A Review on the Impact of High-Temperature Treatment on the Physico-Mechanical, Dynamic, and Thermal Properties of Granite
Abstract
1. Introduction
2. Influence of Temperature on Physical Properties
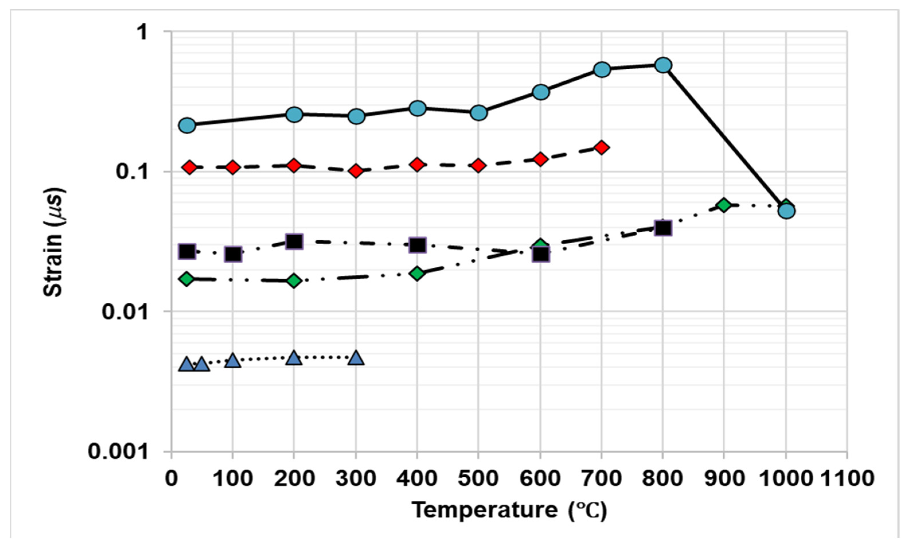
2.1. Stress–Strain
2.2. Density
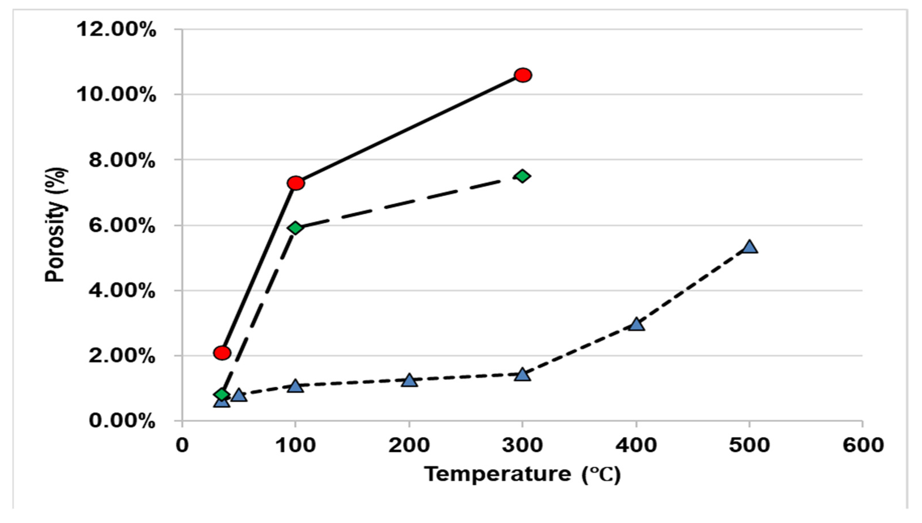
2.3. Porosity
2.4. Permeability
3. Influence of Temperature on Mechanical Properties
3.1. Young’s Modulus of Elasticity
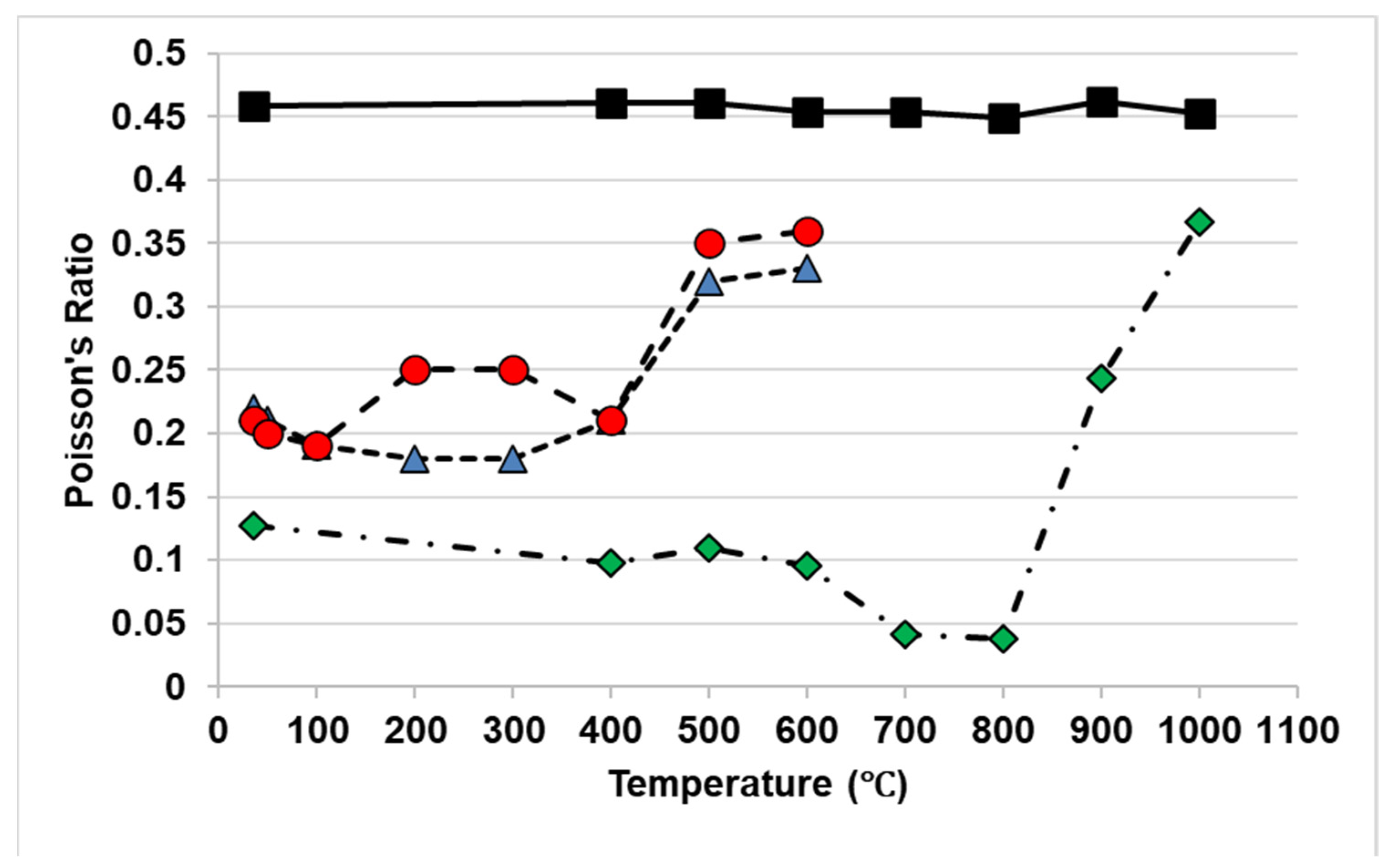
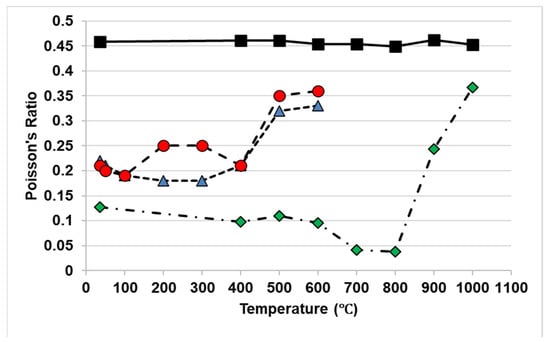
3.2. Poisson’s Ratio
3.3. Compressive Strength
3.4. Tensile Strength
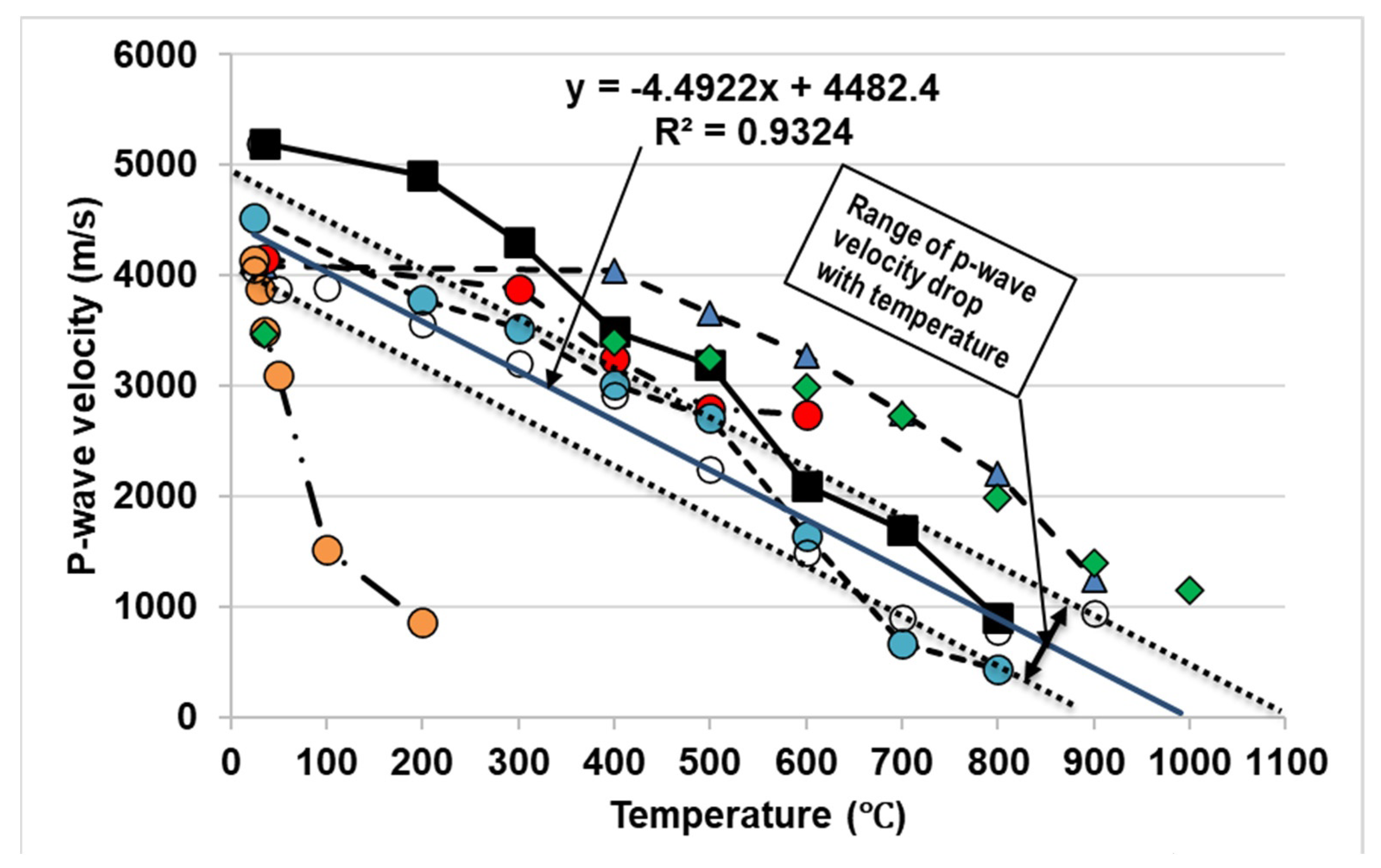
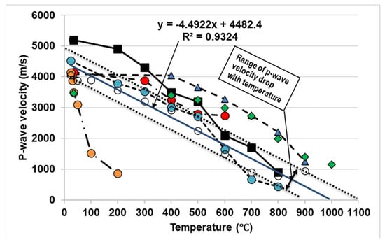
4. p-Wave Velocity–Effect of Temperature on Dynamic Properties
5. Effect of Temperature on Thermal Properties
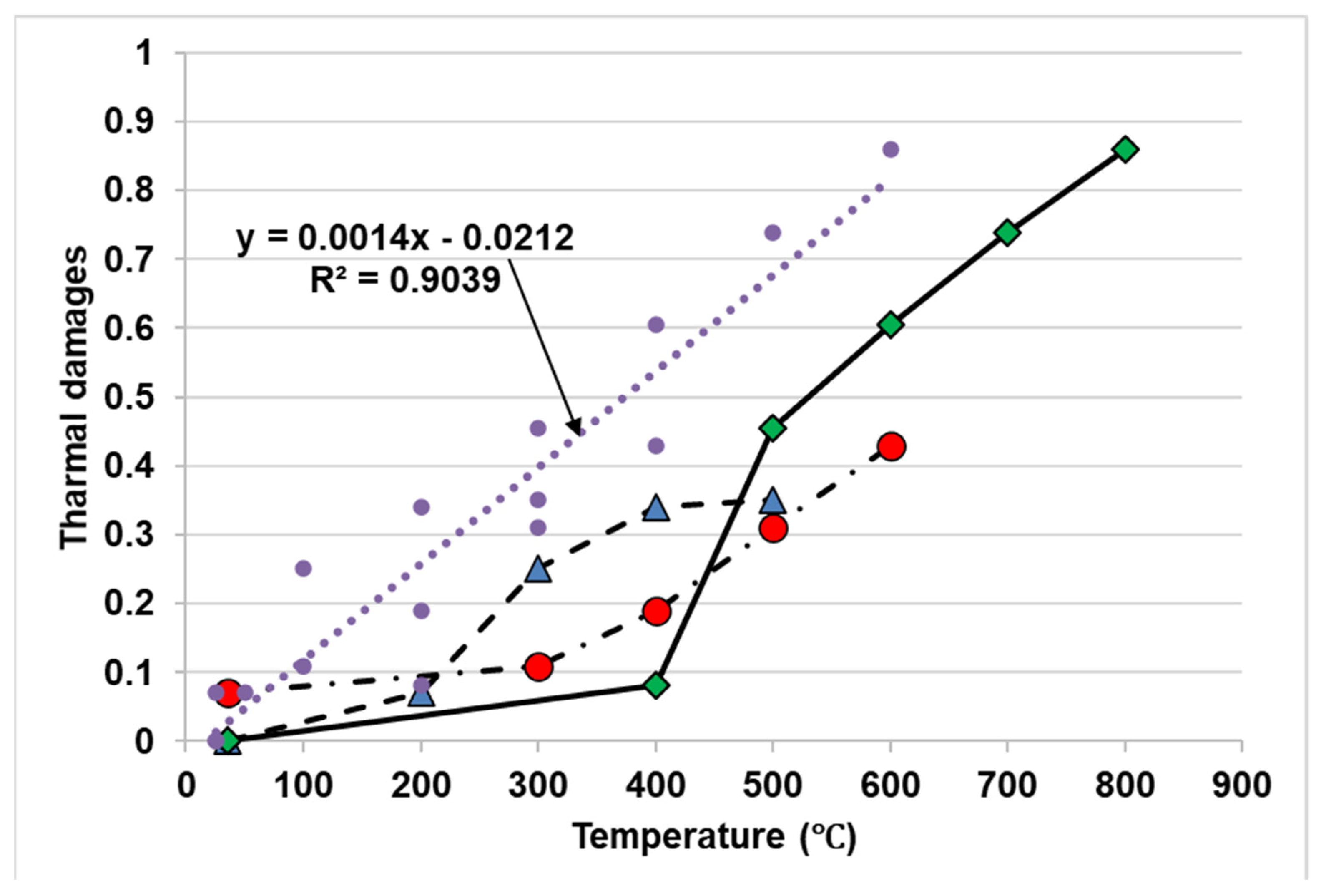
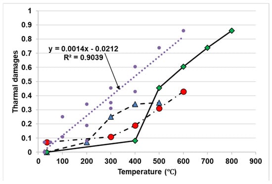
5.1. Thermal Damages and Thermal Cracking
5.2. Thermal Conductivity and Diffusivity
5.3. Specific Heat
6. Analysis of the Work
6.1. Significance of the Work
6.2. Standardization of the Work
6.3. Heat Treatment on Cutting Tool Related to Rock Mass
6.4. Some Prospective Non-Traditional Drilling Techniques for Granite Materials
7. Conclusions
- The stress of granite decreases mildly with an increase of temperature up to 400 °C, beyond which the stress decreases rapidly. The strain increases about three times when heated from room temperature to 1000 °C.
- The density of granite after heat treatment decreases. The density decrease rate in the rapid-quenching process is lower than in the slow cooling process due to the absorption of some moisture content. Despite of initial average density of 2628 kg/m3 and a standard deviation of a mere 13 kg/m3 observed in the literature cited, there is increasing variation ranging from 33 to 242 kg/m3 in density after heat treatment up to 600 °C. This has a significant connotation in terms of methods deployed for such tests and calls for more controlled testing or better test methods. The reports of such density variations should invariably provide comprehensive detail of the rock properties in terms of mineralogy and petrology.
- The porosity increases with an increase in temperature. The permeability decreases with an increase in temperature due to the reactivity of material at high temperatures. However, the data on this property is limited.
- The compressive strength shows little change up to 400 °C, beyond which, in most cases, shows a steep drop. The tensile strength behaves in a different manner in the cases examined but shows a significant drop in its values up to 800 °C. Young’s Modulus decreases with temperature and has a huge variability which needs to be ascertained through exhaustive information on the granites analyzed. Poisson’s ratio initially decreases up to 600 °C then increase rapidly up to 800 °C. Compressive strength and Tensile strength both decrease with an increase in temperature.
- The p-wave velocity decreases due to the pore volume of material increasing with rising temperature. The p-wave not only behaves in a logical manner but follows a close range in changes over temperature. Hence p-wave velocity can be a better descriptor to assess the impact of temperature on rock properties. Even the equation presented in Figure 9 can be used to estimate the p-wave velocity change with temperature. The method has the advantage that it can be applied easily and in a non-destructive manner.
- Thermal damages also show a steep increase with an increase in temperature. This method is difficult to adopt but shows a very good trend with increasing temperature, as shown in Figure 10; the relation given therein can be used to estimate thermal damages due to an increase in temperature.
- Thermal conductivity and thermal diffusivity decrease by 60% to 75% up to 900 °C due to crack development and phase transformation of quartz. The specific heat of granite increases with an increase in temperature.
- There is a strong need to standardize the test methods. P-wave velocity and thermal damages are good candidates for this purpose and need to be further evaluated to check their veracity for such purposes.
- Hence, this review paper will be greatly beneficial to the future researcher to find out the relevant research gap and carry out related research for useful implementation.
Author Contributions
Funding
Institutional Review Board Statement
Informed Consent Statement
Data Availability Statement
Acknowledgments
Conflicts of Interest
Abbreviations
| σ | Peak stress |
| σ1 | Initial stress of material |
| σ2 | Terminated stress of material |
| T | Temperature. |
| ϵ | Strain. |
| Initial strain of material. | |
| Terminated strain of material. | |
| Porosity of rocks. | |
| Volume of void space | |
| Total bulk volume of rock. | |
| E | Elastic modulus |
| Elastic modulus at high temperature. | |
| Elastic modulus at room temperature | |
| µ | Poisson’s ratio. |
| Ρ | Density of the material. |
| ν | Longitudinal wave velocity of the material. |
| vp | p-wave velocity. |
| L | Length of cylindrical rods. |
| ∆t | Travel time of signal pulse between both ends. |
| Thermal damages. |
References
- Jina, P.; Hua, Y.; Shaoa, J.; Zhaoa, G.; Zhua, X.; Lia, C. Influence of different thermal cycling treatments on the physical, mechanical and transport properties of granite. Geothermics 2019, 78, 118–128. [Google Scholar] [CrossRef]
- Yin, T.-B.; Shu, R.-H.; Li, X.-B.; Wang, P.; Dong, L.-J. Combined effects of temperature and axial pressure on dynamic mechanical properties of granite. Trans. Nonferrous Met. Soc. China 2016, 26, 2209–2219. [Google Scholar] [CrossRef]
- Zhu, S.; Zhang, W.; Sun, Q.; Deng, S.; Geng, J.; Li, C. Thermally induced variation of primary wave velocity in granite from Yantai: Experimental and modeling results. Int. J. Therm. Sci. 2017, 114, 320–326. [Google Scholar] [CrossRef]
- Su, G.; Chen, Z.; Ju, J.W.; Jian, J. Influence of temperature on the strainburst characteristics of granite under true triaxial loading conditions. Eng. Geol. 2016, 222, 38–52. [Google Scholar] [CrossRef]
- Yang, S.-Q.; Ranjith, P.G.; Jing, H.-W.; Tian, W.-L.; Ju, Y. An experimental investigation on thermal damage and failure mechanical behavior of granite after exposure to different high temperature treatments. Geothermics 2017, 65, 180–197. [Google Scholar] [CrossRef]
- Shao, S.; Ranjith, P.G.; Wasanth, P.L.P.; Chen, B.K. Experimental and numerical studies on the mechanical behaviour of Australian Strathbogie granite at high temperatures: An application to geothermal energy. Geothermics 2015, 54, 96–108. [Google Scholar] [CrossRef]
- Kumari, W.G.P.; Ranjith, P.G.; Perera, M.S.A.; Chen, B.K.; Abdulagatov, I.M. Temperature-dependent mechanical behaviour of Australian Strathbogie granite with different cooling treatments. Eng. Geol. 2017, 229, 31–44. [Google Scholar] [CrossRef]
- Nasseri, M.H.B.; Schubnel, A.; Young, R.P. Coupled evolutions of fracture toughness and elastic wave velocities at high crack density in thermally treated Westerly granite. Int. J. Rock Mech. Min. Sci. 2007, 44, 601–616. [Google Scholar] [CrossRef]
- Chaki, S.; Takarli, M.; Agbodjan, W.P. Influence of thermal damage on physical properties of a granite rock: Porosity, permeability and ultrasonic wave evolutions. Constr. Build. Mater. 2008, 22, 1456–1461. [Google Scholar] [CrossRef]
- Du, S.J.; Liu, H.; Zhi, H.T. Testing study on mechanical properties of post -high-temperature granite. Chin. J. Rock Mech. Eng. 2004, 14, 2359–2364. (In Chinese) [Google Scholar]
- Jianxin, H.A.N.; Shucai, L.I.; Shuchen, L.I.; Lei, W. Post-peak Stress-strain Relationship of Rock Mass Based on Hoek-Brown Strength Criterion. Procedia Earth Planet. Sci. 2012, 5, 289–293. [Google Scholar] [CrossRef]
- Gautam, P.K.; Verma, A.K.; Jha, M.K.; Maheshwar, S.; Singh, T.N. Effect of high temperature on physical and mechanical properties of granite. J. Appl. Geophys. 2017, 159, 30140–30144. [Google Scholar] [CrossRef]
- Isaka, B.A.; Ranjith, P.; Rathnaweera, T.; Perera, M.; De Silva, V. Quantification of thermally-induced microcracks in granite using X-ray CT imaging and analysis. Geothermics 2019, 81, 152–167. [Google Scholar] [CrossRef]
- Vagnona, F.; Colombero, C.; Colombo, F.; Comina, C.; Ferrero, A.M.; Mandrone, G.; Vinciguerra, S.C. Effects of thermal treatment on physical and mechanical properties of Valdieri Marble—NW Italy. Int. J. Rock Mech. Min. Sci. 2019, 116, 75–86. [Google Scholar] [CrossRef]
- Homand-Etienne, F.; Houpert, R. Thermally Induced Microcracking in Granites: Characterization and Analysis. Int. J. Rock Mech. Win. Sci. Geomech. Abstr. 1989, 26, 125–134. [Google Scholar] [CrossRef]
- Shan, Y.; Zhao, J.; Tong, H.; Yuan, J.; Lei, D.; Li, Y. Effects of activated carbon on liquefaction resistance of calcareous sand treated with microbially induced calcium carbonate precipitation. Soil Dyn. Earthq. Eng. 2022, 161, 107419. [Google Scholar] [CrossRef]
- Xu, X.L.; Feng, G.A.; Shen, X.M.; Xie, H.P. Mechanical characteristics and microcosmic mechanisms of granite under temperature loads. J. China Univ. Min. Technol. 2008, 18, 0413–0417. [Google Scholar] [CrossRef]
- Chen, Y.; Hu, S.; Wei, K.; Hu, R.; Zhou, C.; Jing, L. Experimental characterization and micro mechanical modeling of damage-induced permeability variation in Beishan granite. Int. J. Rock Mech. Min. Sci. 2014, 71, 64–76. [Google Scholar] [CrossRef]
- Chen, S.; Yang, C.; Wang, G. Evolution of thermal damage and permeability of Beishan granite. Appl. Therm. Eng. 2017, 110, 1533–1542. [Google Scholar] [CrossRef]
- Moore, D.E.; Lockner, D.A.; Byerlee, J.D. Reduction of Permeability in Granite at Elevated temperatures. Science 1994, 265, 1558–1561. [Google Scholar] [CrossRef]
- Siratovich, P.A.; Villeneuve, M.C.; Cole, J.W.; Kennedy, B.M.; Bégué, F. Saturated heating and quenching of three crustal rocks and implications for thermal stimulation of permeability in geothermal reservoirs. Int. J. Rock Mech. Min. Sci. 2015, 80, 265–280. [Google Scholar] [CrossRef]
- Aim, O.; Jaktlund, L.; Shaoquan, K. The influence of microcrack density on the elastic and fracture mechanical properties of Stripa granite. Phys. Earth Planet. Inter. 1985, 40, 161–179. [Google Scholar]
- Kang, F.; Jia, T.; Li, Y.; Deng, J.; Tang, C.; Huang, X. Experimental study on the physical and mechanical variations of hot granite under different cooling treatments. Renew. Energy 2021, 179, 1316–1328. [Google Scholar] [CrossRef]
- Heuze, F.E. High-temperature Mechanical, Physical and Thermal Properties of Granitic Rocks. A Review. Int. J. Rock Mech. Min. Sci. Geomech. Abstr. 1983, 20, 3–10. [Google Scholar] [CrossRef]
- Liu, S.; Xu, J. Mechanical properties of Qinling biotite granite after high temperature treatment. Int. J. Rock Mech. Min. Sci. 2014, 71, 188–193. [Google Scholar] [CrossRef]
- Yin, T.-B.; Shu, R.-H.; Li, X.-B.; Wang, P.; Liu, X.-L. Comparison of mechanical properties in high temperature and thermal treatment granite. Trans. Nonferrous Met. Soc. China 2016, 26, 1926–1937. [Google Scholar] [CrossRef]
- Chen, Y.-L.; Wang, S.-R.; Jing, N.; Azzam, R.; Tomás, M.; Fernández, S. An experimental study of the mechanical properties of granite after high temperature exposure based on mineral characteristics. Eng. Geol. 2016, 220, 234–242. [Google Scholar] [CrossRef]
- Wu, X.; Huang, Z.; Cheng, Z.; Zhang, S.; Song, H.; Zhao, X. Effects of cyclic heating and LN2-cooling on the physical and mechanical properties of granite. Appl. Therm. Eng. 2019, 156, 99–110. [Google Scholar] [CrossRef]
- Yang, S.; Tian, W.; Huang, Y. Failure mechanical behavior of pre-holed granite specimens after elevated temperature treatment by particle flow code. Geothermics 2018, 72, 124–137. [Google Scholar] [CrossRef]
- Zhao, Z.; Dou, Z.; Xu, H.; Liu, Z. Shear behavior of Beishan granite fractures after thermal treatment. Eng. Fract. Mech. 2019, 213, 223–240. [Google Scholar] [CrossRef]
- Zuo, J.; Wang, J.; Sun, Y.; Chen, Y.; Jiang, G.; Li, Y. Effects of thermal treatment on fracture characteristics of granite from Beishan, a possible high-level radioactive waste disposal site in China. Eng. Fract. Mech. 2017, 182, 425–437. [Google Scholar] [CrossRef]
- Chang, C.; Zoback, M.D.; Khaksar, A. Empirical relations between rock strength and physical properties in sedimentary rocks. J. Pet. Sci. Eng. 2006, 51, 223–237. [Google Scholar] [CrossRef]
- Walsh, J.B. The effect of cracks on the compressibility of rock. J. Geophys. Res. 1965, 70, 381–389. [Google Scholar] [CrossRef]
- David, E.C.; Brantut, N.; Schubnel, A.; Zimmerman, R.W. Sliding crack model for nonlinearity and hysteresis in the uniaxial stress–strain curve of rock. Int. J. Rock Mech. Min. Sci. 2012, 52, 9–17. [Google Scholar] [CrossRef]
- ISRM. The Complete ISRM Suggested Methods for Rock Characterisation, Testing and Monitoring: 1974–2006; ISRM Commission on Testing Methods: Ankara, Turkey, 2007. [Google Scholar]
- Yang, S.Q.; Jing, H.W.; Huang, Y.H.; Ranjith, P.G.; Jiao, Y.Y. Fracture mechanical behavior of red sandstone containing a single fissure and two parallel fissures after exposure to different high temperature treatments. J. Struct. Geol. 2014, 69, 245–264. [Google Scholar] [CrossRef]
- Yang, S.Q.; Ranjith, P.G.; Huang, Y.H.; Yin, P.F.; Jing HWGui, Y.L.; Yu, Q.L. Experimental investigation on mechanical damage characteristics of sandstone under tri axial cyclic loading. Geophys. J. Int. 2015, 201, 662–682. [Google Scholar] [CrossRef]
- Saffet, Y. P-wave velocity test for assessment of geotechnical properties of some rock materials. Bull. Mater. Sci. 2011, 34, 947–953. [Google Scholar]
- Anon, O.H. Classification of rocks and soils for engineering geological mapping. Part 1: Rock and soil materials. Int. Ass. Eng. Geol. Bull. 1979, 19, 364–437. [Google Scholar]
- Mustaqim, M.M.; Zainab, M. Empirical Correlation of P-wave Velocity to the Density of Weathered Granite. In Proceedings of the International Civil and Infrastructure Engineering Conference, Kuching, Malaysia, 22–25 September 2013; pp. 22–24. [Google Scholar]
- Fan, L.F.; Wu, Z.J.; Wan, Z.; Gao, J.W. Experimental investigation of thermal effects on dynamic behavior of granite. Appl. Therm. Eng. 2017, 125, 94–103. [Google Scholar] [CrossRef]
- Sun, Q.; Zhang, W.; Xue, L.; Zhang, Z.; Su, T. Thermal damage pattern and thresholds of granite. Environ Earth Sci. 2015, 74, 2341–2349. [Google Scholar] [CrossRef]
- Kranz, R.L. Microcracks in rocks: A review. Tectonophysics 1983, 100, 449–480. [Google Scholar] [CrossRef]
- Liu, S.; Xu, J.Y. Study on dynamic characteristics of marble under impact loading and high temperature. Int. J. Rock Mech. Min. Sci. 2013, 62, 51–58. [Google Scholar] [CrossRef]
- Liu, S.; Xu, J. An experimental study on the physico-mechanical properties of two post-high temperature rocks. Eng. Geol. 2014, 185, 63–70. [Google Scholar] [CrossRef]
- Cho, W.J.; Kwon, S.; Choi, J.W. The thermal conductivity for granite with various water contents. Eng. Geol. 2009, 107, 167–171. [Google Scholar] [CrossRef]
- Kant, M.A.; Ammann, J.; Rossi, E.; Madonna, C.; Höser, D.; von Rohr, P.R. Thermal properties of Central Aare granite for temperatures up to 500°C: Irreversible changes due to thermal crack formation. Geophys. Res. Lett. 2016, 44, 771–776. [Google Scholar] [CrossRef]
- Cho, W.; Kwon, S. Estimation of the thermal properties for partially saturated granite. Eng. Geol. 2010, 115, 132–138. [Google Scholar] [CrossRef]
- Durham, W.B.; Mirkovich, V.V.; Heard, H.C. Thermal Diffusivity of Igneous Rocks at Elevated Pressure and Temperature. J. Geophys. Res. 1987, 92, 11615–11634. [Google Scholar] [CrossRef]
- Miao, S.; Li, H.P. Temperature dependence of thermal diffusivity, specific heat capacity, and thermal conductivity for several types of rocks. J. Therm. Anal. Calorim. 2013, 115, 1057–1063. [Google Scholar] [CrossRef]
- Sun, Q.; Zhang, W.; Zhu, Y.; Huang, Z. Effect of High Temperatures on the Thermal Properties of Granite. Rock Mech. Rock Eng. 2019, 52, 2691–2699. [Google Scholar] [CrossRef]
- Zhu, Z.; Tian, H.; Mei, G.; Jiang, G.; Dou, B.; Xiao, P. Experimental investigation on mechanical behaviors of Nanan granite after thermal treatment under conventional triaxial compression. Environ. Earth Sci. 2021, 80, 46. [Google Scholar] [CrossRef]
- Du, G.; Chen, S.; Chen, X.; Jiang, Z. Temperature damage regularity of granite based on micro-inhomogeneity. 2022. Available online: https://www.frontiersin.org/journals/earth-science (accessed on 10 August 2021).
- Zhu, D.; Fan, Y.; Miao, L.; Jin, H.; Jing, H.; Liu, X. Study of tensile mechanical properties of granite after repeated action of high temperature-water cooling. 2022; preprint. [Google Scholar] [CrossRef]
- Meng, X.; Liu, W.; Meng, T. Experimental Investigation of Thermal Cracking and Permeability Evolution of Granite with Varying Initial Damage under High Temperature and Triaxial Compression. Adv. Mater. Sci. Eng. 2018, 2018, 8759740. [Google Scholar] [CrossRef]
- Xu, J.; Kang, Y.; Wang, Z.; Wang, X.; Zeng, D.; Su, D. Dynamic Mechanical Behavior of Granite under the Effects of Strain Rate and Temperature. ASCE Int. J. Géoméch. 2020, 20, 1–12. [Google Scholar] [CrossRef]
- Wu, Z.; Xu, J.; Li, Y.; Wang, S. Disturbed State Concept–Based Model for the Uniaxial Strain-Softening Behavior of Fiber-Reinforced Soil. Int. J. Geomech. 2022, 22, 4022092. [Google Scholar] [CrossRef]
- Chen, K.; Guo, Z.; Zhu, C. Study on Mechanical Properties and Damage Evolution Law of Granite after High Temperature Cooling. In IOP Conference Series: Earth and Environmental Science; IOP Publishing: Bristol, UK, 2020; Volume 455. [Google Scholar] [CrossRef]
- Tomas, R.; Cano, M.; Pulgarín, L.F.; Brotons, V.; Benavente, D.; Miranda, T.; Vasconcelos, G. Thermal effect of high temperatures on the physical and mechanical properties of a granite used in UNESCO World Heritage sites in north Portugal. J. Build. Eng. 2021, 43, 102823. [Google Scholar] [CrossRef]
- Saksala, T. 3D Numerical Prediction of Thermal Weakening of Granite under Tension. Geosciences 2021, 12, 10. [Google Scholar] [CrossRef]
- Saksala, T.; Ibrahimbegovic, A. Thermal shock weakening of granite rock under dynamic loading: 3D numerical modeling based on embedded discontinuity finite elements. Int. J. Numer. Anal. Methods Géoméch. 2020, 44, 1788–1811. [Google Scholar] [CrossRef]
- Yang, J.; Fu, L.; Fu, B.; Deng, W.; Han, T. Third-Order Padé Thermoelastic Constants of Solid Rocks. J. Geophys. Res. Solid Earth 2022, 127, e2022J–e24517J. [Google Scholar] [CrossRef]
- Fang, X.; Xu, J.; Liu, S.; Wang, H. Influence of Heating on Tensile Physical-Mechanical Properties of Granite. High Temp. Mater. Proc. 2019, 38, 505–515. [Google Scholar] [CrossRef]
- Xiao, Y.; Zhao, R.; Huang, Q.; Deng, J.; Lu, J. Numerical tests on thermal cracking characteristics of rocks with different scales. Adv. Mech. Eng. 2018, 10, 1–11. [Google Scholar] [CrossRef]
- Isaka, B.L.A.; Gamage, R.P.; Rathnaweera, T.D.; Perera, M.S.A.; Chandrasekharam, D.; Kumari, W.G.P. An Influence of Thermally-Induced Micro-Cracking under Cooling Treatments: Mechanical Characteristics of Australian Granite. Energies 2018, 11, 1338. [Google Scholar] [CrossRef]
- Hu, J.; Xie, H.; Sun, Q.; Li, C.; Liu, G. Changes in the thermodynamic properties of alkaline granite after cyclic quenching following high temperature action. Int. J. Min. Sci. Technol. 2021, 31, 843–852. [Google Scholar] [CrossRef]
- Feng, G.; Liu, C.-B.; Wang, J.-L.; Tao, Y.; Duan, Z.-P.; Xiang, W.-N. Experimental Study on the Fracture Toughness of Granite Affected by Coupled Mechanical-Thermo. Geo Sci. World Lithosphere 2021, 2022, 5715093. [Google Scholar] [CrossRef]
- Wang, C.; Li, X.-R.; Xie, M.-Z.; Xiong, Z.-Q.; Wang, C.; Wang, H.-B.; Zhan, S.-F.; Hu, Y.-C. Static and dynamic failure mechanisms of circular granite under the condition of water-heat cycles. Sci. Rep. 2021, 11, 5927. [Google Scholar] [CrossRef]
- Liu, L.; Ji, H.; Elsworth, D.; Zhi, S.; Lv, X.; Wang, T. Dual-damage constitutive model to define thermal damage in rock. Int. J. Rock Mech. Min. Sci. 2020, 126, 104185. [Google Scholar] [CrossRef]
- Mo, C.; Zhao, J.; Zhang, D. Real-Time Measurement of Mechanical Behavior of Granite During Heating–Cooling Cycle: A Mineralogical Perspective. Rock Mech. Rock Eng. 2022, 55, 4403–4422. [Google Scholar] [CrossRef]
- Yu, L.; Peng, H.; Zhang, Y.; Li, G. Mechanical test of granite with multiple water–thermal cycles. Geotherm Energy 2021, 9, 1–20. [Google Scholar] [CrossRef]
- Li, Q.; Yin, T.; Li, X.; Shu, R. Experimental and Numerical Investigation on Thermal Damage of Granite Subjected to Heating and Cooling. Mathematics 2021, 9, 3027. [Google Scholar] [CrossRef]
- Enzell, J.; Tollsten, M. Thermal Cracking of a Concrete Arch Dam Due to Seasonal Temperature Variations; KTH School of ABE: Stockholm, Sweden, 2017; ISSN 1103-4297. [Google Scholar]
- Amran, M.; Fediuk, R.; Murali, G.; Avudaiappan, S.; Ozbakkaloglu, T.; Vatin, N.; Karelina, M.; Klyuev, S.; Gholampour, A. Fly Ash-Based Eco-Efficient Concretes: A Comprehensive Review of the Short-Term Properties. Materials 2021, 14, 4264. [Google Scholar] [CrossRef]
- Li, Z.; Long, M.; Feng, X.; Zhang, Y. Thermal damage effect on the thermal conductivity inhomogeneity of granite. Int. J. Rock Mech. Min. Sci. 2021, 138, 104583. [Google Scholar] [CrossRef]
- Wang, X.; Ma, H.; Qi, X.; Gao, K.; Li, S.; Yang, X. Experimental study on the effect of hightemperature oxidation coal mechanical characteristics. PLoS ONE 2022, 17, e0264039. [Google Scholar] [CrossRef]
- Fu, Y.; Wang, Z.; Ren, F.; Wang, D. Numerical model of thermo-mechanical coupling for the tensile failure process of brittle materials. AIP Adv. 2017, 7, 105023. [Google Scholar] [CrossRef]
- Hamzaban, M.; Büyüksağiş, I.S.; Touranchehzadeh, A.; Manafi, M. The Effect of Heat Shocks and Freezing–Thawing Cycles on the Mechanical Properties of Natural Building Stones. J. Mod. Mech. Eng. Technol. 2021, 8, 76–100. [Google Scholar] [CrossRef]
- Yang, Z.; Dou, L.; Liu, C.; Xu, M.; Lei, Z.; Yao, Y. Application of high-pressure water jet technology and the theory of rock burst control in roadway. Int. J. Min. Sci. Technol. 2016, 26, 929–935. [Google Scholar] [CrossRef]
- Lu, Y.; Tang, J.; Ge, Z.L.; Xia, B.; Liu, Y. Hard rock drilling technique with abrasive water jet assistance. Int. J. Rock Mech. Min. Sci. 2013, 60, 47–56. [Google Scholar] [CrossRef]
- Tripathi, R.; Srivastava, M.; Hloch, S.; Adamčíkc, P.; Chattopadhyayaa, S.; Das, A.K. Monitoring of acoustic emission during the disintegration of rock. Procedia Eng. 2016, 149, 481–488. [Google Scholar] [CrossRef]





| Year | Ref. [No.] | Factors Treated | Rock | Petrological Character | Temperature Variation | Method Used | Objective | Comments | |
|---|---|---|---|---|---|---|---|---|---|
| Name | Location | ||||||||
| 1985 | [22] | Heat treated | Stripa granite | Central Sweden | Quartz 35%, Plagioclase 35%, Microcline 24%, Muscovite 2%, Chlorite 3%, Accessories 1%. | 100 °C to 600 °C | Optical microscopy, SEM, and differential strain analysis (DSA) | Microcrack density and fractural mechanical properties | - |
| 2007 | [16] | Heat treated | Westerly granite | Brazil | - | Room temperature to 850 °C | Mode I Tensile Test. | Fractural toughness and wave velocities | Rock behavior UP to 850 °C temperatures. |
| 2007 | [8] | High-temperature treatment | Westerly granite | Brazil | Plagioclase 46%, Quartz 42%, Feldspar 8%, Mica 4%. | 25 °C to 850 °C | Tensile Test Heat treatment | Crack density and wave velocity of Westerly granite | |
| 2008 | [9] | Thermal damages | Beishan Granite | France | 46% plagioclase, 8% K-feldspar, 42% quartz, and 4% mica. | Room temperature to 600 °C | Gas permeability, velocity, and attenuation of ultrasonic waves | Porosity, permeability, ultrasonic velocity measurement | Rock behavior at each stage of heat treatment. |
| 2014 | [18] | Heat treated | Beishan granite | China | 49.42 to 51.26% K-feldspar, 20.37 to 21.46% quartz, 18.74 to 20.89% plagioclase, and 8.23 to 10.36% biotite. | Compression test | Permeability variation and microcrack | - | |
| 2015 | [6] | Mechanical behavior on high-temperature treatment | Australian Strathbogie granite | Australia | - | Room temperature to 800 °C | Acoustic emission, electron microscopic scanning. | Geothermal energy | Changes observed between 600 °C to 800 °C |
| 2016 | [4] | Temperature changes | Strainbrust granite | China | - | 30 °C to 700 °C | Acoustic emission. | Triaxial loading | Changes observed between 300 °C to 700 °C |
| 2017 | [5] | High-temperature treatment | Granite | China | 11.12% quartz, 59.85% feldspar, 21.56% biotite, 6% amphibole, 1.01% chlorite, and 0.46% dolomite. | 25 °C to 800 °C | Uniaxial Compressive test and acoustic emission test | Experimental investigation | Ductile deformation between 700 °C to 800 °C |
| 2017 | [12] | Physical, Mechanical properties of granite | Jalore granite | India | - | 25 °C to 600 °C | Scanning electron microscope (SEM) analyses | High-temperature treatment | Thermal cracking of brittle rock |
| 2019 | [1] | Thermal treatment of granite | - | - | - | Room temperature to 500 °C | Non-destructive test and destructive test. | Slow cooling and rapid cooling | Changes observed in different temperature ranges |
| 2020 | [23] | Physical and Mechanical properties | China | 200 °C to 800 °C | Liquid Nitrogen cooling treatment | Different rate of cooling | Observation of crack generation. | ||
| Peak Stress | |||||||||||||||
|---|---|---|---|---|---|---|---|---|---|---|---|---|---|---|---|
| Ref No. | Granite Type | Temperature (℃) | |||||||||||||
| 25 | 30 | 35 | 50 | 100 | 200 | 300 | 400 | 500 | 600 | 700 | 800 | 900 | 1000 | ||
| [2] | 206.4 | 183.3 | 150.3 | 136.5 | 131.3 | ||||||||||
| [4] | 255.9 | 253.2 | 250 | 253.3 | 245.9 | 243.7 | 222.7 | 199.9 | |||||||
| [6] | 85.54 | 76.19 | 71.77 | 31.7 | 18.8 | 13.41 | |||||||||
| [15] | Jalore | 66.72 | 68.01 | 69.1 | 52.9 | 41.45 | 32.71 | ||||||||
| [23] | General | 115.39 | 108.54 | 94.048 | 49.87 | 38.07 | |||||||||
| [52] | 252.75 | 234.44 | 230.37 | 223.7 | 172.61 | 112.71 | |||||||||
| Peak Strain | |||||||||||||||
|---|---|---|---|---|---|---|---|---|---|---|---|---|---|---|---|
| Ref No. | Granite Type | Temperature (℃) | |||||||||||||
| 25 | 30 | 35 | 50 | 100 | 200 | 300 | 400 | 500 | 600 | 700 | 800 | 900 | 1000 | ||
| [2] | 0.00424 | 0.00427 | 0.00452 | 0.004722 | 0.004758 | ||||||||||
| [4] | 0.107 | 0.108 | 0.111 | 0.102 | 0.112 | 0.11 | 0.123 | 0.149 | |||||||
| [5] | 0.215 | 0.259 | 0.248 | 0.284 | 0.264 | 0.372 | 0.542 | 0.584 | |||||||
| [6] | 0.01721 | 0.01666 | 0.0187 | 0.0298 | 0.0402 | 0.0527 | |||||||||
| [7] | Strathbogie | 0.027 | 0.026 | 0.032 | 0.03 | 0.026 | 0.04 | 0.058 | 0.057 | ||||||
| [52] | 1.43 | 0.949 | 0.916 | 0.983 | 1.209 | 1.244 | |||||||||
| Density | |||||||||||||||
|---|---|---|---|---|---|---|---|---|---|---|---|---|---|---|---|
| Ref No. | Granite Type | Temperature (℃) | |||||||||||||
| 25 | 30 | 35 | 50 | 100 | 200 | 300 | 400 | 500 | 600 | 700 | 800 | 900 | 1000 | ||
| [1] | 2637.6 | 2637.3 | 2628.3 | 2624.6 | 2616.33 | 2608.6 | 2577.6 | ||||||||
| [2] | 2622.9 | 2616.83 | 2604.19 | 2583.33 | 2556.87 | ||||||||||
| [5] | 2643 | 2645 | 2650 | 2644 | 2640 | 2650 | 2647 | 2638 | |||||||
| [15] | Jalore | 2609.16 | 2597.4 | 2550.78 | 2532.57 | 2469.88 | 2407.93 | ||||||||
| [23] | General | 2644.4 | 2648.65 | 2636.11 | 2649.65 | 2652.84 | |||||||||
| [52] | 2591 | 2599 | 2598 | 2592 | 2598 | 2594 | |||||||||
| Porosity | |||||||||||||||
|---|---|---|---|---|---|---|---|---|---|---|---|---|---|---|---|
| Ref No. | Granite Type | Temperature (℃) | |||||||||||||
| 25 | 30 | 35 | 50 | 100 | 200 | 300 | 400 | 500 | 600 | 700 | 800 | 900 | 1000 | ||
| [9] | 0.63% | 0.82% | 1.08% | 1.26% | 1.43% | 2.98% | 5.35% | ||||||||
| [16] | 2.10% | 7.30% | 10.60% | ||||||||||||
| [16] | 0.80% | 5.90% | 7.50% | ||||||||||||
| [24] | 0.87% | 0.75% | 0.74% | 1.01% | 1.41% | 1.33% | 2.57% | ||||||||
| [23] | 1.63% | 3.16% | 3.86% | 9.67% | 14.02% | ||||||||||
| Young’s Modulus. | |||||||||||||||
|---|---|---|---|---|---|---|---|---|---|---|---|---|---|---|---|
| Ref No. | Granite Type | Temperature (℃) | |||||||||||||
| 25 | 30 | 35 | 50 | 100 | 200 | 300 | 400 | 500 | 600 | 700 | 800 | 900 | 1000 | ||
| [1] | 12.81 | 12.96 | 11.92 | 11.25 | 11.04 | 10.78 | 6.45 | ||||||||
| [2] | 44.04 | 41.86 | 35.19 | 28.21 | 26.78 | ||||||||||
| [4] | 32.8 | 30.2 | 31.1 | 30 | 28.7 | 25.6 | 24.6 | 21 | |||||||
| [5] | 37.35 | 36.26 | 40.73 | 32.45 | 25.18 | 16.88 | 4.842 | 2.068 | |||||||
| [6] | 14.78 | 14.48 | 14.45 | 7.39 | 1.5 | 0.81 | |||||||||
| [7] | Australian Strathbogie | 8.97 | 8.28 | 8.48 | 7.94 | 5.77 | 3.72 | 1.34 | |||||||
| [9] | Beishan | 22.29 | 22.64 | 22.74 | 21.52 | 20.5 | 17.17 | 12.41 | |||||||
| [10] | Australian | 17.13 | 16.51 | 15.97 | 14.5 | 12.47 | 10.13 | 6.89 | 2.9 | 0.91 | |||||
| [13] | Fine-grained | 8.97 | 13.96 | 14.06 | 11.91 | 10.81 | |||||||||
| [13] | Medium-grained | 8.57 | 11.76 | 13.49 | 9.63 | 1.99 | |||||||||
| [13] | Coarse-grained | 8.87 | 14.33 | 14.56 | 8.11 | 3.51 | |||||||||
| [23] | General | 32.60 | 31.78 | 25.79 | 10.59 | 6.96 | |||||||||
| [52] | 24.35 | 22.74 | 22.69 | 21.62 | 20.26 | 13.17 | |||||||||
| Poison’s Ratio | |||||||||||||||
|---|---|---|---|---|---|---|---|---|---|---|---|---|---|---|---|
| Ref No. | Granite Type | Temperature (℃) | |||||||||||||
| 25 | 30 | 35 | 50 | 100 | 200 | 300 | 400 | 500 | 600 | 700 | 800 | 900 | 1000 | ||
| [10] | Slow cooling | 0.22 | 0.21 | 0.19 | 0.18 | 0.18 | 0.21 | 0.32 | 0.33 | ||||||
| [10] | Rapid cooling | 0.21 | 0.2 | 0.19 | 0.25 | 0.25 | 0.21 | 0.35 | 0.36 | ||||||
| [5] | Static | 0.098 | 0.109 | 0.095 | 0.041 | 0.038 | 0.0244 | 0.367 | |||||||
| [5] | Dynamic | 0.461 | 0.461 | 0.454 | 0.454 | 0.449 | 0.462 | 0.452 | |||||||
| Peak Stress | |||||||||||||||
|---|---|---|---|---|---|---|---|---|---|---|---|---|---|---|---|
| Ref No. | Granite Type | Temperature (℃) | |||||||||||||
| 25 | 30 | 35 | 50 | 100 | 200 | 300 | 400 | 500 | 600 | 700 | 800 | 900 | 1000 | ||
| [1] | Slow cooling | 7.93 | 7.623 | 7.39 | 6.84 | 6.46 | 4.06 | 2.17 | |||||||
| [1] | Rapid cooling | 6.62 | 6.44 | 5.15 | 4.92 | 3.5 | 1.753 | ||||||||
| [15] | Jalore | 8.87 | 9.91 | 8.5 | 3.88 | 2.65 | 1.35 | ||||||||
| Peak Stress | |||||||||||||||
|---|---|---|---|---|---|---|---|---|---|---|---|---|---|---|---|
| Ref No. | Granite Type | Temperature (℃) | |||||||||||||
| 25 | 30 | 35 | 50 | 100 | 200 | 300 | 400 | 500 | 600 | 700 | 800 | 900 | 1000 | ||
| [1] | 130.11 | 134.1 | 118.26 | 111.85 | 105.54 | 93.11 | 58.21 | ||||||||
| [5] | 80.06 | 90.19 | 102.04 | 81.73 | 72.28 | 55.59 | 27.7 | 15.35 | |||||||
| [7] | 215.97 | 190.63 | 234.02 | 203.66 | 119.56 | 96.01 | 38.53 | 37.07 | |||||||
| [10] | 120.94 | 135.13 | 133.21 | 121.55 | 95.61 | 74.1 | 50.54 | 22.43 | 15.03 | ||||||
| P-wave | |||||||||||||||
|---|---|---|---|---|---|---|---|---|---|---|---|---|---|---|---|
| Ref No. | Granite Type | Temperature (℃) | |||||||||||||
| 25 | 30 | 35 | 50 | 100 | 200 | 300 | 400 | 500 | 600 | 700 | 800 | 900 | 1000 | ||
| [1] | 4086.6 | 4036.66 | 3665.6 | 3281.66 | 2755.3 | 2205.6 | 1241.3 | ||||||||
| [2] | 4156.7 | 3873.11 | 3250.32 | 2791.81 | 2746.34 | ||||||||||
| [3] | 3473.6 | 3403.1 | 3249.7 | 2983.1 | 2724.1 | 1989.6 | 1392.4 | 1155.5 | 1124.4 | 944.8 | |||||
| [4] | 5200 | 4900 | 4300 | 3500 | 3200 | 2100 | 1700 | 900 | |||||||
| [5] | 4517 | 3781 | 3517 | 3020 | 2717 | 1651 | 670 | 441 | |||||||
| [9] | 4142.32 | 3944.84 | 3883.98 | 3489.2 | 3094.41 | 1519.36 | 858.93 | ||||||||
| [23] | 3796 | 3849.33 | 3895.67 | 3865.00 | 3812.33 | ||||||||||
Publisher’s Note: MDPI stays neutral with regard to jurisdictional claims in published maps and institutional affiliations. |
© 2022 by the authors. Licensee MDPI, Basel, Switzerland. This article is an open access article distributed under the terms and conditions of the Creative Commons Attribution (CC BY) license (https://creativecommons.org/licenses/by/4.0/).
Share and Cite
Paul, S.; Chattopadhyaya, S.; Raina, A.K.; Sharma, S.; Li, C.; Zhang, Y.; Kumar, A.; Tag-Eldin, E. A Review on the Impact of High-Temperature Treatment on the Physico-Mechanical, Dynamic, and Thermal Properties of Granite. Sustainability 2022, 14, 14839. https://doi.org/10.3390/su142214839
Paul S, Chattopadhyaya S, Raina AK, Sharma S, Li C, Zhang Y, Kumar A, Tag-Eldin E. A Review on the Impact of High-Temperature Treatment on the Physico-Mechanical, Dynamic, and Thermal Properties of Granite. Sustainability. 2022; 14(22):14839. https://doi.org/10.3390/su142214839
Chicago/Turabian StylePaul, Soumen, Somnath Chattopadhyaya, A. K. Raina, Shubham Sharma, Changhe Li, Yanbin Zhang, Amit Kumar, and Elsayed Tag-Eldin. 2022. "A Review on the Impact of High-Temperature Treatment on the Physico-Mechanical, Dynamic, and Thermal Properties of Granite" Sustainability 14, no. 22: 14839. https://doi.org/10.3390/su142214839
APA StylePaul, S., Chattopadhyaya, S., Raina, A. K., Sharma, S., Li, C., Zhang, Y., Kumar, A., & Tag-Eldin, E. (2022). A Review on the Impact of High-Temperature Treatment on the Physico-Mechanical, Dynamic, and Thermal Properties of Granite. Sustainability, 14(22), 14839. https://doi.org/10.3390/su142214839

