A Study on the Interaction Behavior between an Earth-Rock Dam and a New-Typed Polymer Anti-Seepage Wall
Abstract
1. Introduction
2. Materials and Methods
2.1. Experimental Materials
2.1.1. Polymer Samples
2.1.2. Soil Samples
2.2. Experimental Test Methods
2.2.1. Ring Shear Test
2.2.2. DMA Test
2.2.3. Dynamic Centrifuge Test
2.3. Finite Element Method (FEM)
2.3.1. Finite Element Simulation Model
- (1)
- Establishment of numerical model
- (2)
- Selection of constitutive model
- (3)
- Setting of boundary conditions
- (4)
- Inputting of seismic wave
2.3.2. Non-Linear Interface Element
2.3.3. Viscoelastic Constitutive Model
3. Test Results and Discussion
3.1. Ring Shear Test
3.1.1. Dynamic Shear Stress-Displacement
3.1.2. Shear Stiffness and Damping Ratio of Polymer-Soil Interface
3.2. DMA Test
3.2.1. Relationship between Frequency and Dynamic Viscoelastic Modulus
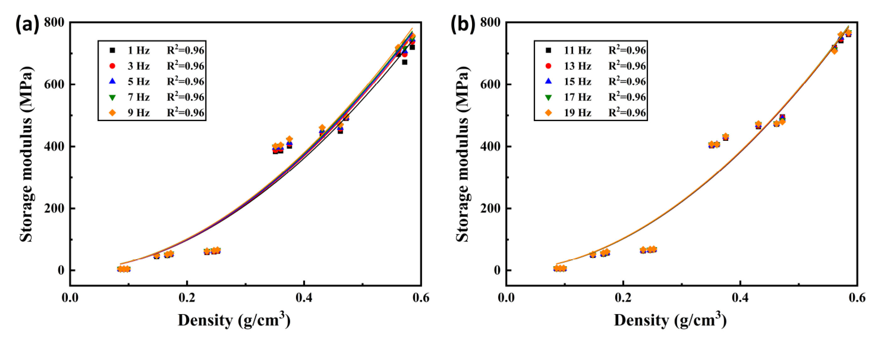
3.2.2. Relationship between Polymer Density and Dynamic Viscoelastic Modulus
4. FEM Results and Discussion
4.1. Model Validation by Dynamic Centrifuge Test
4.2. Interaction Analysis
4.3. Seismic Response Analysis
4.3.1. Peak Acceleration Analysis
4.3.2. Stress Analysis
- (1)
- Stress analysis of earth-rock dam
- (2)
- Stress analysis of polymer wall
4.3.3. Displacement Analysis
- (1)
- Displacement analysis of earth-rock dam
- (2)
- Displacement analysis of polymer wall
5. Conclusions
- (1)
- The dynamic properties of the polymer-silty clay interface are affected by polymer density, shear amplitude, and vertical stress, which is specifically manifested as follows: the hysteresis loop area and dynamic shear stress of the interface increase with the increase of polymer density, shear amplitude and vertical stress. In addition, polymer density and vertical stress are positively correlated with the shear stiffness and negatively correlated with the damping ratio; shear amplitude is positively proportional to both the shear stiffness and damping ratio;
- (2)
- The effect of frequency and polymer density on dynamic viscoelastic modulus of polymer materials is shown in as: the storage modulus and loss modulus increase with the increase in polymer density for each frequency in the range of 1–19 Hz, which is due to the fact that density affects the number and length of molecular chains inside the material. Additionally, a fourth-order generalized Maxwell constitutive model of the polymer materials was constructed based on the power function relationship between the polymer density and the dynamic viscoelastic modulus, and the model parameters were obtained using a multi-objective constrained shared parameter fitting method, which lays a foundation for the accurate description of the mechanical properties of the polymer materials under dynamic loads;
- (3)
- The interaction law between the polymer wall and the earth-rock dam under earthquake are as follows: the peak acceleration, stress and displacement trends of the polymer wall and the adjacent soil are basically consistent, and the average relative difference between the two peak accelerations does not exceed 0.015 g. The average relative differences between the maximum horizontal and vertical displacements do not exceed 0.09 cm and 0.005 cm, respectively. In addition, as the seismic acceleration increases, the development trend of the mechanical response of the polymer wall and the adjacent soil are more consistent, demonstrating the good deformation coordination and interaction characteristics of the wall-dam;
- (4)
- The seismic response law of the wall-dam considering the interface characteristics are as follows: the peak acceleration of the wall and dam increases with height, and the maximum values occurs at the top. Additionally, the stress of the dam increases with the increase of seismic acceleration and decreases with the increase of dam height; the stress of the wall first decreases and then increases from the top to the bottom under the same seismic acceleration, and the maximum stress occurs at the bottom of the wall. Furthermore, under the 0.4 g seismic acceleration, the maximum horizontal and vertical displacement of the dam are 12.91 cm and 8.73 cm, respectively; and the maximum horizontal displacement of the wall appears at the top of the wall, while the maximum vertical displacement appears at the middle of the wall axis.
Author Contributions
Funding
Institutional Review Board Statement
Informed Consent Statement
Data Availability Statement
Acknowledgments
Conflicts of Interest
References
- Gordan, B.; Raja, M.; Jahed Armaghani, D.; Adnan, A. Review on dynamic behaviour of earth dam and embankment during an earthquake. Geotech. Geol. Eng. 2022, 40, 3–33. [Google Scholar] [CrossRef]
- Li, Y.; Tang, W.; Wen, L.; Wang, J. Study on seismic failure probability of high earth-rock dam considering dam body deformation and slope stability. Eur. J. Environ. Civ. Eng. 2020, 26, 3981–3995. [Google Scholar] [CrossRef]
- Chai, X.; Shen, Z.; Nie, B. Study on the anti-seepage reinforcement scheme of earth-rock dam for Changli reservoir. Adv. Mater. Res. 2014, 904, 389–392. [Google Scholar] [CrossRef]
- Zhang, H.; Li, Z.; Li, W.; Song, Z.; Ge, W.; Han, R.; Wang, T. Risk analysis of instability failure of earth-rock dams based on the fuzzy set theory. Water 2021, 13, 3088. [Google Scholar] [CrossRef]
- Su, Z.; Zhang, K.; Liu, C. Dynamic risk assessment of slope stability of homogeneous earth-rock dam under action of multiple hazards. Simulation 2022, 98, 699–710. [Google Scholar] [CrossRef]
- Guo, C.; Chu, X.; Wang, F. Research on feasibility of non-water reaction polymer grouting technology application in seepage prevention of tailings reservoir. Water Sci. Technol. Water Supply 2017, 18, 203–213. [Google Scholar] [CrossRef]
- Li, J.; Zhang, J.; Xu, J.; Wang, F.; Wang, B.; Li, Q. Dynamic behavior of polymer antiseepage wall for earth dam by centrifuge test. Int. J. Geomech. 2018, 18, 04018179. [Google Scholar] [CrossRef]
- Li, J.; Zhang, J.; Wang, Y.; Wang, B. Seismic response of earth dam with innovative polymer antiseepage wall. Int. J. Geomech. 2020, 7, 04020079. [Google Scholar] [CrossRef]
- Chen, S.; Li, J.; Zhang, J. Research on dynamic soil pressure of earth dam with polymer anti-seepage wall. In Proceedings of the 5th International Conference on Information Science and Control Engineering, Zhengzhou, China, 20–22 July 2018; pp. 454–458. [Google Scholar] [CrossRef]
- Fang, H.; Zhang, H.; Xue, B.; Gao, J.; Li, Y.; Gao, X.; Tian, A. Coordination characteristics analysis of deformation between polymer anti-seepage wall and earth dam under traffic load. Water 2022, 14, 1442. [Google Scholar] [CrossRef]
- Li, J.; Zhang, J.; Hu, H. Numerical analysis on dynamic responses of earth-rock dam with polymer anti-seepage wall under seismic load. In Proceedings of the 3rd International Conference on Information Science and Control Engineering, Beijing, China, 8–10 July 2016; pp. 492–496. [Google Scholar] [CrossRef]
- Wang, F.; Guo, C.; Gao, Y. Formation of a polymer thin wall using the level set method. Int. J. Geomech. 2014, 14, 04014021. [Google Scholar] [CrossRef]
- Wang, Y.; Wan, Y.; Guo, C.; Zeng, C.; Shao, J.; Wang, F. Experimental investigation on the monotonic, cyclic and post cyclic interfacial behavior of non-water reacted polymer and concrete. Constr. Build. Mater. 2021, 292, 123323. [Google Scholar] [CrossRef]
- Qin, L.; Guo, C.; Sun, W.; Guan, H.; Yan, W.; Wang, F. Experimental investigation on the interfacial shear bond performance of non-water reacting polymer and concrete. Constr. Build. Mater. 2022, 331, 127351. [Google Scholar] [CrossRef]
- Ma, X.; Wang, F.; Guo, C.; Sun, B. Seismic isolation effect of non-water reacted two-component polymeric material coating on tunnels. Appl. Sci. 2020, 10, 2606. [Google Scholar] [CrossRef]
- Shi, M.; Wang, F.; Liu, H.; Guo, C. Finite-element simulation and experiment on polymer directional fracturing and grouting for dykes and dams. J. Hydraul. Eng. 2016, 47, 1087–1092. [Google Scholar] [CrossRef]
- Li, J.; Zhang, J. Study on the seismic response of polymer anti-seepage wall. In Proceedings of the 4th International Conference on Information Science and Control Engineering, Changsha, China, 21–23 July 2017; pp. 1268–1272. [Google Scholar] [CrossRef]
- Kishida, H.; Uesugi, M. Tests of interfaces between sand and steel in simple shear apparatus. Geotechnique 1987, 37, 45–52. [Google Scholar] [CrossRef]
- Zhu, J.; Shakir, R.; Yang, Y.; Peng, K. Comparison of behaviors of soil-concrete interface from ring-shear and simple shear tests. Rock Soil Mech 2011, 32, 692–696. [Google Scholar] [CrossRef]
- Toki, K.; Sato, T.; Miura, F. Separation and sliding between soil and structure during strong ground motion. Earthq. Eng. Struct. Dyn. 1981, 9, 263–277. [Google Scholar] [CrossRef]
- Wang, Z.; Gao, L.; Song, W. Finite element analysis of 3-D friction-contact problems. J. Tsinghua Univ. 2002, 42, 93–96, 104. [Google Scholar]
- Qi, Y.; Feng, Z.; Yu, J.; Liu, C. Research on 3D dynamic nonlinear aseismic calculation of pile group foundation of north tower of Taizhou bridge. Chin. J. Rock Mech. Eng. 2010, 29, 3071–3081. [Google Scholar]
- Zhao, C.; Xu, T.; Valliappan, S. Seismic response of concrete gravity dams including water-dam-sediment-foundation interaction. Comput. Struct. 1995, 54, 705–715. [Google Scholar] [CrossRef]
- Schenck, H. An efficient and accurate numerical technique for low-frequency scattering from elastic bodies. Acoust. Soc. Am. J. 1988, 84, 185. [Google Scholar] [CrossRef]
- Liu, X.; Xu, Y.; Jin, F.; Wang, G.; Zhang, C. Nonlinear responses of high arch dams to nonuniform free field motion due to seismic input. J. Tsinghua Univ. 2003, 43, 1567–1571. [Google Scholar] [CrossRef]
- Li, J.; Zhang, J.; Chen, S. Study on dynamic viscoelastic properties and constitutive model of non-water reacted polyurethane grouting materials. Measurement 2021, 176, 109115. [Google Scholar] [CrossRef]
- Li, J.; Wang, B.; Zhang, J. Dynamic centrifuge test on seismic acceleration response of earth dike and dam with polymer anti-seepage wall. Earthq. Eng. Eng. Dyn. 2016, 36, 1–6. [Google Scholar] [CrossRef]
- Li, J.; Ma, G.; Zhao, J. An equivalent viscoelastic model for rock mass with parallel joints. J. Geophys. Res. 2010, 115, B03305. [Google Scholar] [CrossRef]
- Deeks, A.; Randolph, M. Axisymmetric time-domain transmitting boundaries. J. Eng. Mech. 1994, 120, 25–42. [Google Scholar] [CrossRef]
- Du, X.; Zhao, M.; Wang, J. A stress artificial boundary in FEA for near-field wave Problem. Chin. J. Theor. Appl. Mech. 2006, 38, 49–56. [Google Scholar] [CrossRef]
- Arivazhagan, R.; Krishnamurthy, P. Influence of Grain Size and Its Distribution on Hyperbolic Model Parameters for Dry Sand. J. Comput. Theor. Nanosci. 2018, 15, 995–1003. [Google Scholar] [CrossRef]
- Tian, X.; Xiao, H.; Li, Z.; Li, Z.; Su, H.; Ouyang, Q. Experimental Study on the Strength Characteristics of Expansive Soils Improved by the MICP Method. Geofluids 2022, 2022, 3089820. [Google Scholar] [CrossRef]
- Nam, S.; Gutierrez, M.; Diplas, P.; Petrie, J. Determination of the shear strength of unsaturated soils using the multistage direct shear test. Eng. Geol. 2011, 122, 272–280. [Google Scholar] [CrossRef]
- Clough, G.; Duncan, J. Finite element analyses of retaining wall behavior. J. Soil Mech. Found. Div. 1971, 97, 1657–1673. [Google Scholar] [CrossRef]
- Zhang, J.; Li, J.; Huang, C.; Chen, S. Study on dynamic viscoelastic constitutive model of nonwater reacted polyurethane grouting materials based on DMA. Rev. Adv. Mater. Sci. 2022, 61, 238–249. [Google Scholar] [CrossRef]
- Lv, H.; Liu, H.; Tan, Y.; Meng, A.; Cyriaque, A.; Xiao, S. An extended search method for identifying optimal parameters of the generalized Maxwell model. Constr. Build. Mater. 2021, 266, 120796. [Google Scholar] [CrossRef]



























| Test Types | Density ρ (g/cm3) | Permeability Coefficient k (cm/s) | Elastic Modulus E (MPa) | Poisson’s Ratio μ |
|---|---|---|---|---|
| Ring shear test | 0.1~0.3 | 1 × 10−8 | 18.36~72.19 | 0.11~0.24 |
| Viscoelastic test | 0.1~0.6 | 1 × 10−8~1 × 10−9 | 18.36~160.35 | 0.11~0.52 |
| Dynamic centrifuge test | 0.26 | 1 × 10−8 | 58.11 | 0.20 |
| Specific Gravity Gs | Void Ratio e | Water Content ω (%) | Permeability Coefficient k (cm/s) | Elastic Modulus E (MPa) | Poisson’s Ratio μ | Cohesion C (kPa) | Internal Friction Angle φ (°) |
|---|---|---|---|---|---|---|---|
| 2.7 | 0.804 | 21 | 2.3 × 10−5 | 37.2 | 0.35 | 22.2 | 11.3 |
| Shear Mode | Test Number | Interface Type | Polymer Density | Cyclic Amplitude | Vertical Stress |
|---|---|---|---|---|---|
| (g/cm3) | (mm) | (kPa) | |||
| Cyclic shear | A-1 | Polymer-silty clay | 0.188 | 1.0 | 100 |
| A-2 | 0.210 | ||||
| A-3 | 0.280 | ||||
| Cyclic shear | B-1 | Polymer-silty clay | 0.188 | 0.5 | 100 |
| B-2 | 1.0 | ||||
| B-3 | 1.5 | ||||
| Cyclic shear | C-1 | Polymer-silty clay | 0.188 | 1.0 | 100 |
| C-2 | 200 | ||||
| C-3 | 300 | ||||
| C-4 | 400 |
| Test Method | Temperature | Frequency | Density |
|---|---|---|---|
| Three-point bending method | −50 °C, −25 °C, 0 °C, 25 °C, 50 °C | 1~40 Hz | 0~0.6 g/cm3 |
| Seismic Wave Amplitude | Input Seismic Waveform | Duration | Water Level |
|---|---|---|---|
| 0.05 g | El-Centro wave | 20 s | 8.6 cm |
| 0.1 g | El-Centro wave | 20 s | 8.6 cm |
| 0.2 g | El-Centro wave | 20 s | 8.6 cm |
| 0.4 g | El-Centro wave | 20 s | 8.6 cm |
| Materials | K | v | |
|---|---|---|---|
| Dam body | 500 | 0.5 | 0.30 |
| Dam foundation | 500 | 0.5 | 0.30 |
| ρ (g/cm3) | g1 | g2 | g3 | g4 | τ1 (s) | τ2 (s) | τ3 (s) | τ4 (s) |
|---|---|---|---|---|---|---|---|---|
| 0.188 | 0.0697 | 0.0919 | 0.0785 | 0.5895 | 6.2683 | 13.5687 | 0.1250 | 0.0001 |
| 0.210 | 0.0306 | 0.0158 | 0.0196 | 0.1473 | 5.9101 | 3.1307 | 0.1116 | 0.0001 |
| 0.280 | 0.0643 | 0.1103 | 0.0686 | 0.5412 | 1.6082 | 1.5269 | 0.0824 | 0.0002 |
| Seismic Acceleration | Monitoring Point a1 (g) | Monitoring Point a2 (g) | Monitoring Point a3 (g) | |||
|---|---|---|---|---|---|---|
| Test | Simulation | Test | Simulation | Test | Simulation | |
| 0.05 g | 0.19 | 0.2 | 0.14 | 0.12 | 0.1 | 0.12 |
| 0.1 g | 0.23 | 0.26 | 0.22 | 0.17 | 0.16 | 0.15 |
| 0.2 g | 0.43 | 0.48 | 0.36 | 0.34 | 0.27 | 0.25 |
| 0.4 g | 0.83 | 0.88 | 0.71 | 0.69 | 0.47 | 0.51 |
| Earthquake Acceleration | Maximum Horizontal Displacement | Maximum Vertical Displacement |
|---|---|---|
| 0.05 g | 1.22 cm | 1.48 cm |
| 0.1 g | 1.81 cm | 1.66 cm |
| 0.2 g | 3.63 cm | 3.45 cm |
| 0.4 g | 12.91 cm | 8.73 cm |
Publisher’s Note: MDPI stays neutral with regard to jurisdictional claims in published maps and institutional affiliations. |
© 2022 by the authors. Licensee MDPI, Basel, Switzerland. This article is an open access article distributed under the terms and conditions of the Creative Commons Attribution (CC BY) license (https://creativecommons.org/licenses/by/4.0/).
Share and Cite
Zhang, J.; Huang, C.; Li, J.; Liu, G. A Study on the Interaction Behavior between an Earth-Rock Dam and a New-Typed Polymer Anti-Seepage Wall. Sustainability 2022, 14, 14357. https://doi.org/10.3390/su142114357
Zhang J, Huang C, Li J, Liu G. A Study on the Interaction Behavior between an Earth-Rock Dam and a New-Typed Polymer Anti-Seepage Wall. Sustainability. 2022; 14(21):14357. https://doi.org/10.3390/su142114357
Chicago/Turabian StyleZhang, Jingwei, Chuhao Huang, Jia Li, and Guangzong Liu. 2022. "A Study on the Interaction Behavior between an Earth-Rock Dam and a New-Typed Polymer Anti-Seepage Wall" Sustainability 14, no. 21: 14357. https://doi.org/10.3390/su142114357
APA StyleZhang, J., Huang, C., Li, J., & Liu, G. (2022). A Study on the Interaction Behavior between an Earth-Rock Dam and a New-Typed Polymer Anti-Seepage Wall. Sustainability, 14(21), 14357. https://doi.org/10.3390/su142114357
