients in oak savannas and woodlands. J. Veg. Sci. 2007, 18, 3–12. [Google Scholar] [CrossRef]
- Costa, F.R.C.; Magnusson, W.E. Effects of Selective Logging on the Diversity and Abundance of Flowering and Fruiting Understory Plants in a Central Amazonian Forest. Biotropica 2003, 35, 103–114. [Google Scholar] [CrossRef]
- Dantas, V.L.; Batalha, M.A.; Pausas, J.G. Fire drives functional threshold on the savanna–forest transition. Ecology 2013, 94, 2454–2463. [Google Scholar] [CrossRef] [PubMed]
- Chankhao, A.; Kraichak, E.; Phumsathan, S.; Pongpattananurak, N. Dynamics of Forage and Management Implications for Large Herbivore Habitat in Seasonally Dry Forest of Southeast Asia. Forests 2022, 13, 1463. [Google Scholar] [CrossRef]
- Fujita, T. Fire suppression and seed dispersal play critical roles in the establishment of tropical forest tree species in southeastern Africa. Sci. Rep. 2021, 11, 16391. [Google Scholar] [CrossRef]
- Alvarado, S.T.; Silva, T.S.F.; Archibald, S. Management impacts on fire occurrence: A comparison of fire regimes of African and South American tropical savannas in different protected areas. J. Environ. Manag. 2018, 218, 79–87. [Google Scholar] [CrossRef] [PubMed]
- Stott, P. Spatial pattern of dry season fire in the savanna forests of Thailand. J. Biogeogr. 1986, 13, 345–358. [Google Scholar] [CrossRef]
- Wanussakul, S. Seasonal Variation in Biomass, Nutrients Content and Dynamic of Undergrowth in Deciduous Dipterocarp Forest. Ph.D. Thesis, Huai Kha Khaeng Wildlife Sanctuary, Rabam, Thailand, 1989. [Google Scholar]
- Kanjanavanit, S. Aspect of the Temporal pattern of Dry Season Fire in the Dry Dipterocarp Forest of Thailand. Ph.D. Thesis, University of London, London, UK, 1992. [Google Scholar]
- Himmapan, W.; Kaitpraneet, S. Effect of Burning Fire on Fuel Bed Properties in the Dry Deciduous Dipterocarp Forest at Huai Kha Khaeng Wildlife Sanctuary, Uthai Thani Province. Thai J. For. 2008, 27, 107–119. [Google Scholar]
- Sookchaloem, D.; Methula, T.; Bhumpakphan, N.; Maneerat, S. Species Composition of Understory Vegetation and Large Herbivore Abundance in Burnt and Unburnt Deciduous Dipterocarp Forest at Huai Kha Khaeng Wildlife Sanctuary, Thailand. Int. Res. J. Biol. Sci. 2015, 4, 7–15. [Google Scholar]
- McShea, W.J.; Baker, M.C. Tropical Deer in the Seasonally Dry Forests of Asia: Ecology, Concerns, and Potential for Conservation. In The Ecology and Conservation of Seasonally Dry Forests in Asia; McShea, W.J., Davies, S.J., Bhumpakphan, N., Eds.; Smithsonian Institution Scholarly Press: Washington, DC, USA, 2011; pp. 165–177. [Google Scholar]
- Bhumpakphan, N.; McShea, W.J. Ecology of Guar and Banteng in the Seasonally Dry Forest of Thailand. In The Ecology and Conservation of Seasonally Dry Forests in Asia; McShea, W.J., Davies, S.J., Bhumpakphan, N., Eds.; Smithsonian Institution Scholarly Press: Washington, DC, USA, 2011; pp. 179–194. [Google Scholar]
- McShea, W.J.; Sukmasuang, R.; Erickson, D.L.; Herrmann, V.; Ngoprasert, D.; Bhumpakphan, N.; Davies, S. Metabarcoding reveals diet diversity in an ungulate community in Thailand. Biotropica 2019, 51, 923–937. [Google Scholar] [CrossRef]
- Bunyavejchewin, S.; J, V.L.; Baker, P.J.; Davies, S.J.; Ashton, P.S. Forest Trees of Huai Kha Khaeng Wildlife Sanctuary, Thailand: Data from the 50-Hectare Forest Dynamics Plot; National Parks, Wildlife and Plant Conservation Department: Bangkok, Thailand, 2009. [Google Scholar]
- NASA; JPL. Nasa Shuttle Radar Topography Mission Global 1 Arc Second; NASA EOSDIS Land Processes DAAC; NASA: Washington, DC, USA, 2013.
- Huai Kha Khaeng Wildfire Research Center. 19-Year Weather Data (2001–2019); Protection and Fire Control Office, National Parks, Wildlife and Plant Conservation Department: Bangkok, Thailand, 2019. [Google Scholar]
- Hogg, R.V.; Tanis, E.A.; Zimmerman, D.L. Probability and Statistical Inference, 9th ed.; PEARSON Education, Inc.: London, UK, 2015. [Google Scholar]
- Oksanen, J.; Simpson, G.; Blanchet, F.; Kindt, R.; Legendre, P.; Minchin, P.; O’Hara, R.; Solymos, P.; Stevens, M.; Szoecs, E.; et al. vegan: Community Ecology Package. 2022. Available online: https://CRAN.R-project.org/package=vegan (accessed on 22 May 2022).
- Warton, D.I.; Wright, S.T.; Wang, Y. Distance-based multivariate analyses confound location and dispersion effects. Methods Ecol. Evol. 2013, 3, 89–101. [Google Scholar] [CrossRef]
- Xia, Y.; Sun, J.; Chen, D.G. Statistical Analysis of Microbiome Data with R; Springer: Singapore, 2018. [Google Scholar]
- Clarke, K.R. Non-parametric multivariate analyses of changes in community structure. Aust. J. Ecol. 1993, 18, 117–143. [Google Scholar] [CrossRef]
- Wickham, H.; Averick, M.; Bryan, J.; Chang, W.; McGowan, L.; François, R.; Grolemund, G.; Hayes, A.; Henry, L.; Hester, J.; et al. Welcome to the tidyverse. J. Open Source Softw. 2019, 4, 1686. [Google Scholar] [CrossRef]
- Dalling, J.W.; John, R. Seed limitation and the coexistence of pioneer tree species. In Tropical Forest Community Ecology; Carson, W.P., Schnitzer, S.A., Eds.; Wiley-Blackwell Publications: London, UK, 2008; pp. 242–253. [Google Scholar]
- McComb, B. Wildlife Habitat Management: Concepts and Applications in Forestry, 2nd ed.; CRC Press: Boca Raton, FL, USA, 2015. [Google Scholar]
- Swihart, R.K.; Saunders, M.R.; Kalb, R.A.; Haulton, G.S.; Michler, C.H. The Hardwood Ecosystem Experiment: A Framework for Studying Responses to Forest Management; U.S. Department of Agriculture: Washington, DC, USA, 2013. [Google Scholar]
- Davis, M.A. Effects of Fire Frequency on Tree Canopy Cover at Allison Savanna, Eastcentral Minnesota, USA. Nat. Areas J. 1995, 15, 319–328. [Google Scholar]
- Gilliam, F.S.; Turrill, N.L.; Adams, M.B. Herbaceous-Layer and Overstory Species in Clear-cut and Mature Central Appalachian Hardwood Forests. Ecol. Appl. 1995, 5, 947–955. [Google Scholar] [CrossRef]
- Sagar, R.; Pandey, A.; Singh, J.S. Composition, species diversity, and biomass of the herbaceous community in dry tropical forest of northern India in relation to soil moisture and light intensity. Environmentalist 2012, 32, 485–493. [Google Scholar] [CrossRef]
- Dezzotti, A.; Mortoro, A.; Medina, A.; Sbrancia, R.; Beltrán, H.A. Plant richness and life form diversity along vegetation and forest use gradients in Northwestern Patagonia of Argentina. CERNE 2019, 25, 301–313. [Google Scholar] [CrossRef]
- Bunyavejchewin, S. Canopy Structure of the Dry Dipterocarp Forest of Thailand. Thai For. Bull. 1983, 14, 1–93. [Google Scholar]
- Khaing, T.T.; Pasion, B.O.; Lapuz, R.S.; Tomlinson, K.W. Determinats of composition, diversity and structure in a seasonally dry forest in Myanmar. Glob. Ecol. Conserv. 2019, 19, e00669. [Google Scholar] [CrossRef]
- Mondal, N.; Sukumar, R. Fires in Seasonally Dry Tropical Forest: Testing the Varying Constraints Hypothesis across a Regional Rainfall Gradient. PLoS ONE 2016, 11, e0159691. [Google Scholar] [CrossRef]
- Nguyen Thi, T. Savanna Dynamics in Seasonal Tropical Forests: How Fire, Grass, and Drought Shape Deciduous Dipterocarp Forests in Continental Southeast Asia. Ph.D. Thesis, The University of Melbourne, Victoria, Australia, 2017. [Google Scholar]
- Shorohova, E.; Kuuluvainen, T.; Kangur, A.; Jõgiste, K. Natural stand structures, disturbance regimes and successional dynamics in the Eurasian boreal forests: A review with special reference to Russian studies. Ann. For. Sci. 2009, 66, 201–220. [Google Scholar] [CrossRef]
- Bowles, M.; Apfelbaum, S.; Haney, A.; Lehnhardt, S.; Post, T. Canopy cover and groundlayer vegetation dynamics in a fire managed eastern sand savanna. For. Ecol. Manag. 2011, 262, 1972–1982. [Google Scholar] [CrossRef]
- Coppoletta, M.; Merriam, K.E.; Collins, B.M. Post-fire vegetation and fuel development influence fire severity patterns in reburns. Ecol. Appl. 2016, 26, 686–699. [Google Scholar] [CrossRef] [PubMed]
- Veldman, J.; Mattingly, W.; Brudvig, L. Understory plant communities and the functional distinction between savanna trees, forest trees, and pines. Ecology 2013, 94, 424–434. [Google Scholar] [CrossRef] [PubMed]
- Lyon, L.J.; Jensen, C.E. Management Implications of Elk and Deer Use of Clear-Cuts in Montana. J. Wildl. Manag. 1980, 44, 352–562. [Google Scholar] [CrossRef]
- Richards, L.A.; Coley, P.D. Seasonal and habitat differences affect the impact of food and predation on herbivores: A comparison between gaps and understory of a tropical forest. Oikos 2007, 116, 31–40. [Google Scholar] [CrossRef]






| Forest Types * | No. of Plot | Total Number of Species | %Canopy Cover (±1 SE) | Significant Difference | |||
|---|---|---|---|---|---|---|---|
| Before Fire | After Fire | Before Fire | After Fire | of Canopy Cover | |||
| (Nov.–Dec. 2018) | (May–Jun. 2019) | (Nov.–Dec. 2018) | (May–Jun. 2019) | W ** | p-Value | ||
| Burned plots (burned in January 2019,n= 100) | |||||||
| DDF | 41 | 213 | 219 | 67.98 ± 1.62 | 69.08 ± 1.45 | 923.0 | 0.447 |
| MDF | 23 | 159 | 169 | 75.38 ± 1.37 | 66.08 ± 2.10 | 120.0 | 0.001 |
| MDFB | 34 | 195 | 188 | 74.91 ± 1.212 | 72.73 ± 1.99 | 553.0 | 0.617 |
| OA | 2 | 22 | 13 | 0.00 ± 0.00 | 5.64 ± 5.64 | 3.00 | 0.617 |
| All forest types | 100 | 356 | 330 | 70.68 ± 1.36 | 68.37 ± 1.38 | 4378.5 | 0.129 |
| Unburned plots (unaffected by 2019 fire,n= 28) | |||||||
| DDF | 7 | 92 | 87 | 70.45 ± 3.07 | 67.39 ± 3.28 | 18.0 | 0.456 |
| MDF | 4 | 51 | 56 | 75.24 ± 4.66 | 73.29 ± 2.37 | 7.0 | 0.886 |
| MDFB | 10 | 111 | 110 | 75.66 ± 1.42 | 73.03 ± 3.14 | 40.0 | 0.481 |
| OA | 7 | 74 | 58 | 16.32 ± 10.47 | 18.10 ± 10.34 | 29.0 | 0.595 |
| All forest types | 28 | 240 | 229 | 59.47 ± 5.51 | 57.92 ± 5.25 | 351.0 | 0.507 |
| Forest Types * | Before Fire (Nov.–Dec. 2018) | After Fire (May–Jun. 2019) | ||||||
|---|---|---|---|---|---|---|---|---|
| Botanical Names | Life Form | AGB (kg ha) | Obs Freq | Botanical Names | Life Form | AGB (kg ha) | Obs Freq | |
| DDF | Polyalthia debilis | Shrub | 75.92 ± 43.70 | 17 | Croton hutchinsonianus | Tree | 120.14 ± 40.23 | 21 |
| (n = 41) | Helicteres angustifolia | Shrub | 74.51 ± 27.43 | 16 | Shorea obtusa | Tree | 56.43 ± 40.42 | 9 |
| Croton hutchinsonianus | Tree | 52.09 ± 21.89 | 18 | Phyllodium insigne | Shrub | 34.48 ± 14.76 | 10 | |
| Shorea obtusa | Tree | 43.04 ± 23.57 | 9 | Polyalthia debilis | Shrub | 31.05 ± 11.35 | 19 | |
| Phyllodium insigne | Shrub | 40.46 ± 13.90 | 11 | Dillenia obovata | Tree | 27.13 ± 17.16 | 8 | |
| MDF | Cyrtococcum accrescens | Grass | 74.46 ± 21.09 | 17 | Croton hutchinsonianus | Tree | 114.95 ± 36.17 | 14 |
| (n = 23) | Dendrolobium rugosum | Shrub | 58.31 ± 27.27 | 11 | Polyalthia debilis | Shrub | 102.88 ± 89.57 | 7 |
| Chromolaena odorata | Forb | 57.31 ± 32.29 | 9 | Harrisonia perforata | Shrub | 70.17 ± 64.61 | 4 | |
| Croton hutchinsonianus | Tree | 51.24 ± 24.02 | 10 | Dendrolobium rugosum | Shrub | 35.05 ± 22.33 | 8 | |
| Helicteres isora | Shrub | 46.68 ± 32.22 | 6 | Caesalpinia sp.1 | Shrub | 27.64 ± 27.23 | 2 | |
| MDFB | Helicteres isora | Shrub | 40.20 ± 21.89 | 5 | Alangium indochinense | Tree | 36.30 ±34.69 | 6 |
| (n = 34) | Cyrtococcum accrescens | Grass | 34.79 ±11.69 | 17 | Thyrsostachys siamensis | Bamboo | 20.89 ± 17.29 | 3 |
| Ottochloa nodosa | Grass | 26.47 ± 9.46 | 21 | Berrya mollis | Tree | 15.69 ± 15.69 | 1 | |
| Chromolaena odorata | Forb | 21.93 ± 8.80 | 11 | Sterculia guttata | Tree | 14.17 ± 8.67 | 8 | |
| Polyalthia debilis | Shrub | 20.64 ± 9.19 | 5 | Xylia xylocarpa | Tree | 13.77 ± 13.23 | 3 | |
| OA | Paspalum notatum | Grass | 458.33 ± 134.67 | 2 | Sida cordifolia | Shrub | 949.02 ± 942.36 | 2 |
| (n = 2) | Euploca strigosa | Forb | 267.83 ± 252.17 | 2 | Mimosa pigra | Shrub | 29.33 ± 23.67 | 2 |
| Eragrostis montana | Grass | 142.33 ± 113.33 | 2 | Sida acuta | Shrub | 21.33 ± 21.33 | 1 | |
| Cyperus isolepis | Grass | 135.83 ± 54.17 | 2 | Scoparia dulcis | Forb | 20.67 ± 17.33 | 2 | |
| Amaranthus spinosus | Forb | 131.67 ± 130.67 | 2 | Tephrosia purpurea | Forb | 12.83 ± 1.83 | 2 | |
| Forest Types * | Before Fire (Nov.–Dec. 2018) | After Fire (May–Jun. 2019) | ||||||
|---|---|---|---|---|---|---|---|---|
| Botanical Names | Life Form | AGB (kg ha) | Obs Freq | Botanical Names | Life Form | AGB (kg ha) | Obs Freq | |
| DDF | Streptocaulon juventas | Forb | 8.70 ± 2.05 | 26 | Setaria parviflora | Grass | 13.75 ± 3.46 | 29 |
| (n = 41) | Shorea siamensis | Tree | 18.29 ± 8.92 | 21 | Streptocaulon juventas | Forb | 7.51 ± 1.65 | 28 |
| Setaria parviflora | Grass | 20.85 ± 11.30 | 19 | Cyanotis burmanniana | Forb | 0.79 ± 0.26 | 25 | |
| Croton hutchinsonianus | Tree | 52.09 ± 21.89 | 18 | Croton hutchinsonianus | Tree | 120.14 ± 40.23 | 21 | |
| Uvaria ferruginea | Shrub | 21.48 ± 10.23 | 18 | Polyalthia debilis | Shrub | 31.05 ± 11.35 | 19 | |
| MDF | Cyrtococcum accrescens | Grass | 74.46 ± 21.09 | 17 | Ottochloa nodosa | Grass | 16.45 ± 7.18 | 17 |
| (n = 23) | Dendrolobium rugosum | Shrub | 58.31 ± 27.27 | 11 | Croton hutchinsonianus | Tree | 114.95 ± 36.17 | 14 |
| Ottochloa nodosa | Grass | 17.21 ± 6.45 | 11 | Cayratia trifolia | Forb | 1.55 ± 0.81 | 13 | |
| Croton hutchinsonianus | Tree | 51.24 ± 24.02 | 10 | Senegalia comosa | Shrub | 7.17 ± 4.10 | 9 | |
| Senegalia comosa | Shrub | 8.24 ± 4.64 | 10 | Commelina cf. paludosa | Forb | 2.83 ± 0.97 | 9 | |
| MDFB | Commelina cf. paludosa | Forb | 3.80 ± −0.91 | 26 | Commelina cf. paludosa | Forb | 4.99 ± 1.16 | 26 |
| (n = 34) | Ottochloa nodosa | Grass | 26.47 ± 9.46 | 21 | Ottochloa nodosa | Grass | 9.38 ± 3.47 | 17 |
| Cyrtococcum accrescens | Grass | 34.79 ± 11.69 | 17 | Kaempferia sp.1 | Forb | 1.02 ± 0.41 | 16 | |
| Globba sp.1 | Forb | 1.90 ± 0.90 | 17 | Cayratia trifolia | Forb | 1.07 ± 0.39 | 15 | |
| Oplismenus compositus | Grass | 9.56 ± 4.16 | 12 | Zingiber zerumbet | Forb | 3.03 ± 1.34 | 14 | |
| OA | Paspalum notatum | Grass | 458.33 ± 134.67 | 2 | Sida cordifolia | Shrub | 949.02 ± 942.36 | 2 |
| (n = 2) | Euploca strigosa | Forb | 267.83 ± 252.17 | 2 | Mimosa pigra | Shrub | 29.33 ± 23.67 | 2 |
| Eragrostis montana | Grass | 142.33 ± 113.33 | 2 | Scoparia dulcis | Forb | 20.67 ± 17.33 | 2 | |
| Cyperus isolepis | Grass | 135.83 ± 54.17 | 2 | Tephrosia purpurea | Forb | 12.83 ± 1.83 | 2 | |
| Amaranthus spinosus | Forb | 131.67 ± 130.67 | 2 | Alternanthera sessilis | Forb | 8.50 ± 5.50 | 2 | |
| Forest Types * | No. of Plot | AGB (kg ha ± 1 SE) | Significant Difference | ||
|---|---|---|---|---|---|
| Before Fire | After Fire | of AGB | |||
| Nov.–Dec. 2018) | (May–Jun. 2019) | W ** | p-Value | ||
| Burned plots (burned in February 2019) | |||||
| DDF | 41 | 803.79 ± 85.82 | 707.08 ± 92.62 | 738.0 | 0.346 |
| MDF | 23 | 718.64 ± 101.28 | 679.27 ± 150.59 | 192.0 | 0.114 |
| MDFB | 34 | 544.23 ± 67.78 | 352.37 ± 59.50 | 405.0 | 0.034 |
| OA | 2 | 1775.42 ± 221.92 | 1078.52 ± 945.86 | 2.0 | 1.000 |
| All forest types | 100 | 715.39 ± 51.33 | 587.51 ± 58.99 | 3903.0 | 0.007 |
| Unburned plots (unaffected by 2019 fire) | |||||
| DDF | 7 | 638.30 ± 221.08 | 965.05 ± 300.27 | 32.0 | 0.383 |
| MDF | 4 | 1178.17 ± 398.32 | 939.09 ± 279.68 | 6.0 | 0.686 |
| MDFB | 10 | 974.95 ± 218.87 | 466.60 ± 128.25 | 26.0 | 0.075 |
| OA | 7 | 1477.67 ± 384.46 | 2406.46 ± 603.36 | 33.0 | 0.318 |
| All forest types | 28 | 1045.50 ± 150.24 | 1143.68 ± 223.11 | 376.0 | 0.801 |
| Species | AGB (kg ha ± 1SE) | Density (Stem/ha ± 1 SE) | ||
|---|---|---|---|---|
| Before Fire | After Fire | Before Fire | After Fire | |
| (Nov.–Dec. 2018) | (May–Jun. 2019) | (Nov.–Dec. 2018) | (May–Jun. 2019) | |
| Croton hutchinsonianus | 45.72 ± 18.84 | 105.00 ± 34.79 | 6736.11 ± 1912.92 | 15,138.89 ± 4138.75 |
| Dipterocarpus obtusifolius | 0.00 ± 0.00 | 16.06 ± 10.95 | 0.00 ± 0.00 | 1041.67 ± 666.93 |
| Dipterocarpus tuberculatus | 0.65 ± 0.65 | 1.94 ± 1.94 | 69.44 ± 69.44 | 277.78 ± 277.78 |
| Shorea obtusa | 41.51 ± 20.55 | 16.06 ± 10.95 | 7430.55 ± 3271.05 | 4722.22 ± 1788.77 |
| Shorea siamensis | 16.31 ± 7.66 | 14.97 ± 6.71 | 14,097.22 ± 3395.17 | 7083.33 ± 1608.39 |
| Grass Biomass (kg ha) | Overall Understory Biomass (kg ha) | Forest Types * | Location | Source |
|---|---|---|---|---|
| 72.79 ± 22.41 | 779.65 ± 79.60 | DDF | Thailand | This study (before fire) |
| 519.50 | 1338.60 | DDF | Thailand | Wanussakul (1989) [27] in |
| Shorea siamensis Stand (November) | ||||
| 680.00 | 1295.00 | DDF | Thailand | Kanjanavanit (1992) [28] in November |
| 85.90 ± 11.50 | 3803.40 | DDF | Thailand | Wanthongchai et al. (2008) [7] |
| in unburned site | ||||
| 236.00 ± 61.30 | 3328.00 | DDF | Thailand | Wanthongchai et al. (2008) [7] |
| in rarely burned site | ||||
| 947.20 ± 135.20 | 1448.80 | DDF | Thailand | Wanthongchai et al. (2008) [7] |
| in frequency burned site | ||||
| 1930 | 2620.00 | DDF | Thailand | Himmapan & Kaitpraneet (2008) [29] |
| 588.00 | - | SDTF | India | Mondal & Sukumar (2016) [52] |
| 106.64 ± 14.41 | - | DDF | Vietnam | Nguyen (2017) [53] |
Publisher’s Note: MDPI stays neutral with regard to jurisdictional claims in published maps and institutional affiliations. |
© 2022 by the authors. Licensee MDPI, Basel, Switzerland. This article is an open access article distributed under the terms and conditions of the Creative Commons Attribution (CC BY) license (https://creativecommons.org/licenses/by/4.0/).
Share and Cite
Phumsathan, S.; Daonurai, K.; Kraichak, E.; Sungkaew, S.; Teerawatananon, A.; Pongpattananurak, N. Effects of Fire on Diversity and Aboveground Biomass of Understory Communities in Seasonally Dry Tropical Forest in Western Thailand. Sustainability 2022, 14, 15067. https://doi.org/10.3390/su142215067
Phumsathan S, Daonurai K, Kraichak E, Sungkaew S, Teerawatananon A, Pongpattananurak N. Effects of Fire on Diversity and Aboveground Biomass of Understory Communities in Seasonally Dry Tropical Forest in Western Thailand. Sustainability. 2022; 14(22):15067. https://doi.org/10.3390/su142215067
Chicago/Turabian StylePhumsathan, Sangsan, Kunanon Daonurai, Ekaphan Kraichak, Sarawood Sungkaew, Atchara Teerawatananon, and Nantachai Pongpattananurak. 2022. "Effects of Fire on Diversity and Aboveground Biomass of Understory Communities in Seasonally Dry Tropical Forest in Western Thailand" Sustainability 14, no. 22: 15067. https://doi.org/10.3390/su142215067
APA StylePhumsathan, S., Daonurai, K., Kraichak, E., Sungkaew, S., Teerawatananon, A., & Pongpattananurak, N. (2022). Effects of Fire on Diversity and Aboveground Biomass of Understory Communities in Seasonally Dry Tropical Forest in Western Thailand. Sustainability, 14(22), 15067. https://doi.org/10.3390/su142215067

