Particulate Matter and Trace Metal Retention Capacities of Six Tree Species: Implications for Improving Urban Air Quality
Abstract
1. Introduction
2. Materials and Methods
2.1. Study Sites
2.2. Leaf Collection
2.3. Leaf PM Retention
2.4. Leaf Characters
2.4.1. Roughness
2.4.2. Contact Angle
2.4.3. Stomatal Density and Groove Width
2.5. Trace Elemental Composition
2.6. Statistical Analysis
3. Results
3.1. PM Accumulation on Leaf Surfaces of Tested Species at Different Pollution Sites
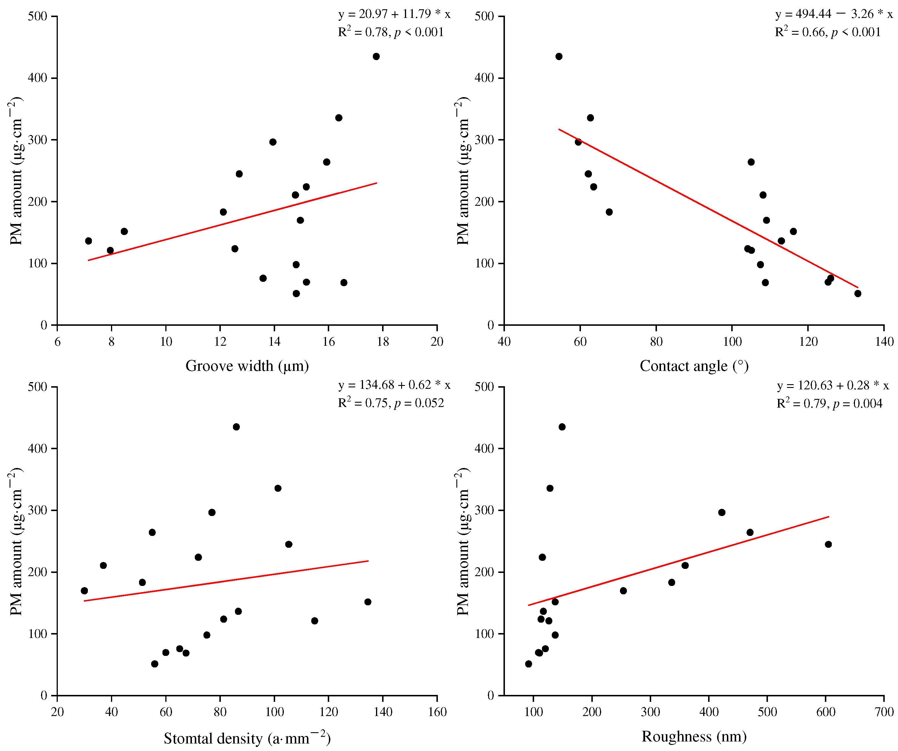
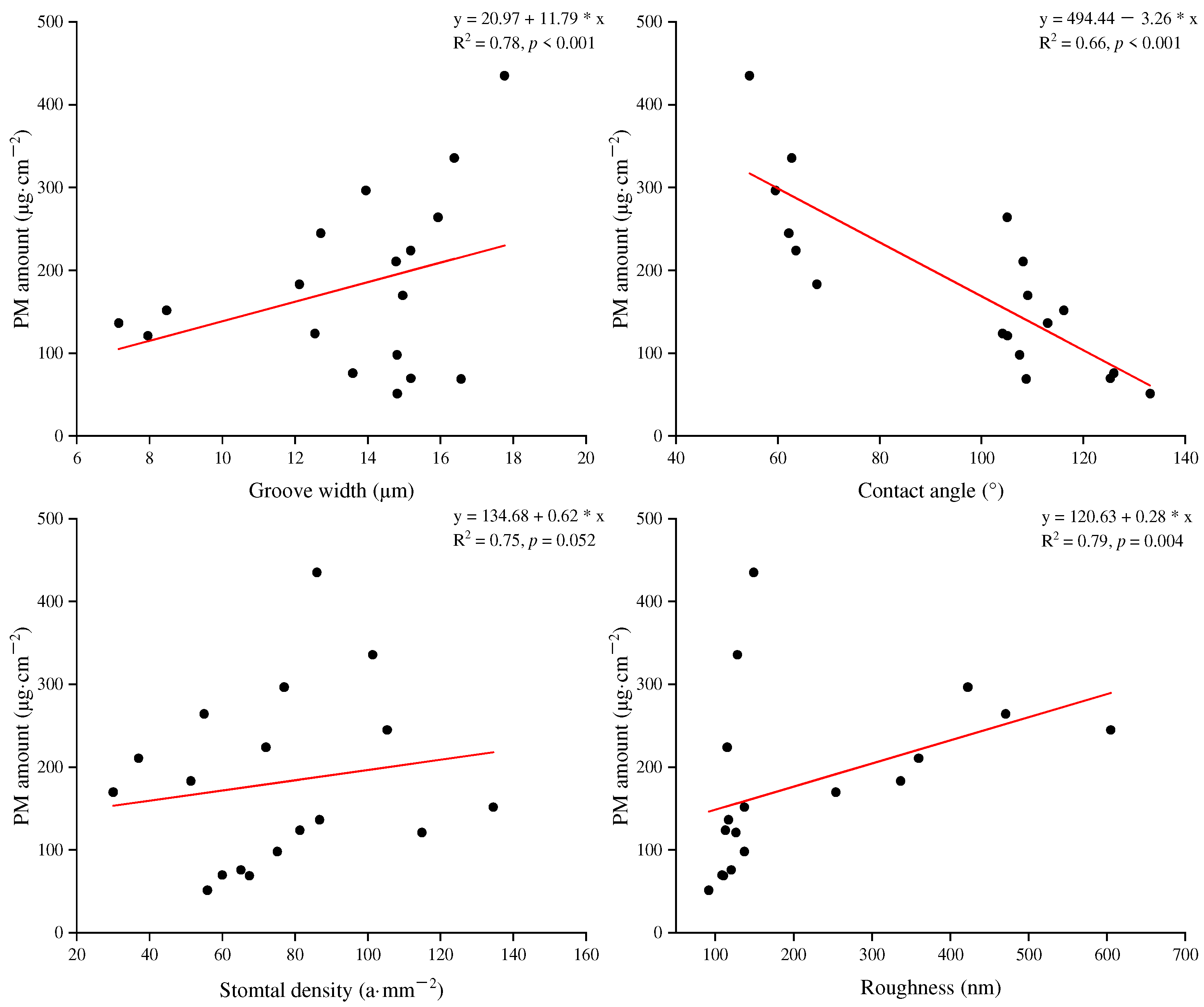
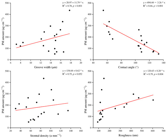
3.2. Changes in Leaf Traits between Different Pollution Sites
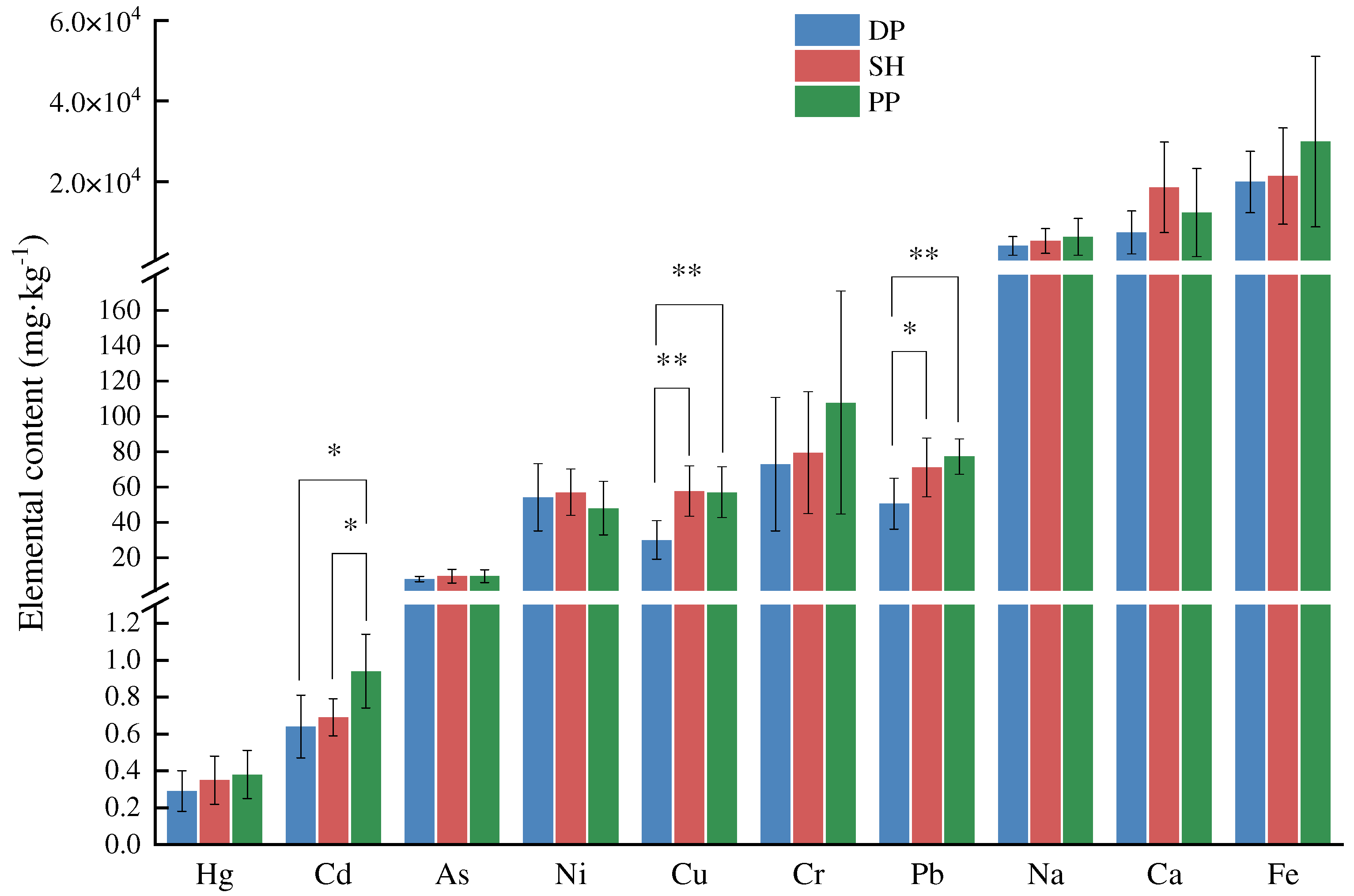
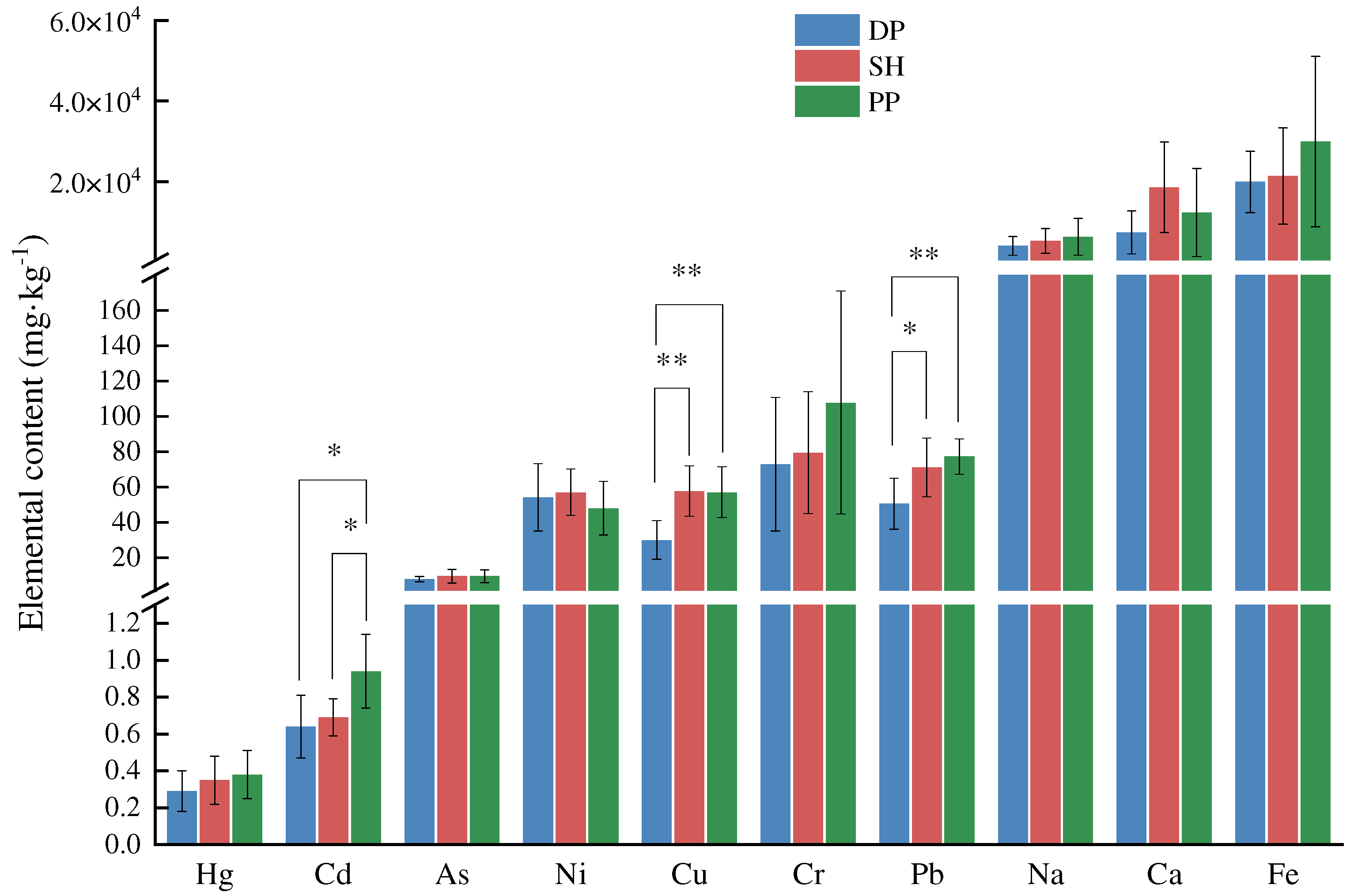
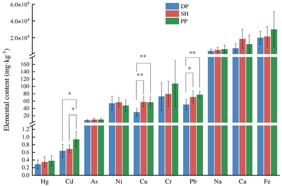
3.3. Quantitative Assessment of Elemental Concentrations
4. Discussion
4.1. Effects of Pollution Levels and Tree Species on the PM Retention Capacity
4.2. Effects of Different Sites on Trace Element Composition
4.3. Effects of Different Environments on Leaf Characters
5. Conclusions
Supplementary Materials
Author Contributions
Funding
Institutional Review Board Statement
Informed Consent Statement
Data Availability Statement
Conflicts of Interest
References
- He, C.; Qiu, K.Y.; Pott, R. Reduction of urban traffic-related particulate matter-leaf trait matters. Environ. Sci. Pollut. Res. Int. 2020, 27, 5825–5844. [Google Scholar] [CrossRef] [PubMed]
- Zhang, Z.; Gong, J.; Li, Y.; Zhang, W.; Zhang, T.; Meng, H.; Liu, X. Analysis of the influencing factors of atmospheric particulate matter accumulation on coniferous species: Measurement methods, pollution level, and leaf traits. Environ. Sci. Pollut. Res. Int. 2022, 29, 62299–62311. [Google Scholar] [CrossRef] [PubMed]
- Zhu, Y.; Huang, L.; Li, J.; Ying, Q.; Zhang, H.; Liu, X.; Liao, H.; Li, N.; Liu, Z.; Mao, Y.; et al. Sources of particulate matter in China: Insights from source apportionment studies published in 1987–2017. Environ. Int. 2018, 115, 343–357. [Google Scholar] [CrossRef] [PubMed]
- Leonard, R.J.; McArthur, C.; Hochuli, D.F. Particulate matter deposition on roadside plants and the importance of leaf trait combinations. Urban For. Urban Green. 2016, 20, 249–253. [Google Scholar] [CrossRef]
- Southerland, V.A.; Brauer, M.; Mohegh, A.; Hammer, M.S.; van Donkelaar, A.; Martin, R.V.; Apte, J.S.; Anenberg, S.C. Global urban temporal trends in fine particulate matter (PM2·5) and attributable health burdens: Estimates from global datasets. Lancet Planet. Health 2022, 6, e139–e146. [Google Scholar] [CrossRef]
- Castanheiro, A.; Wuyts, K.; Hofman, J.; Nuyts, G.; De Wael, K.; Samson, R. Morphological and elemental characterization of leaf-deposited particulate matter from different source types: A microscopic investigation. Environ. Sci. Pollut. Res. Int. 2021, 28, 25716–25732. [Google Scholar] [CrossRef]
- Almeida, T.S.; Sant´ana, M.O.; Cruz, J.M.; Tormen, L.; Bascuñan, V.L.A.F.; Azevedo, P.A.; Garcia, C.A.B.; Alves, J.D.P.H.; Araujo, R.G. Characterisation and source identification of the total airborne particulate matter collected in an urban area of Aracaju, Northeast, Brazil. Environ. Pollut. 2017, 226, 444–451. [Google Scholar] [CrossRef]
- Yan, R.-H.; Peng, X.; Lin, W.; He, L.-Y.; Wei, F.-H.; Tang, M.-X.; Huang, X.-F. Trends and Challenges Regarding the Source-Specific Health Risk of PM2.5-Bound Metals in a Chinese Megacity from 2014 to 2020. Environ. Sci. Technol. 2022, 56, 6996–7005. [Google Scholar] [CrossRef]
- Hwang, H.-J.; Yook, S.-J.; Ahn, K.-H. Experimental investigation of submicron and ultrafine soot particle removal by tree leaves. Atmos. Environ. 2011, 45, 6987–6994. [Google Scholar] [CrossRef]
- Nowak, D.J.; Hirabayashi, S.; Bodine, A.; Hoehn, R. Modeled PM2.5 removal by trees in ten U.S. cities and associated health effects. Environ. Pollut. 2013, 178, 395–402. [Google Scholar] [CrossRef]
- Song, C.; He, J.; Wu, L.; Jin, T.; Chen, X.; Li, R.; Ren, P.; Zhang, L.; Mao, H. Health burden attributable to ambient PM2.5 in China. Environ. Pollut. 2017, 223, 575–586. [Google Scholar] [CrossRef]
- Guo, C.; Chan, T.-C.; Teng, Y.-C.; Lin, C.; Bo, Y.; Chang, L.-Y.; Lau, A.K.; Tam, T.; Wong, M.C.; Lao, X.Q. Long-term exposure to ambient fine particles and gastrointestinal cancer mortality in Taiwan: A cohort study. Environ. Int. 2020, 138, 105640. [Google Scholar] [CrossRef]
- He, W.; Meng, H.; Han, J.; Zhou, G.; Zheng, H.; Zhang, S. Spatiotemporal PM2.5 estimations in China from 2015 to 2020 using an improved gradient boosting decision tree. Chemosphere 2022, 296, 134003. [Google Scholar] [CrossRef]
- Madaniyazi, L.; Guo, Y.; Chen, R.; Kan, H.; Tong, S. Predicting exposure-response associations of ambient particulate matter with mortality in 73 Chinese cities. Environ. Pollut. 2016, 208, 40–47. [Google Scholar] [CrossRef]
- Yuan, M.; Huang, Y.; Shen, H.; Li, T. Effects of urban form on haze pollution in China: Spatial regression analysis based on PM2.5 remote sensing data. Appl. Geogr. 2018, 98, 215–223. [Google Scholar] [CrossRef]
- Bulto, T.W. Influence of particulate matter on human health in selected African provinces: Mini-review. Rev. Environ. Health 2021, 36, 9–14. [Google Scholar] [CrossRef]
- Ministry of Ecology and Environment of the People’s Republic of China. Available online: https://www.mee.gov.cn/hjzl/ (accessed on 24 May 2021).
- Escobedo, F.J.; Kroeger, T.; Wagner, J.E. Urban forests and pollution mitigation: Analyzing ecosystem services and disservices. Environ. Pollut. 2011, 159, 2078–2087. [Google Scholar] [CrossRef]
- Han, D.; Shen, H.; Duan, W.; Chen, L. A review on particulate matter removal capacity by urban forests at different scales. Urban For. Urban Green. 2020, 48, 126565. [Google Scholar] [CrossRef]
- Pace, R.; Guidolotti, G.; Baldacchini, C.; Pallozzi, E.; Grote, R.; Nowak, D.J.; Calfapietra, C. Comparing i-Tree Eco Estimates of Particulate Matter Deposition with Leaf and Canopy Measurements in an Urban Mediterranean Holm Oak Forest. Environ. Sci. Technol. 2021, 55, 6613–6622. [Google Scholar] [CrossRef]
- Nowak, D.J.; Hirabayashi, S.; Doyle, M.; McGovern, M.; Pasher, J. Air pollution removal by urban forests in Canada and its effect on air quality and human health. Urban For. Urban Green. 2018, 29, 40–48. [Google Scholar] [CrossRef]
- Sæbø, A.; Popek, R.; Nawrot, B.; Hanslin, H.M.; Gawronska, H.; Gawroński, S.W. Plant species differences in particulate matter accumulation on leaf surfaces. Sci. Total Environ. 2012, 427–428, 347–354. [Google Scholar] [CrossRef]
- He, C.; Qiu, K.; Alahmad, A.; Pott, R. Particulate matter capturing capacity of roadside evergreen vegetation during the winter season. Urban For. Urban Green. 2020, 48, 126510. [Google Scholar] [CrossRef]
- Vigevani, I.; Corsini, D.; Mori, J.; Pasquinelli, A.; Gibin, M.; Comin, S.; Szwałko, P.; Cagnolati, E.; Ferrini, F.; Fini, A. Particulate Pollution Capture by Seventeen Woody Species Growing in Parks or along Roads in Two European Cities. Sustainability 2022, 14, 1113. [Google Scholar] [CrossRef]
- Xu, L.; Yan, Q.; He, P.; Zhen, Z.; Jing, Y.; Duan, Y.; Chen, X. Combined effects of different leaf traits on foliage dust-retention capacity and stability. Air Qual. Atmos. Health 2022, 5, 1263–1274. [Google Scholar] [CrossRef]
- Chiam, Z.Y.; Song, X.P.; Lai, H.R.; Tan, H.T.W. Particulate matter mitigation via plants: Understanding complex relationships with leaf traits. Sci. Total Environ. 2019, 688, 398–408. [Google Scholar] [CrossRef]
- Niu, X.; Wang, B.; Wei, W. Response of the particulate matter capture ability to leaf age and pollution intensity. Environ. Sci. Pollut. Res. Int. 2020, 27, 34258–34269. [Google Scholar] [CrossRef]
- Xu, X.; Xia, J.; Gao, Y.; Zheng, W. Additional focus on particulate matter wash-off events from leaves is required: A review of studies of urban plants used to reduce airborne particulate matter pollution. Urban For. Urban Green. 2020, 48, 126559. [Google Scholar] [CrossRef]
- Cai, M.; Xin, Z.; Yu, X. Spatio-temporal variations in PM leaf deposition: A meta-analysis. Environ. Pollut. 2017, 231 (Pt 1), 207–218. [Google Scholar] [CrossRef]
- Zhang, L.; Zhang, Z.; Chen, L.; McNulty, S. An investigation on the leaf accumulation-removal efficiency of atmospheric particulate matter for five urban plant species under different rainfall regimes. Atmos. Environ. 2019, 208, 123–132. [Google Scholar] [CrossRef]
- Zhang, X.; Lyu, J.; Han, Y.; Sun, N.; Sun, W.; Li, J.; Liu, C.; Yin, S. Effects of the Leaf Functional Traits of Coniferous and Broadleaved Trees in Subtropical Monsoon Regions on PM2.5 Dry Deposition Velocities. Environ. Pollut. 2020, 265, 114845. [Google Scholar] [CrossRef]
- Lu, S.; Yang, X.; Li, S.; Chen, B.; Jiang, Y.; Wang, D.; Xu, L. Effects of plant leaf surface and different pollution levels on PM2.5 adsorption capacity. Urban For. Urban Green. 2018, 34, 64–70. [Google Scholar] [CrossRef]
- Przybysz, A.; Sæbø, A.; Hanslin, H.; Gawroński, S. Accumulation of particulate matter and trace elements on vegetation as affected by pollution level, rainfall and the passage of time. Sci. Total Environ. 2014, 481, 360–369. [Google Scholar] [CrossRef]
- Cichowicz, R.; Wielgosiński, G.; Fetter, W. Effect of wind speed on the level of particulate matter PM10 concentration in atmospheric air during winter season in vicinity of large combustion plant. J. Atmos. Chem. 2020, 77, 35–48. [Google Scholar] [CrossRef]
- Zheng, G.; Li, P. Resuspension of settled atmospheric particulate matter on plant leaves determined by wind and leaf surface characteristics. Environ. Sci. Pollut. Res. Int. 2019, 26, 19606–19614. [Google Scholar] [CrossRef]
- Xie, C.; Yan, L.; Liang, A.; Che, S. Understanding the washoff processes of PM2.5 from leaf surfaces during rainfall events. Atmos. Environ. 2019, 214, 116844. [Google Scholar] [CrossRef]
- Lu, T.; Lin, X.; Chen, J.; Huang, D.; Li, M. Atmospheric particle retention capacity and photosynthetic responses of three common greening plant species under different pollution levels in Hangzhou. Glob. Ecol. Conserv. 2019, 20, e00783. [Google Scholar] [CrossRef]
- Przybysz, A.; Nersisyan, G.; Gawroński, S.W. Removal of particulate matter and trace elements from ambient air by urban greenery in the winter season. Environ. Sci. Pollut. Res. 2019, 26, 473–482. [Google Scholar] [CrossRef]
- Mori, J.; Hanslin, H.M.; Burchi, G.; Sæbø, A. Particulate matter and element accumulation on coniferous trees at different distances from a highway. Urban For. Urban Green. 2015, 14, 170–177. [Google Scholar] [CrossRef]
- Amato-Lourenco, L.F.; Moreira, T.C.L.; De Oliveira Souza, V.C.; Barbosa, F., Jr.; Saiki, M.; Saldiva, P.H.N.; Mauad, T. The influence of atmospheric particles on the elemental content of vegetables in urban gardens of Sao Paulo, Brazil. Environ. Pollut. 2016, 216, 125–134. [Google Scholar] [CrossRef]
- Dafré-Martinelli, M.; Figueiredo, A.M.G.; Domingos, M. Trace element leaf accumulation in native trees from the remaining Semideciduous Atlantic Forest in Brazil. Atmos. Pollut. Res. 2020, 11, 871–879. [Google Scholar] [CrossRef]
- Gholampour, A.; Nabizadeh, R.; Hassanvand, M.S.; Taghipour, H.; Rafiee, M.; Alizadeh, Z.; Faridi, S.; Mahvi, A.H. Characterization and source identification of trace elements in airborne particulates at urban and suburban atmospheres of Tabriz, Iran. Environ. Sci. Pollut. Res. 2016, 23, 1703–1713. [Google Scholar] [CrossRef] [PubMed]
- Zhu, J.; Xu, J.; Cao, Y.; Fu, J.; Li, B.; Sun, G.; Zhang, X.; Xu, C. Leaf reflectance and functional traits as environmental indicators of urban dust deposition. BMC Plant Biol. 2021, 21, 533. [Google Scholar] [CrossRef] [PubMed]
- Wang, H.; Shi, H.; Li, Y.; Yu, Y.; Zhang, J. Seasonal variations in leaf capturing of particulate matter, surface wettability and micromorphology in urban tree species. Front. Environ. Sci. Eng. 2013, 7, 579–588. [Google Scholar] [CrossRef]
- Sgrigna, G.; Baldacchini, C.; Dreveck, S.; Cheng, Z.; Calfapietra, C. Relationships between air particulate matter capture efficiency and leaf traits in twelve tree species from an Italian urban-industrial environment. Sci. Total Environ. 2020, 718, 137310. [Google Scholar] [CrossRef]
- Yue, C.; Cui, K.; Duan, J.; Wu, X.; Yan, P.; Rodriguez, C.; Fu, H.; Deng, T.; Zhang, S.; Liu, J.; et al. The retention characteristics for water-soluble and water-insoluble particulate matter of five tree species along an air pollution gradient in Beijing, China. Sci. Total Environ. 2021, 767, 145497. [Google Scholar] [CrossRef]
- Weerakkody, U.; Dover, J.W.; Mitchell, P.; Reiling, K. Evaluating the impact of individual leaf traits on atmospheric particulate matter accumulation using natural and synthetic leaves. Urban For. Urban Green. 2018, 30, 98–107. [Google Scholar] [CrossRef]
- Li, X.; Zhang, T.; Sun, F.; Song, X.; Zhang, Y.; Huang, F.; Yuan, C.; Yu, H.; Zhang, G.; Qi, F.; et al. The relationship between particulate matter retention capacity and leaf surface micromorphology of ten tree species in Hangzhou, China. Sci. Total Environ. 2021, 771, 144812. [Google Scholar] [CrossRef]
- Corada, K.; Woodward, H.; Alaraj, H.; Collins, C.M.; de Nazelle, A. A systematic review of the leaf traits considered to contribute to removal of airborne particulate matter pollution in urban areas. Environ. Pollut. 2021, 269, 116104. [Google Scholar] [CrossRef]
- Xu, H.; Wang, W.; Wang, H.; Sun, Y.; Zhong, Z.; Wang, S. Differences in quantity and composition of leaf particulate matter and morphological structures in three evergreen trees and their association in Harbin, China. Environ. Pollut. 2019, 252, 1772–1790. [Google Scholar] [CrossRef]
- Janhäll, S. Review on urban vegetation and particle air pollution—Deposition and dispersion. Atmos. Environ. 2015, 105, 130–137. [Google Scholar] [CrossRef]
- Matsuda, K.; Fujimura, Y.; Hayashi, K.; Takahashi, A.; Nakaya, K. Deposition velocity of PM2.5 sulfate in the summer above a deciduous forest in central Japan. Atmos. Environ. 2010, 44, 4582–4587. [Google Scholar] [CrossRef]
- Tak, A.A.; Kakde, U.B. Evaluation of trace elements and particulate matter deposition on plant foliage exposed to vehicular pollution. Acta Bot. Croat. 2019, 78, 164–168. [Google Scholar] [CrossRef]
- Tomašević, M.; Vukmirović, Z.; Rajšić, S.; Tasić, M.; Stevanović, B. Characterization of trace metal particles deposited on some deciduous tree leaves in an urban area. Chemosphere 2005, 61, 753–760. [Google Scholar] [CrossRef]
- Li, Y.; Wang, Y.; Wang, B.; Wang, Y.; Yu, W. The Response of Plant Photosynthesis and Stomatal Conductance to Fine Particulate Matter (PM2.5) based on Leaf Factors Analyzing. J. Plant Biol. 2019, 62, 120–128. [Google Scholar] [CrossRef]







| Sites | Species | Life Form | AH (m) | DBH (cm) | Crown (m) | BH (m) |
|---|---|---|---|---|---|---|
| DP | P. tabuliformis | Evergreen | 4.6 ± 0.4 | 20.0 ± 1.6 | 4.8 ± 0.2 | 2.0 ± 0.2 |
| A. holophylla | Evergreen | 14.2 ± 1.3 | 41.8 ± 1.1 | 8.6 ± 0.5 | 2.1 ± 0.1 | |
| J. chinensis | Evergreen | 7.7 ± 0.5 | 9.2 ± 0.4 | 1.3 ± 0.1 | 0.3 ± 0.1 | |
| S. babylonica | Deciduous | 8.3 ± 0.7 | 20.2 ± 4.7 | 6.7 ± 1.3 | 2.5 ± 0.2 | |
| R. pseudoacacia | Deciduous | 7.9 ± 0.2 | 13.2 ± 2.2 | 4.2 ± 0.3 | 2.0 ± 0.4 | |
| P. berolinensis | Deciduous | 11.5 ± 1.3 | 12.2 ± 2.2 | 5.1 ± 0.8 | 4.6 ± 2.1 | |
| SH | P. tabuliformis | Evergreen | 4.3 ± 0.4 | 14.3 ± 1.1 | 4.9 ± 0.5 | 2.1 ± 0.2 |
| A. holophylla | Evergreen | 7.8 ± 0.9 | 12.1 ± 0.9 | 3.4 ± 0.4 | 0.8 ± 0.1 | |
| J. chinensis | Evergreen | 4.6 ± 0.1 | 7.0 ± 0.2 | 0.8 ± 0.1 | 0.2 ± 0.1 | |
| S. babylonica | Deciduous | 10.1±1.9 | 25.1 ± 1.5 | 6.6 ± 0.5 | 2.8 ± 0.3 | |
| R. pseudoacacia | Deciduous | 8.1 ± 0.9 | 22.6 ± 5.7 | 4.6 ± 0.5 | 2.0 ± 0.2 | |
| P. berolinensis | Deciduous | 11.8 ± 1.4 | 33.5 ± 3.4 | 7.0 ± 1.3 | 4.0 ± 0.3 | |
| PP | P. tabuliformis | Evergreen | 4.5 ± 0.6 | 16.6 ± 1.3 | 4.0 ± 0.5 | 1.3 ± 0.2 |
| A. holophylla | Evergreen | 11.7 ± 3.4 | 18.6 ± 1.7 | 5.6 ± 1.0 | 1.9 ± 0.5 | |
| J. chinensis | Evergreen | 7.9 ± 0.3 | 10.6 ± 1.3 | 0.8 ± 0.1 | 0.4 ± 0.1 | |
| S. babylonica | Deciduous | 11.0 ± 1.4 | 23.3 ± 1.1 | 6.8 ± 0.7 | 2.7 ± 0.2 | |
| R. pseudoacacia | Deciduous | 10.9 ± 1.1 | 21.8 ± 1.6 | 6.3 ± 0.5 | 2.6 ± 0.6 | |
| P. berolinensis | Deciduous | 12.6 ± 0.6 | 11.5 ± 0.6 | 4.7 ± 0.6 | 3.3 ± 1.3 |
Publisher’s Note: MDPI stays neutral with regard to jurisdictional claims in published maps and institutional affiliations. |
© 2022 by the authors. Licensee MDPI, Basel, Switzerland. This article is an open access article distributed under the terms and conditions of the Creative Commons Attribution (CC BY) license (https://creativecommons.org/licenses/by/4.0/).
Share and Cite
Zhang, W.; Li, Y.; Wang, Q.; Zhang, T.; Meng, H.; Gong, J.; Zhang, Z. Particulate Matter and Trace Metal Retention Capacities of Six Tree Species: Implications for Improving Urban Air Quality. Sustainability 2022, 14, 13374. https://doi.org/10.3390/su142013374
Zhang W, Li Y, Wang Q, Zhang T, Meng H, Gong J, Zhang Z. Particulate Matter and Trace Metal Retention Capacities of Six Tree Species: Implications for Improving Urban Air Quality. Sustainability. 2022; 14(20):13374. https://doi.org/10.3390/su142013374
Chicago/Turabian StyleZhang, Weikang, Yu Li, Qiaochu Wang, Tong Zhang, Huan Meng, Jialian Gong, and Zhi Zhang. 2022. "Particulate Matter and Trace Metal Retention Capacities of Six Tree Species: Implications for Improving Urban Air Quality" Sustainability 14, no. 20: 13374. https://doi.org/10.3390/su142013374
APA StyleZhang, W., Li, Y., Wang, Q., Zhang, T., Meng, H., Gong, J., & Zhang, Z. (2022). Particulate Matter and Trace Metal Retention Capacities of Six Tree Species: Implications for Improving Urban Air Quality. Sustainability, 14(20), 13374. https://doi.org/10.3390/su142013374

