Nutrition Transition and Chronic Diseases in India (1990–2019): An Ecological Study Based on Animal and Processed Food Caloric Intake and Adequacy according to Nutrient Needs
Abstract
1. Introduction
2. Materials and Methods
2.1. Data Sources and Collection
2.2. Data Formatting according to the 3V Index
2.3. Data Calculations and Statistical Analyses
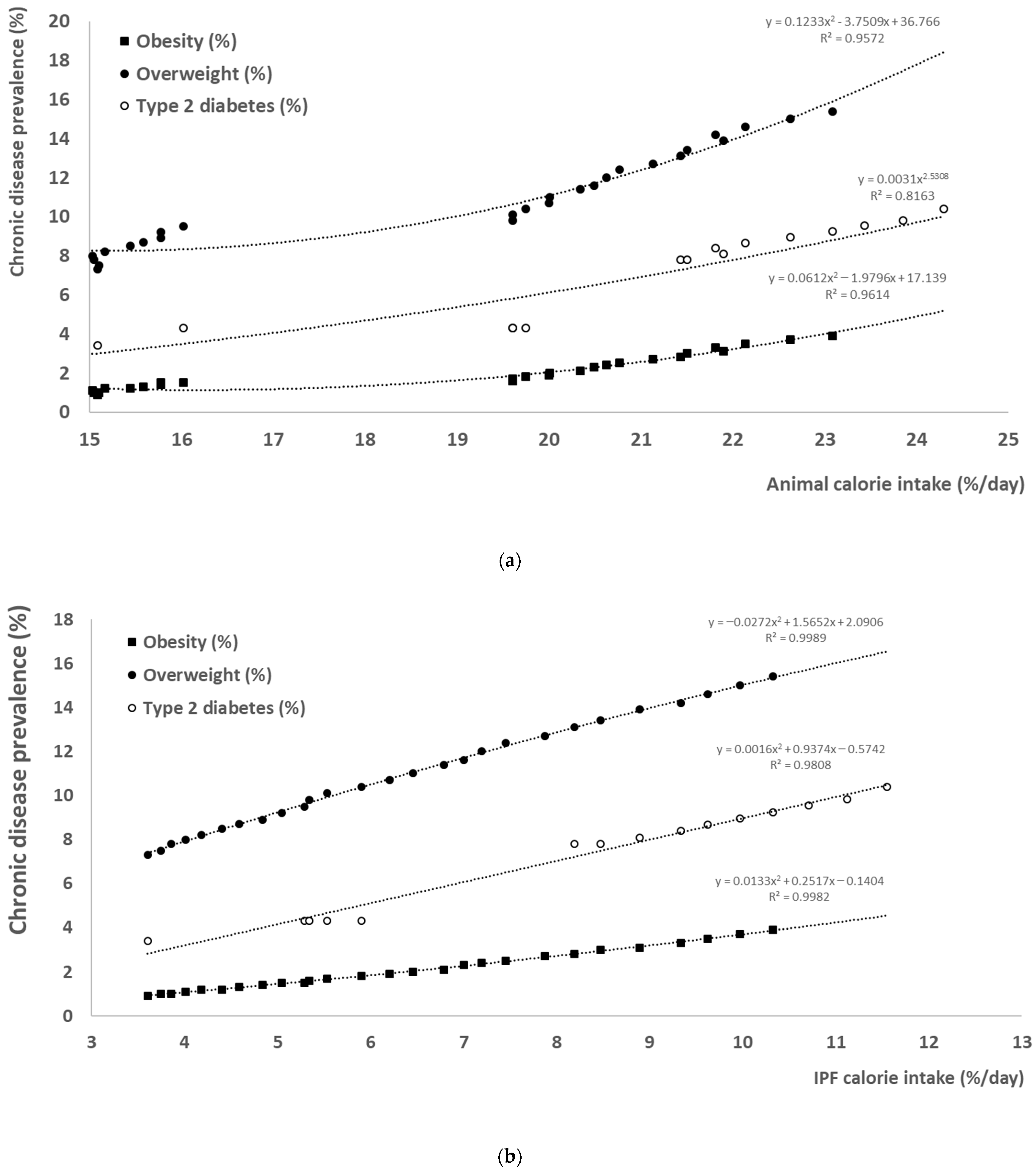
3. Results
3.1. Sources of Calorie Intakes
3.2. The Varied Metric: Adequacy according to the RDA
3.3. Chronic Disease Prevalence and Mortality Rates versus Real and Vegetal Metrics
4. Discussion
4.1. Data from Web Databases versus Published Data
4.2. Caloric Intake, Overweight/Obesity and Type 2 Diabetes Prevalence
4.3. Adequacy according to the 3Vs Index
4.3.1. Metric 1: Minimum of 85% of Calories from Real Foods
4.3.2. Metric 2: 85% of Calories from Plants
4.3.3. Metric 3: Variety of Real Foods
4.4. Limitations of the Study
5. Conclusions
Author Contributions
Funding
Institutional Review Board Statement
Informed Consent Statement
Data Availability Statement
Acknowledgments
Conflicts of Interest
References
- Afshin, A.; Sur, P.J.; Fay, K.A.; Cornaby, L.; Ferrara, G.; Salama, J.S.; Mullany, E.C.; Abate, K.H.; Abbafati, C.; Abebe, Z.; et al. Health effects of dietary risks in 195 countries, 1990–2017: A systematic analysis for the Global Burden of Disease Study 2017. Lancet 2019, 393, 1958–1972. [Google Scholar] [CrossRef]
- Popkin, B.M.; Corvalan, C.; Grummer-Strawn, L.M. Dynamics of the double burden of malnutrition and the changing nutrition reality. Lancet 2020, 395, 65–74. [Google Scholar] [CrossRef]
- Patel, V.; Chatterji, S.; Chisholm, D.; Ebrahim, S.; Gopalakrishna, G.; Mathers, C.; Mohan, V.; Prabhakaran, D.; Ravindran, R.D.; Reddy, K.S. Chronic diseases and injuries in India. Lancet 2011, 377, 413–428. [Google Scholar] [CrossRef]
- Popkin, B.M.; Ng, S.W. The nutrition transition to a stage of high obesity and noncommunicable disease prevalence dominated by ultra-processed foods is not inevitable. Obes. Rev. 2021, 395, 65–74. [Google Scholar] [CrossRef] [PubMed]
- Johnston, J.L.; Fanzo, J.; Cogill, B. Understanding Sustainable Diets: A Descriptive Analysis of the Determinants and Processes That Influence Diets and Their Impact on Health, Food Security, and Environmental Sustainability. Adv. Nutr. Int. Rev. J. 2014, 5, 418–429. [Google Scholar] [CrossRef]
- Willett, W.; Rockström, J.; Loken, B.; Springmann, M.; Lang, T.; Vermeulen, S.; Garnett, T.; Tilman, D.; DeClerck, F.; Wood, A.; et al. Murray, Food in the Anthropocene: The EAT–Lancet Commission on healthy diets from sustainable food systems. Lancet 2019, 393, 447–492. [Google Scholar] [CrossRef]
- Fardet, A.; Rock, E. Ultra-Processed Foods and Food System Sustainability: What are the Links? Sustainability 2020, 12, 6280. [Google Scholar] [CrossRef]
- HLPE/FAO. Rapport du Groupe d’experts de haut niveau sur la sécurité alimentaire et la nutrition du Comité de la sécurité alimentaire mondiale. In Sécurité Alimentaire et Nutrition: Enoncé d’une Vision Globale à L’horizon 2030; HLPE/FAO: Rome, Italy, 2021. [Google Scholar]
- Crippa, M.; Solazzo, E.; Guizzardi, D.; Monforti-Ferrario, F.; Tubiello, F.N.; Leip, A. Food systems are responsible for a third of global anthropogenic GHG emissions. Nat. Food 2021, 2, 198–209. [Google Scholar] [CrossRef]
- Knorr, D.; Augustin, M.A.; Tiwari, B. Advancing the Role of Food Processing for Improved Integration in Sustainable Food Chains. Front. Nutr. 2020, 7, 34. [Google Scholar] [CrossRef]
- Lane, M.M.; Davis, J.A.; Beattie, S.; Gómez-Donoso, C.; Loughman, A.; O’Neil, A.; Jacka, F.; Berk, M.; Page, R.; Marx, W.; et al. Ultraprocessed Food and Chronic Noncommunicable Diseases: A Systematic Review and Meta-Analysis of 43 Observational Studies. Obes. Rev. 2021, 22, e13146. [Google Scholar] [CrossRef]
- Tilman, D.; Clark, M. Global diets link environmental sustainability and human health. Nature 2014, 515, 518–522. [Google Scholar] [CrossRef] [PubMed]
- FAO. The State of Food Security and Nutrition in the World 2020; FAO: Rome, Italy, 2020. [Google Scholar]
- Baker, P.; Machado, P.; Santos, T.; Sievert, K.; Backholer, K.; Hadjikakou, M.; Russell, C.; Huse, O.; Bell, C.; Scrinis, G.; et al. Ultra-processed foods and the nutrition transition: Global, regional and national trends, food systems transformations and political economy drivers. Obes. Rev. 2020, 21, e13126. [Google Scholar] [CrossRef] [PubMed]
- Monteiro, C.A.; Lawrence, M.; Millett, C.; Nestle, M.; Popkin, B.M.; Scrinis, G.; Swinburn, B. The need to reshape global food processing: A call to the United Nations Food Systems Summit. BMJ Glob. Health 2021, 6, e006885. [Google Scholar] [CrossRef] [PubMed]
- da Silva, J.T.; Garzillo, J.M.F.; Rauber, F.; Kluczkovski, A.; Rivera, X.S.; da Cruz, G.L.; Frankowska, A.; Martins, C.A.; Louzada, M.L.D.C.; Monteiro, C.A.; et al. Greenhouse gas emissions, water footprint, and ecological footprint of food purchases according to their degree of processing in Brazilian metropolitan areas: A time-series study from 1987 to 2018. Lancet Planet. Health 2021, 5, e775–e785. [Google Scholar] [CrossRef]
- Garzillo, J.M.F.; Poli, V.F.S.; Leite, F.H.M.; Steele, E.M.; Machado, P.P.; Louzada, M.L.D.C.; Levy, R.B.; Monteiro, C.A. Ultra-processed food intake and diet carbon and water footprints: A national study in Brazil. Rev. Saude Publica 2022, 56, 6. [Google Scholar] [CrossRef]
- FAO. The State of the World’s Biodiversity for Food and Agriculture; FAO: Rome, Italy, 2019. [Google Scholar]
- Fardet, A.; Rock, E. How to protect both health and food system sustainability? A holistic ‘global health’-based approach via the 3V rule proposal. Public Health Nutr. 2020, 23, 3028–3044. [Google Scholar] [CrossRef]
- de Gavelle, E.; Leroy, P.; Perrimon, M.; Huneau, J.-F.; Sirot, V.; Orset, C.; Fouillet, H.; Soler, L.-G.; Mariotti, F. Modeled gradual changes in protein intake to increase nutrient adequacy lead to greater sustainability when systematically targeting an increase in the share of plant protein. Clim. Chang. 2019, 161, 129–149. [Google Scholar] [CrossRef]
- Fardet, A.; Lebredonchel, L.; Rock, E. Empirico-inductive and/or hypothetico-deductive methods in food science and nutrition research: Which one to favor for a better global health? Crit. Rev. Food Sci. Nutr. 2021, 1–14. [Google Scholar] [CrossRef]
- Gehring, J.; Touvier, M.; Baudry, J.; Julia, C.; Buscail, C.; Srour, B.; Hercberg, S.; Péneau, S.; Kesse-Guyot, E.; Allès, B. Consumption of Ultra-Processed Foods by Pesco-Vegetarians, Vegetarians, and Vegans: Associations with Duration and Age at Diet Initiation. J. Nutr. 2020, 151, 120–131. [Google Scholar] [CrossRef]
- Davidou, S.; Frank, K.; Christodoulou, A.; Fardet, A. Organic food retailing: To what extent are foods processed and do they contain markers of ultra-processing? Int. J. Food Sci. Nutr. 2021, 73, 172–183. [Google Scholar] [CrossRef]
- Fardet, A.; Rock, E. Chronic diseases are first associated with the degradation and artificialization of food matrices rather than with food composition: Calorie quality matters more than calorie quantity. Eur. J. Nutr. 2022, 61, 2239–2253. [Google Scholar] [CrossRef] [PubMed]
- Satija, A.; Bhupathiraju, S.N.; Spiegelman, D.; Chiuve, S.E.; Manson, J.E.; Willett, W.; Rexrode, K.M.; Rimm, E.B.; Hu, F.B. Healthful and Unhealthful Plant-Based Diets and the Risk of Coronary Heart Disease in U.S. Adults. J. Am. Coll. Cardiol. 2017, 70, 411–422. [Google Scholar] [CrossRef] [PubMed]
- Hall, K.D.; Ayuketah, A.; Brychta, R.; Cai, H.; Cassimatis, T.; Chen, K.Y.; Chung, S.T.; Costa, E.; Courville, A.; Darcey, V.; et al. Ultra-Processed Diets Cause Excess Calorie Intake and Weight Gain: An Inpatient Randomized Controlled Trial of Ad Libitum Food Intake. Cell Metab. 2019, 30, 67–77.e3. [Google Scholar] [CrossRef] [PubMed]
- Pagliai, G.; Dinu, M.; Madarena, M.P.; Bonaccio, M.; Iacoviello, L.; Sofi, F. Consumption of ultra-processed foods and health status: A systematic review and meta-analysis. Br. J. Nutr. 2020, 125, 308–318. [Google Scholar] [CrossRef]
- Fardet, A.; Aubrun, K.; Rock, E. Nutrition transition and chronic diseases in China (1990–2019): Industrially processed and animal calories rather than nutrients and total calories as potential determinants of the health impact. Public Health Nutr. 2021, 24, 5561–5575. [Google Scholar] [CrossRef]
- Fardet, A.; Thivel, D.; Gerbaud, L.; Rock, E. A Sustainable and Global Health Perspective of the Dietary Pattern of French Population during the 1998–2015 Period from INCA Surveys. Sustainability 2021, 13, 7433. [Google Scholar] [CrossRef]
- Davidou, S.; Christodoulou, A.; Frank, K.; Fardet, A. A study of ultra-processing marker profiles in 22,028 packaged ultra-processed foods using the Siga classification. J. Food Compos. Anal. 2021, 99, 103848. [Google Scholar] [CrossRef]
- Fardet, A.; Desquilbet, M.; Rock, E. The compliance of French purchasing behaviors with a healthy and sustainable diet: A 1-yr follow-up of regular customers in hypermarkets. Renew. Agric. Food Syst. 2021, 37, 49–59. [Google Scholar] [CrossRef]
- Simões, B.D.S.; Barreto, S.M.; Molina, M.D.C.B.; Luft, V.C.; Duncan, B.B.; Schmidt, M.I.; Bensenõr, I.J.M.; Cardoso, L.D.O.; Levy, R.B.; Giatti, L. Consumption of ultra-processed foods and socioeconomic position: A cross-sectional analysis of the Brazilian Longitudinal Study of Adult Health (ELSA-Brasil). Cad. Saude Publica 2018, 34, e00019717. [Google Scholar] [CrossRef]
- Agrawal, S.; Millett, C.J.; Dhillon, P.K.; Subramanian, S.V.; Ebrahim, S. Type of vegetarian diet, obesity and diabetes in adult Indian population. Nutr. J. 2014, 13, 89. [Google Scholar] [CrossRef]
- ICMR-NIN Expert Group. Nutrient Requirements for Indians, Recommended Dietary Allowances (RDA) and Estimated Average Requirements (EAR); ICMR-National Institute of Nutrition: Hyderabad, India, 2020. [Google Scholar]
- OECD; FAO. OECD. Stat. 2019. Available online: http://stats.oecd.org/ (accessed on 12 July 2021).
- Roser, M.; Ritchie, H. Our World in Data—Food Supply. 2013. Available online: https://ourworldindata.org/ (accessed on 28 July 2021).
- FAO. FAOSTAT. 2020. Retrieved July, 2021. Available online: http://www.fao.org/faostat/fr/#home (accessed on 12 July 2021).
- Baker, P.; Friel, S. Processed foods and the nutrition transition: Evidence from Asia. Obes. Rev. 2014, 15, 564–577. [Google Scholar] [CrossRef] [PubMed]
- National Institute of Nutrition. Indian Food Composition Tables; National Institute of Nutrition: Hyderabad, India, 2017. [Google Scholar]
- The Lancet GBD. Global Burden of Disease. 2022. Available online: https://www.thelancet.com/gbd (accessed on 12 July 2021).
- Cole de Politique Appliquée, Faculté des Lettres et Sciences Humaines, Université de Sherbrooke. Perspective Monde. 2022. Available online: https://perspective.usherbrooke.ca/ (accessed on 12 July 2021).
- International Diabetes Federation. IDF Diabetes Atlas, 10th ed.; International Diabetes Federation: Brussels, Belgium, 2021. [Google Scholar]
- Sadikot, S.; Nigam, A.; Das, S.; Bajaj, S.; Zargar, A.; Prasannakumar, K.; Sosale, A.; Munichoodappa, C.; Seshiah, V.; Singh, S.; et al. The burden of diabetes and impaired glucose tolerance in India using the WHO 1999 criteria: Prevalence of diabetes in India study (PODIS). Diabetes Res. Clin. Pract. 2004, 66, 301–307. [Google Scholar] [CrossRef] [PubMed]
- Singh, P.K.; Singh, L.; Dubey, R.; Singh, S.; Mehrotra, R. Socioeconomic determinants of chronic health diseases among older Indian adults: A nationally representative cross-sectional multilevel study. BMJ Open 2019, 9, e028426. [Google Scholar] [CrossRef] [PubMed]
- Hemalatha, D.R.; Laxmaiah, D.A.; Sriswan, D.M.R.; Boiroju, D.N.K.; Radhakrishna, D.K.V. What India Eats; ICMR-National Institute of Nutrition: Hyderabad, India, 2016. [Google Scholar]
- Deaton, A.; Drèze, J. Food and Nutrition in India: Facts and Interpretations. Econ. Pol. Week. 2009, 44, 42–65. [Google Scholar]
- Basu, D.; Basole, A. The Calorie Consumption Puzzle in India: An Empirical Investigation; Economics Department Working Paper Series; University of Massachusetts-Amherst: Amherst, MA, USA, 2012; 36p. [Google Scholar]
- Duh, J.; Spears, D. Health and Hunger: Disease, Energy Needs, and The Indian Calorie Consumption Puzzle. Econ. J. 2017, 127, 2378–2409. [Google Scholar] [CrossRef][Green Version]
- Yadav, K. The Dietary Trend in the World Particularly in China and India; Sanrachna; SGT University Center for Research Innovation: Haryana, India, 2020. [Google Scholar]
- Shari, E.; Nicholas, L. Can Caloric Needs Explain Three Food Consumption Puzzles? Evidence from India; University of Toronto: Toronto, ON, Canada, 2012. [Google Scholar]
- Sharma, S.; Sharma, P. Agricultural Production, Marketing and Food Security in India: A Peep into Progress. Productivity 2017, 58, 155–165. [Google Scholar]
- Siddiqui, Z.; Donato, R.; Jumrani, J. Looking Past the Indian Calorie Debate: What is Happening to Nutrition Transition in India. J. Dev. Stud. 2017, 55, 2440–2459. [Google Scholar] [CrossRef]
- Meenakshi, J.V. Trends and patterns in the triple burden of malnutrition in India. Agric. Econ. 2016, 47, 115–134. [Google Scholar] [CrossRef]
- Kolady, D.E.; Srivastava, S.K.; Just, D.; Singh, J. Food away from home and the reversal of the calorie intake decline in India. Food Secur. 2020, 13, 369–384. [Google Scholar] [CrossRef]
- Srivastava, S.; Chand, R. Tracking transition in calorie-intake among Indian households: Insights and policy implications. Agric. Econ. Res. Rev. 2017, 30, 23–35. [Google Scholar] [CrossRef]
- Smith, L.C. The great Indian calorie debate: Explaining rising undernourishment during India’s rapid economic growth. IDS Working Papers 2013, 2013, 1–35. [Google Scholar] [CrossRef]
- Nicholas, L.; Shari, E. Search of India’s Missing Calories: Energy Requirements and Calorie Consumption; U.C. Berkeley: Berkeley, CA, USA, 2010. [Google Scholar]
- Misra, A.; Singhal, N.; Sivakumar, B.; Bhagat, N.; Jaiswal, A.; Khurana, L. Nutrition transition in India: Secular trends in dietary intake and their relationship to diet-related non-communicable diseases. J. Diabetes 2011, 3, 278–292. [Google Scholar] [CrossRef] [PubMed]
- Zulauf, C. China, India, the Food Transition, and Future Demand Growth. In Farmdoc Daily; Department of Agricultural and Consumer Economics, University of Illinois at Urbana-Champaign: Champaign, IL, USA, 2015. [Google Scholar]
- Sharma, M.; Kishore, A.; Roy, D.; Joshi, K. A comparison of the Indian diet with the EAT-Lancet reference diet. BMC Public Health 2020, 20, 812. [Google Scholar] [CrossRef]
- Tak, M.; Shankar, B.; Kadiyala, S. Dietary Transition in India: Temporal and Regional Trends, 1993 to 2012. Food Nutr. Bull. 2019, 40, 254–270. [Google Scholar] [CrossRef] [PubMed]
- Alae-Carew, C.; Bird, F.A.; Choudhury, S.; Harris, F.; Aleksandrowicz, L.; Milner, J.; Joy, E.J.; Agrawal, S.; Dangour, A.D.; Green, R. Future diets in India: A systematic review of food consumption projection studies. Glob. Food Secur. 2019, 23, 182–190. [Google Scholar] [CrossRef] [PubMed]
- WHO. Diabetes Country Profiles; WHO: Rome, Italy, 2016. [Google Scholar]
- Jain, A.; Mathur, P. Intake of Ultra-processed Foods Among Adolescents From Low- and Middle-Income Families in Delhi. Indian Pediatr. 2020, 57, 712–714. [Google Scholar] [CrossRef]
- Pan American Health Organization. Ultra-Processed Food and Drink Products in Latin America: Trends, Impact on Obesity, Policy Implications; Pan American Health Organization: Washington, DC, USA, 2015. [Google Scholar]
- D’Amour, C.B.; Pandey, B.; Reba, M.; Ahmad, S.; Creutzig, F.; Seto, K. Urbanization, processed foods, and eating out in India. Glob. Food Secur. 2020, 25, 100361. [Google Scholar] [CrossRef]
- Law, C.; Green, R.; Kadiyala, S.; Shankar, B.; Knai, C.; Brown, K.; Dangour, A.D.; Cornelsen, L. Purchase trends of processed foods and beverages in urban India. Glob. Food Secur. 2019, 23, 191–204. [Google Scholar] [CrossRef]
- Radhika, G.; van Dam, R.M.; Sudha, V.; Ganesan, A.; Mohan, V. Refined grain consumption and the metabolic syndrome in urban Asian Indians (Chennai Urban Rural Epidemiology Study 57). Metabolism 2009, 58, 675–681. [Google Scholar] [CrossRef]
- Juliano, B.O. Rice in Human Nutrition; The International Rice Research Institute: Los Baños, Philippines, 1993. [Google Scholar]
- Sun, Q.; Spiegelman, D.; van Dam, R.M.; Holmes, M.D.; Malik, V.S.; Willett, W.C.; Hu, F.B. White Rice, Brown Rice, and Risk of Type 2 Diabetes in US Men and Women. Arch. Intern. Med. 2010, 170, 961–969. [Google Scholar] [CrossRef]
- Hu, E.A.; Pan, A.; Malik, V.; Sun, Q. White rice consumption and risk of type 2 diabetes: Meta-analysis and systematic review. BMJ 2012, 344, e1454. [Google Scholar] [CrossRef] [PubMed]
- Mohan, V.; Radhika, G.; Vijayalakshmi, P.; Sudha, V. Can the diabetes/cardiovascular disease epidemic in India be explained, at least in part, by excess refined grain (rice) intake? Indian J. Med. Res. 2010, 131, 369–372. [Google Scholar] [PubMed]
- Yadav, K. The Dietary Pattern, Nutritional Status, and Dual Burden of Malnutrition. Sanrachna; SGT University Center for Research Innovation: Haryana, India, 2020. [Google Scholar]
- Panjagari, N.R.; Singh, R.R.B.; Singh, A.K. Indian Traditional Fermented Dairy Products. In Traditional Foods: General and Consumer Aspects; Kristbergsson, K., Oliveira, J., Eds.; Springer: Berlin/Heidelberg, Germany, 2016; pp. 101–114. [Google Scholar]
- Mozaffarian, D. Dairy Foods, Obesity, and Metabolic Health: The Role of the Food Matrix Compared with Single Nutrients. Adv. Nutr. Int. Rev. J. 2019, 10, 917S–923S. [Google Scholar] [CrossRef]
- Guo, J.; Givens, D.I.; Astrup, A.; Bakker, S.J.L.; Goossens, G.H.; Kratz, M.; Marette, A.; Pijl, H.; Soedamah-Muthu, S.S. The Impact of Dairy Products in the Development of Type 2 Diabetes: Where Does the Evidence Stand in 2019? Adv. Nutr. Int. Rev. J. 2019, 10, 1066–1075. [Google Scholar] [CrossRef] [PubMed]
- Guo, J.; Astrup, A.; Lovegrove, J.A.; Gijsbers, L.; Givens, D.I.; Soedamah-Muthu, S.S. Milk and Dairy Consumption and Risk of Cardiovascular Diseases and All-Cause Mortality: Dose–Response Meta-Analysis of Prospective Cohort Studies. Eur. J. Epidemiol. 2017, 32, 269–287. [Google Scholar] [CrossRef]
- Salas-Salvadó, J.; Guasch-Ferré, M.; Díaz-López, A.; Babio, N. Yogurt and Diabetes: Overview of Recent Observational Studies. J. Nutr. 2017, 147, 1452S–1461S. [Google Scholar] [CrossRef]
- Bogh, M.K.; Schmedes, A.V.; Philipsen, P.A.; Thieden, E.; Wulf, H.C. Vitamin D production depends on ultraviolet-B dose but not on dose rate: A randomized controlled trial. Exp. Dermatol. 2010, 20, 14–18. [Google Scholar] [CrossRef]
- Rhodes, L.E.; Webb, A.R.; Fraser, H.; Kift, R.; Durkin, M.T.; Allan, D.; O’Brien, S.J.; Vail, A.; Berry, J.L. Recommended Summer Sunlight Exposure Levels Can Produce Sufficient (≥20ngml−1) but Not the Proposed Optimal (≥32ngml−1) 25(OH)D Levels at UK Latitudes. J. Investig. Dermatol. 2010, 130, 1411–1418. [Google Scholar] [CrossRef]
- Toteja, G.; Gonmei, Z. Micronutrient status of Indian population. Indian J. Med. Res. 2018, 148, 511–521. [Google Scholar] [CrossRef]
- Kapil, U.; Toteja, G.S.; Rao, S.; Pandey, R.M. Zinc deficiency amongst adolescents in Delhi. Indian Pediatr. 2011, 48, 981–982. [Google Scholar]
- Ritchie, H.; Reay, D.S.; Higgins, P. Quantifying, Projecting, and Addressing India’s Hidden Hunger. Front. Sustain. Food Syst. 2018, 2, 11. [Google Scholar] [CrossRef]
- Green, R.; Milner, J.; Joy, E.J.M.; Agrawal, S.; Dangour, A.D. Dietary patterns in India: A systematic review. Br. J. Nutr. 2016, 116, 142–148. [Google Scholar] [CrossRef] [PubMed]
- Luhar, S.; Timæus, I.M.; Jones, R.; Cunningham, S.; Patel, S.A.; Kinra, S.; Clarke, L.; Houben, R. Forecasting the prevalence of overweight and obesity in India to 2040. PLoS ONE 2020, 15, e0229438. [Google Scholar] [CrossRef] [PubMed]
- Liu, J.; Ren, Z.-H.; Qiang, H.; Wu, J.; Shen, M.; Zhang, L.; Lyu, J. Trends in the incidence of diabetes mellitus: Results from the Global Burden of Disease Study 2017 and implications for diabetes mellitus prevention. BMC Public Health 2020, 20, 1415. [Google Scholar] [CrossRef]
- Barik, A.; Shah, R.V.; Spahillari, A.; Murthy, V.L.; Ambale-Venkatesh, B.; Rai, R.K.; Das, K.; Santra, A.; Hembram, J.R.; Bhattacharya, D.; et al. Hepatic steatosis is associated with cardiometabolic risk in a rural Indian population: A prospective cohort study. Int. J. Cardiol. 2016, 225, 161–166. [Google Scholar] [CrossRef]
- Ghosh, S.M.; Qadeer, I. Interpretations and Implications of Increasing Obesity in India-Data on Women from National Health Surveys. Econ. Pol. Week. 2020, 55, 37–45. [Google Scholar]








| Food Groups | Calorie/g 1 |
|---|---|
| Eggs (n = 5) 2 | 1.54 |
| Meats (n = 1071) | 2.05 |
| Fishes and seafood (n = 188) | 1.36 |
| Dairy (n = 136) | 0.81 |
| Fruits (n = 359) | 0.60 |
| Vegetables (n = 360) | 0.30 |
| Cereals (n = 53) | 2.65 |
| Tubers (n = 121) | 0.93 |
| Legumes (n = 237) | 1.14 |
| Nuts and seeds (n = 132) | 5.74 |
| Oils and fats (n = 105) | 8.84 |
| Spices and condiments (n = 64) | 2.84 |
| Table sugar (n = 1) | 3.98 |
| IPF (n = 5184) | 2.77 |
| Years | 1990 | 1991 | 1992 | 1993 | 1994 | 1995 | 1996 | 1997 | 1998 | 1999 | 2000 | 2001 | 2002 | 2003 | 2004 |
|---|---|---|---|---|---|---|---|---|---|---|---|---|---|---|---|
| Total calories (kcal/day/capita) | 1726 | 1749 | 1786 | 1810 | 1825 | 1825 | 1844 | 1841 | 1859 | 1865 | 1940 | 1965 | 1936 | 1933 | 1952 |
| % total calories | |||||||||||||||
| Cereals | 65.0 | 64.6 | 63.5 | 63.1 | 62.6 | 62.2 | 61.8 | 61.3 | 60.8 | 60.4 | 57.7 | 57.6 | 56.9 | 57.1 | 56.5 |
| Nuts and seeds | 0.0 | 0.0 | 1.4 | 1.3 | 1.3 | 1.2 | 1.3 | 1.1 | 1.1 | 0.8 | 0.7 | 0.9 | 0.7 | 0.9 | 0.8 |
| Sugar | 8.4 | 8.5 | 8.4 | 8.4 | 8.5 | 8.6 | 8.7 | 8.8 | 8.9 | 9.0 | 8.7 | 8.7 | 9.5 | 8.7 | 9.1 |
| Meats | 0.9 | 0.9 | 0.9 | 0.9 | 0.9 | 0.9 | 0.9 | 0.8 | 0.8 | 0.8 | 0.8 | 0.8 | 0.8 | 0.8 | 0.8 |
| Legumes | 2.7 | 2.7 | 2.5 | 2.4 | 2.4 | 2.4 | 2.3 | 2.3 | 2.2 | 2.2 | 1.9 | 1.8 | 2.0 | 2.0 | 1.9 |
| Fish and seafood | 0.8 | 0.8 | 0.8 | 0.8 | 0.9 | 0.9 | 0.9 | 0.9 | 0.9 | 0.9 | 0.8 | 0.9 | 0.9 | 0.9 | 0.9 |
| Eggs | 0.3 | 0.3 | 0.3 | 0.3 | 0.3 | 0.3 | 0.3 | 0.3 | 0.3 | 0.3 | 0.4 | 0.4 | 0.4 | 0.4 | 0.4 |
| Dairy | 11.6 | 11.4 | 11.3 | 11.2 | 11.3 | 11.5 | 11.5 | 11.5 | 11.4 | 11.6 | 15.2 | 15.1 | 15.1 | 15.2 | 15.0 |
| Pulses and tubers | 0.7 | 0.7 | 0.7 | 0.7 | 0.7 | 0.6 | 0.6 | 0.8 | 0.6 | 0.7 | 0.7 | 0.7 | 0.7 | 0.6 | 0.7 |
| Fruits | 2.6 | 2.6 | 2.7 | 3.0 | 3.1 | 2.9 | 3.1 | 3.2 | 3.4 | 3.4 | 3.0 | 3.0 | 2.9 | 3.1 | 3.2 |
| Vegetables | 2.5 | 2.3 | 2.2 | 2.4 | 2.4 | 2.5 | 2.4 | 2.2 | 2.6 | 2.8 | 2.7 | 2.9 | 2.5 | 2.4 | 2.3 |
| Spices and condiments | 0.8 | 0.8 | 0.7 | 0.7 | 0.8 | 0.9 | 0.8 | 0.8 | 0.8 | 0.8 | 0.9 | 0.8 | 0.8 | 0.8 | 0.8 |
| Oils and fats | 0.0 | 0.7 | 0.7 | 0.7 | 0.8 | 0.8 | 0.9 | 1.1 | 1.1 | 1.1 | 1.0 | 0.9 | 0.9 | 0.9 | 1.1 |
| IPF | 3.6 | 3.7 | 3.9 | 4.0 | 4.2 | 4.4 | 4.6 | 4.8 | 5.0 | 5.3 | 5.3 | 5.5 | 5.9 | 6.2 | 6.5 |
| Animal | 15.1 | 15.1 | 15.0 | 15.0 | 15.2 | 15.4 | 15.6 | 15.8 | 15.8 | 16.0 | 19.6 | 19.6 | 19.7 | 20.0 | 20.0 |
| Years | 2005 | 2006 | 2007 | 2008 | 2009 | 2010 | 2011 | 2012 | 2013 | 2014 | 2015 | 2016 | 2017 | 2018 | 2019 |
| Total calories (kcal/day/capita) | 1948 | 1982 | 2026 | 2053 | 2042 | 2061 | 2092 | 2092 | 2093 | 2132 | 2161 | 2190 | 2217 | 2242 | 2266 |
| % total calories | |||||||||||||||
| Cereals | 55.8 | 54.8 | 53.2 | 52.8 | 52.9 | 52.2 | 51.8 | 51.4 | 51.0 | 50.3 | 49.7 | 48.8 | 48.3 | 47.9 | 47.2 |
| Nuts and seeds | 0.9 | 1.0 | 1.0 | 1.0 | 0.8 | 0.8 | 0.7 | 0.9 | 0.8 | 0.7 | 0.6 | 0.7 | 0.7 | 0.7 | 0.7 |
| Sugar | 8.5 | 9.0 | 10.0 | 10.0 | 9.4 | 8.9 | 9.4 | 9.4 | 9.8 | 10.0 | 9.5 | 9.5 | 9.4 | 9.4 | 9.4 |
| Meats | 0.8 | 0.8 | 0.9 | 0.9 | 0.9 | 0.9 | 0.8 | 0.8 | 0.8 | 0.8 | 0.8 | 0.8 | 0.8 | 0.9 | 0.9 |
| Legumes | 1.9 | 1.9 | 1.8 | 1.7 | 1.7 | 2.1 | 2.1 | 2.1 | 1.6 | 1.5 | 2.5 | 2.6 | 2.6 | 2.6 | 2.6 |
| Fish and seafood | 1.0 | 1.0 | 0.9 | 1.1 | 1.0 | 1.0 | 0.9 | 1.0 | 1.1 | 1.1 | 1.1 | 1.2 | 1.2 | 1.2 | 1.3 |
| Eggs | 0.4 | 0.4 | 0.4 | 0.4 | 0.5 | 0.5 | 0.5 | 0.5 | 0.5 | 0.6 | 0.6 | 0.6 | 0.6 | 0.6 | 0.7 |
| Dairy | 15.2 | 15.2 | 15.3 | 15.2 | 15.4 | 15.5 | 15.6 | 15.7 | 15.4 | 15.6 | 15.9 | 16.1 | 16.2 | 16.4 | 16.6 |
| Pulses and tubers | 0.8 | 0.7 | 0.7 | 0.8 | 0.8 | 0.8 | 0.8 | 0.8 | 0.8 | 0.8 | 0.8 | 0.8 | 0.8 | 0.8 | 0.8 |
| Fruits | 3.3 | 3.6 | 3.7 | 4.0 | 4.0 | 4.2 | 4.0 | 4.1 | 4.4 | 4.5 | 4.3 | 4.3 | 4.3 | 4.2 | 4.2 |
| Vegetables | 2.7 | 2.7 | 2.8 | 2.8 | 2.8 | 3.1 | 3.2 | 3.0 | 3.1 | 3.1 | 2.9 | 2.9 | 2.9 | 2.7 | 2.6 |
| Spices and condiments | 0.9 | 0.8 | 0.8 | 0.8 | 0.8 | 0.6 | 0.6 | 0.3 | 0.3 | 0.4 | 0.3 | 0.4 | 0.4 | 0.4 | 0.5 |
| Oils and fats | 1.1 | 1.1 | 1.1 | 1.1 | 1.1 | 1.3 | 1.1 | 1.0 | 1.0 | 1.1 | 1.1 | 1.1 | 1.1 | 1.0 | 1.0 |
| IPF | 6.8 | 7.0 | 7.2 | 7.5 | 7.9 | 8.2 | 8.5 | 8.9 | 9.3 | 9.6 | 10.0 | 10.3 | 10.7 | 11.1 | 11.6 |
| Animal | 20.3 | 20.5 | 20.6 | 20.8 | 21.1 | 21.4 | 21.5 | 21.9 | 21.8 | 22.1 | 22.6 | 23.1 | 23.4 | 23.9 | 24.3 |
Publisher’s Note: MDPI stays neutral with regard to jurisdictional claims in published maps and institutional affiliations. |
© 2022 by the authors. Licensee MDPI, Basel, Switzerland. This article is an open access article distributed under the terms and conditions of the Creative Commons Attribution (CC BY) license (https://creativecommons.org/licenses/by/4.0/).
Share and Cite
Fardet, A.; Aubrun, K.; Sundaramoorthy, H.; Rock, E. Nutrition Transition and Chronic Diseases in India (1990–2019): An Ecological Study Based on Animal and Processed Food Caloric Intake and Adequacy according to Nutrient Needs. Sustainability 2022, 14, 14861. https://doi.org/10.3390/su142214861
Fardet A, Aubrun K, Sundaramoorthy H, Rock E. Nutrition Transition and Chronic Diseases in India (1990–2019): An Ecological Study Based on Animal and Processed Food Caloric Intake and Adequacy according to Nutrient Needs. Sustainability. 2022; 14(22):14861. https://doi.org/10.3390/su142214861
Chicago/Turabian StyleFardet, Anthony, Kenny Aubrun, Haripriya Sundaramoorthy, and Edmond Rock. 2022. "Nutrition Transition and Chronic Diseases in India (1990–2019): An Ecological Study Based on Animal and Processed Food Caloric Intake and Adequacy according to Nutrient Needs" Sustainability 14, no. 22: 14861. https://doi.org/10.3390/su142214861
APA StyleFardet, A., Aubrun, K., Sundaramoorthy, H., & Rock, E. (2022). Nutrition Transition and Chronic Diseases in India (1990–2019): An Ecological Study Based on Animal and Processed Food Caloric Intake and Adequacy according to Nutrient Needs. Sustainability, 14(22), 14861. https://doi.org/10.3390/su142214861

