Longitudinal Patterns in Fish Assemblages after Long-Term Ecological Rehabilitation in the Taizi River, Northeastern China
Abstract
1. Introduction
2. Materials and Methods
2.1. Study Area
2.2. Field Sampling
2.3. Data Analysis
3. Results
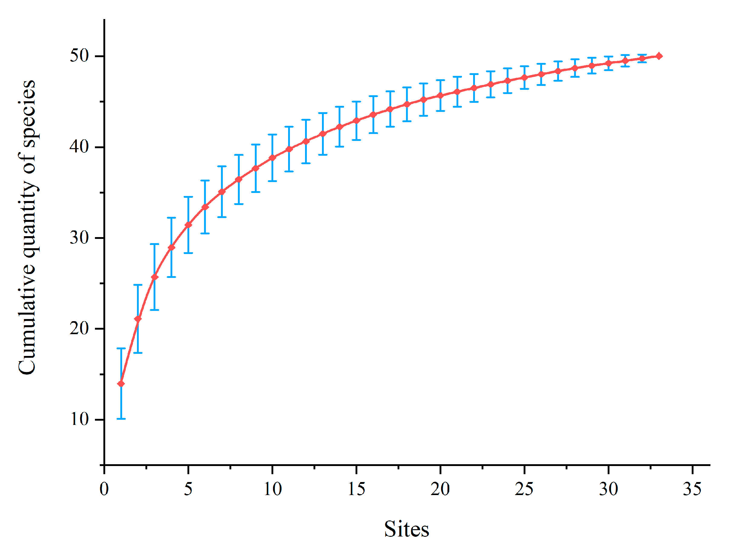
3.1. Fish Composition
3.2. Spatial Distribution Pattern of Fish Communities
3.3. Correlation between Fish Assemblage Structure and Environmental Factors
4. Discussion
4.1. Species Composition
4.2. Shifts in Longitudinal Fish Assemblage Patterns
4.3. Suggestions for Shortcomings in the Use of Zonation Concepts
4.4. Implications for Protection and Rehabilitation
4.5. Limitations
5. Conclusions
- (1)
- A total of 50 fish species were collected and the dominant species were P. lagowskii, Z. platypus, C. auratus and P. parva. Although long-term ecological rehabilitation has restored the fish fauna to some extent, it cannot effectively prevent fish assemblages from degradation, indicating that the current ecological rehabilitation framework needs to be urgently evaluated and improved based on new research data.
- (2)
- The fish assemblage could be divided into two fish zones along the longitudinal gradient. The spatial variance in fish assemblages was mainly determined by cultivated land coverage and urban land coverage. This fish organization pattern was probably due to a combination of species replacement and addition, but species replacement was the main underlying mechanism.
- (3)
- The shift from three fish zones to two fish zones was detected for the longitudinal fish distribution pattern in the Taizi River. This change might be attributed to a combination of the increasing anthropogenic habitat alterations from the upstream toward the downstream regions, the cumulative impacts of dams, and the environmental homogeneity between the upstream and the midstream regions.
- (4)
- A disturbed fish zone and an undisturbed fish zone were proposed according the degree of human-induced influences. The management objectives should focus on natural habitat protection in the mid-upstream region, while ecological rehabilitation should be the main goal in the downstream region.
Supplementary Materials
Author Contributions
Funding
Institutional Review Board Statement
Informed Consent Statement
Data Availability Statement
Acknowledgments
Conflicts of Interest
References
- Reid, A.J.; Carlson, A.K.; Creed, I.F.; Eliason, E.J.; Gell, P.A.; Johnson, P.T.J.; Kidd, K.A.; MacCormack, T.J.; Olden, J.D.; Ormerod, S.J.; et al. Emerging threats and persistent conservation challenges for freshwater biodiversity. Biol. Rev. 2019, 94, 849–873. [Google Scholar] [CrossRef] [PubMed]
- Su, G.; Logez, M.; Xu, J.; Tao, S.; Villéger, S.; Brosse, S. Human impacts on global freshwater fish biodiversity. Science 2021, 371, 835–838. [Google Scholar] [CrossRef] [PubMed]
- Van der Laan, R. Freshwater Fish List, 35th ed.; Richard van der Laan ALMERE: Amsterdam, The Netherlands, 2022. [Google Scholar]
- Villéger, S.; Brosse, S.; Mouchet, M.; Mouillot, D.; Vanni, M.J. Functional ecology of fish: Current approaches and future challenges. Aquat. Sci. 2017, 79, 783–801. [Google Scholar] [CrossRef]
- Magurran, A.E. Ecological Diversity and Its Measurement; Princeton University Press: Princeton, NJ, USA, 1988. [Google Scholar]
- Vörösmarty, C.J.; McIntyre, P.B.; Gessner, M.O.; Dudgeon, D.; Prusevich, A.; Green, P.; Glidden, S.; Bunn, S.E.; Sullivan, C.A.; Liermann, C.R.; et al. Global threats to human water security and river biodiversity. Nature 2010, 467, 555–561. [Google Scholar] [CrossRef]
- Gerbersdorf, S.U.; Hollert, H.; Brinkmann, M.; Wieprecht, S.; Schüttrumpf, H.; Manz, W. Anthropogenic pollutants affect ecosystem services of freshwater sediments: The need for a “triad plus x” approach. J. Soils Sediments 2011, 11, 1099–1114. [Google Scholar] [CrossRef]
- Williams-Subiza, E.A.; Epele, L.B. Drivers of biodiversity loss in freshwater environments: A bibliometric analysis of the recent literature. Aquat. Conserv. Mar. Freshw. Ecosyst. 2021, 31, 2469–2480. [Google Scholar] [CrossRef]
- Humphries, P.; Keckeis, H.; Finlayson, B. The River Wave Concept: Integrating River Ecosystem Models. BioScience 2014, 64, 870–882. [Google Scholar] [CrossRef]
- Leibold, M.A.; Holyoak, M.; Mouquet, N.; Amarasekare, P.; Chase, J.M.; Hoopes, M.F.; Holt, R.D.; Shurin, J.B.; Law, R.; Tilman, D.; et al. The metacommunity concept: A framework for multi-scale community ecology. Ecol. Lett. 2004, 7, 601–613. [Google Scholar] [CrossRef]
- Lorenz, C.M.; Dijk, G.M.V.; Hattum, A.G.M.V.; Cofino, W.P. Concepts in river ecology implications for indicatior development. Regul. River 1997, 13, 501–516. [Google Scholar]
- Melles, S.J.; Jones, N.E.; Schmidt, B. Review of theoretical developments in stream ecology and their influence on stream classification and conservation planning. Freshw. Biol. 2012, 57, 415–434. [Google Scholar] [CrossRef]
- Poole, G.C. Fluvial landscape ecology addressing uniqueness within the river discontinuum. Freshw. Biol. 2002, 47, 641–660. [Google Scholar]
- Huet, M. Profiles and Biology of Western European Streams as Related to Fish Management. Trans. Am. Fish. Soc. 1959, 88, 155–163. [Google Scholar] [CrossRef]
- Vannote, R.L.; Minshall, G.W.; Cummmins, K.W.; Sedell, J.R.; Cushing, A.C.E. The River Continuum Concept. Can. J. Fish. Aquat. Sci. 1980, 37, 130–137. [Google Scholar]
- Ward, J.V.; Stanford, J.A. The serial discontinuity concept: Extending the model to floodplain rivers. Regul. Rivers Res. Manag. 1995, 10, 159–168. [Google Scholar] [CrossRef]
- Roset, N.; Grenouillet, G.; Goffaux, D.; Pont, D.; Kestemont, P. A review of existing fish assemblage indicators and methodologies. Fish. Manag. Ecol. 2007, 14, 393–405. [Google Scholar] [CrossRef]
- Araújo, F.G.; Pinto, B.C.T.; Teixeira, T.P. Longitudinal patterns of fish assemblages in a large tropical river in southeastern Brazil: Evaluating environmental influences and some concepts in river ecology. Hydrobiologia 2009, 618, 89–107. [Google Scholar] [CrossRef]
- Liu, F.; Li, M.; Wang, J.; Gong, Z.; Liu, M.; Liu, H.; Lin, P. Species composition and longitudinal patterns of fish assemblages in the middle and lower Yarlung Zangbo River, Tibetan Plateau, China. Ecol. Indic. 2021, 125, 107542. [Google Scholar] [CrossRef]
- Suvarnaraksha, A.; Lek, S.; Lek-Ang, S.; Jutagate, T. Fish diversity and assemblage patterns along the longitudinal gradient of a tropical river in the Indo-Burma hotspot region (Ping-Wang River Basin, Thailand). Hydrobiologia 2012, 694, 153–169. [Google Scholar] [CrossRef]
- Wang, X.; Li, S.; Price, M.; Lei, Y.; Wu, B.; Liu, K.; Song, Z. Longitudinal and seasonal patterns of fish assemblage structure in the Zhougong River, Sichuan Province, southwest China. Ecol. Indic. 2019, 107, 105656. [Google Scholar] [CrossRef]
- Zare-Shahraki, M.; Ebrahimi-Dorche, E.; Bruder, A.; Flotemersch, J.; Blocksom, K.; Bănăduc, D. Fish Species Composition, Distribution and Community Structure in Relation to Environmental Variation in a Semi-Arid Mountainous River Basin, Iran. Water 2022, 14, 2226. [Google Scholar] [CrossRef]
- Zeng, L.; Zhou, L.; Guo, D.-L.; Fu, D.-H.; Xu, P.; Zeng, S.; Tang, Q.-D.; Chen, A.-L.; Chen, F.-Q.; Luo, Y.; et al. Ecological effects of dams, alien fish, and physiochemical environmental factors on homogeneity/heterogeneity of fish community in four tributaries of the Pearl River in China. Ecol. Evol. 2017, 7, 3904–3915. [Google Scholar] [CrossRef] [PubMed]
- Rahel, F.J.; Hubert, W.A. Fish Assemblages and Habitat Gradients in a Rocky Mountain–Great Plains Stream: Biotic Zonation and Additive Patterns of Community Change. Trans. Am. Fish. Soc. 1991, 120, 319–332. [Google Scholar] [CrossRef]
- Belliard, J.; Boët, P.; Tales, E. Regional and longitudinal patterns of fish community structure in the Seine River basin, France. J. Appl. Phycol. 1997, 50, 133–147. [Google Scholar] [CrossRef]
- Jenkins, R.E.; Freeman, C.A. Longitudinal distribution and habitat of the fishes of Mason Creek, an upper Roanoke River drainage tributary, Virginia. Science 1972, 23, 194–202. [Google Scholar]
- Sheldon, A.L. Species Diversity and Longitudinal Succession in Stream Fishes. Ecology 1968, 49, 193–198. [Google Scholar] [CrossRef]
- Park, Y.S.; Oberdorff, T.; Lek, S. Patterning riverine fish assemblages using an unsupervised neural network. In Modelling Community Structure in Freshwater Ecosystems; Springer: Berlin/Heidelberg, Germany, 2005; pp. 43–53. [Google Scholar] [CrossRef]
- Baselga, A. Partitioning the turnover and nestedness components of beta diversity. Glob. Ecol. Biogeogr. 2010, 19, 134–143. [Google Scholar] [CrossRef]
- Taylor, C.M.; Warren, M.L., Jr. Dynamics in species composition of stream fishassemblages environmental variability and nestedsubsets. Ecology 2001, 82, 2320–2330. [Google Scholar] [CrossRef]
- Zbinden, Z.D.; Matthews, W.J. Beta diversity of stream fish assemblages: Partitioning variation between spatial and environmental factors. Freshw. Biol. 2017, 62, 1460–1471. [Google Scholar] [CrossRef]
- Chen, W.; Liu, L.; Wang, J.; Zhou, L. Threatened freshwater fish need protection. Science 2021, 374, 164. [Google Scholar] [CrossRef]
- Foubert, A.; Lecomte, F.; Legendre, P.; Cusson, M. Spatial organisation of fish communities in the St. Lawrence River: A test for longitudinal gradients and spatial heterogeneities in a large river system. Hydrobiologia 2018, 809, 155–173. [Google Scholar] [CrossRef]
- Qu, X.; Peng, W.; Liu, Y.; Zhang, M.; Ren, Z.; Wu, N.; Liu, X. Networks and ordination analyses reveal the stream community structures of fish, macroinvertebrate and benthic algae, and their responses to nutrient enrichment. Ecol. Indic. 2019, 101, 501–511. [Google Scholar] [CrossRef]
- Wan, J.; Bu, H.; Zhang, Y.; Meng, W. Classification of rivers based on water quality assessment using factor analysis in Taizi River basin, northeast China. Environ. Earth Sci. 2013, 69, 909–919. [Google Scholar] [CrossRef]
- Ding, S.; Zhang, Y.; Qu, X.-D.; Kong, W.-J.; Liu, S.-S.; Meng, W. Influence on the spatial distribution of fish in Taizi River basin by environmental factors at multiple scales. Huan Jing Ke Xue = Huanjing Kexue 2012, 33, 2272–2280. [Google Scholar]
- Ding, S.; Zhang, Y.; Liu, B.; Kong, W.; Meng, W. Effects of riparian land use on water quality and fish communities in the headwater stream of the Taizi River in China. Front. Environ. Sci. Eng. 2013, 7, 699–708. (In Chinese) [Google Scholar] [CrossRef]
- Wang, W.; Wang, B.; He, X.; Qu, X.; Zhang, Y. Study of zoning and distribution characteristics of fish in Taizi River. Res. Environ. Sci. 2013, 26, 494–501. (In Chinese) [Google Scholar]
- Zhang, Y.; Ding, S.; Bentsen, C.N.; Ma, S.; Jia, X.; Meng, W. Differences in stream fish assemblages subjected to different levels of anthropogenic pressure in the Taizi River catchment, China. Ichthyol. Res. 2015, 62, 450–462. [Google Scholar] [CrossRef]
- Zhang, Y.; Wang, X.-N.; Ding, H.-Y.; Dai, Y.; Ding, S.; Gao, X. Threshold Responses in the Taxonomic and Functional Structure of Fish Assemblages to Land Use and Water Quality: A Case Study from the Taizi River. Water 2019, 11, 661. [Google Scholar] [CrossRef]
- Kong, W.; Meng, W.; Zhang, Y.; Gippel, C.; Qu, X. A freshwater ecoregion delineation approach based on freshwater macroinvertebrate community features and spatial environmental data in Taizi River Basin, northeastern China. Ecol. Res. 2013, 28, 581–592. [Google Scholar] [CrossRef]
- Allan, J.D. Landscapes and Riverscapes: The Influence of Land Use on Stream Ecosystems. Annu. Rev. Ecol. Evol. Syst. 2004, 35, 257–284. [Google Scholar] [CrossRef]
- Tóth, R.; Czeglédi, I.; Kern, B.; Erős, T. Land use effects in riverscapes: Diversity and environmental drivers of stream fish communities in protected, agricultural and urban landscapes. Ecol. Indic. 2019, 101, 742–748. [Google Scholar] [CrossRef]
- Jun, C.; Ban, Y.; Li, S. Open access to Earth land-cover map. Nature 2014, 514, 434. [Google Scholar] [CrossRef] [PubMed]
- Clarke, K.R. Non-parametric multivariate analyses of changes in community structure. Aust. J. Ecol. 1993, 18, 117–143. [Google Scholar] [CrossRef]
- Clarke, K.R.; Warwick, R.M. Change in Marine Communities: An Approach to Statistical Analysis and Interpretation; Primer-E Ltd.: Plymouth, UK, 2001. [Google Scholar]
- Clarke, K.; Gorley, R. PRIMER v6: User Manual/Tutorial (Plymouth Routines in Multivariate Ecological Research); Primer-E Ltd.: Plymouth, UK, 2006. [Google Scholar]
- Milauer, P.; Lepš, J. Multivariate Analysis of Ecological Data Using CANOCO 5; Cambridge University Press: Cambridge, UK, 2014. [Google Scholar]
- Jiang, Z.; Jiang, J.; Wang, Y.; Zhang, E.; Zhang, Y.; Li, L.; Xie, F.; Cai, B.; Cao, L.; Zheng, G.; et al. Red List of China’s Vertebrates. Biodivers. Sci. 2016, 24, 500–551. [Google Scholar]
- Chen, Y.; Qu, X.; Xiong, F.; Lu, Y.; Wang, L.; Hughes, R.M. Challenges to saving China’s freshwater biodiversity: Fishery exploitation and landscape pressures. Ambio 2020, 49, 926–938. [Google Scholar] [CrossRef] [PubMed]
- Thorp, J.H.; Thoms, M.C.; Delong, M.D. The riverine ecosystem synthesis: Biocomplexity in river networks across space and time. River Res. Appl. 2006, 22, 123–147. [Google Scholar] [CrossRef]
- Welcomme, R.L.; Winemiller, K.O.; Cowx, I.G. Fish environmental guilds as a tool for assessment of ecological condition of rivers. River Res. Appl. 2006, 22, 377–396. [Google Scholar] [CrossRef]
- Wang, Y.; Zhang, Y.; Gao, X.; Ma, S.; Yin, X.; Ding, S. Analysis of fish community distribution and its relationship with environmental factors in different freshwater eco-regions of Taizi River Basin. Res. Environ. Sci. 2016, 29, 192–201. (In Chinese) [Google Scholar]
- Bierschenk, A.M.; Mueller, M.; Pander, J.; Geist, J. Impact of catchment land use on fish community composition in the headwater areas of Elbe, Danube and Main. Sci. Total Environ. 2019, 652, 66–74. [Google Scholar] [CrossRef]
- Nazeer, S.; Hashmi, M.Z.; Malik, R.N. Spatial and seasonal dynamics of fish assemblage along river Soan, Pakistan and its relationship with environmental conditions. Ecol. Indic. 2016, 69, 780–791. [Google Scholar] [CrossRef]
- Cao, Y.; Tang, C.; Cao, G.; Wang, X. Hydrochemical zoning: Natural and anthropogenic origins of the major elements in the surface water of Taizi River Basin, Northeast China. Environ. Earth Sci. 2016, 75, 811. [Google Scholar] [CrossRef]
- Ortega, J.C.G.; Bacani, I.; Dorado-Rodrigues, T.F.; Strüssmann, C.; Fernandes, I.M.; Morales, J.; Mateus, L.; da Silva, H.P.; Penha, J. Effects of urbanization and environmental heterogeneity on fish assemblages in small streams. Neotrop. Ichthyol. 2021, 19. [Google Scholar] [CrossRef]
- Borges, P.P.; Dias, M.; Carvalho, F.R.; Casatti, L.; Pompeu, P.S.; Cetra, M.; Garro, F.L.T.; Súarez, Y.R.; Nabout, J.C.; Teresa, F.B. Stream fish metacommunity organisation across a Neotropical ecoregion: The role of environment, anthropogenic impact and dispersal-based processes. PLoS ONE 2020, 15, e0233733. [Google Scholar] [CrossRef]
- Hewitt, J.; Thrush, S.; Lohrer, A.M.; Townsend, M. A latent threat to biodiversity: Consequences of small-scale heterogeneity loss. Biodivers. Conserv. 2010, 19, 1315–1323. [Google Scholar] [CrossRef]
- Wang, L.; Seelbach, P.W.; Hughes, R.M. Introduction to Landscape Influences on Stream Habitats and Biological Assemblages. Am. Fish. Soc. Symp. 2006, 48, 1–23. [Google Scholar]
- Cooper, A.R.; Infante, D.M.; Wehrly, K.E.; Wang, L.; Brenden, T.O. Identifying indicators and quantifying large-scale effects of dams on fishes. Ecol. Indic. 2016, 61, 646–657. [Google Scholar] [CrossRef]
- Ngor, P.B.; Legendre, P.; Oberdorff, T.; Lek, S. Flow alterations by dams shaped fish assemblage dynamics in the complex Mekong-3S river system. Ecol. Indic. 2018, 88, 103–114. [Google Scholar] [CrossRef]
- Wang, L.; Infante, D.; Lyons, J.; Stewart, J.; Cooper, A. Effects of dams in river networks on fish assemblages in non-impoundment sections of rivers in Michigan and Wisconsin, USA. River Res. Appl. 2011, 27, 473–487. [Google Scholar] [CrossRef]
- Wu, H.; Chen, J.; Xu, J.; Zeng, G.; Sang, L.; Liu, Q.; Yin, Z.; Dai, J.; Yin, D.; Liang, J.; et al. Effects of dam construction on biodiversity: A review. J. Clean. Prod. 2019, 221, 480–489. [Google Scholar] [CrossRef]
- Aarts, B.G.; Nienhuis, P.H. Fish zonations and guilds as the basis for assessment of ecological integrity of large rivers. Hydrobiologia 2003, 500, 157–178. [Google Scholar] [CrossRef]
- Lasne, E.; Bergerot, B.; Lek, S.; Laffaille, P. Fish zonation and indicator species for the evaluation of the ecological status of rivers: Example of the Loire basin (France). River Res. Appl. 2007, 23, 877–890. [Google Scholar] [CrossRef]
- Sutela, T.; Vehanen, T.; Jounela, P. Longitudinal patterns of fish assemblages in European boreal streams. Hydrobiologia 2020, 847, 3277–3290. [Google Scholar] [CrossRef]
- Albert, J.S.; Destouni, G.; Duke-Sylvester, S.M.; Magurran, A.E.; Oberdorff, T.; Reis, R.E.; Winemiller, K.O.; Ripple, W.J. Scientists’ warning to humanity on the freshwater biodiversity crisis. Ambio 2021, 50, 85–94. [Google Scholar] [CrossRef] [PubMed]
- Gao, X.; Zhang, Y.; Ding, S.; Zhao, R.; Meng, W. Response of fish communities to environmental changes in an agriculturally dominated watershed (Liao River Basin) in northeastern China. Ecol. Eng. 2015, 76, 130–141. [Google Scholar] [CrossRef]
- Esselman, P.C.; Infante, D.M.; Wang, L.; Cooper, A.R.; Wieferich, D.; Tsang, Y.-P.; Thornbrugh, D.J.; Taylor, W.W. Regional fish community indicators of landscape disturbance to catchments of the conterminous United States. Ecol. Indic. 2013, 26, 163–173. [Google Scholar] [CrossRef]
- Feio, M.J.; Hughes, R.M.; Callisto, M.; Nichols, S.J.; Odume, O.N.; Quintella, B.R.; Kuemmerlen, M.; Aguiar, F.C.; Almeida, S.F.; Alonso-Eguíalis, P.; et al. The Biological Assessment and Rehabilitation of the World’s Rivers: An Overview. Water 2021, 13, 371. [Google Scholar] [CrossRef]
- Yates, A.G.; Bailey, R.C. Selecting objectively defined reference sites for stream bioassessment programs. Environ. Monit. Assess. 2010, 170, 129–140. [Google Scholar] [CrossRef]









| Species | Average Abundance | Contribution% | |
|---|---|---|---|
| Group I | Group II | ||
| P. lagowskii | 221.86 | 1.89 | 35.59 |
| Z. plantypus | 57.07 | 35.84 | 10.96 |
| C. auratus | 9.57 | 40.74 | 6.56 |
| P. parva | 9.79 | 35.58 | 6.18 |
| R. ocellatus | 2.07 | 24.89 | 4.29 |
| H. leucisculus | 0.5 | 24.37 | 4.25 |
| R. cliffordpopei | 20.93 | 1.26 | 3.63 |
| O. latipes | 0.21 | 18.63 | 3.54 |
| H. chinssuensis | 18.71 | 3.53 | 3.08 |
| P. sinensis | 16.36 | 0.21 | 2.91 |
| C. sibirica | 18 | 0.47 | 2.84 |
| A. macropterus | 2.93 | 10.11 | 2.07 |
| R. giurinus | 7.86 | 7.21 | 1.77 |
| O. obscurus | 7.71 | 0.26 | 1.76 |
| B. nuda | 9.43 | 0.16 | 1.53 |
| Variables | Mid-Upstream | Downstream | p |
|---|---|---|---|
| AL (m) | 231.79 ± 111.20 | 26.11 ± 12.93 | 0.000 ** |
| WC (cm) | 44.29 ± 24.56 | 42.47 ± 27.17 | 0.845 |
| WD (m) | 0.47 ± 0.28 | 0.89 ± 0.56 | 0.014 * |
| WW (m) | 84.43 ± 65.78 | 94.53 ± 78.17 | 0.698 |
| CV (m/s) | 0.38 ± 0.18 | 0.21 ± 0.18 | 0.014 * |
| WT (°C) | 15.59 ± 1.52 | 17.42 ± 2.01 | 0.008 ** |
| DO (mg/L) | 10.93 ± 0.7 | 9.89 ± 1.32 | 0.015 * |
| pH | 8.39 ± 0.22 | 8.30 ± 0.22 | 0.286 |
| CODMn (mg/L) | 2.17 ± 0.36 | 4.88 ± 1.76 | 0.000 ** |
| TP (mg/L) | 0.17 ± 0.25 | 0.33 ± 0.20 | 0.053 |
| SRP (mg/L) | 0.03 ± 0.02 | 0.08 ± 0.09 | 0.031 * |
| TN (mg/L) | 2.75 ± 0.43 | 5.46 ± 2.24 | 0.000 ** |
| NO3−-N (mg/L) | 1.14 ± 0.31 | 1.91 ± 0.53 | 0.000 ** |
| NH4+-N (mg/L) | 0.20 ± 0.09 | 0.97 ± 1.056 | 0.011 * |
| NO2−-N (mg/L) | 0.004 ± 0.007 | 0.14 ± 0.11 | 0.000 ** |
| CL (%) | 0.22 ± 0.09 | 0.61 ± 0.23 | 0.000 ** |
| For (%) | 0.66 ± 0.17 | 0.10 ± 0.15 | 0.000 ** |
| Gra (%) | 0.07 ± 0.07 | 0.06 ± 0.07 | 0.509 |
| UL (%) | 0.05 ± 0.04 | 0.23 ± 0.13 | 0.000 ** |
| Factors | Explained % | Contribution % | Pseudo-F | p |
|---|---|---|---|---|
| CL | 28.3 | 56.7 | 12.2 | 0.002 |
| UL | 10.2 | 20.4 | 4.9 | 0.002 |
| CV | 3.0 | 6.1 | 1.5 | 0.120 |
| WT | 2.7 | 5.4 | 1.4 | 0.198 |
| WD | 2.5 | 5.0 | 1.3 | 0.228 |
| NH4+-N | 2.0 | 4.1 | 1.0 | 0.412 |
| DO | 1.1 | 2.2 | 0.5 | 0.876 |
Publisher’s Note: MDPI stays neutral with regard to jurisdictional claims in published maps and institutional affiliations. |
© 2022 by the authors. Licensee MDPI, Basel, Switzerland. This article is an open access article distributed under the terms and conditions of the Creative Commons Attribution (CC BY) license (https://creativecommons.org/licenses/by/4.0/).
Share and Cite
Wang, C.; Shao, J.; Ma, B.; Xie, J.; Li, D.; Liu, X.; Huo, B. Longitudinal Patterns in Fish Assemblages after Long-Term Ecological Rehabilitation in the Taizi River, Northeastern China. Sustainability 2022, 14, 14973. https://doi.org/10.3390/su142214973
Wang C, Shao J, Ma B, Xie J, Li D, Liu X, Huo B. Longitudinal Patterns in Fish Assemblages after Long-Term Ecological Rehabilitation in the Taizi River, Northeastern China. Sustainability. 2022; 14(22):14973. https://doi.org/10.3390/su142214973
Chicago/Turabian StyleWang, Caiyan, Jian Shao, Baoshan Ma, Jun Xie, Dapeng Li, Xiangjiang Liu, and Bin Huo. 2022. "Longitudinal Patterns in Fish Assemblages after Long-Term Ecological Rehabilitation in the Taizi River, Northeastern China" Sustainability 14, no. 22: 14973. https://doi.org/10.3390/su142214973
APA StyleWang, C., Shao, J., Ma, B., Xie, J., Li, D., Liu, X., & Huo, B. (2022). Longitudinal Patterns in Fish Assemblages after Long-Term Ecological Rehabilitation in the Taizi River, Northeastern China. Sustainability, 14(22), 14973. https://doi.org/10.3390/su142214973

