Parametric Study on the Behavior of Steel Tube Columns with Infilled Concrete—An Analytical Study
Abstract
1. Introduction
2. Research Significant
3. Verification Study
3.1. Previous Experimental Work
3.2. Analytical Model
3.2.1. Element Types
3.2.2. Material Properties
3.2.3. Modeling
3.2.4. Meshing, Boundary Conditions and Loading
3.2.5. Analysis Type
3.2.6. Results of Verification Study
4. Parametric Study
- Column-height-to-cross-section-dimension ratio (H/D), which (H) varied by 3000, 4000, and 5000 mm and (D) varying between 200 and 400 mm;
- Compressive strength of concrete to yield strength of steel tube (fc’/fy); (fc’) in a range of 40, 50, and 60 MPa, and (fy) in a range of 360, 420, and 520 MPa;
- Cross-section dimension to steel tube thickness (D/t); where (t) varied by 4, 8, and 12 mm;
- Stiffener distribution. The stiffeners were distributed over the column length every 250, 500, and 1000 mm.
4.1. The Effect of Infilled Concrete Compressive Strength
4.2. The Effect of Steel Tube Yield Strength
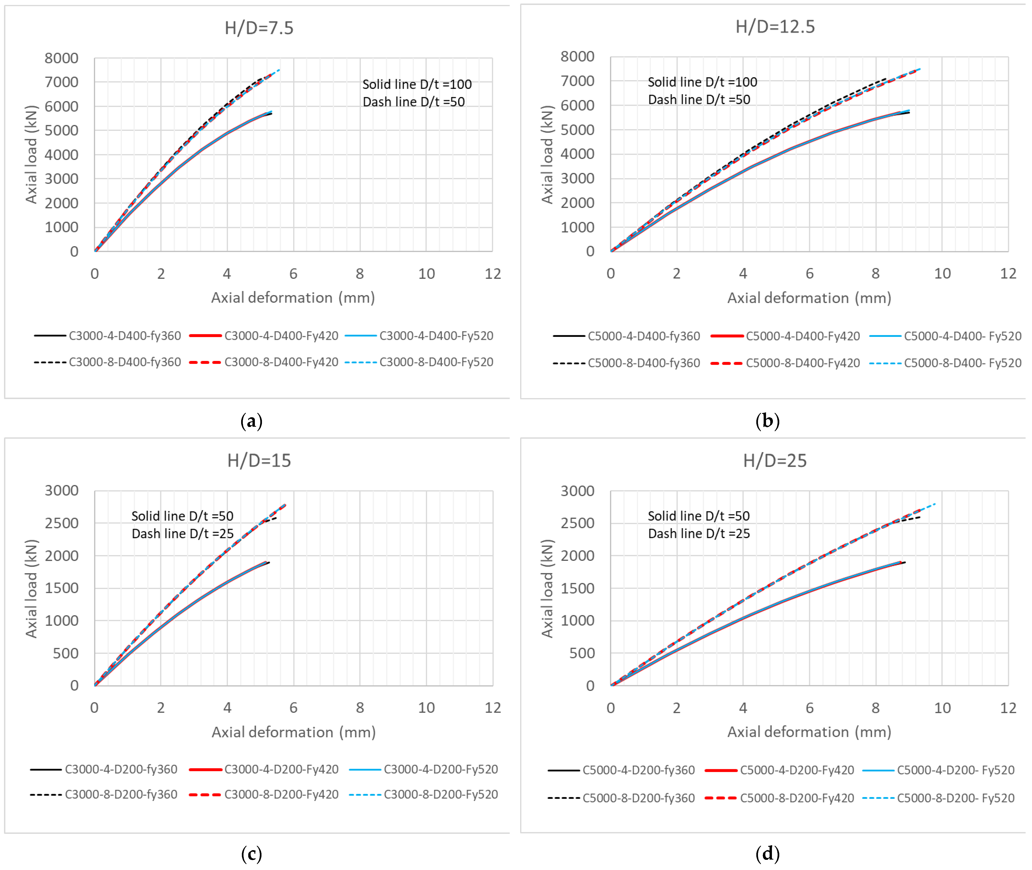
4.3. The Effect of D/t Ratio
4.4. The Effect of H/D Ratio
4.5. The Effect of Stiffeners Distribution
5. Different Codes Provisions in Designing CFST Columns
5.1. International Codes Provisions
5.2. Comparisons of the Analytical Results of Axial Loads with Different Codes
5.2.1. Discussion for Results from AISC (2010) [35]
5.2.2. Discussion for Results from ECP 205-2007(LRFD) [38]
5.2.3. Discussion for Results from Eurocode 4 [36]
5.2.4. Discussion for Results from AIJ (1997) [37]
5.2.5. Summary of Codes Provisions Comparisons
6. Conclusions
- (1)
- The ANSYS analytical models are in a good convergence to present the behavior and the failure modes of concrete-filled steel tube columns, either the yielding failure “the elephant foot buckling” for short ones or global buckling for long ones.
- (2)
- The effect of the compressive strength of the infilled concrete develops the behavior of the CFST columns gradually by increasing their load capacity but reducing the vertical deformation due to the increasing column stiffness.
- (3)
- The effect of the yielding strength of the steel tube on the CFST columns is not remarkable; the increase in the steel yield strength led to slight changes in failure load and vertical deformation.
- (4)
- The increase in the tube thickness of the CFST columns while maintaining the column diameter as a constant, i.e., D/t is reduced, the failure load is increased by 26–37%, but the vertical deformation is slightly affected by the tube thickness (about ± 6%).
- (5)
- Increasing the diameter of the CFST columns while maintaining the tube thickness is constant, i.e., D/t is increased, significantly increasing the load-carrying capacity by 2.7–3.00 times as doubling the column diameter but decreasing the vertical deformation due to the increase in column stiffness. These decreases in the vertical deformation is more markable in long columns (H/D > 12) than for the medium (4 < H/D < 12) and short columns (H/D < 4).
- (6)
- The vertical deformation increased, but the failure load is not remarkably different when increasing the column height-to-diameter ratio (H/D) while maintaining the column diameter and tube thickness as constants. This is because decreasing the column stiffness by increasing the column height is inversely proportional to the deformation.
- (7)
- The stiffened CFST long columns (H/D > 12) using rings as stiffeners do not increase the failure load sufficiently but may reduce the column capacity compared to the unstiffened CFST columns. This is due to the steel tube yielding first at the location of the rings.
- (8)
- The stiffened CFST long columns using rings with close spacing between them failed prior to those with widely spaced rings. This earlier failure happened due to the failure of the stiffeners near the loading plate.
- (9)
- For long columns (H/D > 12), stiffening with rings with different spacings between them along the column height did not enhance the behavior of the CFST column.
- (10)
- The load capacity obtained from the AISC (2010), ECP 205-2007 (LRFD), Eurocode 4, and AIJ (2008) codes/standards varied from (−17% to +76%), (−5% to +96%), (−68% to +24%), and (−26% to +45%), respectively, when compared with that which are obtained from ANSYS.
- (11)
- ECP205-2007 is the most conservative design code in predicting the load capacity of CFST columns compared to the other studied codes/standards, with differences averaging 29.3% when compared to that are obtained from ANSYS.
- (12)
- The Eurocode 4 design code has the most underestimation values of the load-carrying capacity for the CFST columns.
- (13)
- The AIJ (1997) design code closely predicts the load capacity of the CFST columns compared to the other studied codes/standards with the differences when compared to that which are obtained from ANSYS by an average of 3.3% for various studied parameters that cover the various ratios of the tube-diameter-to-thickness, column-height-to-diameter, and various values of concrete infill material properties and steel tube material properties.
- (14)
- All of the studied codes/standards are more conservative for slender sections than compact sections. In addition, they are more conservative when increasing column height–to–diameter (H/D) for compact sections and less conservative for slender sections. The different codes are more conservative for the high values of infill concrete strength and steel tube strength for either compact or slender sections.
7. Future Works
Author Contributions
Funding
Institutional Review Board Statement
Informed Consent Statement
Data Availability Statement
Conflicts of Interest
References
- Ye, J.; Jiang, L. Simplified Analytical Model and Shaking Table Test Validation for Seismic Analysis of Mid-Rise Cold-Formed Steel Composite Shear Wall Building. Sustainability 2018, 10, 3188. [Google Scholar] [CrossRef]
- Kim, H.-J.; Hu, J.-W.; Hwang, W.-S. Cyclic Testing for Structural Detail Improvement of CFT Column-Foundation Connections. Sustainability 2015, 7, 5260–5281. [Google Scholar] [CrossRef]
- Lv, J.; Zhou, T.; Li, K. Investigation and Application of a New Low-Carbon Material (Preplaced Aggregate Concrete) in Concrete-Filled Steel Tube Stub Columns. Sustainability 2020, 12, 1768. [Google Scholar] [CrossRef]
- Cao, B.; Zhu, L.; Jiang, X.; Wang, C. An Investigation of Compression Bearing Capacity of Concrete-Filled Rectangular Stainless Steel Tubular Columns under Axial Load and Eccentric Axial Load. Sustainability 2022, 14, 8946. [Google Scholar] [CrossRef]
- Shaker, F.M.F.; Ghanem, G.M.; Deifalla, A.F.; Hussein, I.S.; Fawzy, M.M. Influence of loading method and stiffening on the behavior of short and long CFST columns. Steel Compos. Struct. 2022, 44, 281–293. [Google Scholar] [CrossRef]
- Li, Y.; Zhang, Q.; Kamiński, P.; Deifalla, A.F.; Sufian, M.; Dyczko, A.; Ben Kahla, N.; Atig, M. Compressive Strength of Steel Fiber-Reinforced Concrete Employing Supervised Machine Learning Techniques. Materials 2022, 15, 4209. [Google Scholar] [CrossRef]
- Khan, M.A.; Aslam, F.; Javed, M.F.; Alabduljabbar, H.; Deifalla, A.F. New prediction models for the compressive strength and dry-thermal conductivity of bio-composites using novel machine learning algorithms. J. Clean. Prod. 2022, 350, 131364. [Google Scholar] [CrossRef]
- Shen, Z.; Deifalla, A.F.; Kamiński, P.; Dyczko, A. Compressive Strength Evaluation of Ultra-High-Strength Concrete by Machine Learning. Materials 2022, 15, 3523. [Google Scholar] [CrossRef]
- Amin, S.; Elwan, S.; Elzeiny, S.; Hamad, M.; Deifalla, A. Numerical modeling the effect of an opening on the behavior of exterior beam-column connections under cyclic loading. J. Build. Eng. 2021, 40, 102742. [Google Scholar] [CrossRef]
- Deifalla, A.; Awad, A.; Seleem, H.; Abdelrahman, A. Investigating the behavior of lightweight foamed concrete T-beams under torsion, shear, and flexure. Eng. Struct. 2020, 219, 110741. [Google Scholar] [CrossRef]
- Deifalla, A.; Awad, A.; Seleem, H.; Abdelrahman, A. Experimental and numerical investigation of the behavior of LWFC L-girders under combined torsion. Structures 2020, 26, 362–377. [Google Scholar] [CrossRef]
- Schneider, S.P. Axially Loaded Concrete-Filled Steel Tubes. J. Struct. Eng. 1998, 124, 1125–1138. [Google Scholar] [CrossRef]
- Susantha, K.; Ge, H.; Usami, T. Uniaxial stress–strain relationship of concrete confined by various shaped steel tubes. Eng. Struct. 2001, 23, 1331–1347. [Google Scholar] [CrossRef]
- Huang, C.S.; Yeh, Y.-K.; Liu, G.-Y.; Hu, H.-T.; Tsai, K.C.; Weng, Y.T.; Wang, S.H.; Wu, M.-H. Axial Load Behavior of Stiffened Concrete-Filled Steel Columns. J. Struct. Eng. 2002, 128, 1222–1230. [Google Scholar] [CrossRef]
- Hu, H.-T.; Huang, C.-S.; Wu, M.-H.; Wu, Y.-M. Nonlinear Analysis of Axially Loaded Concrete-Filled Tube Columns with Confinement Effect. J. Struct. Eng. 2003, 129, 1322–1329. [Google Scholar] [CrossRef]
- Giakoumelis, G.; Lam, D. Axial capacity of circular concrete-filled tube columns. J. Constr. Steel Res. 2004, 60, 1049–1068. [Google Scholar] [CrossRef]
- Zeghiche, J.; Chaoui, K. An experimental behaviour of concrete-filled steel tubular columns. J. Constr. Steel Res. 2005, 61, 53–66. [Google Scholar] [CrossRef]
- Yu, Z.-W.; Ding, F.-X.; Cai, C. Experimental behavior of circular concrete-filled steel tube stub columns. J. Constr. Steel Res. 2007, 63, 165–174. [Google Scholar] [CrossRef]
- Liang, Q.Q.; Fragomeni, S. Nonlinear analysis of circular concrete-filled steel tubular short columns under axial loading. J. Constr. Steel Res. 2009, 65, 2186–2196. [Google Scholar] [CrossRef]
- Goode, C.D.; Kuranovas, A.; Kvedaras, A.K. Buckling of Slender Composite Concrete-Filled Steel Columns. J. Civ. Eng. Manag. 2010, 16, 230–236. [Google Scholar] [CrossRef]
- Lai, M.; Ho, J. Confinement effect of ring-confined concrete-filled-steel-tube columns under uni-axial load. Eng. Struct. 2014, 67, 123–141. [Google Scholar] [CrossRef]
- Gupta, P.; Singh, H. Numerical study of confinement in short concrete filled steel tube columns. Lat. Am. J. Solids Struct. 2014, 11, 1445–1462. [Google Scholar] [CrossRef]
- Ajel, H.A.; Abbas, A. Experimental and Analytical Investigations of Composite Stub Columns. 2015. Available online: https://www.semanticscholar.org/paper/Experimental-and-Analytical-Investigations-of-Stub-Ajel-Abbas/dc9fd06c0f8de939828a7b36db239b885d7a663b (accessed on 14 August 2021).
- Tiwary, A.K.; Gupta, A.K. Nonlinear analysis of circular concrete filled steel tube columns under axial loading. Int. J. Innov. Technol. Explor. Eng. 2019, 8, 688–692. [Google Scholar] [CrossRef]
- Deifalla, A.F.; Fattouh, F.M.; Fawzy, M.M.; Hussein, I.S. Behavior of Stiffened and Unstiffened CFT under Concentric Loading. An Experimental Study. 2019. Available online: https://www.dbpia.co.kr/Journal/articleDetail?nodeId=NODE10697177 (accessed on 25 December 2019).
- Alatshan, F.; Osman, S.A.; Mashiri, F.; Hamid, R. Explicit Simulation of Circular CFST Stub Columns with External Steel Confinement under Axial Compression. Materials 2020, 13, 23. [Google Scholar] [CrossRef] [PubMed]
- Abdel-Zaher, A.S.; Abdel-Hafez, L.M.; Tawfic, Y.R.; Abdel-Fattah, M.E. Theoretical Investigation of Concrete Filled Steel Hollow Section Columns. J. Adv. Eng. Trends 2020, 39, 63–76. [Google Scholar] [CrossRef][Green Version]
- Azad, S.K.; Uy, B. Effect of concrete infill on local buckling capacity of circular tubes. J. Constr. Steel Res. 2020, 165, 105899. [Google Scholar] [CrossRef]
- Ipek, S.; Erdoğan, A.; Güneyisi, E.M. Compressive behavior of concrete-filled double skin steel tubular short columns with the elliptical hollow section. J. Build. Eng. 2021, 38, 102200. [Google Scholar] [CrossRef]
- Zhang, L.; Yang, S.-L.; Fu, B.; Tong, G.-S.; Tong, J.-Z.; Jing, T. Behavior and design of concrete-filled narrow rectangular steel tubular (CFNRST) stub columns under axial compression. J. Build. Eng. 2021, 37, 102166. [Google Scholar] [CrossRef]
- Grzeszykowski, B.; Szmigiera, E.D. Experimental Investigation on the Vertical Ductility of Rectangular CFST Columns Loaded Axially. Materials 2022, 15, 2231. [Google Scholar] [CrossRef]
- Erdoğan, A.; Güneyisi, E.M.; Süleyman, İ.P.E.K. Finite Element Modelling of Ultimate Strength of CFST Column and Its Comparison with Design Codes. Bilecik Şeyh Edebali Üniversitesi Fen Bilimleri Dergisi 2022, 9, 324–339. [Google Scholar] [CrossRef]
- ANSYS R19.0; Release 19.1 Documentation for ANSYS. 19.0 ed. ANSYS: Canonsburg, PA, USA, 2019.
- Yu, L.; Leng, G.; Python, A.; Peng, J. A Comprehensive Evaluation of Latest GPM IMERG V06 Early, Late and Final Precipitation Products across China. Remote Sens. 2021, 13, 1208. [Google Scholar] [CrossRef]
- AISC360-10; Specification for Structural Steel Buildings. American Institute of Steel Construction, 2010. Available online: https://www.scirp.org/(S(vtj3fa45qm1ean45vvffcz55))/reference/ReferencesPapers.aspx?ReferenceID=2280991 (accessed on 14 August 2021).
- European Committee for Standardization. Design of Composite Steel and Concrete Structures. Part 1-1: General Rules and Rules for Buildings. InEurocode. 1994. Available online: https://standards.iteh.ai/catalog/standards/cen/5831a352-53ea-4e99-8453-2720d42f0f12/en-1994-1-1-2004-ac-2009 (accessed on 14 August 2021).
- AIJ, B. Recommendations for Design and Construction of Concrete Filled Steel Tubular Structures; Architectural Institute of Japan (AIJ): Tokyo, Japan, 1997. [Google Scholar]
- Egyptian Code of Practice for Steel Construction (Load and Resistance Factor Design). Code No. (205)-Ministerial Decree No. 359-2007—First Edition. 2008. Available online: https://www.scribd.com/document/344244019/Egyptian-Code-of-Steel-LRFD-2008-pdf (accessed on 14 August 2021).































| Linear Isotropic | ||
| EX | 28,555 MPa | |
| PRXY | 0.2 | |
| Multilinear Isotropic | ||
| Point | Strain | Stress (MPa) |
| 1 | 0.000000 | 0.00 |
| 2 | 0.000353 | 10.08 |
| 3 | 0.000604 | 16.16 |
| 4 | 0.000854 | 21.53 |
| 5 | 0.001105 | 25.83 |
| 6 | 0.001355 | 29.04 |
| 7 | 0.001605 | 31.27 |
| 8 | 0.001856 | 32.66 |
| 9 | 0.002357 | 33.60 |
| Concrete | ||
| Shear Transfer Coef. for Opened Cracks | 0.2 | |
| Shear Transfer Coef. for Closed Cracks | 0.9 | |
| Uniaxial tensile Stress | 3.89 MPa | |
| Uniaxial compressive Stress | 42 MPa | |
| Material Type | Property | Value | |
|---|---|---|---|
| Linear Isotropic | EX | 200,000 MPa | |
| PRXY | 0.3 | ||
| Multilinear Isotropic | Point | Strain | Stress (MPa) |
| 1 | 0.00 | 0.00 | |
| 2 | 0.00176 | 352 | |
| 3 | 0.00506 | 418 | |
| Analysis Options | Small Displacement Static |
|---|---|
| Calculate prestress effects | No |
| Time at end of load step | 2000 |
| Automatic time stepping | Off |
| Time step size | 200 |
| Min time step | 100 |
| Max time step | 10000 |
| Frequency | Write every sub step |
| Write items to result file | All solution items |
| Specimen Code | t mm | D/t | H mm | H/D | Concrete Infill | Loading | Stiffeners Location | Axial Load Failure (KN) | Failure Mode | |||
|---|---|---|---|---|---|---|---|---|---|---|---|---|
| PExp | PANSYS | PANSYS/PExp | ||||||||||
| 1 | S40-2-only | 2 | 63.5 | 400 | 3.14 | No | Steel | No | 255 | 260 | 1.02 (+2%) | Local |
| 2 | S100-2-only | 1000 | 7.87 | 230 | 220 | 0.96 (−4%) | Local | |||||
| 3 | S200-2-only | 2000 | 15.75 | 220 | 250 | 1.14 (+14%) | Global | |||||
| 4 | S40-4-only | 4 | 31.8 | 400 | 3.14 | No | Steel | 608 | 550 | 0.90 (−10%) | Local | |
| 5 | S100-4-only | 1000 | 7.87 | 580 | 530 | 0.91 (−9%) | Global | |||||
| 6 | S200-4-only | 2000 | 15.75 | 520 | 530 | 1.02 (+2%) | Global | |||||
| 7 | C40-2 | 2 | 63.5 | 400 | 3.14 | Filled | Composite | 860 | 750 | 0.87 (+13%) | Yield | |
| 8 | C100-2 | 1000 | 7.87 | 743 | 740 | 1.00 (0%) | Global | |||||
| 9 | C200-2 | 2000 | 15.75 | 724 | 680 | 0.94 (−6%) | Global | |||||
| 10 | C40-4 | 4 | 31.8 | 400 | 3.14 | 1260 | 1260 | 1.00 (0%) | Yield | |||
| 11 | C100-4 | 1000 | 7.87 | 1098 | 1080 | 0.98 (−2%) | Global | |||||
| 12 | C200-4 | 2000 | 15.75 | 1078 | 1090 | 1.01 (+1%) | Global | |||||
| 13 | S40-2 | 2 | 63.5 | 400 | 3.14 | Steel | 830 | 950 | 1.14 (+14%) | Yield | ||
| 14 | S100-2 | 1000 | 7.87 | 716 | 720 | 1.01 (+1%) | Local | |||||
| 15 | S200-2 | 2000 | 15.75 | 713 | 660 | 0.93 (−7%) | Local | |||||
| 16 | C40-2-St1 | 2 | 63.5 | 400 | 3.14 | Composite | 0.5 H | 958 | 970 | 1.01 (+1%) | Yield | |
| 17 | C100-2-St3 | 1000 | 7.87 | 0.25 H | 816 | 790 | 0.97 (−3%) | Global | ||||
| 18 | C200-2-St5 | 2000 | 15.75 | 0.25 H | 802 | 760 | 0.95 (−5%) | Global | ||||
| 19 | C40-2-St2 | 400 | 3.14 | 0.33 H | 1075 | 1070 | 1.00 (0%) | Yield | ||||
| 20 | C100-2-St5 | 1000 | 7.87 | 0.167 H | 830 | 860 | 1.04 (+4%) | Global | ||||
| 21 | C200-2-St7 | 2000 | 15.75 | 0.125 H | 802 | 760 | 0.95 (−5%) | Combined | ||||
| 22 | C40-4-St1 | 4 | 31.8 | 400 | 3.14 | 0.5 H | 1295 | 1210 | 0.93 (−7%) | Yield | ||
| 23 | C100-4-St3 | 1000 | 7.87 | 0.25 H | 1179 | 1160 | 0.89 (−11%) | Global | ||||
| 24 | C200-4-St5 | 2000 | 15.75 | 0.25 H | 1052 | 1090 | 1.03 (+3%) | Global | ||||
| 25 | S40-2-St2 | 2 | 63.5 | 400 | 3.14 | Steel | 0.33 H | 999 | 800 | 0.80 (−20%) | Yield | |
| 26 | S100-2-St5 | 1000 | 7.87 | 0.167 H | 882 | 1000 | 1.13 (+13%) | Global | ||||
| 27 | S200-2-St7 | 2000 | 15.75 | 0.125 H | 780 | 930 | 1.19 (+19%) | Global | ||||
| Cases | Case 1 fcu = 40 MPa | Case 2 fcu = 50 MPa | Case 3 fcu = 60 MPa | |||
|---|---|---|---|---|---|---|
| Linear Isotropic | ||||||
| EX | 31,112.7 MPa | 34,785 MPa | 38,105 MPa | |||
| PRXY | 0.2 | 0.2 | 0.2 | |||
| Multilinear Isotropic | ||||||
| Point | Strain | Stress (MPa) | Strain | Stress (MPa) | Strain | Stress (MPa) |
| 1 | 0.0 | 0.0 | 0.0 | 0.0 | 0.0 | 0.0 |
| 2 | 0.000386 | 12.00 | 0.000431 | 15.00 | 0.000472 | 18.00 |
| 3 | 0.000659 | 19.24 | 0.000737 | 24.05 | 0.000807 | 28.86 |
| 4 | 0.000932 | 25.63 | 0.001042 | 32.04 | 0.001142 | 38.45 |
| 5 | 0.001205 | 30.74 | 0.001348 | 38.43 | 0.001476 | 46.12 |
| 6 | 0.001478 | 34.57 | 0.001653 | 43.21 | 0.001811 | 51.86 |
| 7 | 0.001752 | 37.22 | 0.001958 | 46.53 | 0.002145 | 55.84 |
| 8 | 0.002025 | 38.89 | 0.002264 | 48.61 | 0.002480 | 58.33 |
| 9 | 0.002298 | 39.75 | 0.002569 | 49.69 | 0.002815 | 59.62 |
| 10 | 0.002571 | 40.00 | 0.002875 | 50.00 | 0.003149 | 60.00 |
| Concrete | ||||||
| Shear Transfer Coef. for Opened Cracks | 0.2 | 0.2 | 0.2 | |||
| Shear Transfer Coef. for Closed Cracks | 0.9 | 0.9 | 0.9 | |||
| Uniaxial tensile Stress MPa | 4.24 | 4.74 | 5.2 | |||
| Uniaxial compressive Stress MPa | 40 | 50 | 60 | |||
| Cases | Case 1 fy = 360 MPa | Case 2 Fy = 420 MPa | Case 3 Fy = 520 MPa | |||
|---|---|---|---|---|---|---|
| Linear Isotropic | ||||||
| EX | 2 × 105 MPa | |||||
| PRXY | 0.3 | |||||
| Multilinear Isotropic | ||||||
| Point | Strain | Stress (MPa) | Strain | Stress (MPa) | Strain | Stress (MPa) |
| 1 | 0 | 0 | 0 | 0 | 0 | 0 |
| 2 | 0.0018 | 360 | 0.0021 | 420 | 0.0026 | 520 |
| 3 | 0.0068 | 460 | 0.0061 | 500 | 0.0066 | 600 |
| Code | Local Slenderness Ratio D/t | Max D/t |
|---|---|---|
| ECP 205-2007(LRFD) ECP 203-2007 | 67.42 | |
| EC4 | 73.54 | |
| AIJ | 100.14 |
| Code | Min H/D | Max H/D |
|---|---|---|
| EC4 | <4 (short column) | >4 (long column) |
| AIJ | ≤4 (short column) | ≥12 (long column) |
| Code | Concrete Compressive Strength MPa |
|---|---|
| EC4 | 20–50 |
| AISC | 21–70 |
| Specimen Name | H mm | D mm | t mm | D/t | H/D | fcu MPa | fy MPa | Stiffener’s Location | Failure Load (KN) | V.L Deformation (mm) | Yielding Load (KN) | Yielding Deformation (mm) | Stiffness (KN/mm) | Ductility µ∆ | Failure Mode | ||
|---|---|---|---|---|---|---|---|---|---|---|---|---|---|---|---|---|---|
| Pre-Yielding K1 | Post-Yielding K2 | ||||||||||||||||
| 1 | C1000-8-D400 | 1000 | 400 | 8 | 50 | 2.5 | 40 | 360 | No stiffeners | 7300 | 1.750 | 7100 | 1.55 | 4580.64 | 1000 | 1.129 | Local |
| 2 | C1000-8-D200 | 1000 | 200 | 8 | 25 | 5 | 2700 | 1.728 | 2400 | 1.51 | 1533.33 | 1754 | 1.144 | Local | |||
| 3 | C3000-8-D400 | 3000 | 400 | 8 | 50 | 7.5 | 7200 | 5.138 | 6400 | 4.29 | 1480.58 | 1.198 | 1.198 | Local | |||
| 4 | C4000-8-D400 | 4000 | 400 | 8 | 50 | 10 | 7100 | 6.909 | 5900 | 6.1 | 1163.26 | 696.86 | 1.120 | Local | |||
| 5 | C5000-8-D400 | 5000 | 400 | 8 | 50 | 12.5 | 7100 | 8.289 | 5900 | 6.9 | 964.05 | 553.25 | 1.201 | Local | |||
| 6 | C3000-8-D200 | 3000 | 200 | 8 | 25 | 15 | 2600 | 5.552 | 2500 | 5.12 | 490.19 | 231.48 | 1.084 | Local | |||
| 7 | C4000-8-D200 | 4000 | 200 | 8 | 25 | 20 | 2600 | 7.464 | 2500 | 6.8 | 367.65 | 150.602 | 1.097 | Local | |||
| 8 | C5000-8-D200 | 5000 | 200 | 8 | 25 | 25 | 2600 | 9.375 | 2500 | 8.3 | 301.20 | 93.02 | 1.129 | Global | |||
| 9 | C3000-4-D400 | 3000 | 400 | 4 | 100 | 7.5 | 40 | 360 | 5700 | 5.327 | 4500 | 3.43 | 1285.71 | 656.81 | 1.552 | Local | |
| 10 | C4000-4-D400 | 4000 | 400 | 4 | 10 | 5700 | 7.165 | 4500 | 4.80 | 937.5 | 507.399 | 1.492 | Local | ||||
| 11 | C5000-4-D400 | 5000 | 400 | 4 | 12.5 | 5700 | 9.004 | 4500 | 5.40 | 814.81 | 360.71 | 1.667 | Local | ||||
| 12 | C3000-4-D400-Fc50 | 3000 | 400 | 4 | 100 | 7.5 | 50 | 360 | 6500 | 5.751 | 5400 | 4.2 | 1261.9 | 773.69 | 1.369 | Local | |
| 13 | C5000-4-D400-Fc50 | 5000 | 400 | 4 | 12.5 | 6500 | 9.724 | 5400 | 7.5 | 786.67 | 269.78 | 1.297 | Local | ||||
| 14 | C3000-4-D400-Fy420 | 3000 | 400 | 4 | 100 | 7.5 | 40 | 420 | 5700 | 5.164 | 5200 | 4.30 | 1209.3 | 578.7 | 1.201 | Local | |
| 15 | C5000-4-D400-Fy420 | 5000 | 400 | 4 | 12.5 | 5700 | 8.721 | 5100 | 7.10 | 718.31 | 370.14 | 1.228 | Local | ||||
| 16 | C3000-4-D400-Fc60 | 3000 | 400 | 4 | 100 | 7.5 | 60 | 360 | 7000 | 5.333 | 6100 | 4.20 | 1452.4 | 796.46 | 1.269 | Local | |
| 17 | C5000-4-D400-Fc60 | 5000 | 400 | 4 | 12.5 | 7000 | 8.947 | 6100 | 7.50 | 813.33 | 621.98 | 1.193 | Local | ||||
| 18 | C3000-4-D400-Fy520 | 3000 | 400 | 4 | 100 | 7.5 | 40 | 520 | 5800 | 5.330 | 5200 | 4.30 | 1209.3 | 485.44 | 1.240 | Local | |
| 19 | C5000-4-D400-Fy520 | 5000 | 400 | 4 | 12.5 | 5800 | 9.002 | 5100 | 7.10 | 718.13 | 315.46 | 1.268 | Local | ||||
| 20 | C3000-12-D400 | 3000 | 400 | 12 | 33.3 | 7.5 | 40 | 360 | 9200 | 6.612 | 8700 | 4.90 | 1775.5 | 292.06 | 1.349 | Local | |
| 21 | C5000-12-D400 | 5000 | 400 | 12 | 12.5 | 9200 | 11.228 | 8700 | 8.60 | 1011.6 | 190.26 | 1.306 | Local | ||||
| 22 | C3000-8-D400-Fc50 | 3000 | 400 | 8 | 50 | 7.5 | 50 | 360 | 8000 | 5.483 | 7600 | 4.80 | 1583.3 | 585.65 | 1.142 | Local | |
| 23 | C5000-8-D400-Fc50 | 5000 | 400 | 8 | 12.5 | 7900 | 8.875 | 7500 | 7.30 | 1027.4 | 253.97 | 1.216 | Local | ||||
| 24 | C3000-8-D400-Fy420 | 3000 | 400 | 8 | 50 | 7.5 | 40 | 420 | 7400 | 5.437 | 6500 | 4.40 | 1477.3 | 867.89 | 1.236 | Local | |
| 25 | C5000-8-D400-Fy420 | 5000 | 400 | 8 | 12.5 | 7400 | 9.175 | 6900 | 7.80 | 884.62 | 363.64 | 1.176 | Local | ||||
| 26 | C3000-8-D400-Fc60 | 3000 | 400 | 8 | 50 | 7.5 | 60 | 360 | 8700 | 5.571 | 8200 | 4.90 | 1673.5 | 745.16 | 1.137 | Local | |
| 27 | C5000-8-D400-Fc60 | 5000 | 400 | 8 | 12.5 | 8600 | 9.118 | 8100 | 7.50 | 1080 | 309.02 | 1.216 | Local | ||||
| 28 | C3000-8-D400-Fy520 | 3000 | 400 | 8 | 50 | 7.5 | 40 | 520 | 7500 | 5.459 | 7000 | 4.41 | 1473.9 | 953.29 | 1.238 | Local | |
| 29 | C5000-8-D400-Fy520 | 5000 | 400 | 8 | 12.5 | 7500 | 9.332 | 7000 | 7.80 | 897.44 | 326.37 | 1.196 | Local | ||||
| 30 | C3000-4-D200 | 3000 | 200 | 4 | 50 | 15 | 40 | 360 | 1900 | 5.249 | 1800 | 4.20 | 387.1 | 166.94 | 1.129 | Local | |
| 31 | C4000-4-D200 | 4000 | 200 | 4 | 20 | 1900 | 7.073 | 1800 | 6.42 | 280.37 | 153.14 | 1.102 | Local | ||||
| 32 | C5000-4-D200 | 5000 | 200 | 4 | 25 | 1900 | 8.878 | 1800 | 7.90 | 227.85 | 102.25 | 1.124 | Global | ||||
| 33 | C3000-4-D200-Fc50 | 3000 | 200 | 4 | 50 | 15 | 50 | 360 | 2200 | 6.185 | 2100 | 5.2 | 403.85 | 101.52 | 1.189 | Local | |
| 34 | C5000-4-D200-Fc50 | 5000 | 200 | 4 | 25 | 2200 | 10.466 | 2100 | 8.90 | 235.96 | 63.857 | 1.176 | Global | ||||
| 35 | C3000-4-D200-Fy420 | 3000 | 200 | 4 | 50 | 15 | 40 | 420 | 1900 | 5.157 | 1800 | 4.80 | 375 | 280.11 | 1.074 | Local | |
| 36 | C5000-4-D200-Fy420 | 5000 | 200 | 4 | 25 | 1900 | 8.739 | 1800 | 8.10 | 222.22 | 156.49 | 1.079 | Global | ||||
| 37 | C3000-4-D200-Fc60 | 3000 | 200 | 4 | 50 | 15 | 60 | 360 | 2300 | 5.453 | 2100 | 4.90 | 428.57 | 180.83 | 1.113 | Local | |
| 38 | C5000-4-D200-Fc60 | 5000 | 200 | 4 | 25 | 2300 | 9.203 | 2100 | 8.30 | 253.01 | 221.48 | 1.109 | Global | ||||
| 39 | C3000-4-D200-Fy520 | 3000 | 200 | 4 | 50 | 15 | 40 | 520 | 1900 | 5.156 | 1800 | 4.80 | 375 | 280.11 | 1.074 | Local | |
| 40 | C5000-4-D200-Fy520 | 5000 | 200 | 4 | 25 | 1900 | 8.702 | 1800 | 8.19 | 222.22 | 196.46 | 1.062 | Global | ||||
| 41 | C3000-8-D200-Fc50 | 3000 | 200 | 8 | 25 | 15 | 50 | 360 | 2900 | 6.528 | 2700 | 5.12 | 527.34 | 142.05 | 1.275 | Local | |
| 42 | C5000-8-D200-Fc50 | 5000 | 200 | 8 | 25 | 2900 | 11.035 | 2800 | 8.55 | 327.49 | 40.24 | 1.291 | Global | ||||
| 43 | C3000-8-D200-Fy420 | 3000 | 200 | 8 | 25 | 15 | 40 | 420 | 2800 | 5.794 | 2600 | 5.10 | 509.8 | 288.18 | 1.136 | Local | |
| 44 | C5000-8-D200-Fy420 | 5000 | 200 | 8 | 25 | 2700 | 9.320 | 2600 | 8.60 | 302.33 | 138.89 | 1.084 | Global | ||||
| 45 | C3000-8-D200-Fc60 | 3000 | 200 | 8 | 25 | 15 | 60 | 360 | 3000 | 6.001 | 2800 | 4.95 | 575.76 | 142.72 | 1.212 | Local | |
| 46 | C5000-8-D200-Fc60 | 5000 | 200 | 8 | 25 | 3000 | 10.186 | 2800 | 8.60 | 331.4 | 94.57 | 1.184 | Global | ||||
| 47 | C3000-8-D200-Fy520 | 3000 | 200 | 8 | 25 | 15 | 40 | 360 | 2800 | 5.788 | 2600 | 5.10 | 509.8 | 290.7 | 1.135 | Local | |
| 48 | C5000-8-D200-Fy520 | 5000 | 200 | 8 | 25 | 2800 | 9.768 | 2600 | 8.60 | 302.33 | 85.616 | 1.136 | Global | ||||
| 49 | C1000-8-D400-@250 | 1000 | 400 | 8 | 50 | 2.5 | 40 | 360 | Every 250 mm | 7100 | 1.502 | 7000 | 1.30 | 5384.61 | 495.05 | 1.155 | local |
| 50 | C1000-8-D400-@500 | 1000 | 400 | 8 | Every 500 mm | 7400 | 1.768 | 7100 | 1.30 | 5461.54 | 641.03 | 1.360 | local | ||||
| 51 | C3000-8-D400-@250 | 3000 | 400 | 8 | 50 | 7.5 | 40 | 360 | Every 250 mm | 6600 | 4.295 | 6100 | 3.75 | 1626.67 | 917.43 | 1.145 | local |
| 52 | C3000-8-D400-@500 | 3000 | 400 | 8 | Every 500 mm | 7200 | 5.122 | 6200 | 4.30 | 1441.86 | 1216.54 | 1.191 | local | ||||
| 53 | C3000-8-D400-@1000 | 3000 | 400 | 8 | Every 1000 mm | 7200 | 5.135 | 6200 | 4.20 | 1476.2 | 1069.5 | 1.223 | local | ||||
| 54 | C5000-8-D400-@250 | 3000 | 400 | 8 | 50 | 12.5 | 40 | 360 | Every 250 mm | 6500 | 7.086 | 6000 | 6.10 | 984.13 | 381.68 | 1.125 | local |
| 55 | C5000-8-D400-@500 | 3000 | 400 | 8 | Every 500 mm | 7100 | 8.352 | 6100 | 6.20 | 983.87 | 464.68 | 1.347 | local | ||||
| 56 | C5000-8-D400-@1000 | 3000 | 400 | 8 | Every 1000 mm | 7100 | 8.508 | 6100 | 6.20 | 983.87 | 433.28 | 1.372 | local | ||||
| 57 | C1000-8-D200-@250 | 1000 | 200 | 8 | 25 | 5 | 40 | 360 | Every 250 mm | 2800 | 1.794 | 2500 | 1.40 | 1785.71 | 761.42 | 1.281 | local |
| 58 | C1000-8-D200-@500 | 1000 | 200 | 8 | Every 500 mm | 2700 | 1.652 | 2500 | 1.50 | 1666.67 | 1094.89 | 1.101 | local | ||||
| 59 | C3000-8-D200-@250 | 3000 | 200 | 8 | 25 | 15 | 40 | 360 | Every 250 mm | 2600 | 5.034 | 2400 | 4.55 | 527.47 | 413.22 | 1.106 | local |
| 60 | C3000-8-D200-@500 | 3000 | 200 | 8 | Every 500 mm | 2600 | 5.323 | 2400 | 4.82 | 494.93 | 397.61 | 1.104 | local | ||||
| 61 | C3000-8-D200-@1000 | 3000 | 200 | 8 | Every 1000 mm | 2600 | 5.454 | 2400 | 4.91 | 488.8 | 367.65 | 1.111 | local | ||||
| 62 | C5000-8-D200-@250 | 3000 | 200 | 8 | 25 | 25 | 40 | 360 | Every 250 mm | 2600 | 8.482 | 2400 | 7.81 | 307.3 | 397.62 | 1.086 | local |
| 63 | C5000-8-D200-@500 | 3000 | 200 | 8 | Every 500 mm | 2600 | 8.964 | 2400 | 8.41 | 292.68 | 261.78 | 1.093 | local | ||||
| 64 | C5000-8-D200-@1000 | 3000 | 200 | 8 | Every 1000 mm | 2600 | 9.192 | 2400 | 8.23 | 291.62 | 207.9 | 1.117 | local | ||||
| Specimen Code | H/D | D/t | PANSYS (KN) | AISC (2010) | ECP 205-200 (LRFD) | EC 4 | AIJ (1997) | ||||
|---|---|---|---|---|---|---|---|---|---|---|---|
| Pn (KN) | % Panlytical/Pn | Pn (KN) | % Panlytical/Pn | PPLRD (KN) | % Panlytical/PPLRD | Pc (KN) | % Panlytical/Pc | ||||
| C400-2-D127 | 3.14 | 63.5 | 750 | 744 | 101% (+1) | 612 | 123% (23) | 781 | 96% (−4) | 850 | 88% (−12) |
| C1000-2-D127 | 7.87 | 740 | 709 | 104% (+4) | 593 | 125% (+25) | 669 | 111% (+11) | 772 | 96% (−4) | |
| C2000-2-D127 | 15.75 | 680 | 597 | 114% (+14) | 523 | 130% (+30) | 708 | 96% (−4) | 606 | 112% (+12) | |
| C400-4-D127 | 3.14 | 31.75 | 1260 | 980 | 129% (+29) | 857 | 147% (+47) | 1143 | 110% (+10) | 1158 | 108% (+8) |
| C1000-4-D127 | 7.87 | 1150 | 940 | 122% (+22) | 830 | 113% (+13) | 928 | 124% (+24) | 1044 | 110% (+10) | |
| C2000-4-D127 | 15.75 | 1190 | 810 | 146% (+46) | 735 | 110% (+25) | 975 | 122% (+22) | 820 | 145% (+45) | |
| C1000-8-D400 | 2.5 | 50 | 7300 | 7908 | 92% (−8) | 6674 | 109% (+9) | 9107 | 80% (−20) | 9137 | 80% (−20) |
| C1000-8-D200 | 5 | 25 | 2700 | 2696 | 100% (0) | 2425 | 111% (+11) | 2989 | 90% (−10) | 3189 | 85% (−15) |
| C3000-8-D400 | 7.5 | 50 | 7200 | 7572 | 95% (−5) | 6472 | 111% (+11) | 7473 | 96% (−4) | 8361 | 86% (−14) |
| C4000-8-D400 | 10 | 50 | 7100 | 7289 | 97% (−3) | 6296 | 113% (13) | 7183 | 99% (−1) | 7693 | 92% (−8) |
| C5000-8-D400 | 12.5 | 50 | 7100 | 6942 | 102% (+2) | 6069 | 119% (+19) | 7245 | 98% (−2) | 6965 | 102% (+2) |
| C3000-8-D200 | 15 | 25 | 2600 | 2307 | 113% (+13) | 2132 | 122% (+22) | 2740 | 95% (−5) | 2345 | 111% (+11) |
| C4000-8-D200 | 20 | 25 | 2600 | 2013 | 129% (+29) | 1875 | 139% (+39) | 3533 | 74% (−26) | 3330 | 78% (−22) |
| C5000-8-D200 | 25 | 25 | 2600 | 1690 | 154% (+54) | 1545 | 168% (+68) | 4937 | 53% (−47) | 2205 | 118% (+18) |
| C3000-4-D400 | 7.5 | 100 | 5700 | 6030 | 95% (−5) | 4898 | 116% (16) | 5745 | 99% (−1) | 6539 | 87% (−13) |
| C4000-4-D400 | 10 | 100 | 5700 | 5771 | 99% (−1) | 4760 | 120% (+20) | 5611 | 102% (+2) | 6046 | 94% (−6) |
| C5000-4-D400 | 12.5 | 100 | 5700 | 5454 | 105% (+5) | 4581 | 124% (+24) | 5675 | 100% (0) | 5487 | 98% (−2) |
| C3000-4-D400-Fc50 | 7.5 | 100 | 6500 | 7070 | 92% (−8) | 5672 | 115% (+15) | 6668 | 97% (−3) | 7658 | 85% (−15) |
| C5000-4-D400-Fc50 | 12.5 | 100 | 6500 | 6326 | 103% (+3) | 5272 | 123% (+23) | 6705 | 97% (−3) | 6397 | 102% (+2) |
| C3000-4-D400-Fy420 | 7.5 | 100 | 5700 | 6295 | 91% (−9) | 5175 | 110% (+10) | 6038 | 94% (−6) | 6877 | 83% (−17) |
| C5000-4-D400-Fy420 | 12.5 | 100 | 5700 | 5667 | 101% (+1) | 4820 | 118% (+18) | 6004 | 95% (−5) | 5641 | 101% (+1) |
| C3000-4-D400-Fc60 | 7.5 | 100 | 7000 | 8101 | 86% (−14) | 6442 | 107% (+7) | 7602 | 92% (−8) | 8777 | 80% (−20) |
| C5000-4-D400-Fc60 | 12.5 | 100 | 7000 | 7173 | 98% (−2) | 5951 | 118% (+18) | 7749 | 90% (−10) | 7298 | 96% (−4) |
| C3000-4-D400-Fy520 | 7.5 | 100 | 5800 | 6735 | 86% (−14) | 5634 | 103% (+3) | 6519 | 89% (−11) | 7439 | 78% (−22) |
| C5000-4-D400-Fy520 | 12.5 | 100 | 5800 | 6016 | 96% (−4) | 5210 | 111% (+11) | 6578 | 88% (−22) | 6175 | 94% (−6) |
| C3000-12-D400 | 7.5 | 33.3 | 9200 | 9067 | 101% (+1) | 8011 | 115% (+15) | 9159 | 100% (0) | 10146 | 91% (−9) |
| C5000-12-D400 | 12.5 | 33.3 | 9200 | 8363 | 110% (+10) | 7518 | 122% (+22) | 8782 | 105% (+5) | 8409 | 109% (+9) |
| C3000-8-D400-Fc50 | 7.5 | 50 | 8000 | 8583 | 93% (−7) | 7216 | 111% (+11) | 8332 | 96% (−4) | 9435 | 85% (−15) |
| C5000-8-D400-Fc50 | 12.5 | 50 | 7900 | 7808 | 101% (+1) | 6734 | 117% (+17) | 8244 | 96% (−4) | 7831 | 101% (+1) |
| C3000-8-D400-Fy420 | 7.5 | 50 | 7400 | 8105 | 91% (−9) | 7022 | 105% (+5) | 8039 | 92% (−8) | 9031 | 82% (−18) |
| C5000-8-D400-Fy420 | 12.5 | 50 | 7400 | 7383 | 100% (0) | 6544 | 113% (+13) | 7898 | 94% (−6) | 7483 | 99% (−1) |
| C3000-8-D400- Fc60 | 7.5 | 50 | 8700 | 9586 | 91% (−9) | 7957 | 109% (+9) | 9202 | 95% (−5) | 10508 | 83% (−17) |
| C5000-8-D400-Fc60 | 12.5 | 50 | 8600 | 8657 | 99% (−1) | 7391 | 116% (+16) | 9260 | 93% (−7) | 8687 | 99% (−1) |
| C3000-8-D400-Fy520 | 7.5 | 50 | 7500 | 8986 | 83% (−17) | 7930 | 95% (−5) | 8963 | 84% (−16) | 10142 | 74% (−26) |
| C5000-8-D400- Fy520 | 12.5 | 50 | 7500 | 8097 | 93% (−7) | 7314 | 103% (+3) | 9062 | 83% (−17) | 8322 | 90% (−10) |
| C3000-4-D200 | 15 | 50 | 1900 | 1635 | 116% (+16) | 1448 | 131% (+31) | 1914 | 99% (−1) | 1656 | 115 (+15) |
| C4000-4-D200 | 20 | 50 | 1900 | 1404 | 135% (+35) | 1271 | 149% (+49) | 2385 | 80% (−20) | 2123 | 89% (−11) |
| C5000-4-D200 | 25 | 50 | 1900 | 1155 | 165% (+65) | 1044 | 182% (+82) | 3206 | 59% (−41) | 1448 | 131% (+31) |
| C3000-4-D200-Fc50 | 15 | 50 | 2200 | 1829 | 120% (+20) | 1601 | 137% (+37) | 2196 | 100% (0) | 1851 | 119 (+19) |
| C5000-4-D200-Fc50 | 25 | 50 | 2200 | 1253 | 176% (+76) | 1119 | 196% (+96) | 3706 | 59% (−41) | 1531 | 144% (+44) |
| C3000-4-D200-Fy420 | 15 | 50 | 1900 | 1731 | 110% (+10) | 1554 | 122% (+22) | 2123 | 89% (−11) | 1778 | 107% (+7) |
| C5000-4-D200-Fy420 | 25 | 50 | 1900 | 1192 | 159% (+59) | 1079 | 176% (+76) | 3827 | 50% (−50) | 1448 | 131% (+31) |
| C3000-4-D200-Fc60 | 15 | 50 | 2300 | 2018 | 114% (+14) | 1751 | 131% (+31) | 2481 | 93% (−7) | 2043 | 113% (+13) |
| C5000-4-D200-Fc60 | 25 | 50 | 2300 | 1342 | 171% (+71) | 1185 | 194% (+94) | 4210 | 55% (−45) | 1600 | 144% (+44) |
| C3000-4-D200-Fy520 | 15 | 50 | 1900 | 1885 | 101% (+1) | 1722 | 110% (+10) | 2510 | 76% (−24) | 1971 | 96% (−4) |
| C5000-4-D200-Fy520 | 25 | 50 | 1900 | 1243 | 153% (+53) | 1106 | 172% (+72) | 5032 | 39% (−61) | 1448 | 131% (+31) |
| C3000-8-D200-Fc50 | 15 | 25 | 2900 | 2493 | 116 (+16) | 2272 | 128% (+28) | 3007 | 96% (−4) | 2519 | 115% (+15) |
| C5000-8-D200-Fc50 | 25 | 25 | 2900 | 1792 | 162% (+62) | 1615 | 180% (+80) | 5453 | 53% (−47) | 2274 | 126% (+26) |
| C3000-8-D200-Fy420 | 15 | 25 | 2800 | 2504 | 113% (+13) | 2339 | 120% (+20) | 3158 | 85% (−15) | 2581 | 108% (+8) |
| C5000-8-D200-Fy420 | 25 | 25 | 2700 | 1774 | 152% (+52) | 1606 | 168% (+68) | 6187 | 44% (−56) | 2205 | 122% (+22) |
| C3000-8-D200-Fc60 | 15 | 25 | 3000 | 2675 | 112 (+12) | 2411 | 124% (+24) | 3277 | 92% (+8) | 2686 | 112% (+12) |
| C5000-8-D200-Fc60 | 25 | 25 | 3000 | 1887 | 159 (+59) | 1678 | 179% (+79) | 5976 | 50% (−50) | 2330 | 129% (+29) |
| C3000-8-D200-Fy520 | 15 | 25 | 2800 | 2813 | 100% (0) | 2664 | 105% (+5) | 3952 | 71% (−29) | 2956 | 95% (−5) |
| C5000-8-D200-Fy520 | 25 | 25 | 2800 | 1888 | 148% (+48) | 1652 | 169% (+69) | 8689 | 32% (−68) | 2205 | 127% (+27) |
| Range | (−17) to (+76) % | (−5) to (+96) % | (−68) to (+24) % | (−26) to (+45) % | |||||||
| Average | 114.7% | 129.3% | 86.1% | 103.26% | |||||||
Publisher’s Note: MDPI stays neutral with regard to jurisdictional claims in published maps and institutional affiliations. |
© 2022 by the authors. Licensee MDPI, Basel, Switzerland. This article is an open access article distributed under the terms and conditions of the Creative Commons Attribution (CC BY) license (https://creativecommons.org/licenses/by/4.0/).
Share and Cite
Shaker, F.M.F.; Daif, M.S.; Deifalla, A.F.; Ayash, N.M. Parametric Study on the Behavior of Steel Tube Columns with Infilled Concrete—An Analytical Study. Sustainability 2022, 14, 14024. https://doi.org/10.3390/su142114024
Shaker FMF, Daif MS, Deifalla AF, Ayash NM. Parametric Study on the Behavior of Steel Tube Columns with Infilled Concrete—An Analytical Study. Sustainability. 2022; 14(21):14024. https://doi.org/10.3390/su142114024
Chicago/Turabian StyleShaker, Fattouh M. F., Mohammed S. Daif, Ahmed Farouk Deifalla, and Nehal M. Ayash. 2022. "Parametric Study on the Behavior of Steel Tube Columns with Infilled Concrete—An Analytical Study" Sustainability 14, no. 21: 14024. https://doi.org/10.3390/su142114024
APA StyleShaker, F. M. F., Daif, M. S., Deifalla, A. F., & Ayash, N. M. (2022). Parametric Study on the Behavior of Steel Tube Columns with Infilled Concrete—An Analytical Study. Sustainability, 14(21), 14024. https://doi.org/10.3390/su142114024

