Impact of Differential Leadership on Employee Zhengchong Behavior: A Complex Network’s Perspective
Abstract
1. Introduction
2. Literature Review
3. Construction of Evolutionary Game Models for Complex Networks
3.1. Network Structure
3.2. Game Model
3.3. Evolutionary Rules
4. Model Simulation and Result Analysis
4.1. Parameter Initialization
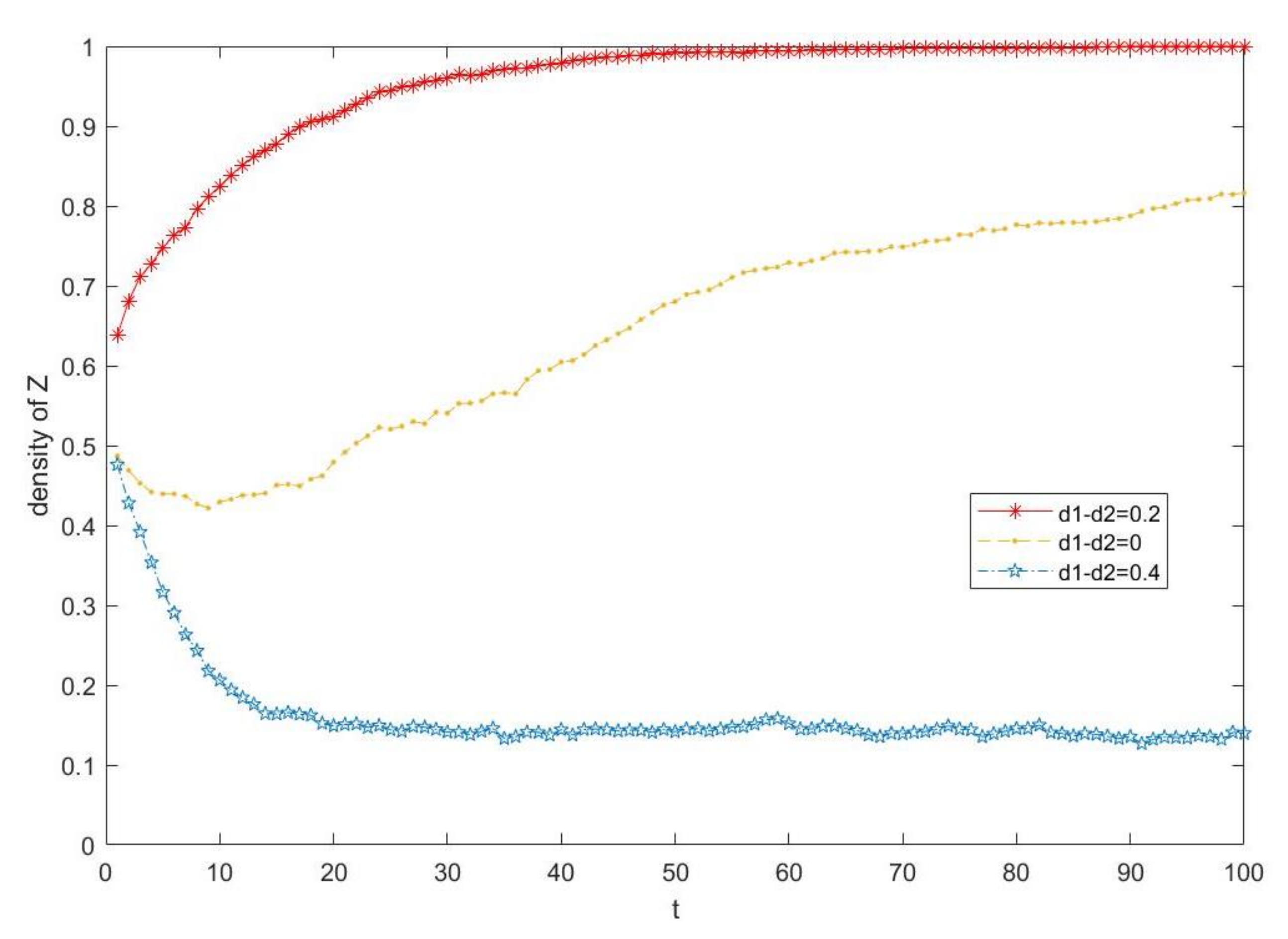
4.2. Analysis of the Influence of the Degree of Partiality of Differential Leadership on Employee Zhengchong Behavior
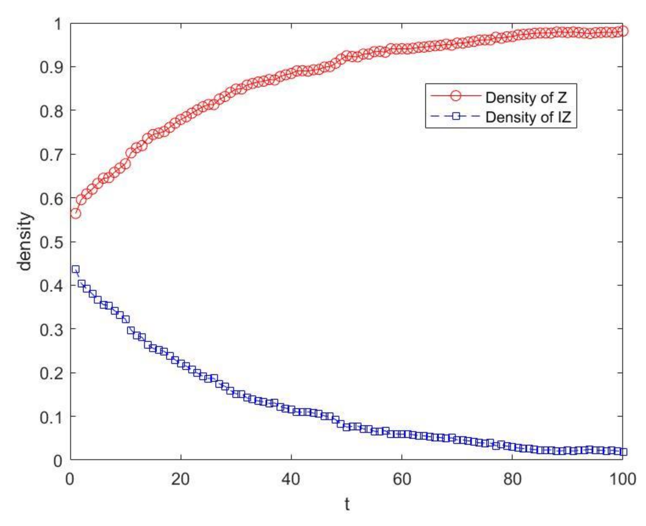
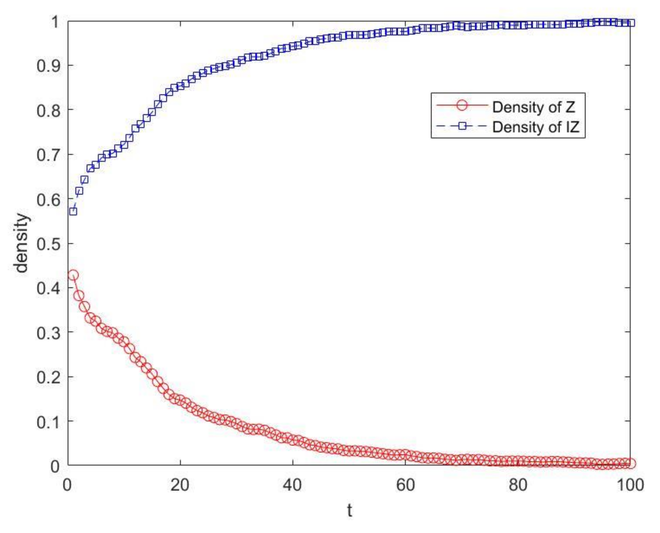
4.3. Analysis of the Impact of Differential Atmosphere Perception on Employee Zhengchong Behavior
5. Conclusions and Discussion
6. Theoretical Contributions and Management Implications
6.1. Theoretical Contributions
- Most of the existing studies have analyzed the effectiveness of differential leadership for Chinese organizations from a theoretical perspective. A few Taiwanese scholars have used empirical research methods to test the relationship between differential leadership and employee zhengchong behavior. However, until now, no scholars on the China mainland have conducted research on the impact of differential leadership on employee zhengchong behavior. The particularity of differential leadership and zhengchong in Chinese organizations has important research significance and value. Therefore, this paper attempts to explore the relationship between differential leadership and employees’ choice of strategies to zhengchong by constructing a network evolutionary game model, which to a certain extent provides a reference for the debate on the impact mechanism of differential leadership.
- Numerical simulations are used to verify the influence of the partiality degree of differential leadership on employee zhengchong behavior. Compared with the lack of previous studies on the partiality degree of differential leadership, this paper numerically simulated the influence of partiality degree between insiders and outsiders on their zhengchong behavior and verified the importance of moderate partiality for organizational development.
- From the perspective of individuals, this paper explores the role of employees’ differential atmosphere perception between differential leadership and employee zhengchong behavior, which enriches the related research on differential leadership and is of great significance to the research on leadership behavior of local organizations in China.
6.2. Management Implications
6.2.1. Improve the Leaders’ Differential Thinking Ability
6.2.2. Cultivate the Differential Behavioral Skills of Leaders
Author Contributions
Funding
Institutional Review Board Statement
Informed Consent Statement
Data Availability Statement
Conflicts of Interest
References
- Xu, W.L. Differential Leadership of Corporate Executives across the Taiwan Strait: A Historical Analysis. Master’s Thesis, Institute of Psychology, National Taiwan University, Taiwan, China, 2004. [Google Scholar]
- Huang, R.X. Competing for Favor: The Game of Thrones for Chinese Subordinates. Master’s Thesis, Institute of Psychology, National Taiwan University, Taiwan, China, 2009. [Google Scholar]
- Fei, X.T. Rural China and the Reconstruction of the Countryside; Shanghai Observation Press: Shanghai, China, 1948. [Google Scholar]
- Zheng, B.X. Concentric differentiation and Chinese organizational behavior. Ind. Psychol. Res. Chin. Soc. 1995, 3, 142–219. [Google Scholar]
- Zheng, B.X. Chinese Culture and Organizational Leadership: From Phenomenal Description to Theoretical Verification. Ind. Psychol. Res. Chin. Soc. 2004, 22, 195–251. [Google Scholar]
- Jiang, D.Y. The Nature and Impact of Chinese Differential Leadership. Ind. Psychol. Res. Chin. Soc. 2014, 42, 285–357. [Google Scholar]
- Tang, Y.; Zhan, X.; Chen, K. Differential leadership and organizational corruption in China: Mediating role of moral disengagement and moderating role of organizational justice. Chin. Manag. Stud. 2018, 12, 795–811. [Google Scholar] [CrossRef]
- Wang, L. The Influence of Differential Leadership on Employee and Team Creativity in Chinese Family Businesses: A Multilevel and Longitudinal Study. Adv. Psychol. Sci. 2015, 23, 1688. [Google Scholar] [CrossRef]
- Yuan, L.; Li, J.; Li, J. Studying on Impact of Differential Leadership to Employees’ Innovative Behavior-The Moderating Effects of Leader’s Innovative Expectation. Sci. Technol. Prog. Policy 2016, 33, 110–115. [Google Scholar] [CrossRef]
- Wu, S.J.; Gao, W.C.; Quan, Y. The Influence of Differential Leadership and Creative Self-efficacy on Employees’ Creativity: Moderating Effect of Zhongyong Thinking. Sci. Technol. Prog. Policy 2021, 38, 144–151. [Google Scholar] [CrossRef]
- Ma, P.; Cai, S.L. A Cross-level Analysis of Motivation Internalization of the Effect of Paternalistic Leadership on Voice Behavior-The Moderating Effect of Mediocre Thinking. Collect. Essays Financ. Econ. 2018, 7, 88–96. [Google Scholar] [CrossRef]
- Li, X.Y.; Zhao, S.R.; Gao, A.; Gao, D. The Impact of Differential Leadership on Employee Voice Behavior: A Multiple Mediation Model of Organizational Commitment and Perceived Insider Status. Stud. Psychol. Behav. 2019, 17, 408–414+432. [Google Scholar]
- Lin, Y.H.; Chen, K. Differential Leadership and Employees’ Unethical Pro-organizational Behavior: A Perspective of Insider and Outsider. J. Manag. Sci. 2017, 30, 35–50. [Google Scholar] [CrossRef]
- Tao, H.Y.; Zhang, J.; Li, L. Study on the Influence of Differential Leadership on Employees’ Prosocial Organizational Behavior. Chin. Ind. Econ. 2016, 3, 114–129. [Google Scholar] [CrossRef]
- Jiang, D.Y.; Zhang, W.Z. Chinese Differential Leadership and Subordinate Effectiveness. Ind. Psychol. Res. Chin. Soc. 2010, 33, 109–177. [Google Scholar]
- Zhao, L.; Han, Y.; Luo, J.L.; Zhong, J. Influence Mechanism of Differential Leadership in Knowledge Teams. R&D Manag. 2018, 30, 64–74. [Google Scholar] [CrossRef]
- Shi, Q.Q. A Humble Opinion on Family Business, Internal Control and Corporate Governance—Taking True Kung Fu as an Example. Enterp. Reform Manag. 2017, 16, 50. [Google Scholar] [CrossRef]
- Xu, W.D. A case study of “Fang Tai Confucianism and Taoism” humanistic management—Based on the perspective of corporate governance. Chin. Prices. 2021, 11, 96–98. [Google Scholar]
- Ma, Z.J.; Fan, M.; Ouyang, C.H.; Su, J.; Wu, M. Analysis of Concept Construction and Scale Development of Employee Zhengchong Behaviour in Family Firms in Jiangsu Province of China. Psychol. Res. Behav. Manag. 2022, 15, 2717–2734. [Google Scholar] [CrossRef]
- Zhang, Z.J. Research and Analysis of Capital Scale Expansion of Family Enterprises in Shandong Province-Based on the Perspective of Social Capital. Theory J. 2011, 2, 62–64. [Google Scholar] [CrossRef]
- Fan, R.; Dong, L.; Yang, W.; Sun, J. Study on the optimal supervision strategy of government low-carbon subsidy and the corresponding efficiency and stability in the small-world network context. J. Clean. Prod. 2017, 168, 536–550. [Google Scholar] [CrossRef]
- Zhen, J.J.; Zhang, B.; Cheng, Y.; Xu, M.Y. Group Choice Behavior in Green Travel Based on Scale-free Network. Chin. J. Manag. Sci. 2019, 27, 198–208. [Google Scholar] [CrossRef]
- Szabó, G.; Tőke, C. Evolutionary prisoner’s dilemma game on a square lattice. Phys. Rev. E 1998, 58, 69. [Google Scholar] [CrossRef]
- Xu, L.; Cao, X.; Du, W.; Li, Y. Effects of taxation on the evolution of cooperation. Chaos Solitons Fractals 2018, 113, 63–68. [Google Scholar] [CrossRef]
- Wang, Q.; Wang, H.; Zhang, Z.; Li, Y.; Liu, Y.; Perc, M. Heterogeneous investments promote cooperation in evolutionary public goods games. Phys. A Stat. Mech. Its Appl. 2018, 502, 570–575. [Google Scholar] [CrossRef]
- Wang, P.; Lian, Q.Y.; Chen, D.F. The Evolutionary Logic and Growth Path of Disordered Governance in Family Enterprises: A Case Study of Private Family Enterprises in Wenzhou. Manag. Adm. 2022, 1, 115–121. [Google Scholar] [CrossRef]
- Bolino, M.C.; Turnley, W.H. Relative deprivation among employees in lower-quality leader-member exchange relationships. Leadersh. Q. 2009, 20, 276–286. [Google Scholar] [CrossRef]
- Zhai, X.W. The Chinese concept of “Greater Fairness” and its mode of social operation. Open Times 2010, 20, 276–286. [Google Scholar]
- Wang, Y.F.; Zhao, W.Y.; Wang, S.J. The Influences of Differential Atmosphere Perception on Employees’ Innovation Performance: The Role of Individual Learning and Tacit Knowledge Sharing. Sci. Technol. Manag. Res. 2022, 42, 121–128. [Google Scholar] [CrossRef]








| Symbol | Meaning |
|---|---|
| Z | The strategy of zhengchong |
| IZ | The strategy of not zhengchong |
| The proportion of insiders in the total number of employees in the family business | |
| The initial degree of partiality of differential leaders toward insiders | |
| The degree of partiality of the leader when insiders strive for a favor | |
| The degree of partiality of the leader when outsiders strive for a favor | |
| Employee’s marginal productivity | |
| The actual cost of insiders striving for a favor | |
| The actual cost of outsiders striving for a favor | |
| When they all choose the strategy of zhengchong, the loss of income due to unfair treatment of outsiders | |
| When none of them choose the strategy of zhengchong, the loss of income due to unfair treatment of outsiders |
| Parameters | ||||||||||
|---|---|---|---|---|---|---|---|---|---|---|
| Initial values | 81 | 0.3 | 0.1 | 0.6 | 0.4 | 1 | 2 | 4 | 1 | 0.5 |
Publisher’s Note: MDPI stays neutral with regard to jurisdictional claims in published maps and institutional affiliations. |
© 2022 by the authors. Licensee MDPI, Basel, Switzerland. This article is an open access article distributed under the terms and conditions of the Creative Commons Attribution (CC BY) license (https://creativecommons.org/licenses/by/4.0/).
Share and Cite
Ma, Z.; Fan, M.; Su, J.; Ouyang, C.; Wu, M. Impact of Differential Leadership on Employee Zhengchong Behavior: A Complex Network’s Perspective. Sustainability 2022, 14, 13238. https://doi.org/10.3390/su142013238
Ma Z, Fan M, Su J, Ouyang C, Wu M. Impact of Differential Leadership on Employee Zhengchong Behavior: A Complex Network’s Perspective. Sustainability. 2022; 14(20):13238. https://doi.org/10.3390/su142013238
Chicago/Turabian StyleMa, Zejun, Ming Fan, Jialu Su, Chenhui Ouyang, and Mengyun Wu. 2022. "Impact of Differential Leadership on Employee Zhengchong Behavior: A Complex Network’s Perspective" Sustainability 14, no. 20: 13238. https://doi.org/10.3390/su142013238
APA StyleMa, Z., Fan, M., Su, J., Ouyang, C., & Wu, M. (2022). Impact of Differential Leadership on Employee Zhengchong Behavior: A Complex Network’s Perspective. Sustainability, 14(20), 13238. https://doi.org/10.3390/su142013238

