Designing Resource-Efficient and Environmentally Safe Cropping Systems for Sustainable Energy Use and Economic Returns in Indo-Gangetic Plains, India
Abstract
1. Introduction
2. Materials and Methods
2.1. Experimental Site and Treatments
2.2. Crop Yields, System Productivity, and Economic Assessment
2.3. Calculation of Energy Use Efficiencies
2.4. Soil and Plant Analysis
2.5. Greenhouse Gas Emission Estimation
- EF: Seasonal CH4 emission factor for India (10 g m−2 year−1)
- Aij: Rice area (ha year−1)
- SFo: Correction factor for organic sources (1.4)
- SFj: 0.7 scaling factor for Aj
2.6. Statistical Analysis
3. Results
3.1. System Productivity and Production Efficiency
3.2. Irrigation Water Use Efficiency
3.3. Economics Returns
3.4. Energy Dynamics
3.5. Global Warming Potential (GWP) and Greenhouse Gases Intensity (GHGI)
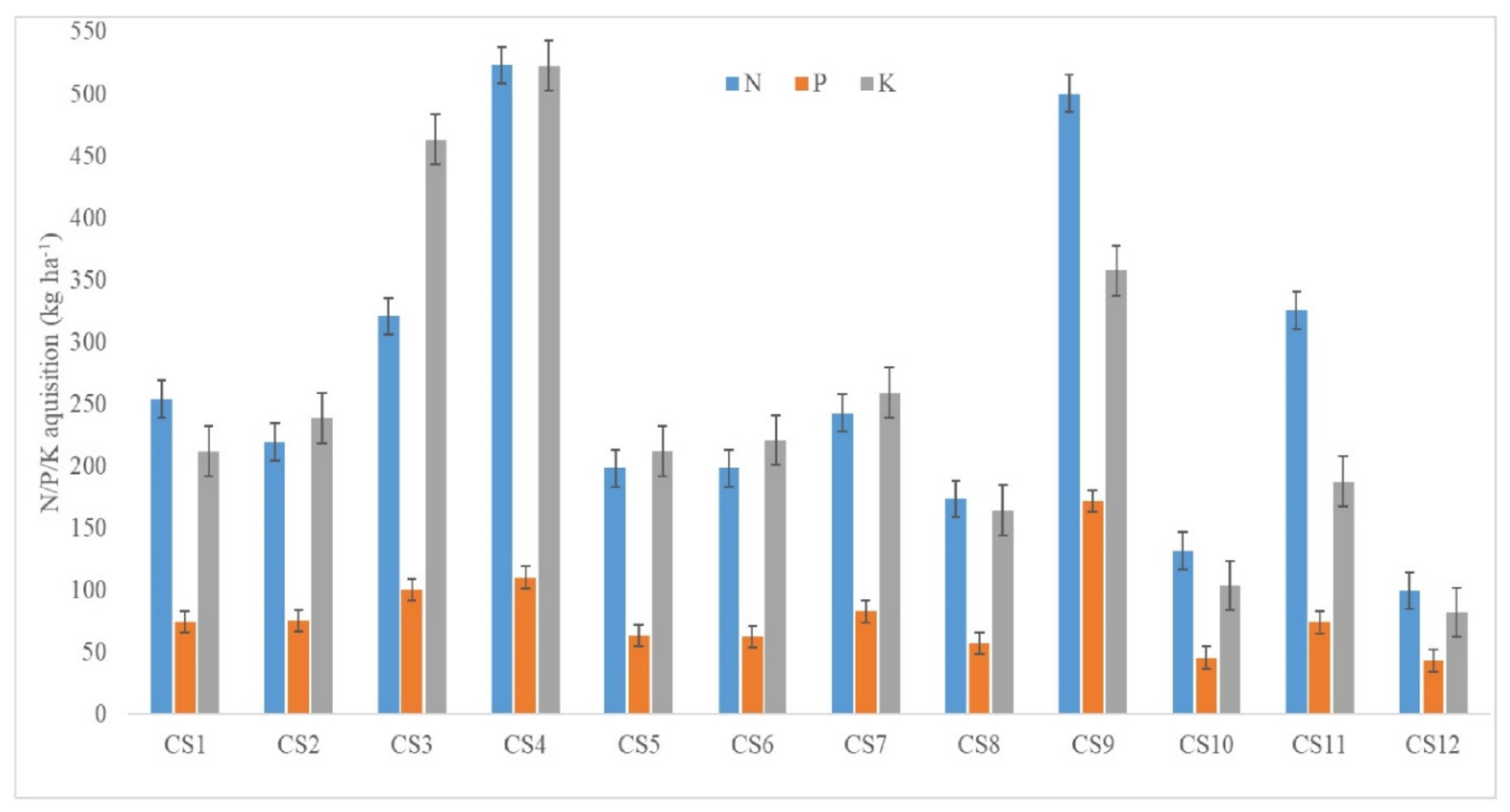
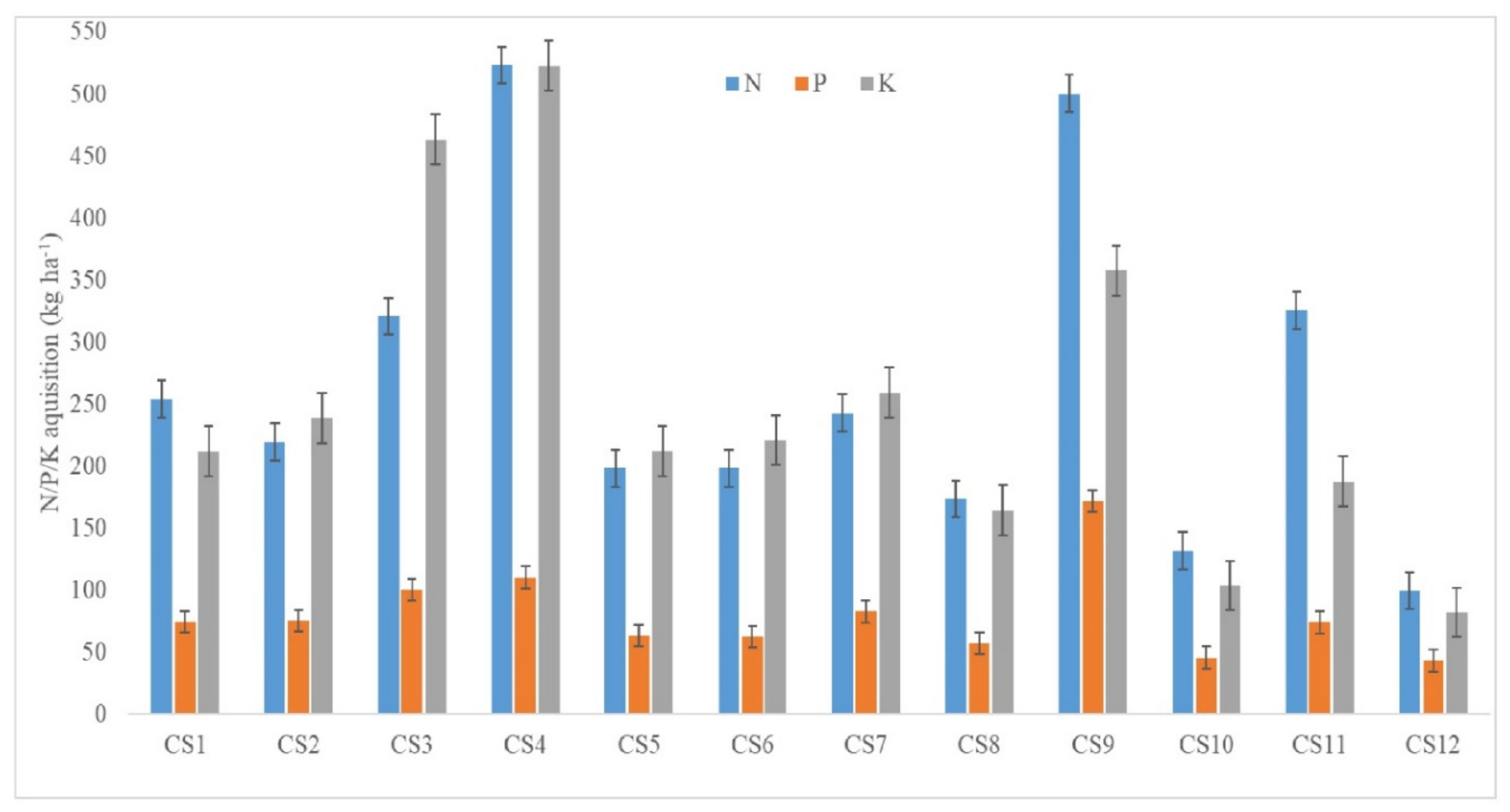
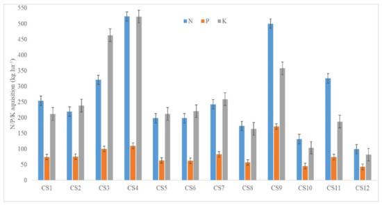
3.6. Nutrients Acquisition (Uptake), Soil Fertility Status, and Microbial Count
3.7. Correlation Analysis
4. Discussion
5. Conclusions
Author Contributions
Funding
Institutional Review Board Statement
Informed Consent Statement
Data Availability Statement
Acknowledgments
Conflicts of Interest
References
- Babu, S.; Singh, R.; Yadav, D.; Rathore, S.S.; Raj, R.; Avasthe, R.; Yadav, S.K.; Das, A.; Yadav, V.; Yadav, B.; et al. Nanofertilizers for agricultural and environmental sustainability. Chemosphere 2022, 292, 133451. [Google Scholar] [CrossRef] [PubMed]
- Gill, S.S. Water crisis in Punjab and Haryana. Econ. Polit. Wkly. 2016, 51, 37–41. [Google Scholar]
- Yadav, G.S.; Das, A.; Kandpal, B.K.; Babu, S.; Lal, R.; Datta, M.; Das, B.; Singh, R.; Singh, V.K.; Mohapatra, K.P.; et al. The food-energy-water-carbon nexus in a maize-maize-mustard cropping sequence of the Indian Himalayas: An impact of tillage-cum-live mulching. Renew. Sustain. Energy Rev. 2021, 151, 111602. [Google Scholar] [CrossRef]
- Yadav, G.S.; Das, A.; Lal, R.; Babu, S.; Datta, M.; Meena, R.S.; Patil, S.B.; Singh, R. Impact of no-till and mulching on soil carbon sequestration under rice (Oryza sativa L.)-rapeseed (Brassica campestris L. var. rapeseed) cropping system in hilly agro-ecosystem of the Eastern Himalayas, India. Agric. Ecosyst. Environ. 2019, 275, 81–92. [Google Scholar] [CrossRef]
- Suresh, A.; Raju, S.S.; Chauhan, S.; Chaudhary, K.R. Rainfed agriculture in India: An analysis of performance and implications. Indian J. Agric. Sci. 2004, 84, 1415–1422. [Google Scholar]
- Sehgal, J.L.; Abrol, I.P.; Saxena, R.K.; Pofali, R.M. Soil Degradation in India; Oxford & IBH Publishing Co. Pvt. Ltd.: New Delhi, India, 1994. [Google Scholar]
- Sharma, S.K.; Choudhury, A.; Sarkar, P.; Biswas, S.; Singh, A.; Dadhich, P.K.; Singh, A.K.; Majumdar, S.; Bhatia, A.; Mohini, M.; et al. Greenhouse gas inventory estimates for India. Curr. Sci. 2011, 101, 405–415. [Google Scholar]
- Cole, C.V.; Duxbury, J.; Freney, J.; Heinemeyer, O.; Minami, K.; Mosier, A.; Paustian, K.; Rosenberg, N.; Sampson, N.; Sauerbeck, D.; et al. Global estimates of potential mitigation of greenhouse gas emissions by agriculture. Nutr. Cycl. Agroecosys. 1997, 49, 221–228. [Google Scholar] [CrossRef]
- Smithson, P.A. IPCC, 2001: Climate Change 2001: The Scientific Basis. Contribution of Working Group 1 to the Third Assessment Report of the Intergovernmental Panel on Climate Change; Houghton, J.T., Ding, Y., Griggs, D.J., Noguer, M., van der Linden, P.J., Dai, X., Maskell, K., Johnson, C.A., Eds.; Cambridge University Press: Cambridge, UK; New York, NY, USA, 2002; p. 881. [Google Scholar] [CrossRef]
- Yadav, G.S.; Babu, S.; Das, A.; Mohapatra, K.P.; Singh, R.; Avasthe, R.K.; Roy, S. No till and mulching enhance energy use efficiency and reduce carbon footprint of a direct-seeded upland rice production system. J. Clean. Prod. 2020, 271, 122700. [Google Scholar] [CrossRef]
- Solomon, S.; Qin, D.; Manning, M.; Chen, Z.; Marquis, M.; Averyt, K.B.; Tignor, M.; Miller, H.L. IPCC, Climate Change 2007: The Physical Science Basis, Contribution of Working Group I to the Fourth Assessment Report of the Intergovernmental Panel on Climate Change; Cambridge University Press: Cambridge, UK, 2007; p. 18. [Google Scholar]
- Janzen, H.H. Carbon cycling in earth systems-a soil science perspective. Agric. Ecosyst. Environ. 2004, 104, 399–417. [Google Scholar] [CrossRef]
- Smith, P. Engineered biological sinks on land. In The Global Carbon Cycle: Integrating Humans, Climate, and the Natural World; Field, C.B., Raupach, M.R., Eds.; Scientific Committee on Problems of the Environment (SCOPE); Island Press: Washington, DC, USA, 2004; Volume 62, pp. 479–491. [Google Scholar]
- Ferry, J.G. Biochemistry of methanogenesis. Crit. Rev. Biochem. Mol. Biol. 1992, 27, 473–503. [Google Scholar] [CrossRef] [PubMed]
- Mosier, A.R.; Duxbury, J.M.; Freney, J.R.; Heinemeyer, O.; Minami, K.; Johnson, D.E. Mitigating agricultural emissions of methane. Clim. Change 1998, 40, 39–80. [Google Scholar] [CrossRef]
- Oenema, O.; Wrage, N.; Velthof, G.L.; van Groenigen, J.W.; Dolfing, J.; Kuikman, P.J. Trends in global nitrous oxide emissions from animal production systems. Nutr. Cycl. Agroecosyst. 2005, 72, 51–65. [Google Scholar] [CrossRef]
- Smith, K.A.; Conen, F. Impacts of land management on fluxes of trace greenhouse gases. Soil Use Manag. 2004, 20, 255–263. [Google Scholar] [CrossRef]
- Wassmann, R.; Lantin, R.S.; Neue, H.U.; Buendia, L.V.; Corton, T.M.; Lu, Y. Characterization of methane emissions from rice fields in Asia. III. Mitigation options and future research needs. Nutr. Cycl. Agroecosyst. 2000, 58, 23–36. [Google Scholar] [CrossRef]
- Druckman, A.; Jackson, T. The carbon footprint of UK households 1990–2004: A socio-economically disaggregated, quasi-multi-regional input–output model. Ecol. Econ. 2009, 68, 2066–2077. [Google Scholar] [CrossRef]
- Hillier, J.; Hawes, C.; Squire, G.; Hilton, A.; Wale, S.; Smith, P. The carbon footprints of food crop production. Int. J. Agric. Sustain. 2009, 7, 107–118. [Google Scholar] [CrossRef]
- Perry, S.; Klemes, J.; Bulatov, I. Integrating waste and renewable energy to reduce the carbon footprint of locally integrated energy sectors. Energy 2008, 33, 1489–1497. [Google Scholar] [CrossRef]
- Babu, S.; Mohapatra, K.P.; Das, A.; Yadav, G.S.; Tahasildar, M.; Singh, R.; Panwar, A.S.; Yadav, V.; Chandra, P. Designing energy-efficient, economically sustainable and environmentally safe cropping system for the rainfed maize-fallow land of the Eastern Himalayas. Sci. Total Environ. 2020, 722, 137874. [Google Scholar] [CrossRef]
- Yadav, G.S.; Babu, S.; Das, A.; Datta, M.; Mohapatra, K.P.; Singh, R.; Rathore, S.S.; Chakraborty, M. Productivity, soil health, and carbon management index of Indian Himalayan intensified maize-based cropping systems under live mulch-based conservation tillage practices. Field Crops Res. 2021, 264, 108080. [Google Scholar] [CrossRef]
- Jat, R.K.; Sapkota, T.B.; Singh, R.G.; Jat, M.L.; Kumar, M.; Gupta, R.K. Seven years of conservation agriculture in a rice-wheat rotation of Eastern Gangetic Plains of South Asia: Yield trends and economic profitability. Field Crops Res. 2014, 164, 199–210. [Google Scholar] [CrossRef]
- Devasenapathy, P.; Senthilkumar, G.; Shanmugam, P.M. Energy management in crop production. Indian J. Agron. 2009, 54, 80–90. [Google Scholar]
- Yadav, G.S.; Das, A.; Lal, R.; Babu, S.; Meena, R.S.; Saha, P.; Singh, R.; Datta, M. Energy budget and carbon footprint in a no-till and mulch based rice-mustard cropping system. J. Clean. Prod. 2018, 191, 144–157. [Google Scholar] [CrossRef]
- Walkley, A.; Black, I.A. An examination of the Degtjareff method for determining soil organic matter, and a proposed modification of the chromic acid titration method. Soil Sci. 1934, 37, 29–38. [Google Scholar] [CrossRef]
- Subbiah, B.V.; Asija, G.L. A rapid method for the estimation of nitrogen in soil. Curr. Sci. 1956, 26, 259–260. [Google Scholar]
- Olsen, S.R.; Cole, C.V.; Watanabe, F.S.; Dean, L.A. Estimation of Available Phosphorus in Soil by Extraction with Sodium Bicarbonate; USDA: Washington, DC, USA, 1954. [Google Scholar]
- Merwin, H.D.; Peech, M. Exchangeability of soil potassium in the sand, silt, and clay fractions as influenced by the nature of the complementary exchangeable cation. Soil Sci. Soc. Am. J. 1951, 15, 125–128. [Google Scholar] [CrossRef]
- Micle, V.; Sur, I.M.; Criste, A.; Senila, M.; Levei, E.; Marinescu, M.; Rogozan, G.C. Lab-scale experimental investigation concerning ex-situ bioremediation of petroleum hydrocarbons-contaminated soils. Soil Sediment Contam. Int. J. 2018, 27, 692–705. [Google Scholar] [CrossRef]
- Thomas, P.; Sekhar, A.C.; Upreti, R.; Mujawar, M.M.; Pasha, S.S. Optimization of single plate-serial dilution spotting (SP-SDS) with sample anchoring as an assured method for bacterial and yeast cfu enumeration and single colony isolation from diverse samples. Biotechnol. Rep. 2015, 8, 45–55. [Google Scholar] [CrossRef]
- Pratibha, G.; Srinivas, I.; Rao, K.V.; Shanker, A.K.; Raju, B.M.K.; Choudhary, D.K.; Rao, K.S.; Srinivasarao, C.; Maheswari, M. Net global warming potential and greenhouse gas intensity of conventional and conservation agriculture system in rainfed semi-arid tropics of India. Atmos. Environ. 2016, 145, 239–250. [Google Scholar] [CrossRef]
- Stocker, T.F.; Qin, D.; Plattner, G.K.; Tignor, M.; Allen, S.K.; Boschung, J.; Nauels, A.; Xia, Y.; Bex, V.; Midglev, P.M. IPCC, Climate Change 2013: The Physical Science Basis. In Contribution of Working Group I to the Fifth Assessment Report of the Intergovernmental Panel on Climate Change; Cambridge University Press: Cambridge, UK; New York, NY, USA, 2013; pp. 710–716. [Google Scholar]
- West, T.O.; Marland, G. A synthesis of carbon sequestration, carbon emissions, and net carbon flux in agriculture: Comparing tillage practices in the United States. Agric. Ecosyst. Environ. 2002, 91, 217–232. [Google Scholar] [CrossRef]
- Lal, R. Carbon emission from farm operations. Environ. Int. 2004, 30, 981–990. [Google Scholar] [CrossRef]
- Gao, B.; Ju, X.; Meng, Q.; Cui, Z.; Christie, P.; Chen, X.; Zhang, F. The impact of alternative cropping systems on global warming potential, grain yield and groundwater use. Agric. Ecosyst. Environ. 2015, 203, 46–54. [Google Scholar] [CrossRef]
- Wang, H.; Yang, Y.; Zhang, X.; Tian, G. Carbon footprint analysis for mechanization of maize production based on life cycle assessment: A case study in Jilin Province, China. Sustainability 2015, 7, 15772–15784. [Google Scholar] [CrossRef]
- Tubiello, F.N.; Condor-Golec, R.D.; Salvatore, M.; Piersante, A.; Federici, S.; Ferrara, A.; Rossi, S.; Flammini, A.; Cardenas, P.; Biancalani, R.; et al. Estimating Greenhouse Gas Emissions in Agriculture: A Manual to Address Data Requirements for Developing Countries; FAO: Rome, Italy, 2015; p. 193. [Google Scholar]
- Singh, V.K.; Dwivedi, B.S.; Singh, S.K.; Majumdar, K.; Jat, M.L.; Mishra, R.P.; Rani, M. Soil physical properties, yield trends and economics after five years of conservation agriculture-based rice-maize system in north-western India. Soil Till. Res. 2016, 155, 133–148. [Google Scholar] [CrossRef]
- Beri, V.; Sidhu, B.S.; Gupta, A.P.; Tiwari, R.C.; Pareek, R.P.; Rupela, O.P.; Khera, R.; Singh, J. Organic Resources of a Part of Indo-Gangetic Plain and Their Utilization; Panjab Agricultural University, Department of Soils: Ludhiana, India, 2003. [Google Scholar]
- Thind, H.S.; Sharma, S.; Singh, Y.; Sidhu, H.S. Rice-wheat productivity and profitability with residue, tillage and green manure management. Nutr. Cycl. Agroecosyst. 2019, 113, 13–125. [Google Scholar] [CrossRef]
- Gathala, M.K.; Kumar, V.; Sharma, P.C.; Saharawat, Y.S.; Jat, H.S.; Singh, M.; Kumar, A.; Jat, M.L.; Humphreys, E.; Sharma, D.K.; et al. Optimizing intensive cereal-based cropping systems addressing current and future drivers of agricultural change in the northwestern Indo-Gangetic Plains of India. Agric. Ecosyst. Environ. 2013, 177, 85–97. [Google Scholar] [CrossRef]
- Gill, M.S.; Ahlawat, I.P.S. Crop diversification-its role towards sustainability and profitability. Indian J. Fertil. 2006, 2, 125–138. [Google Scholar]
- Purushothaman, S. Studies on Rice-Based Multiple Cropping System. Ph.D. Thesis, TNAU, Coimbatore, India, 1979. [Google Scholar]
- Yadav, M.P.; Rai, J.; Kushwaha, S.P.; Singh, G.K. Production potential and economic analysis of various cropping systems for central plains zone of Uttar Pradesh. Indian J. Agron. 2005, 50, 83–85. [Google Scholar]
- Congreves, K.A.; Hayes, A.; Verhallen, E.A.; Van Eerd, L.L. Long-term impact of tillage and crop rotation on soil health at four temperate agroecosystems. Soil Till. Res. 2015, 152, 17–28. [Google Scholar] [CrossRef]
- Singh, V.K.; Sharma, B.B. Economic evaluation of rice (Oryza sativa)-based cropping sequences in the foothills of Himalayas. Indian J. Agron. 2002, 47, 12–19. [Google Scholar]
- Gill, M.S.; Sharma, G.C. Cropping systems diversification opportunities and conservation agriculture. J. Farming Syst. Res. Dev. 2005, 11, 127–134. [Google Scholar]
- Walia, S.S.; Gill, M.S.; Dhaliwal, S.S. Production potential and economics of different cropping systems and their impact on soil health. Indian J. Ecol. 2010, 37, 23–26. [Google Scholar]
- Choudhary, J.B.; Thakur, R.C.; Bhargava, M.; Sood, R.D. Production potential and economics of rice (Oryza sativa)-based cropping systems on farmers’ fields under mid-hill conditions of Himachal Pradesh. Himachal J. Agric. Res. 2001, 27, 31–35. [Google Scholar]
- Padhi, A.K. Productivity and economics of rice (Oryza sativa) based cropping sequences. Indian J. Agron. 1993, 38, 351–356. [Google Scholar]
- Zhang, H.; Pala, M.; Oweis, T.; Harris, H. Water use and water-use efficiency of chickpea and lentil in a Mediterranean environment. Aust. J. Agric. Res. 2000, 51, 295–304. [Google Scholar] [CrossRef]
- Meng, Q.; Sun, Q.; Chen, X.; Cui, Z.; Yue, S.; Zhang, F.; Romheld, V. Alternative cropping systems for sustainable water and nitrogen use in the North China Plain. Agric. Ecosyst. Environ. 2012, 146, 93–102. [Google Scholar] [CrossRef]
- Walia, S.S.; Gill, M.S.; Bhushan, B.; Phutela, R.P.; Aulakh, C.S. Alternate cropping systems to rice (Oryza sativa)-wheat (Triticum aestivum) for Punjab. Indian J. Agron. 2011, 56, 20–27. [Google Scholar]
- Samui, R.C.; Kundu, A.L.; Majumder, D.; Mani, P.K.; Sahu, P.K. Diversification of rice (Oryza sativa)-based cropping system in new alluvial zone of West Bengal. Indian J. Agron. 2004, 49, 71–73. [Google Scholar]
- Rao, M.R.; Willey, R.W. Evaluation of Yield Stability in Intercropping: Studies on Sorghum/Pigeonpea. Exp. Agric. 1980, 16, 105–116. [Google Scholar] [CrossRef]
- Bohra, J.S.; Singh, R.K.; Singh, U.N.; Singh, K.; Singh, R.P. Effect of crop diversification in rice-wheat cropping system on productivity, economics, land use and energy use efficiency under irrigated ecosystem of Varanasi. Oryza 2007, 44, 320–324. [Google Scholar]
- Meena, J.R.; Behera, U.K.; Chakraborty, D.; Sharma, A.R. Tillage and residue management effect on soil properties, crop performance and energy relations in green gram (Vigna radiata L.) under maize-based cropping systems. Int. Soil Water Conserv. Res. 2015, 3, 261–272. [Google Scholar] [CrossRef]
- Hatirli, S.A.; Ozkan, B.; Fert, C. Energy inputs and crop yield relationship in greenhouse tomato production. Renew. Energy 2006, 31, 427–438. [Google Scholar] [CrossRef]
- Gelfand, I.; Snapp, S.S.; Robertson, G.P. Energy efficiency of conventional, organic, and alternative cropping systems for food and fuel at a site in the US Midwest. Environ. Sci. Technol. 2010, 44, 4006–4011. [Google Scholar] [CrossRef] [PubMed]
- Gan, Y.; Liang, C.; Hamel, C.; Cutforth, H.; Wang, H. Strategies for reducing the carbon footprint of field crops for semiarid areas: A review. Agron. Sustain. Dev. 2011, 31, 643–656. [Google Scholar] [CrossRef]
- Pishgar-Komleh, S.H.; Ghahderijani, M.; Sefeedpari, P. Energy consumption and CO2 emissions analysis of potato production based on different farm size levels in Iran. J. Clean. Prod. 2012, 33, 183–191. [Google Scholar] [CrossRef]
- Zhang, X.Q.; Pu, C.; Zhao, X.; Xue, J.F.; Zhang, R.; Nie, Z.J.; Chen, F.; Lal, R.; Zhang, H.L. Tillage effects on carbon footprint and ecosystem services of climate regulation in a winter wheat-summer maize cropping system of the North China Plain. Ecol. Indic. 2016, 67, 821–829. [Google Scholar] [CrossRef]
- Plaza-Bonilla, D.; Nogue-Serra, I.; Raffaillac, D.; Cantero-Martínez, C.; Justes, E. Carbon footprint of cropping systems with grain legumes and cover crops: A case-study in SW France. Agric. Syst. 2018, 167, 92–102. [Google Scholar] [CrossRef]
- Prechsl, U.E.; Wittwer, R.; van der Heijden, M.G.; Lüscher, G.; Jeanneret, P.; Nemecek, T. Assessing the environmental impacts of cropping systems and cover crops: Life cycle assessment of FAST, a long-term arable farming field experiment. Agric. Syst. 2017, 157, 39–50. [Google Scholar] [CrossRef]
- Rathore, S.S.; Babu, S.; Shekhawat, K.; Singh, R.; Yadav, S.K.; Singh, V.K.; Singh, C. Designing energy cum carbon-efficient environmentally clean production system for achieving green economy in agriculture. Sustain. Energy Technol. Assess. 2022, 52, 102190. [Google Scholar] [CrossRef]
- Yang, X.; Gao, W.; Zhang, M.; Chen, Y.; Sui, P. Reducing agricultural carbon footprint through diversified crop rotation systems in the North China Plain. J. Clean. Prod. 2014, 76, 131–139. [Google Scholar] [CrossRef]
- Porpavai, S.; Devasenapathy, P.; Siddeswaran, K.; Jayaraj, T. Impact of various rice-based cropping systems on soil fertility. J. Cereals Oilseeds 2011, 2, 43–46. [Google Scholar]
- Nagoli, S.A.; Basavanneppa, M.A.; Sawargaonkar, G.; Biradar, D.P.; Biradar, S.A.; Navyashree, M.R. Soil fertility as influenced by alternate sequential cropping systems to rice-rice (Oryza sativa L.) In Tunga Bhadra project area. Ecol. Environ. Conserv. 2016, 22, 445–448. [Google Scholar]
- Bhunia, G.S.; Shit, P.K.; Chattopadhyay, R. Assessment of spatial variability of soil properties using geostatistical approach of lateritic soil (West Bengal, India). Ann. Agrar. Sci. 2018, 16, 436–443. [Google Scholar] [CrossRef]
- Mahapatra, B.S.; Kandpal, B.K.; Sharma, G.L. Summer legumes in relation to productivity and fertility in rice-wheat cropping system. Ann. Agric. Res. 2002, 23, 365–370. [Google Scholar]
- Kumari, C.P.; Goverdhan, M.; Reddy, G.K.; Nthebere, K.; Sharma, S.H.K.; Qureshi, A.A.; Alibaba, M.; Chiranjeevi, K. Different Cropping System Effect on Available NPK Post-harvest and their Uptake on Sandy Loam Soil of Southern Telangana Zone, India. Int. Res. J. Pure Appl. Chem. 2020, 21, 56–65. [Google Scholar] [CrossRef]
- Pal, M.S. Alternative crop production strategies for rice-wheat cropping systems in the Indo-Gangetic plains of India. Aust. J. Exp. Agric. 2003, 43, 605–615. [Google Scholar] [CrossRef]
- Ellouze, W.; Esmaeili Taheri, A.; Bainard, L.D.; Yang, C.; Bazghaleh, N.; Navarro-Borrell, A.; Hanson, K.; Hamel, C. Soil fungal resources in annual cropping systems and their potential for management. BioMed Res. Int. 2014, 2014, 531824. [Google Scholar] [CrossRef]
- Bhatt, R.; Singh, P.; Hossain, A.; Timsina, J. Rice-wheat system in the northwest Indo-Gangetic plains of South Asia: Issues and technological interventions for increasing productivity and sustainability. Paddy Water Environ. 2021, 19, 345–365. [Google Scholar] [CrossRef]
- Ladha, J.K.; Kumar, V.; Alam, M.M.; Sharma, S.; Gathala, M.; Chandna, P.; Saharawat, Y.S.; Balasubramanian, V. Integrating crop and resource management technologies for enhanced productivity, profitability, and sustainability of the rice-wheat system in South Asia. In Integrated Crop and Resource Management in the Rice-wheat System of South Asia; International Rice Research Institute (IRRI): Los Baños, Philippine, 2009; pp. 69–108. [Google Scholar]
- Banjara, T.R.; Bohra, J.S.; Kumar, S.; Singh, T.; Shori, A.; Prajapat, K. Sustainable alternative crop rotations to the irrigated rice-wheat cropping system of Indo-Gangetic Plains of India. Arch. Agron. Soil Sci. 2021, 67, 1–18. [Google Scholar] [CrossRef]
- Jat, M.L.; Chakarborty, D.; Ladha, J.K.; Rana, D.S.; Gathala, M.K.; McDonald, A.; Bruno, G. Conservation agriculture for sustainable intensification in South Asia. Nat. Sustain. 2020, 3, 336–343. [Google Scholar] [CrossRef]
- Dhanda, S.; Yadav, A.; Yadav, D.B.; Chauhan, B.S. Emerging issues and potential opportunities in the rice-wheat cropping system of North-Western India. Front. Plant Sci. 2022, 13, 832683. [Google Scholar] [CrossRef]






| Code | Cropping Systems |
|---|---|
| CS1 | Rice-wheat |
| CS2 | Basmati rice-hayola (transplanted)-mungbean |
| CS3 | Basmati rice-radish-maize |
| CS4 | Maize-potato-maize |
| CS5 | Maize (furrow) + turmeric (bed)-barley (bed) + linseed (furrow) |
| CS6 | Maize (furrow) + turmeric (bed)-wheat (bed) + linseed (furrow) |
| CS7 | Maize (furrow) + radish (bed)-wheat (bed) + linseed (furrow)-mungbean |
| CS8 | Groundnut + pigeon pea (5:1)-wheat + sarson (9:1) |
| CS9 | Maize + black gram-pea (bed) + celery (furrows) |
| CS10 | Maize + pigeon pea-chickpea (bed) + gobhi sarson (furrows) |
| CS11 | Maize (green cobs) + vegetable cowpea + dhaincha (Sesbania spp.)-chickpea + gobhi sarson |
| CS12 | sorghum + cowpeas (fodder)-wheat + gobhi sarson (9:1) |
| Crop | Variety | Herbicide/Insecticide | N (Kg ha−1) | P (Kg ha−1) | K (Kg ha−1) |
|---|---|---|---|---|---|
| Basmati rice | Punjab Basmati 5 | 41.4 | 37.5 | - | |
| Maize | PMH 1 | Pre-emergence application of Afrataf 50 WP at therate of @ 2 kg ha−1 in 625 litre (L) of water | 125 | 60 | 30 |
| Groundnut | SG 99 | Pre-emergence application of stomp 30 EC @ 2.5 L ha−1 in 500 L of water each followed by one hand weeding at 45 days after sowing | 15 | 20 | 25 |
| Wheat | PBW 373 | Application Clodinafop 15 WP @ 1 kg ha−1 in 1250 L of water, 30–35 days after sowing | 125 | 60 | 30 |
| Summer moong | SML 668 | Pre-emergence application of Stomp 30 EC @ 2.5 L ha−1 | 13 | 40 | - |
| Radish | Punjab Safed Mooli -2 | One weeding about 2–3 weeks after sowing is sufficient | 63 | 30 | - |
| Turmeric | Punjab Haldi 2 | Two hoeing may be given. Uniform spreading of paddy straw mulch @ 90 q ha−1 over the entire field can also be used. | 28 tonnes (FYM) | 25 | 25 |
| Linseed | LC 2063 | Two hoeing’s with improved wheel hand at three and six weeks after sowing | 63 | 40 | - |
| Arhar | AL 882 | Spray 2.5 L per ha stomp 30 EC within 2 days of sowing | 15 | 40 | 30 |
| Mash | Mash 114 | Give one hoeing at one month after sowing | 13 | 25 | - |
| Peas | Punjab 89 | Use Stomp 30 EC (pendimethalin) @ 1.0 L per acre within 2 days of sowing | 50 | 63 | - |
| Celery | Punjab Celery 1 | Two or three hoeing’s preferable with a wheel hand hoe | 100 | 40 | - |
| Gram | GPF 2 | One or two hoeing’s preferable with wheel hand hoe at 30 and 60 days after sowing | 15 | 20 | - |
| Gobhi sarson | GSC 7 | One or two hoeing’s preferable with a wheel hand hoe | 100 | 30 | - |
| Cowpea | CL 367 | 19 | 55 | - |
| Cropping Systems | Total AGB Production (Mg ha−1) | System Productivity (Mg ha−1) | Production Efficiency (kg day−1 ha−1) | IWUE (kg Grain Per m3 Irrigation Water) | SGR (US$ ha−1) | SNR (US$ ha−1) | B:C Ratio |
|---|---|---|---|---|---|---|---|
| CS1 | 30.89 | 12.94 | 42.72 | 0.523 | 2704.9 | 1586.0 | 1.42 |
| CS2 | 28.42 | 17.05 | 34.84 | 0.947 | 3554.9 | 2051.4 | 1.36 |
| CS3 | 52.59 | 21.07 | 107.77 | 0.795 | 4399.8 | 2167.6 | 0.97 |
| CS4 | 58.61 | 23.21 | 98.78 | 1.934 | 4848.7 | 1965.1 | 0.68 |
| CS5 | 50.79 | 20.89 | 92.62 | 1.709 | 4361.9 | 3011.3 | 2.23 |
| CS6 | 51.8 | 20.68 | 89.50 | 1.656 | 4321.6 | 3032.4 | 2.35 |
| CS7 | 37.77 | 16.14 | 49.55 | 1.025 | 3371.6 | 1981.5 | 1.43 |
| CS8 | 25.47 | 13.62 | 21.62 | 1.651 | 2844.5 | 1585.7 | 1.26 |
| CS9 | 45.99 | 18.92 | 74.98 | 1.802 | 3947.1 | 1906.1 | 0.93 |
| CS10 | 24.17 | 13.63 | 25.56 | 1.397 | 2846.1 | 1565.5 | 1.22 |
| CS11 | 58.37 | 28.57 | 113.52 | 2.381 | 5974.3 | 4413.3 | 2.83 |
| CS12 | 89.9 | 13.95 | 322.74 | 1.329 | 2912.5 | 1892.9 | 1.86 |
| SEm ± | 9.16 | 0.16 | 1.90 | 0.106 | 36.6 | 37.3 | 0.25 |
| LSD (p = 0.05) | 27.48 | 0.47 | 5.71 | 0.320 | 109.6 | 111.8 | 0.76 |
| Cropping Systems | Energy Input (×103 MJ ha−1) | Energy Output (×103 MJ ha−1) | Energy Use Efficiency | Energy Output Efficiency (×103 MJ ha−1 day−1) | Energy Productivity (kg MJ−1) |
|---|---|---|---|---|---|
| CS1 | 28.66 | 411.01 | 14.34 | 1.55 | 4.52 |
| CS2 | 23.05 | 457.32 | 19.84 | 2.36 | 7.39 |
| CS3 | 39.08 | 475.76 | 12.17 | 1.53 | 5.39 |
| CS4 | 48.80 | 690.08 | 14.14 | 2.08 | 4.76 |
| CS5 | 44.55 | 472.65 | 10.61 | 1.86 | 4.69 |
| CS6 | 50.30 | 509.41 | 10.13 | 1.89 | 4.11 |
| CS7 | 46.33 | 449.02 | 9.69 | 1.29 | 3.48 |
| CS8 | 27.06 | 361.82 | 13.37 | 1.11 | 5.03 |
| CS9 | 42.36 | 589.08 | 13.91 | 3.05 | 4.47 |
| CS10 | 32.24 | 404.88 | 12.56 | 1.50 | 4.23 |
| CS11 | 35.14 | 871.33 | 24.80 | 3.63 | 8.13 |
| CS12 | 26.58 | 1304.02 | 49.06 | 6.46 | 5.25 |
| SEm ± | - | 11.35 | 0.41 | 0.05 | 0.05 |
| LSD (p = 0.05) | - | 34.05 | 1.23 | 0.16 | 0.16 |
| Variables | REY | N | P | K | OC |
|---|---|---|---|---|---|
| REY | 1.00 | - | - | - | - |
| N | 0.400 (0.197) | 1.00 | - | - | - |
| P | 0.031 (0.923) | −0.181 (0.571) | 1.00 | - | - |
| K | −0.389 (0.210) | 0.022 (0.943) | −0.085 (0.792) | 1.00 | - |
| OC | 0.247 (0.437) | 0.568 * (0.053) | −0.113 (0.725) | 0.042 (0.896) | 1.00 |
Publisher’s Note: MDPI stays neutral with regard to jurisdictional claims in published maps and institutional affiliations. |
© 2022 by the authors. Licensee MDPI, Basel, Switzerland. This article is an open access article distributed under the terms and conditions of the Creative Commons Attribution (CC BY) license (https://creativecommons.org/licenses/by/4.0/).
Share and Cite
Walia, S.S.; Babu, S.; Gill, R.S.; Kaur, T.; Kohima, N.; Panwar, A.S.; Yadav, D.K.; Ansari, M.A.; Ravishankar, N.; Kumar, S.; et al. Designing Resource-Efficient and Environmentally Safe Cropping Systems for Sustainable Energy Use and Economic Returns in Indo-Gangetic Plains, India. Sustainability 2022, 14, 14636. https://doi.org/10.3390/su142114636
Walia SS, Babu S, Gill RS, Kaur T, Kohima N, Panwar AS, Yadav DK, Ansari MA, Ravishankar N, Kumar S, et al. Designing Resource-Efficient and Environmentally Safe Cropping Systems for Sustainable Energy Use and Economic Returns in Indo-Gangetic Plains, India. Sustainability. 2022; 14(21):14636. https://doi.org/10.3390/su142114636
Chicago/Turabian StyleWalia, Sohan Singh, Subhash Babu, Roopinder Singh Gill, Tamanpreet Kaur, Noopur Kohima, Azad Singh Panwar, Dinesh Kumar Yadav, Meraj Alam Ansari, Natesan Ravishankar, Sanjeev Kumar, and et al. 2022. "Designing Resource-Efficient and Environmentally Safe Cropping Systems for Sustainable Energy Use and Economic Returns in Indo-Gangetic Plains, India" Sustainability 14, no. 21: 14636. https://doi.org/10.3390/su142114636
APA StyleWalia, S. S., Babu, S., Gill, R. S., Kaur, T., Kohima, N., Panwar, A. S., Yadav, D. K., Ansari, M. A., Ravishankar, N., Kumar, S., Kaur, K., & Ansari, M. H. (2022). Designing Resource-Efficient and Environmentally Safe Cropping Systems for Sustainable Energy Use and Economic Returns in Indo-Gangetic Plains, India. Sustainability, 14(21), 14636. https://doi.org/10.3390/su142114636

