Laboratory Preparation and Performance Characterization of Steel Slag Ultrafine Powder Used in Cement-Based Materials
Abstract
1. Introduction
2. Materials and Experimental Methods
2.1. Raw Materials
2.2. Laboratory Preparation of SSUP
2.3. Experimental Methods
2.3.1. Laser Particle Size Analyzer
2.3.2. Automatic Specific Surface Area and Pore Analyzer
2.3.3. Scanning Electron Microscope
2.3.4. Water Requirement of Normal Consistency of Cement Paste with SSUP
2.3.5. Volume Stability of Cement Paste with SSUP
2.3.6. Isothermal Calorimetry of Cement Paste with SSUP
2.3.7. Strength of Cement Mortar with SSUP
2.3.8. X-ray Diffractometry of Cement Paste with SSUP
3. Results and Discussion
3.1. Influence of Preparation Process on Particle Size of SSUP
3.2. Microstructure of SSUP
3.3. Water Requirement of Normal Consistency
3.4. Soundness of SSUP
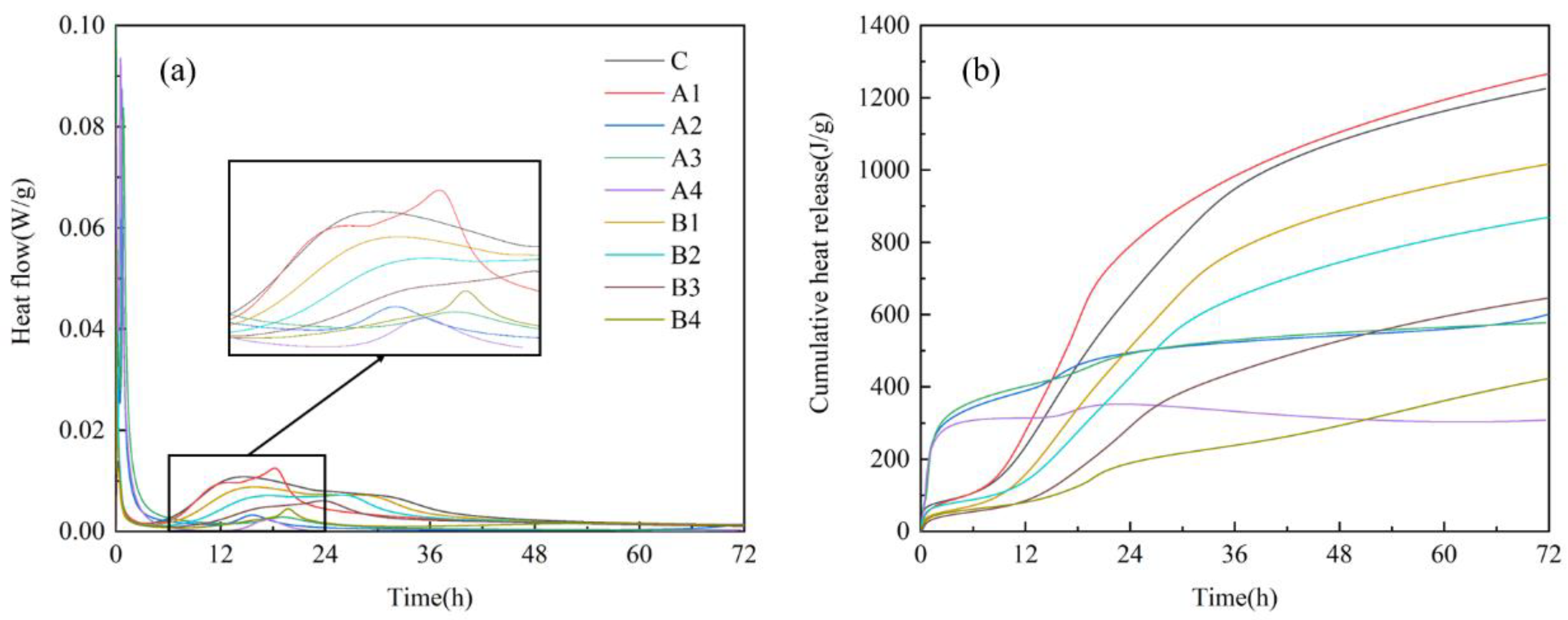
3.5. Hydration Heat of Cement Paste with SSUP
3.6. Cementitious Activity of SSUP
3.7. Hydration Products of SSUP
4. Conclusions
- (1)
- The process of preparing SSUP in the laboratory involves grinding it with a horizontal ball mill for 50 min, then mixing it evenly with grinding aids at a ratio of 75 g/1 mL and grinding it with a planetary ball mill for 15 min. The D15 particle size of obtained SSUP is 0.479 μm, D50 particle size is 2.031 μm, D90 particle size is 12.191 μm, 30 μm sieve size is 0.08%, and specific surface area is 4.13 m2/g. By comparing the microstructure of SSUP and SSP by SEM, it can be concluded that the particle size distribution of SSUP is more uniform and the surface is rougher.
- (2)
- The water requirement of normal consistency decreases with the increase in SSUP and SSP dosage. When the dosage is 15% and 30%, the water consumption of SSP is higher than that of SSUP, while when the dosage is 45% and 60%, the water consumption of SSUP is higher than that of SSP.
- (3)
- The soundness of SSUP with different dosages is better than that of SSP. When the dosage increases from 15% to 60%, the difference in the distance between the tip of the Lehigh clamp pointer of SSUP increases from 0.10 mm to 0.75 mm, while that of SSP increases from 1.00 mm to 6.65 mm.
- (4)
- The results of the hydration heat experiment show that the hydration degree and rate of SSUP are better than those of SSP. The 7 d and 28 d activity indexes of SSUP are higher than those of SSP. At 7 d, the activity index of SSUP is 65.61%, 13.63% higher than that of SSP. The activity index of SSUP at 28 d is 94.19%, 24.57% higher than that of SSP. The XRD test results show that, with the augment of hydration time, the relative contents of C3S, C2S, C3A, and C2F crystals in SSUP and SSP gradually decrease, while the relative contents of C-S-H gel gradually increase and the increase in C-S-H gel and in SSUP is greater.
Author Contributions
Funding
Institutional Review Board Statement
Informed Consent Statement
Data Availability Statement
Conflicts of Interest
References
- Ali, S.; Iqbal, S.; Room, S.; Ali, A.; Rahman, Z.U. Value added usage of granular steel slag and milled glass in concrete production. J. Eng. Res. 2021, 9, 73–85. [Google Scholar] [CrossRef]
- Wang, Q.; Yang, J.; Yan, P. Cementitious properties of super-fine steel slag. Powder Technol. 2013, 245, 35–39. [Google Scholar] [CrossRef]
- Aikawa, Y.; Shinobe, K.; Ueda, Y.; Nito, N.; Sakai, E. Analysis of hydration of blast furnace slag in high-volume blast furnace slag cement using an expanded hydration equation. J. Ceram. Soc. Jpn. 2018, 126, 109–114. [Google Scholar] [CrossRef]
- Chindaprasirt, P.; Jaturapitakkul, C.; Sinsiri, T. Effect of fly ash fineness on microstructure of blended cement paste. Constr. Build. Mater. 2007, 21, 1534–1541. [Google Scholar] [CrossRef]
- Li, Q.L.; Chen, M.Z.; Liu, F.; Wu, S.P.; Sang, Y. Effect of superfine blast furnace slag powder on properties of cement-based materials. Mater. Res. Innov. 2015, 19, S168–S171. [Google Scholar] [CrossRef]
- Fang, M.; Fang, G.; Xia, Y.; Wang, H.; IOP Publishing. In Study on Compressive Strength of Concrete Mixed by Steel Slag Powder and Fly Ash. In Proceedings of the 6th International Conference on Energy Materials and Environment Engineering (ICEMEE), Electr Network, Hulun Buir, China, 28–30 August 2020. [Google Scholar]
- Zhang, L.; Wang, Q.; Zheng, Y.; Cang, Z.; Gisele, K.; Yu, C.; Cang, D. Synergistic effect and mechanism of waste glass on the mechanical properties and autoclave stability of cementitious materials containing steel slag. Constr. Build. Mater. 2021, 311, 125295. [Google Scholar] [CrossRef]
- Chen, W.; Huo, Z.; Yang, Z.; IOP Publishing. In Study on the Performance of Green Cement with Large Amount of Steel Slag Addition. In Proceedings of the International Conference on Construction, Aerotropolis, Aviation and Environmental Engineering (ICCAE), Taoyuan, Taiwan, 14–16 May 2019. [Google Scholar]
- He, W.; Zhao, J.; Yang, G. Investigation on the Role of Steel Slag Powder in Blended Cement Based on Quartz Powder as Reference. Adv. Civ. Eng. 2021, 2021, 5547744. [Google Scholar] [CrossRef]
- Guo, J.; Bao, Y.; Wang, M. Steel slag in China: Treatment, recycling, and management. Waste Manag. 2018, 78, 318–330. [Google Scholar] [CrossRef]
- Zhu, G.; Hao, Y.; Xia, C.; Zhang, Y.; Hu, T.; Sun, S. Study on cementitious properties of steel slag. J. Min. Metall. Sect. B-Metall. 2013, 49, 217–224. [Google Scholar] [CrossRef]
- Hu, S.; Wang, H.; Zhang, G.; Ding, Q. Bonding and abrasion resistance of geopolymeric repair material made with steel slag. Cem. Concr. Compos. 2008, 30, 239–244. [Google Scholar] [CrossRef]
- Wang, G.; Wang, Y.; Gao, Z. Use of steel slag as a granular material: Volume expansion prediction and usability criteria. J. Hazard. Mater. 2010, 184, 555–560. [Google Scholar] [CrossRef] [PubMed]
- Li, J.; Zhao, S.; Song, X.; Ni, W.; Mao, S.; Du, H.; Zhu, S.; Jiang, F.; Zeng, H.; Deng, X.; et al. Carbonation Curing on Magnetically Separated Steel Slag for the Preparation of Artificial Reefs. Materials 2022, 15, 2055. [Google Scholar] [CrossRef] [PubMed]
- Zhou, Y.; Ji, Y.; Zhang, Z.; Ma, Z.; Gao, F.; Xue, Q.; Xu, Z. Effect of acid-activation on CaO existential state and reactive properties of hot-splashed steel slag in cement-based materials. Struct. Concr. 2022, 1464–4177. [Google Scholar] [CrossRef]
- Liu, F.; Chen, M.Z.; Li, F.Z.; Li, Q.L.; Wu, S.P.; Sang, Y. Effect of ground steel slag powder on cement properties. Mater. Res. Innov. 2015, 19, S150–S153. [Google Scholar] [CrossRef]
- Zhu, X.; Hou, H.; Huang, X.; Zhou, M.; Wang, W. Enhance hydration properties of steel slag using grinding aids by mechanochemical effect. Constr. Build. Mater. 2012, 29, 476–481. [Google Scholar] [CrossRef]
- Liu, S.; Li, L. Influence of fineness on the cementitious properties of steel slag. J. Therm. Anal. Calorim. 2014, 117, 629–634. [Google Scholar] [CrossRef]
- Shi, Y.; Chen, H.; Wang, J.; Feng, Q. Preliminary investigation on the pozzolanic activity of superfine steel slag. Constr. Build. Mater. 2015, 82, 227–234. [Google Scholar] [CrossRef]
- Zhang, T.; Yu, Q.; Wei, J.; Li, J. Investigation on mechanical properties, durability and micro-structural development of steel slag blended cements. J. Therm. Anal. Calorim. 2012, 110, 633–639. [Google Scholar] [CrossRef]
- Cao, L.; Shen, W.; Huang, J.; Yang, Y.; Zhang, D.; Huang, X.; Lv, Z.; Ji, X. Process to utilize crushed steel slag in cement industry directly: Multi-phased clinker sintering technology. J. Clean. Prod. 2019, 217, 520–529. [Google Scholar] [CrossRef]
- Li, X.; Liu, T.; Ouyang, J.; Yang, H. In Mechanochemical processing of ultrafine steel slag powders. In Proceedings of the 2nd International Conference on Advanced Materials and Its Application (AMA 2013), Wuhan, China, 16–19 May 2013; pp. 211–215. [Google Scholar]
- Hu, S.G.; He, Y.J.; Lu, L.N.; Ding, Q.J. Effect of fine steel slag powder on the early hydration process of Portland cement. J. Wuhan Univ. Technol.-Mater. Sci. Ed. 2006, 21, 147–149. [Google Scholar] [CrossRef]
- Ma, W. Effect of steel slag powder on cement road performance. Highw. Transp. Inn. Mong. 2021, 2021, 7–9+26. [Google Scholar]
- Wang, L.; Long, H.-m.; Zeng, H. Effect of Composite Grinding Aid on Steel Slag Ultrafine Powder. China Metall. 2019, 29, 75–79. [Google Scholar]
- Zhou, M.; Cheng, X.; Chen, X. Studies on the Volumetric Stability and Mechanical Properties of Cement-Fly-Ash-Stabilized Steel Slag. Materials 2021, 14, 495. [Google Scholar] [CrossRef] [PubMed]
- Liao, J.; Zhang, Z.; Ju, J.; Zhao, F. In Comparative analysis of steel slag characteristics and treatment process. In Proceedings of the 3rd International Conference on Materials and Products Manufacturing Technology (ICMPMT 2013), Guangzhou, China, 27–28 February 2014; pp. 378–384. [Google Scholar]
- Wang, Q.; Yan, P.; Han, S. The influence of steel slag on the hydration of cement during the hydration process of complex binder. Sci. China-Technol. Sci. 2011, 54, 388–394. [Google Scholar] [CrossRef]
- Yang, J.; Lu, J.; Wu, Q.; Xia Ming, F.; Li, X. Influence of steel slag powders on the properties of MKPC paste. Constr. Build. Mater. 2018, 159, 137–146. [Google Scholar] [CrossRef]















| Chemical Composition (%) | CaO | Fe2O3 | SiO2 | MgO | Mn3O4 | Al2O3 | P2O5 | TiO2 | SO3 | LOI | Others |
|---|---|---|---|---|---|---|---|---|---|---|---|
| steel slag | 38.30 | 28.61 | 13.68 | 6.21 | 4.29 | 2.86 | 2.02 | 1.25 | 0.36 | 1.03 | 0.69 |
| cement | 50.57 | 3.27 | 25.38 | 4.48 | 0.15 | 8.02 | 0.12 | 0.52 | 2.95 | 3.32 | 1.22 |
| Specific Surface Area (m2/g) | Compressive Strength (Mpa) | Flexural Strength (Mpa) | Setting Time (Min) | |||
|---|---|---|---|---|---|---|
| 7 d | 28 d | 7 d | 28 d | Initial | Final | |
| 1.68 | 31.17 | 43.28 | 6.20 | 8.53 | 52 | 563 |
| Species of Steel Slag | Basicity |
|---|---|
| high basicity slag | R < 1.8 |
| medium basicity slag | 1.8 < R < 2.5 |
| low basicity slag | R > 2.5 |
| Samples | Cement (g) | SSP (g) | SSUP (g) | Water (g) |
|---|---|---|---|---|
| C | 10.0 | / | / | 5 |
| A1 | 8.5 | 1.5 | / | 5 |
| A2 | 7.0 | 3.0 | / | 5 |
| A3 | 5.5 | 4.5 | / | 5 |
| A4 | 4.0 | 6.0 | / | 5 |
| B1 | 8.5 | / | 1.5 | 5 |
| B2 | 7.0 | / | 3.0 | 5 |
| B3 | 5.5 | / | 4.5 | 5 |
| B4 | 4.0 | / | 6.0 | 5 |
| Samples | Cement (g) | SSP (g) | SSUP (g) | ISO Standard Sand (g) | Water (g) |
|---|---|---|---|---|---|
| P·O | 450 | / | / | 1350 | 225 |
| SSP | 315 | 135 | / | 1350 | 225 |
| SSUP | 315 | / | 135 | 1350 | 225 |
| Types of Gelling Material | Cement (g) | SSP (g) | SSUP (g) | Water (mL) |
|---|---|---|---|---|
| SSP | 315 | 135 | / | 112.5 |
| SSUP | 315 | / | 135 | 112.5 |
| Samples | A I | A II | B I | B II | C I | CII | D I | D II |
|---|---|---|---|---|---|---|---|---|
| Regrinding time (min) | 5 | 5 | 10 | 10 | 15 | 15 | 20 | 20 |
| Grinding aids | / | √ | / | √ | / | √ | / | √ |
Publisher’s Note: MDPI stays neutral with regard to jurisdictional claims in published maps and institutional affiliations. |
© 2022 by the authors. Licensee MDPI, Basel, Switzerland. This article is an open access article distributed under the terms and conditions of the Creative Commons Attribution (CC BY) license (https://creativecommons.org/licenses/by/4.0/).
Share and Cite
Sun, Y.; Chen, M.; Chen, D.; Liu, S.; Zhang, X.; Wu, S. Laboratory Preparation and Performance Characterization of Steel Slag Ultrafine Powder Used in Cement-Based Materials. Sustainability 2022, 14, 14951. https://doi.org/10.3390/su142214951
Sun Y, Chen M, Chen D, Liu S, Zhang X, Wu S. Laboratory Preparation and Performance Characterization of Steel Slag Ultrafine Powder Used in Cement-Based Materials. Sustainability. 2022; 14(22):14951. https://doi.org/10.3390/su142214951
Chicago/Turabian StyleSun, Yuanhang, Meizhu Chen, Dongyu Chen, Shaoyan Liu, Xintao Zhang, and Shaopeng Wu. 2022. "Laboratory Preparation and Performance Characterization of Steel Slag Ultrafine Powder Used in Cement-Based Materials" Sustainability 14, no. 22: 14951. https://doi.org/10.3390/su142214951
APA StyleSun, Y., Chen, M., Chen, D., Liu, S., Zhang, X., & Wu, S. (2022). Laboratory Preparation and Performance Characterization of Steel Slag Ultrafine Powder Used in Cement-Based Materials. Sustainability, 14(22), 14951. https://doi.org/10.3390/su142214951

