Abstract
In this study, we consider robust emission reduction strategies for a monopolistic manufacturer facing demand uncertainty under governments’ cap-and-trade regulations. We model the manufacturer’s decision making and associated profits under four different emission reduction strategies: no mitigation measure, undertaking remanufacturing, improving the greening level, and both remanufacturing and improving the greening level. We find that the cap-and-trade regulation enhances the manufacturer’s motivation to be engaged in reducing carbon emissions. Furthermore, the manufacturer’s optimal choice of emissions reduction strategy depends on the level of carbon trading price and the degree of demand uncertainty. Specifically, there exists a threshold of carbon trading price at which the manufacturer’s optimal emissions reduction strategy will change. When the carbon trading price is low (below the threshold), the best strategy for the manufacturer to reduce emissions is to improve the greening level of the products. When the carbon trading price is high (above the threshold), the manufacturer should consider both remanufacturing and improving the greening level. Moreover, the threshold of the carbon trading price is further impacted by the demand uncertainty. With market demand uncertainty rising, the threshold of carbon trading price increases as well. Finally, we find raising the carbon trading price may not necessarily benefit the environment. Overpriced carbon trading may hurt the manufacturer’s production instead of encouraging them to take emission reduction measures.
1. Introduction
With growing concerns over environmental pollutants in recent years, many countries and regions have introduced various types of regulations and policies to reduce carbon emissions, such as carbon taxes and cap-and-trade [1]. Among these, cap-and-trade is one of the most common programs implemented by governments around the world. Cap-and-trade is a market-based scheme in which governments allow firms to discharge a specified quantity of pollutants and purchase extra quotas in trading centers when needed. For example, in the USA, California was the first state which initiated the cap-and-trade program in 2011. China, as the world’s largest greenhouse gas (GHG)-emission country, officially launched the national carbon emission trading scheme (ETS) in 2021. Meanwhile, not only governments but also consumers are becoming more environmentally conscious. A recent global survey reported that more than 80% of consumers indicated a significant preference for green products [2,3]. This indicates consumers are more aware of the potential environmental impact of the products they are about to purchase. Under this situation, every manufacturing company needs to consider the environmental impacts of their production and products more than ever [4].
In practice, there exist different ways for manufacturers to reduce their negative environmental impacts, such as eco-design engineering and material substitution. Among these, it is widely reported in the existing literature [5] that remanufacturing and greening products are the most effective ways to reduce carbon emissions. Remanufacturing is the rebuilding of a product to the specifications of the original product using a combination of reused, repaired, and new parts. Compared with producing new products, remanufacturing can reduce 80% of gas emissions and save 50% of costs [6]. Many leading electronics brands, such as Xerox, Apple Inc., and Hewlett-Packard (HP), have launched remanufacturing programs. For example, HP launched the ‘HP Planet Partners’ program in 1991 and claimed that it has recycled more than 875 million ink and toner cartridges since then [7]. Greening products is another prominent way to reduce carbon emissions. It refers to improving the green level of products by transforming the product into a more environmentally sustainable version. For example, Apple Inc. has been working on using green materials in its new products. The latest version of the MacBook Pro comes with an enclosure made with 100 percent recycled aluminum, plus 100 percent recycled tin used in the solder of its main logic board in 2021.
Meanwhile, over the last two decades, we have witnessed the instability and fragility of global supply chains. Due to globally distributed consumers and supply chain partners, manufacturers are more vulnerable to unexpected regional events, such as the COVID-19 pandemic. Within this context, manufacturers need to deal more frequently with increased uncertainty in market demand. Inaccurate forecasts about future demands may lead to out-of-stock or mispricing, which may further cause severe operational risks in the worst cases [8]. Therefore, it is crucial for manufacturers to make robust operational decisions that are capable of coping with uncertainty in demand [9].
Motivated by the observations above, with this study we aim to investigate manufacturers’ robust choice of emission reduction strategies under cap-and-trade regulations when facing demand uncertainty. Specifically, we consider a monopolistic manufacturer under the government’s cap-and-trade regulation. Facing uncertainty in demand, the manufacturer needs to choose an emission reduction strategy to maximize its profit in the worst case. There exist four different emission reduction strategies: (1) no mitigation measure, (2) undertaking remanufacturing, (3) greening products, and (4) undertaking remanufacturing and greening products. We first use game theory to model the manufacturer’s decision making under each emission reduction strategy. Next, with a distribution-free approach, the optimal robust decision making and the associated profits are found under each strategy. After that, we compare the manufacturer’s optimal business performance under each strategy and determine the best emission reduction strategy.
Different from previous research, this study explores the selection of robust emission reduction strategies when demand uncertainty arises. Although there is some discussion about manufacturers’ emission reduction strategies in the literature [10,11], uncertainty in demand is largely ignored. The risk caused by fluctuations in demand may prevent manufacturers from engaging in carbon emission reduction [12,13]. However, on the other hand, the enforcement of the cap-and-trade regulation drives manufacturers to adopt emission reduction measures to reduce their production costs. The trade-off between these two choices and subsequent consequences presents important implications for manufacturers and should not be ignored in emission reduction strategies. In addition, previous studies about demand uncertainty have primarily focused on the enterprises’ optimal decision making regarding pricing, production, and inventory [14,15]. Its impact on enterprises’ engagement in emission reduction activities remains unclear. Therefore, by this study, we seek to address the following research questions:
1. How do the carbon trading price and demand uncertainty affect manufacturers’ choice of robust emission reduction strategies?
2. What are the impacts of the carbon trading price on manufacturers’ robust decision making (i.e., retail price, safety stock level, and greening level of products) under different emission reduction strategies?
3. What are the impacts of the degree of demand uncertainty on the manufacturer’s robust decision making (i.e., retail price, safety stock level, and greening level of products) under different emission reduction strategies?
To address these questions, we built an analytical framework to incorporate the consideration of the carbon trading price and the demand uncertainty into the manufacturer’s choice of robust emission reduction strategy. We first formulate a benchmark model without any emission reduction operations and then extend it to three other models with different emission reduction strategies. Our key findings are summarized as follows.
- The implementation of cap-and-trade regulations prompts manufacturers to pursue measures to reduce emissions. The optimal choice of robust emission reduction strategy depends on the carbon trading price. Specifically, there exists a threshold for the carbon trading price. When the trading price is below the threshold, the manufacturer prefers to reduce emissions by improving the greening level of products. When the trading price is above the threshold, the manufacturer chooses to reduce carbon emissions by remanufacturing and improving the greening level simultaneously.
- The optimal choice of robust emission reduction strategy also depends on the degree of demand uncertainty, since the value of the threshold for the carbon trading price is impacted by the degree of demand uncertainty. As the market demand becomes more uncertain, the value of the threshold for the carbon trading price increases. It indicates that a higher volatility in demand makes the manufacturer more conservative in taking more emission reduction measures.
- The carbon trading price has a significant impact on the manufacturer’s strategic decisions. However, a higher carbon trading price may not necessarily benefit environmental protection. Overpriced carbon trading may force the manufacturer to reduce its production and sell its carbon quota.
The remainder of this study is structured as follows. In Section 2, we review related studies in the literature and highlight our contribution. Section 3 describes the problem in detail and presents basic assumptions. Section 4 develops four different game models and derives corresponding equilibrium results. Numerical analysis is conducted in Section 5. Section 6 concludes the study with managerial insights and further research directions. For the sake of clarity, all proofs are provided in Appendix A.
2. Literature Review
Three research streams are related to our study: (1) manufacturers’ decision making with consideration of demand uncertainty, (2) impacts of cap-and-trade regulations on operational management, and (3) manufacturers’ emission reduction strategies. In this section, studies in the above three streams will be reviewed, and the differences between our study and the previous literature will be elaborated.
2.1. Demand Uncertainty
The prevailing volatility in the business environment is one of the major factors that impact the operations management of manufacturers [16]. Many researchers have discussed manufacturers’ operational decision making in consideration of demand uncertainty [13,14,15,17,18,19,20,21,22,23,24]. Ramezani et al. [17] developed a stochastic multi-objective optimization model to identify Pareto equilibrium under an uncertain environment in which prices, costs, market demands, and return rates are uncertain. Kim et al. [18] investigated the impacts of demand uncertainty and recycling difficulties on manufacturers’ decision making. Choi et al. [19] examined manufacturers’ pricing strategies considering demand uncertainty and risk aversion in mass customization (MC) supply chains. Their analysis indicates that a higher demand uncertainty requires retailers to provide extra credit deposits to avoid loss of profits. Weskamp et al. [14] employed a two-stage stochastic mixed-integer linear programming (SMIP) model to investigate the integrated production and distribution strategies with stochastic demand under static and stochastic conditions. Their analysis demonstrates that postponement strategies play a significant role in boosting corporate profit. Modak and Kelle [15] analyzed the optimal pricing, production, and delivery strategies of a dual-channel supply chain in which there is a price and delivery time-dependent stochastic demand. Their results showed that the distribution-free approach (quantity discount contract and franchise fee contract) is effective in reducing the double marginalization of the manufacturer and the retailer. Li et al. [20] explored pricing and remanufacturing strategies of a monopoly manufacturer with stochastic demand and yield. They found that a First-Remanufacturing-Then-Pricing (FRTP) strategy is more effective when there is uncertainty in demand. Ghosh et al. [21] compared the manufacturer’s channel configurations (single retail channel, single e-tail channel, and dual-channel) under stochastic demand. They concluded that the random demand resulting from consumer behavior affects the performance of the whole supply chain. Peng et al. [13] elaborated on the carbon emission reduction and procurement quantity strategies of a low-carbon supply chain with demand uncertainty under centralized and decentralized scenarios. They proposed a unidirectional option (UO) contract and a bidirectional option (BO) contract to improve the performance of the supply chain members. Their analysis indicates that the bidirectional option contract can significantly benefit social welfare and environmental protection. Wang et al. [22] discussed the supplier’s and the retailer’s optimal green technology investment under demand uncertainty. They concluded that offering incentive mechanisms can effectively induce the retailer to participate in the green technology investment. Li and Li [23] considered the financial constraints and demand uncertainty of sustainable supply chain members and proposed a revenue-sharing (RS) and buy-back (RSBB) contract to coordinate the supply chain. Wu and Shang [24] modeled a green supply chain consisting of a supplier, a government, a leader retailer, and a follower retailer to investigate the greening operational decisions and information leakage decisions under demand uncertainty. They concluded that consumer surplus and social welfare will decline as the uncertainty of the supply chain increases.
2.2. Cap-and-Trade Regulation
The cap-and-trade regulation is widely discussed in the existing literature as a measure of governments or institutions to curb carbon emissions [25]. Many studies have shown that it plays a significant role in promoting environmental protection and social welfare [26]. He et al. [27] examined the optimal pricing and carbon emission decisions with price- and emission-dependent demand under the cap-and-trade regulation. Wang and Wu [5] investigated a manufacturer’s carbon emission reduction and end-of-life product collection strategies under the cap-and-trade regulation. They analyzed the impact of price limitations set by governments for carbon trading on closed-loop supply chain operations. Yang et al. [28] addressed how compliance and non-compliance behavior of closed-loop supply chain members impact their optimal responses to the cap-and-trade regulation and identified the conditions under which manufacturers are encouraged to remanufacture and curb carbon emission. They suggested that instead of tightening regulations, governments and institutions should adopt a variety of measures to encourage remanufacturing or green production. Ghosh et al. [21] verified the impact of consumers’ low carbon preference on retail channel selection and carbon emission strategies under stochastic demand and cap-and-trade regulation. They found that both buyback contracts and reduction task-sharing contracts can benefit all the members of the supply chain. Wang et al. [29] investigated optimal pricing strategies under three different carbon trading options: (1) no carbon trade; (2) inner carbon trade; and (3) inner and outer carbon trade. They revealed that the transfer payment mechanism could significantly benefit the supply chain members and improve the effectiveness of the carbon trading mechanism. Kushwaha et al. [30] developed a mixed-integer linear programming model to find a manufacturer’s optimal combination of collection channels under the cap-and-trade regulation. Taleizadeh et al. [31] elaborated on the pricing and coordination decisions in a dual-channel supply chain under the cap-and-trade regulation. Qian et al. [12] considered channel optimal coordination strategies in a sustainable supply chain consisting of a responsible manufacturer and a retailer with fairness concern under the cap-and-trade regulation. They concluded that the carbon emission per product is the highest under wholesale price contracts. Zhang et al. [32] considered the impacts of the cap-and-trade regulation on a three-echelon closed-loop supply network. They suggest that a reasonable free initial carbon quota should be set for all members in the closed-loop supply network. Zhao et al. [33] explored the factors affecting the use of renewable energy by Chinese companies under the cap-and-trade regulation. They concluded that enterprises’ decision making cannot just be based on long-term costs, but also needs to take into account a number of other factors, such as social responsibility and brand image. Guo et al. [7] discussed how the assimilation effect in consumer purchase behavior impacts the original equipment manufacturer’s choice of remanufacturing engagement under the cap-and-trade regulation.
2.3. Emission Reduction Strategies
A wide range of strategies is available to help manufacturers reduce their carbon emissions, such as installing gas purification equipment, updating production equipment, remanufacturing, and improving the greening level of products [34]. In this study, we focus on two major emission reduction strategies: remanufacturing and improving the greening level of the products. Modak and Kelle [15] examined how corporate social responsibility (CSR) benefits companies’ revenue by considering carbon emission tax and demand uncertainty in a closed-loop supply chain. They reported that the recovery of end-of-life products can benefit both cost-saving and carbon emission reduction. Chang et al. [34] studied a monopolist manufacturer’s quantity decisions about new and remanufactured products in a two-period planning horizon with carbon emission regulation. Their results suggested that setting a reasonable trading price can motivate manufacturers to regulate their production and control carbon emissions under the carbon cap and trade mechanism. Zhang et al. [35] examined the circumstances under which the joint emission reduction strategy can effectively improve supply chain members’ environmental performance. Their results show that environmental regulation is more effective when there is a cost-revenue-sharing contract between supply chain members. Mondal and Giri [36] investigated the coordination and competition problems with the consideration of products’ greening level under the cap-and-trade regulation. They found that both the government subsidy and regulation can benefit the overall supply chain performance. Later, they extended this study to a two-echelon sustainable supply chain and demonstrated the increase in carbon trading cost will improve the greening level of the products, thereby reducing the carbon emissions [3]. Zhang and Liu [37] considered the impact of the greening level of the products on cooperative decision making and coordination mechanisms in a three-level green supply chain. Jian et al. [38] investigated the impact of consumers’ fairness concern on marketing efforts, greening level of the products, recycling rates, and pricing of a supply chain and demonstrated the effectiveness of profit-sharing contracts for Pareto improvement of the supply chain performance. Lee and Yoon [39] explored supply chain members’ optimal price and sustainability efforts in the context of sustainability innovation and carbon emission constraints. They found that the higher the carbon cap set by the government, the greater the sustainability efforts the supply chain makes.
As we discussed above, cap-and-trade regulation is one of the most widely used systems of reducing carbon emissions globally, which encourages manufacturers to adopt emission reduction measures effectively. Although some studies discussed the selection of emission reduction strategies under the cap-and-trade regulation, the role of demand uncertainty is largely ignored [36,38]. Previous studies emphasize the role played by demand uncertainty on various types of operational strategies made by firms [14,15,19,20,21,22,23]. However, its impacts on emission reduction strategy remains unknown in the extant literature. For instance, fluctuations in demand may sub-optimize an emission reduction strategy which is the best when the demand is assumed to be constant. Motivated by this research question, we investigate manufacturers’ selection of emission reduction strategies. This study contributes to the literature by discussing robust emission reduction strategies with demand uncertainty under the cap-and-trade regulation, which more realistically reflects recent practice. The discriminating and important features of the aforementioned studies are framed in Table 1.
Table 1.
A comparison of this study with the previous studies in demand uncertainty, cap-and-trade regulation, and emission reduction strategies.
3. Problem Description
In this study, we consider a monopolistic manufacturer’s selection of robust emission reduction strategies under the cap-and-trade regulation when facing demand uncertainty. Specifically, we examine and compare four different emission reduction strategies: (1) no mitigation measures at all (benchmark), (2) undertaking remanufacturing, (3) improving the greening level of the product, and (4) remanufacturing plus improving the greening level.
This manufacturer is under the government’s cap-and-trade regulation and needs to decide whether and how to reduce its carbon emissions to maximize its profit in the worst case. At the beginning of each production cycle, the manufacturer obtains a free quota of carbon emissions from the government, which is . In addition, there exists an independent carbon trading center where the manufacturer can trade carbon quotas with other firms if necessary. For example, at the end of the production cycle, if the manufacturer’s total carbon emission exceeds the government-granted quota, it needs to purchase extra carbon quotas from the carbon trading center. Otherwise, it needs to pay huge fines imposed by the government. However, if the manufacturer’s total carbon emissions are below the government-granted quota, it can sell the remaining quota to other firms in the trading center. Following the literature [40], we assume that the manufacturer buys and sells the carbon quota at the same price, which is .
If the manufacturer chooses to reduce carbon emissions through undertaking remanufacturing, it is responsible for producing new and remanufactured products and selling them to the same market. Following the literature [41], we assume that there is no difference in quality between the two products; thus the price of the remanufactured product is the same as that of the new one, which is p. For example, Eastman Kodak Company promised that their remanufactured single-use cameras would be indistinguishable from the new ones, and they typically charge the same price for both of them. Let and represent the unit production cost of the new and remanufactured products. In practice, the production of a remanufactured product is less costly than that of a new one, namely [41].
In addition, the unit carbon emission of a new product is given by , where is the original carbon emission of the new product, indicates the effect of greening products on carbon emission reduction which lies in , and the greening level is denoted by g. Furthermore, the unit carbon emission of the remanufactured product is denoted by . We further assume that the remanufactured product cuts the carbon emission by , which leads to , where . Given the above discussion, the value of also reflects the carbon emission advantage of remanufacturing.
Similar to previous studies [5,41,42], the corresponding total collection cost is assumed to be a strictly convex function of the return rate. Specifically, , where is a scaling parameter. We assume that the manufacturer is responsible for recycling end-of-life products directly from consumers, and the collection rate is denoted by , where . For the sake of tractability, we assume is an exogenous parameter [43].
If the manufacturer chooses to reduce carbon emissions through improving the greening level of products, it is responsible for the investment in green innovation and green promotional activities. We assume an increasing and strictly convex cost component [44], which characterizes the diminishing investment with respect to g, where is a scaling parameter.
Note that if the manufacturer chooses remanufacturing only, there is no greening improvement for both products (i.e., new and remanufactured), namely and . Similarly, if the manufacturer chooses only to improve the greening level of the new product, it implicates no remanufacturing, namely and . In addition, if the manufacturer takes no mitigation measures at all, then and .
Consistent with the previous research [3,36], we assume that the market demand (d) is linearly correlated with the retail price and the greening level of the product, which is defined as
where a denotes the potential size of the market, and b represents the price sensitivity of the demand. Taking this one step further, we consider the uncertainty of the demand, which can typically be accomplished in two different ways: multiplicative and additive forms [15,45,46]. To facilitate the mathematical tractability of our study, an additive random fluctuation term is employed to represent the uncertainty in demand. Specifically, an independent random term is added to the linear deterministic demand. As a result, the demand with random fluctuation (D) is modeled as
where is a random variable defined in the range with a mean of and a standard deviation of . Furthermore, we assume that follows a cumulative distribution function and a probability density function .
To address the demand uncertainty, safety stock is formulated as follows to reduce the risk of out-of-stock [15,42]. For each production cycle, the manufacturer decides to produce Q products, where in which d units are produced to satisfy the deterministic part of the demand, while z units are prepared for the unexpected random demand (i.e., safety stock level). In accordance with the literature [15,42], we further assume that . If , then each unit of the leftovers are disposed of at the unit cost s. Conversely, if , then shortages occur, and the shortage cost of a lost sale is .
The related notations and descriptions used in this study are summarized in Table 2. The superscript B, R, G, and represent the benchmark scenario (without mitigation measures), the remanufacturing scenario, the improving greening level scenario, and remanufacturing plus improving greening level scenario, respectively.
Table 2.
Values of problem parameters.
4. Equilibrium Analysis
In this section, the optimal robust decision making and the associated equilibrium outcomes are derived under four different emission reduction strategies of the manufacturer. Specifically, the manufacturer’s optimal decisions (i.e., safety stock level z, retail price p, and greening level g) are made to maximize its profits in the worst case under each strategy.
4.1. Benchmark Model (Model B)
When the manufacturer decides not to take any action to reduce carbon emissions, the expected profit can be calculated as
where . On the right-hand side of Equation (3), is the expected sales revenue, is the expected shortage quantity, and is the expected leftover quantity.
Recall that and . It follows that the manufacturer’s profit in Equation (3) can be simplified as follows:
Due to unpredictable changes in social, environmental, and economical activities, it is difficult to obtain the exact distribution of random disturbances in demand. However, certain statistical characteristics can be estimated from historical observations [47]. Under this situation, a distribution-free approach can be employed to maximize the lower bound of the expected profit with respect to all possible distributions of the demand [15,42]. We assume that the random fluctuation of demand is observed to have a mean and a variance , but its exact distribution remains unknown. Following the approach in the previous study [42], we maximize the lower bound of the expected profit under all possible distributions of random fluctuations. Previous studies [42,47] show that the inequality holds for all possible distributions of the random variable . Therefore, it is clear that characterizes the upper bound of the expected shortage quantity . The out-of-stock cost will be maximized when the expected shortage quantity reaches the upper bound. Therefore, the minimum expected profit can then be derived from Equation (4) as
When the manufacturer decides not to take any measures to reduce carbon emissions, its decision-making sequence is as follows. To maximize its profit in the worst case, the manufacturer facing demand fluctuation first needs to determine its safety stock level z. Thus, the optimization problem can be formulated as follows:
After that, it determines the retail price p. The optimization problem can be formulated as follows:
Next, the optimal decisions are derived using backward induction. By solving the first-order optimality condition of Equation (7), we can obtain the best response function at first, which is stated in Lemma 1 below.
Lemma 1.
For given z, the best response function is given by
After substituting into Equation (6), then we can determine the optimal safety stock level by solving the first-order optimality condition. Thus, we can obtain the optimal solutions, which are given in Proposition 1.
Proposition 1.
When the market size is large enough which satisfies ( is introduced in the Appendix A.2 due to its complicated form), there exists an optimal safety stock level for the manufacturer, which is the larger root of the equation
The proof of Proposition 1 shows that the condition in Proposition 1 is derived from . Note that implies that the manufacturer chooses to produce products according to the deterministic part of the demand, i.e., d. The condition indicates that the manufacturer should keep a safety stock because the worst case expected profit increases as the safety stock level increases in the neighborhood of . In other words, the manufacturer will obtain a profit no less than when setting a safety stock level greater than 0.
Lastly, substitute into the best response functions , the manufacturer’s optimal retail price can be obtained. Note that the closed-form expression for is hard to determine, so we will use numerical simulation to attain the numerical solution for and the associated for further analysis.
4.2. Remanufacturing Model (Model R)
When the manufacturer chooses to reduce emissions via the way of remanufacturing, its expected profit can be calculated as follows.
The first part in Equation (8) denotes the total revenue from manufacturing and remanufacturing. The second part, , simply is the sales revenue from selling carbon quotas if any; is the production cost, and and are the cost of expected shortage and expected leftover, respectively. The last part is the total collection cost for remanufacturing.
Similar to Equation (3), it can be simplified as follows.
With the distribution-free approach, the minimum expected profit can be derived from Equation (9) and is given by
When the manufacturer decides to curb carbon emissions via undertaking remanufacturing, its sequence of events is as follows. To maximize its profit in the worst case, the manufacturer should primarily determine the safety stock level z under demand fluctuation. Thus, the optimization problem can be formulated as follows:
Then, the manufacturer decides the retail price p. The optimization problem can be formulated as follows:
After that, the optimal decisions can be obtained by backward induction. By solving the first-order optimal condition of Equation (12), the best response function can be derived as demonstrated in Lemma 2.
Lemma 2.
For given z, the best response function is given by
The proof of Lemma 2 is similar to that of Lemma 1 and hence omitted.
Next, we substitute into Equation (11). Then, we solve the first-order condition. Next, the optimal safety stock level can be obtained and summarized in Proposition 2.
Proposition 2.
When the market size is large enough which satisfies ( is introduced in the Appendix A.4 due to its complicated form), there exists an optimal safety stock for the manufacturer, which is the larger one of two roots of equation
At last, we further substitute into the best response functions . Hence, the manufacturer’s optimal retail price can be derived. Note that the closed-form expression for is difficult to derive, so we use the same solution method as in Section 4.1 to obtain and in numerical analysis.
4.3. Improving the Greening Level Model (Model G)
When the manufacturer chooses to reduce emissions via the way of greening products, the expected profit of the manufacturer can be calculated as
In Equation (13), the profit of the manufacturer consists of six parts: the expected sales revenue , the cost of expected shortage , the cost of expected leftover , the production cost of new product , the investment on greening innovation , and the revenue from saving carbon quotas .
Again, with the distribution-free approach above, the minimum expected profit can be derived from Equation (14):
After the manufacturer chooses to reduce emissions through greening the product, its subsequent decision making is as follows. Similar to previous sections, the manufacturer first determines the safety stock level z. Therefore, the optimization problem can be formulated as follows:
After that, the manufacturer determines the retail price p and the greening level g to maximize its profit in the worst case.
The optimal decisions are derived using backward induction next. We obtain the optimal condition by taking the first-order derivation of Equation (17), and the best response functions and are summarized in Lemma 3.
Lemma 3.
For given z, the best response functions and are given by
Then, we substitute and into the manufacturer’s profit function given in Equation (16). As a result, we derive the optimal solutions as shown in Proposition 3.
Proposition 3.
When the market size is large enough which satisfies ( is introduced in the Appendix A.6 due to its complicated form), there exists an optimal safety stock level for the manufacturer which is the second root of the equation
where .
Finally, insert into the best response function , , we can obtain the manufacturer’s optimal retail and the optimal greening level . Owing to the lack of a closed-form expression for , further analysis on , , and will be conducted using numerical analysis.
4.4. Remanufacturing and Improving Greening Level Model (Model RG)
When the manufacturer chooses to reduce emissions through both remanufacturing and improving the greening level of products, the expected profit of the manufacturer can be calculated as
In Equation (20), is the total revenue from selling the new and remanufactured products; is the sales revenue of carbon quotas; is the production cost; is the cost of expected shortage; is the cost of expected leftover. At last, and represent the total collection cost and the investment in improving the product’s greening level.
Using the same logic, with the distribution-free approach, the minimum expected profit is given by
Under the remanufacturing plus improving greening level strategy, the manufacturer’s subsequent decision making is as follows. First of all, the manufacturer determines the safety stock level z. Thus, the optimization problem can be formulated as follows:
Then, it determines the retail price p and the greening level g to maximize its profit in the worst case. The optimization problem can be formulated as follows:
Next, we solve the optimization problem with the backward induction approach. We obtain the optimal condition by taking the first-order derivation of Equation (23), which is and , summarized in Lemma 4.
Lemma 4.
For given z, the best response functions and are given by
where , and .
By substituting and into Equation (22), we can derive the optimal safety stock level z. The manufacturer’s optimal solutions are shown in Proposition 4.
Proposition 4.
When the market size is large enough which satisfies ( is introduced in the Appendix A.8 due to its complicated form), there exists an optimal safety stock for the manufacturer, which is the second largest of three roots of the equation:
where
In the end, we substitute into the best response function , , then the manufacturer’s optimal retail and the optimal greening level can be obtained.
4.5. Analytical Analysis
In this subsection, we present some analytical analyses based on the aforementioned results. Specifically, we examine how focal problem features such as the carbon trading price () and the demand uncertainty () affect the manufacturer’s optimal safety stock level under four different emission reduction strategies.
First, as shown in Table 3, under all four emission reduction strategies, the carbon trading price leads to a negative impact on the safety stock level. This is because a higher carbon trading price imposes a higher production cost for the manufacturer, which leads to a lower safety stock level.
Table 3.
Effect of the carbon trading price () and the demand uncertainty () on the manufacturer’s optimal safety stock level.
Second, Table 3 shows that the impacts of (demand uncertainty) on the manufacturer’s optimal safety level are not simply one-way. With the increases in demand fluctuation, the optimal safety stock level first increases and then decreases. The intuition here is that as the uncertainty of the demand increases, the manufacturer is more likely to face the occurrence of product shortages or surplus inventory. On the other hand, due to a higher production cost resulting from the cap-and-trade regulation, the manufacturer tends to lose more profit when it has excess inventory than when it is short. As a result, when the demand uncertainty varies over a low range (i.e., below the threshold), the best strategy for the manufacturer is to increase the safety stock level to avoid shortages as fluctuation increases. When the demand uncertainty varies over a high range, the best strategy for the manufacturer is to decrease the safety stock level as fluctuation increases to prevent inventory surpluses, even if doing so may cause shortages.
5. Numerical Analysis
In this section, we examine the manufacturer’s optimal choice of robust emission reduction strategy and the effects of varying problem parameters on its choice using numerical examples. Specifically, the manufacturer compares the optimal robust profit resulting from each emission reduction strategy and chooses the one leading to the maximum profit.
We refer to the relevant literature [5,15,42] for parameter assignment, which is listed in Table 4: the potential market size of the product , the price sensitivity factor of the demand , the unit production cost of a new product , and the return rate of used products from consumers , etc.
Table 4.
Values of problem parameters.
5.1. Comparison of Model B, Model R, Model G, and Model RG
We first compare the profit of Models B, R, G, and RG under the parameter setting above. Then we examine the sensitivity of their profit performance to the variation of problem characteristics. Specifically, we vary carbon trading price in and demand uncertainty in to examine its best choice of robust emission reduction strategy, with other parameters unchanged.
Table 5 present the manufacturer’s optimal carbon emission reduction strategy and its associated profit under different carbon trading price () and demand uncertainty (). First of all, it shows that taking no measures (Model B) or only relying on remanufacturing (Model R) are not good strategies for the manufacturer.
Table 5.
The manufacturer’s optimal carbon emission reduction strategy under different carbon trading price and demand uncertainty .
Second, Table 5 indicates that the choice between greening products (Model G) and remanufacturing plus greening products (Model RG) is contingent on the value of and . Figure 1 further illustrates such impacts of and on the relative magnitude of and . Specifically, there exists a threshold of the carbon trading price (). When the carbon trading price is low (i.e., below the threshold ), the manufacturer should choose to improve the greening level of the product only (Model G). Otherwise, the manufacturer should choose to reduce emissions through both remanufacturing and improving the greening level of the product (Model RG). For instance, when , . As shown in Table 5, when , the manufacturer should choose mode G. When , the manufacturer should choose mode RG.
Figure 1.
The manufacturer’s optimal profits under different carbon trading price and demand uncertainty .
In addition, the manufacturer’s robust strategy choice is further affected by the interaction between the carbon trading price p and demand uncertainty . Explicitly, the value of the threshold is affected by . It is shown in Figure 1 that the value of the threshold increases in the demand uncertainty (). In other words, given the same carbon trading price, a higher demand volatility will make manufacturers more conservative in undertaking remanufacturing.
5.2. Impact of the Carbon Trading Price
In this subsection, we examine the impact of the carbon trading price on the optimal decision making of the manufacturer under different emission reduction strategies. We extend the range adopted in the existing literature [48] and vary between 0.1 and 60. Other parameters remain the same as shown in Table 4.
Table 6 presents the optimal decision making of the manufacturer under four emission reduction strategies with different carbon trading price (). It first shows that the retail price of the product increases with the carbon trading price . In addition, the product’s retail price in Model is the lowest among the four strategies. As a result, we can conclude that Model has the highest total surplus among all consumers.
Table 6.
Optimal decision making with different carbon trading prices under four emission reduction strategies B, R, G, and RG.
Second, Table 6 indicates that the safety stock level decreases as the carbon trading price increases. This is because a higher carbon trading price indicates a larger production cost for the manufacturer, which further results in a lower safety stock level. Furthermore, the manufacturer’s safety stock of Model is the highest, while Model B is the lowest. The reason behind this is that the unit carbon emission in Model is the lowest and that in Model B it is the highest among the four different strategies.
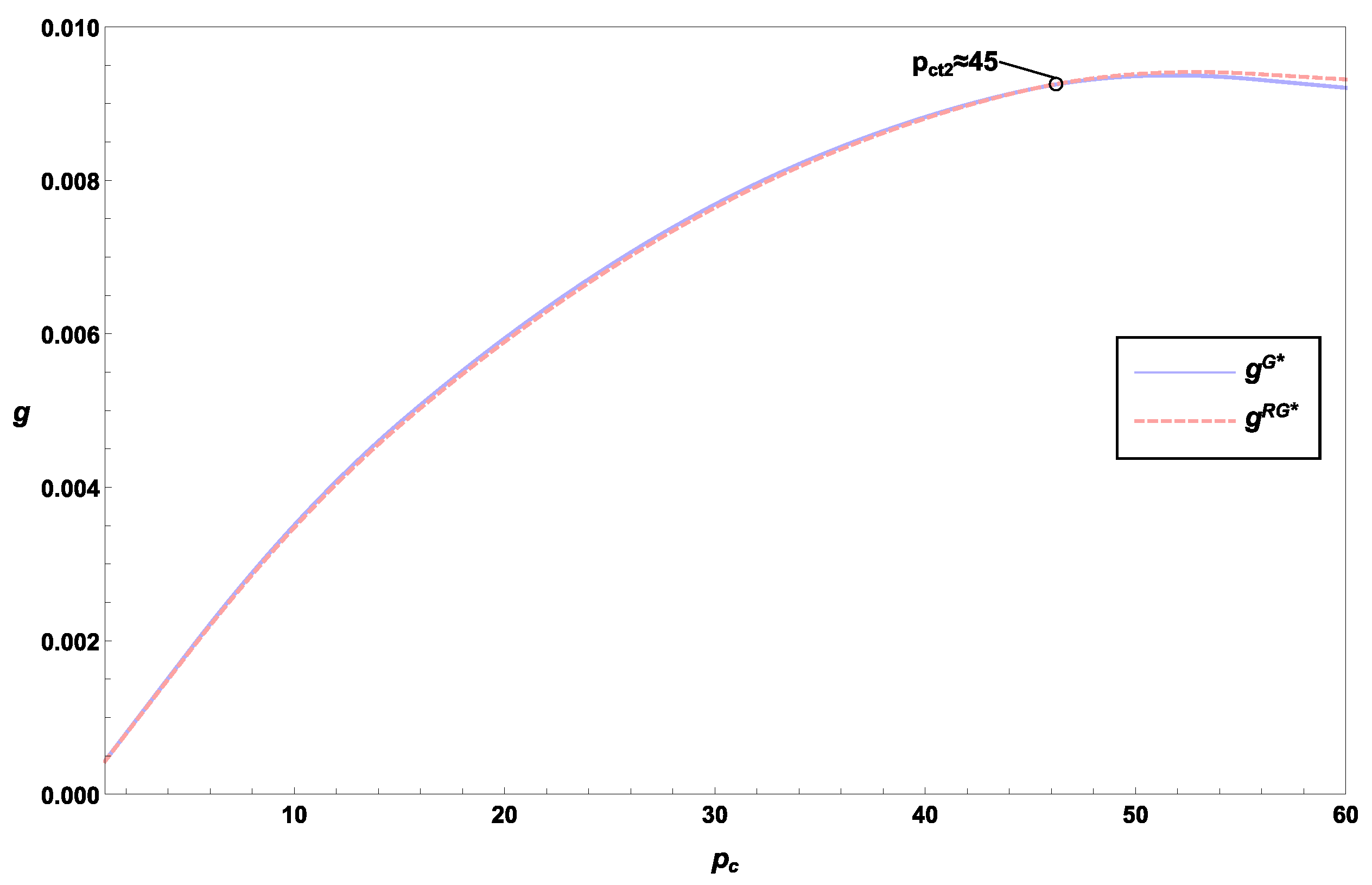
Third, Table 6 and Figure 2 illustrate that the impact of the carbon trading price on the greening level of the product is not linear. As the carbon trading price increases, the greening level of the product first increases and then decreases slightly. This suggests that the carbon trading price is not the higher the better. An appropriate carbon trading price can best encourage manufacturers to develop greener products.
Figure 2.
Impact of parameter on greening level g.
In addition, Figure 2 further indicates that the relationship between and is contingent on the value of . Specifically, there exists a threshold of the carbon trading price (denoted as ). When the carbon trading price is low (i.e., below the threshold in the illustrated case), the greening level of the product in Model is lower than that in Model G. The opposite is true when the carbon trading price is high.
Next, we further investigate the impact of on the manufacturer’s optimal outcomes (i.e., production volumes, total carbon emissions, and profits).
Table 7 shows that the total production volume under all four strategies decreases in the carbon trading price . In addition, the total carbon emissions decrease as increases. Moreover, the impact of the carbon trading price on the manufacturer’s profit is not simply one-way. Specifically, as the carbon trading price increases, the manufacturer’s profit first decreases and then increases. This is because as the carbon trading price rises, the manufacturer first tries to reduce the overall carbon emissions by reducing production quantity. In the wake of a decline in production, the manufacturer’s profit has also declined. However, with the carbon trading price continuing to increase, the manufacturer can benefit from selling surplus carbon quota in the trade center, which causes an increase in total profit.
Table 7.
Optimal outcomes with different carbon trading prices under four emission reduction strategies B, R, G, and RG.
5.3. Impact of the Demand Uncertainty
In this subsection, we examine the impact of the degree of demand uncertainty on the optimal outcomes under different emission reduction strategies B, R, G, and . Following the literature [15], the value of is varied between 5 and 75 with other parameters unchanged.
First of all, as shown in Table 8, counterintuitively, the retail price of the product decreases as demand uncertainty increases. This is because when the manufacturer faces higher market demand uncertainties, it is motivated to lower retail prices to attract more consumers (the price-dependent deterministic part of the demand). In this way, it is able to reduce the unit cost of the product. Second, as the demand uncertainty increases, the safety stock level first increases and then decreases. Finally, the greening level of the product increases in . This observation suggests that as the manufacturer lowers the retail price to attract more customers, the expected total demand increases. The increased total demand leads to a higher production quantity (see Table 9), which further results in a larger amount of carbon emission. Facing such a situation, it is better for the manufacturer to improve the product’s greening level to reduce the unit carbon emission.
Table 8.
Optimal decision making with different degree of demand uncertainty under four emission reduction strategies B, R, G, and RG.
Table 9.
Optimal outcomes with different degrees of demand uncertainty under four emission reduction strategies B, R, G, and RG.
Table 9 shows the total production volume increases in demand uncertainty under all four strategies. Meanwhile, the total carbon emission increases as increases. In addition, the manufacturer’s profit declines as demand uncertainty increases. Table 9 further indicates that when the carbon trading price () is sufficiently high, the demand uncertainty no longer impacts the choice of the manufacturer’s robust emission reduction strategy, which will always choose the remanufacturing plus improving the greening level.
6. Conclusions and Discussion
This study considered the choice of robust emission reduction strategies of a monopolistic manufacturer facing demand uncertainty under the cap-and-trade regulation. Particularly, we try to identify the emission reduction strategy which maximizes the minimum profit of the manufacturer when there is a random fluctuation in the demand.
To delineate the manufacturers’ robust choice of emission reduction strategy, we modeled and derived its optimal robust decision making and associated profits under four different emission reduction strategies. Our findings showed that whenever a cap-and-trade regulation is in place, the manufacturer should adopt certain measures to reduce emissions. We further found that the manufacturer’s choice of robust emission reduction strategies depends on the carbon trading price. Specifically, there exists a threshold for the carbon trading price. When the carbon trading price is low (i.e., below the threshold), the manufacturer should choose to improve the greening level of products only (Model G). Otherwise, the manufacturer should choose to reduce carbon emissions through both remanufacturing and improving the greening level of the products (Model RG). In addition, our analysis showed that the value of the threshold is further determined by demand uncertainty. With the market demand becoming more uncertain, the value of the threshold for the carbon trading price increases.
Furthermore, upon investigating the impacts of the carbon trading price on the total carbon emissions under four emission reduction strategies, we found that the total carbon emission under all strategies decreases in the carbon trading price. In addition, the relative magnitude of the total carbon emission resulting from different strategies is not consistent. The relationship between amounts of the total carbon emissions is determined by the carbon trading price. When the carbon trading price is relatively low, the total carbon emission in Model is the lowest among the four strategies. When the carbon trading price is relatively high, the total carbon emission in Model B is the lowest. This implies that overpriced carbon trading could hurt manufacturers’ production, rather than encourage them to adopt emission reduction measures.
There are some limitations in our study. First of all, in practice, governments implement various regulations and policies to encourage manufacturers to undertake emission reduction activities, such as carbon tax, environmental subsidies, and green subsidies. Among them, only the cap-and-trade regulation is considered in this study. With other types of regulations and policies, the optimal robust emission reduction strategy for manufacturers may be different. Second, we only consider two carbon emission reduction strategies: undertaking remanufacturing and greening products. Other emission reduction measures are also adopted in manufacturing activities, such as equipment upgrading and material substitution, which may lead to interesting trade-offs. Finally, a fixed carbon trading price is assumed in this study, which may limit the applicability of our conclusions.
In the future, there are some interesting directions worth exploring. First, the emission reduction effect from remanufacturing is determined by the remanufacturing rate, and the remanufacturing rate is further determined by the return rate of used products. In this study, the return rate in remanufacturing is modeled as an exogenous parameter, while it can be an endogenous decision variable for certain industries as well. It would be interesting to examine how a flexible return rate of used products impacts the selection of emission reduction strategies. Second, a valuable extension of this study is to consider the selection of emission reduction strategies of two manufacturers competing for the used products for remanufacturing.
Author Contributions
Conceptualization, C.L., and T.G.; methodology, C.L.; software, T.G.; validation, C.L., T.G., and Y.C.; formal analysis, T.G.; investigation, C.L.; resources, C.L.; data curation, C.L.; writing—original draft preparation, C.L.; writing—review and editing, C.L.; visualization, C.L.; supervision, Y.C.; project administration, Y.C. All authors have read and agreed to the published version of the manuscript.
Funding
This research received no external funding.
Institutional Review Board Statement
Not applicable.
Informed Consent Statement
Not applicable.
Data Availability Statement
Not applicable.
Conflicts of Interest
The authors declare no conflict of interest.
Appendix A. Proof
In this part, we provide detailed proof of our results in the main study.
Appendix A.1. Proof of Lemma 1
To examine the concavity of the problem, we further calculate the second derivative of Equation (7) with respect to ,
where is negative. Hence, is strictly concave in . Next, we solve the first-order optimality condition.
The necessary condition of optimization of the manufacturer’s profit yields
Solving for ,we obtain the optimal value of as it is given in Lemma 1.
Appendix A.2. Proof of Proposition 1
After substituting into Equation (6), the optimization problem becomes an optimization problem with a single variable z. Thus, the optimization problem can be formulated as follows:
The first derivative of with respect to z is given by
To determine the shape of , define . The following is then obtained
Because it is difficult to judge the convexity of , taking the second derivative of with respect to z gives,
where is negative when is satisfied. It can be seen that is either monotonic or unimodal. Note that , and . If is monotonic, monotonically increases in , and thus is decreasing for any z in its domain. This case can be dismissed. If is unimodal, the condition is assumed, guaranteeing the unimodality of . In this case, has two zeros with the larger corresponding to a local maximum and the smaller corresponding to a local minimum of . In summary, has its maximum under the condition . From , we can obtain the condition , which is given in Proposition 1. Due to the complicated form of the condition , we present only the procedure to obtain this condition in the Appendix A.2 but omit the derivations of the closed-form expressions.
Appendix A.3. Proof of Lemma 2
We obtain the optimal condition by taking the first-order derivation of Equation (12). To examine the concavity of the problem, we further calculate the second derivative of Equation (12) with respect to ,
where is negative. Hence, is jointly concave in . Next, we solve the first-order optimality condition.
The necessary condition of optimization of the manufacturer’s profit yields
Solving for , we obtain the optimal value of as it is given in Lemma 2.
Appendix A.4. Proof of Proposition 2
After substituting into Equation (11), the optimization problem becomes an optimization problem with a single variable z. Thus, the optimization problem can be formulated as follows:
The first derivative of with respect to z is given by
To determine the shape of , define . The following is then obtained
Because it is difficult to judge the convexity of , taking the second derivative of with respect to z gives,
where is negative when is satisfied. It can be seen that is either monotonic or unimodal. Following the above assumption, we find that , and . If is monotonic, monotonically increases in , and thus is decreasing for any z in its domain. This case can be dismissed. If is unimodal, the condition is assumed, guaranteeing the unimodality of . In this case, has two zeros with the larger corresponding to a local maximum and the smaller corresponding to a local minimum of . In summary, has its maximum under the condition . From , we can obtain the condition , which is given in Proposition 2. Due to the complicated form of the condition , we present only the procedure to obtain this condition in the Appendix A.4 but omit the derivations of the closed-form expressions.
Appendix A.5. Proof of Lemma 3
To examine the concavity of the problem, we further calculate Hessian matrix .
Following our previous assumption, the first principal minor is negative, and the second principal minor is positive. Thus, Hessian matrix of the manufacturer’s profit function is negative definite and jointly concave regarding and . Next, we solve the first-order optimality condition.
The necessary condition of optimization of the manufacturer’s profit yields
Appendix A.6. Proof of Proposition 3
After substituting and into Equation (16), the optimization problem becomes an optimization problem with a single variable z. Thus, the optimization problem can be formulated as follows:
The first derivative of with respect to z is given by
To determine the shape of , we define . The following is then obtained
Because it is difficult to judge the convexity of , taking the second derivative and third derivative of with respect to z gives,
where is positive when is satisfied. It can be seen that is either monotonic or unimodal. Following the above assumption, we find that , and . If is monotonic, then is always positive, which means there is a local minimum value of when is satisfied. This case can be dismissed.
If is unimodal, the condition is assumed, guaranteeing the unimodality of . In this case, has two zeros with the larger () corresponding to a local minimum and the smaller () corresponding to a local maximum of . Note that and . In other wards, has at least one zero point. If only has one zero, then only has a local minima. This case can be dismissed. If and , then has three zeros with the second largest corresponding to a local maximum of .
In summary, has its maximum when the conditions , , and are satisfies simultaneously. From , we can obtain the condition . From , we can further obtain the condition . Similarly, we can obtain the condition from . Given the above discussion, we can find that when , has its maximum. Furthermore, we denote that , which is given in Proposition 3. Due to the complicated form of the condition , we present only the procedure to obtain this condition in the Appendix A.6 but omit the derivations of the closed-form expressions.
Appendix A.7. Proof of Lemma 4
To examine the concavity of the problem, we further calculate Hessian matrix .
Following our previous assumption, the first principal minor is negative, and the second principal minor is positive. Thus, Hessian matrix of the manufacturer’s profit function is negative definite and jointly concave regarding and . Next, we solve the first-order optimality condition.
The necessary condition of optimization of the manufacturer’s profit yields
Appendix A.8. Proof of Proposition 4
After substituting and into Equation (22), the optimization problem becomes an optimization problem with a single variable z. Thus, the optimization problem can be formulated as follows:
The first derivative of with respect to z is given by
where .
To determine the shape of , define . The following is then obtained
Because it is difficult to judge the convexity of , taking the second derivative and third derivative of with respect to z gives,
where .
Note that is positive when is satisfied. It can be seen that is either monotonic or unimodal. Following the above assumption, we find that , and . If is monotonic, then is always positive, which means there is a local minimum value of when is satisfied. This case can be dismissed.
If is unimodal, the condition is assumed, guaranteeing the unimodality of . In this case, has two zeros with the larger () corresponding to a local minimum and the smaller () corresponding to a local maximum of . Note that and . In other wards, has at least one zero point. If only has one zero, then only has a local minima. This case can be dismissed. If and , then has three zeros with the second largest corresponding to a local maximum of .
In summary, has its maximum when the conditions , , and are satisfies simultaneously. From , we can obtain the condition . From , we can further obtain the condition . Similarly, we can obtain the condition from . Given the above discussion, we can find that when , has its maximum. Furthermore, we denote that , which is given in Proposition 4. Due to the complicated form of the condition , we present only the procedure to obtain this condition in the Appendix A.8 but omit the derivations of the closed-form expressions.
References
- Stavins, R.N. A meaningful US cap-and-trade system to address climate change. Harv. Envtl. L. Rev. 2008, 32, 293. [Google Scholar]
- Li, T.; Zhang, R.; Zhao, S.; Liu, B. Low carbon strategy analysis under revenue-sharing and cost-sharing contracts. J. Clean. Prod. 2019, 212, 1462–1477. [Google Scholar] [CrossRef]
- Mondal, C.; Giri, B.C. Analyzing a manufacturer-retailer sustainable supply chain under cap-and-trade policy and revenue sharing contract. Oper. Res. 2022, 22, 4057–4092. [Google Scholar] [CrossRef]
- Golden, J.; Subramanian, V.; Zimmerman, J. Sustainability and commerce trends: Industry consortia as the drivers for green product design. J. Ind. Ecol. 2011, 15, 821–824. [Google Scholar] [CrossRef]
- Wang, Z.; Wu, Q. Carbon emission reduction and product collection decisions in the closed-loop supply chain with cap-and-trade regulation. Int. J. Prod. Res. 2021, 59, 4359–4383. [Google Scholar] [CrossRef]
- Jiang, Z.; Ding, Z.; Zhang, H.; Cai, W.; Liu, Y. Data-driven ecological performance evaluation for remanufacturing process. Energ. Convers. Manag. 2019, 198, 111844. [Google Scholar] [CrossRef]
- Guo, T.; Li, C.; Chen, Y. Remanufacturing Strategy under Cap-and-Trade Regulation in the Presence of Assimilation Effect. Sustainability 2022, 14, 2878. [Google Scholar] [CrossRef]
- Zhang, S.; Dan, B.; Zhou, M. After-sale service deployment and information sharing in a supply chain under demand uncertainty. Eur. J. Oper. Res. 2019, 279, 351–363. [Google Scholar] [CrossRef]
- Qiu, R.; Hou, L.; Sun, Y.; Sun, M.; Sun, Y. Joint pricing, ordering and order fulfillment decisions for a dual-channel supply chain with demand uncertainties: A distribution-free approach. Comput. Ind. Eng. 2021, 160, 107546. [Google Scholar] [CrossRef]
- Yang, L.; Hu, Y.; Huang, L. Collecting mode selection in a remanufacturing supply chain under cap-and-trade regulation. Eur. J. Oper. Res. 2020, 287, 480–496. [Google Scholar] [CrossRef]
- Hu, X.; Yang, Z.; Sun, J.; Zhang, Y. Carbon tax or cap-and-trade: Which is more viable for Chinese remanufacturing industry? J. Clean. Prod. 2020, 243, 118606. [Google Scholar] [CrossRef]
- Qian, X.; Chan, F.T.; Zhang, J.; Yin, M.; Zhang, Q. Channel coordination of a two-echelon sustainable supply chain with a fair-minded retailer under cap-and-trade regulation. J. Clean. Prod. 2020, 244, 118715. [Google Scholar] [CrossRef]
- Peng, Q.; Wang, C.; Xu, L. Emission abatement and procurement strategies in a low-carbon supply chain with option contracts under stochastic demand. Comput. Ind. Eng. 2020, 144, 106502. [Google Scholar] [CrossRef]
- Weskamp, C.; Koberstein, A.; Schwartz, F.; Suhl, L.; Voß, S. A two-stage stochastic programming approach for identifying optimal postponement strategies in supply chains with uncertain demand. Omega 2019, 83, 123–138. [Google Scholar] [CrossRef]
- Modak, N.M.; Kelle, P. Managing a dual-channel supply chain under price and delivery-time dependent stochastic demand. Eur. J. Oper. Res. 2019, 272, 147–161. [Google Scholar] [CrossRef]
- Gupta, A.; Maranas, C.D. Managing demand uncertainty in supply chain planning. Comput. Chem. Eng. 2003, 27, 1219–1227. [Google Scholar] [CrossRef]
- Ramezani, M.; Bashiri, M.; Tavakkoli-Moghaddam, R. A new multi-objective stochastic model for a forward/reverse logistic network design with responsiveness and quality level. Appl. Math. Model. 2013, 37, 328–344. [Google Scholar] [CrossRef]
- Kim, J.; Do Chung, B.; Kang, Y.; Jeong, B. Robust optimization model for closed-loop supply chain planning under reverse logistics flow and demand uncertainty. J. Clean. Prod. 2018, 196, 1314–1328. [Google Scholar] [CrossRef]
- Choi, T.M.; Ma, C.; Shen, B.; Sun, Q. Optimal pricing in mass customization supply chains with risk-averse agents and retail competition. Omega 2019, 88, 150–161. [Google Scholar] [CrossRef]
- Li, X.; Li, Y.; Cai, X. Remanufacturing and pricing decisions with random yield and random demand. Comput. Oper. Res. 2015, 54, 195–203. [Google Scholar] [CrossRef]
- Ghosh, S.K.; Seikh, M.R.; Chakrabortty, M. Analyzing a stochastic dual-channel supply chain under consumers’ low carbon preferences and cap-and-trade regulation. Comput. Ind. Eng. 2020, 149, 106765. [Google Scholar] [CrossRef]
- Wang, C.; Zou, Z.; Geng, S. Green technology investment in a decentralized supply chain under demand uncertainty. Sustainability 2021, 13, 3752. [Google Scholar] [CrossRef]
- Li, X.; Li, Y. NEV’s Supply Chain Coordination with Financial Constraint and Demand Uncertainty. Sustainability 2022, 14, 1114. [Google Scholar] [CrossRef]
- Wu, J.; Shang, J. Optimal Green Operation and Information Leakage Decisions under Government Subsidy and Supply Uncertainty. Sustainability 2021, 13, 13514. [Google Scholar] [CrossRef]
- Song, J.; Leng, M. Analysis of the single-period problem under carbon emissions policies. In Handbook of Newsvendor Problems; Springer: Berlin, Germany, 2012; pp. 297–313. [Google Scholar]
- Chen, J.X.; Chen, J. Supply chain carbon footprinting and responsibility allocation under emission regulations. J. Environ. Manag. 2017, 188, 255–267. [Google Scholar] [CrossRef]
- He, R.; Xiong, Y.; Lin, Z. Carbon emissions in a dual channel closed loop supply chain: The impact of consumer free riding behavior. J. Clean. Prod. 2016, 134, 384–394. [Google Scholar] [CrossRef]
- Yang, Y.; Goodarzi, S.; Bozorgi, A.; Fahimnia, B. Carbon cap-and-trade schemes in closed-loop supply chains: Why firms do not comply? Transp. Res. Part E Logist. Transp. Rev. 2021, 156, 102486. [Google Scholar] [CrossRef]
- Wang, M.; Zhao, L.; Herty, M. Modelling carbon trading and refrigerated logistics services within a fresh food supply chain under carbon cap-and-trade regulation. Int. J. Prod. Res. 2018, 56, 4207–4225. [Google Scholar] [CrossRef]
- Kushwaha, S.; Ghosh, A.; Rao, A. Collection activity channels selection in a reverse supply chain under a carbon cap-and-trade regulation. J. Clean. Prod. 2020, 260, 121034. [Google Scholar] [CrossRef]
- Taleizadeh, A.A.; Shahriari, M.; Sana, S.S. Pricing and coordination strategies in a dual channel supply chain with green production under cap and trade regulation. Sustainability 2021, 13, 12232. [Google Scholar] [CrossRef]
- Zhang, G.; Zhang, X.; Sun, H.; Zhao, X. Three-echelon closed-loop supply chain network equilibrium under cap-and-trade regulation. Sustainability 2021, 13, 6472. [Google Scholar] [CrossRef]
- Zhao, F.; Liu, F.; Hao, H.; Liu, Z. Carbon emission reduction strategy for energy users in China. Sustainability 2020, 12, 6498. [Google Scholar] [CrossRef]
- Chang, X.; Xia, H.; Zhu, H.; Fan, T.; Zhao, H. Production decisions in a hybrid manufacturing–remanufacturing system with carbon cap and trade mechanism. Int. J. Prod. Econ. 2015, 162, 160–173. [Google Scholar] [CrossRef]
- Zhang, W.; Xiao, J.; Cai, L. Joint emission reduction strategy in green supply chain under environmental regulation. Sustainability 2020, 12, 3440. [Google Scholar] [CrossRef]
- Mondal, C.; Giri, B.C. Retailers’ competition and cooperation in a closed-loop green supply chain under governmental intervention and cap-and-trade policy. Oper. Res. 2020, 1–36. [Google Scholar] [CrossRef]
- Zhang, C.T.; Liu, L.P. Research on coordination mechanism in three-level green supply chain under non-cooperative game. Appl. Math. Model. 2013, 37, 3369–3379. [Google Scholar] [CrossRef]
- Jian, J.; Li, B.; Zhang, N.; Su, J. Decision-making and coordination of green closed-loop supply chain with fairness concern. J. Clean. Prod. 2021, 298, 126779. [Google Scholar] [CrossRef]
- Lee, D.H.; Yoon, J.C. Decisions on Pricing, Sustainability Effort, and Carbon Cap under Wholesale Price and Cost-Sharing Contracts. Sustainability 2022, 14, 4863. [Google Scholar] [CrossRef]
- Xu, S.; Fang, L. Partial credit guarantee and trade credit in an emission-dependent supply chain with capital constraint. Transp. Res. Part E Logist. Transp. Rev. 2020, 135, 101859. [Google Scholar] [CrossRef]
- Savaskan, R.C.; Bhattacharya, S.; Van Wassenhove, L.N. Closed-loop supply chain models with product remanufacturing. Manag. Sci. 2004, 50, 239–252. [Google Scholar] [CrossRef]
- Modak, N.M.; Kelle, P. Using social work donation as a tool of corporate social responsibility in a closed-loop supply chain considering carbon emissions tax and demand uncertainty. J. Oper. Res. Soc. 2021, 72, 61–77. [Google Scholar] [CrossRef]
- Atasu, A.; Souza, G.C. How does product recovery affect quality choice? Prod. Oper. Manag. 2013, 22, 991–1010. [Google Scholar] [CrossRef]
- Liu, P.; Yi, S.p. Pricing policies of green supply chain considering targeted advertising and product green degree in the big data environment. J. Clean. Prod. 2017, 164, 1614–1622. [Google Scholar] [CrossRef]
- Mills, E.S. Uncertainty and price theory. Q. J. Econ. 1959, 73, 116–130. [Google Scholar] [CrossRef]
- Petruzzi, N.C.; Dada, M. Pricing and the newsvendor problem: A review with extensions. Oper. Res. 1999, 47, 183–194. [Google Scholar] [CrossRef]
- Gallego, G.; Moon, I. The distribution free newsboy problem: Review and extensions. J. Oper. Res. Soc. 1993, 44, 825–834. [Google Scholar] [CrossRef]
- Xu, J.; Chen, Y.; Bai, Q. A two-echelon sustainable supply chain coordination under cap-and-trade regulation. J. Clean. Prod. 2016, 135, 42–56. [Google Scholar] [CrossRef]
Publisher’s Note: MDPI stays neutral with regard to jurisdictional claims in published maps and institutional affiliations. |
© 2022 by the authors. Licensee MDPI, Basel, Switzerland. This article is an open access article distributed under the terms and conditions of the Creative Commons Attribution (CC BY) license (https://creativecommons.org/licenses/by/4.0/).

