Next Article in Journal
Mapping Green Infrastructure Based on Multifunctional Ecosystem Services: A Sustainable Planning Framework for Utah’s Wasatch Front
Previous Article in Journal
Club Convergence in R&D Expenditure across European Regions
 
 
Font Type:
Arial Georgia Verdana
Font Size:
Aa Aa Aa
Line Spacing:
Column Width:
Background:
Article

CSR in Education on Business Confidence: Mediation Effect of Corporate Reputation in the Peruvian Banking Sector

by
Edmundo Lizarzaburu Bolaños
1,
Jesús Del Brío
2 and
Conrado Diego García-Gómez
3,*
1
Management and Finance, Universidad Esan, Lima 33, Peru
2
Business Administration, Universidad de Oviedo, 33071 Oviedo, Spain
3
Finance and Accounting, University of Valladolid—Duques de Soria Campus, 42004 Soria, Spain
*
Author to whom correspondence should be addressed.
Sustainability 2022, 14(2), 833; https://doi.org/10.3390/su14020833
Submission received: 2 December 2021 / Revised: 27 December 2021 / Accepted: 30 December 2021 / Published: 12 January 2022
(This article belongs to the Section Economic and Business Aspects of Sustainability)

Abstract

This paper analyzes the direct influence of CSR educational actions on business confidence in the context of the banking sector in an emerging country (Peru). A mediating effect through corporate reputation is also analyzed. To test the hypotheses presented in this paper, we have sent a survey to 1745 executive officers of the branches of the banks. These key individuals were selected as the target population of the study because the authors sought to study the management’s perception of CSR and business confidence. From the data obtained from the survey, it has been tested that educational CSR actions in Peruvian banks directly influences the perception of business confidence. Secondly, this relationship is partially mediated by the effect of CSR educational actions on corporate reputation.

1. Introduction

In today’s economic environment, Corporate Social Responsibility (CSR) is positioned as one of the most relevant managing tools for any company looking for investments [1,2]. Scholars have widely demonstrated that CSR is significantly related not only with an improvement in a firm’s financial profits but also with the development of the society [3,4] and community and the company’s reputation [5,6].
For the case of developing countries, it is becoming progressively apparent that CSR actions may have positive results in terms of both inner and outside improvement of companies, progressing certainty in them [7,8] and fortifying their notoriety [9]. However, inquiry on this topic is for the most part conducted inside the setting of developed countries and is based on a purely economic perspective, ignoring the specificities of developing countries and alternative perspectives to better understand the CSR phenomenon [10].
Accordingly, in this paper, we analyze the moderating effect that corporate reputation performs in the CSR and business confidence relationship [11] in the Peruvian banking industry. Our results suggest that educational CSR actions in Peruvian banks influence directly on the perception of business confidence. Additionally, this relationship is partially moderated by the effect of CSR educational actions on corporate reputation.
Our research provides several contributions to the existing literature on CSR. On the one hand, although managers’ ability and skills will affect the success of CSR activities [12], the outlay in CSR activities in developing countries is relatively new. Thus, it is expected that managers in a developing country such as Peru will engage in CSR activities as long as the perception of positiveness is promoted by the policy makers [12].
Furthermore, the study of CSR activities in the financial industry is underdeveloped, compared with others such as chemical or pharmaceutical businesses [13]. However, this pattern needs to be overcome given the increasing importance of the banking industry in emerging countries such as Peru. In spite of the fact that the nonattendance of activities in favor of CSR can accomplish short-term benefits, these pickups collide with the opportunity fetched for losing notoriety and potential benefits [8]. In this regard, CSR may turn into a valuable resource for financial companies [14]. This issue is especially relevant in the current economic scenario, characterized by the lasting negatives effects of the 2008 financial crisis—which caused on the discernments of banking stakeholders by creating a feeling of fear among clients about the security of their outlays and monetary resources—[15,16] and the challenging effects of the COVID19 pandemic [17]. This phenomenon has not only occurred in wealthy nations but also in developing ones [13]. Governments and regulators attempted to offer solutions, most of them pointing at developing the quality of financial resources through lawful changes to unravel liquidity issues. However, the choices taken to reply to the interests of the society, facilitating development activities towards all stakeholders, are exiguous. Developing countries, such as Peru, in which the banking system has an important role as a growth factor, highly value CSR actions [18].
A third contribution of our research is that, given the moderating impact that instructive CSR activities have on corporate reputation, socially responsible behaviors will improve a company’s performance, meaning that directors will be proactive in promoting CSR activities when they adjust to their instrumental interface of expanding shareholder value and growing the company’s competitiveness and productivity [19,20,21].
This research paper is organized in the following way. First of all, we look for theories to support the significance of CSR educational actions by the firm and its connection with the development of business confidence [14]. After that, we review the indirect impact of CSR over the corporate reputation (CR) and the effect of CR on business confidence [22]. Next, we describe the methodology for testing the hypotheses in the theoretical section. Then, we display the most important results of the study and, finally, we present our conclusions.

2. CSR Educational Actions Related to the Rural Sector and Their Influence on CR of the Peruvian Banking Sector

Studies on CSR has displayed that there are lots of firms in developed countries that think of CSR as a priority and even as a source of competitive advantage [23,24]. However, the research of this subject in developing nations is still starting.
For a better view on how companies in developing countries take CSR, it is important to study the perspective of the decision-makers of the firm: managers [25]. Their persuasion and help thanks to CSR activities are significant to obtain a successful result [14,26,27]. Directors foster, support and develop CSR actions inside a corporation. In addition, they guide the company’s commitment to CSR by placing its investments to various programs and practices and adjusting these actions to the goal of the business [19].
The theory incited to organize the CSR endeavors of companies of different segments into three sorts: health and subsistence programs, environment and foundation, and education [28,29].
Previous studies have taken into consideration the fact that education is one of the most important drivers of economic and human development [30,31,32,33]. There are numerous studies, such as those conducted by Hanushek [31] and by Orekhov [34], that show that greater levels of education have a direct and positive effect on productivity, individual salary, and GDP.
Moreover, Cavazotte and Chang [35] and Wolfe and Dilworth [36] state that corporates in emerging countries can use their main resources to create value for their shareholders and for society by supporting kids enter to school. These outlays can be excellent for business, due to the fact that funding education can improve output-oriented products or services, close the aptitude gap, enhance workers’ health and well-being, obtain easy business investments in emerging nations, and finally, strengthen the relations among the government, the community, the company, the society, etc. [21,37,38,39].
Van Fleet and Zinny [40] state that the principal reason for firms to decide to outlay in education in a community is the association with the society; thus, this strengthens their confidence. These authors, in a research paper for Latin America, showed that firms at various levels of international operation distribute resources to fund education. Three types of corporates are distinguished: multinational companies, in which their headquarters are outside the region, but keep business within Latin America; “Multilatinas corporations”, which are international firms with headquarters inside the region managed by shareholders within Latin America and keeping performance within the region; finally, local companies that have local office and are restricted to work outside their home country. Table 1 and Table 2 encapsulates the participation in USD of these three types of corporations in Latin America.
In addition, these authors show their results and 96% of firms consider that their principal goal to make some outlays in education is to improve relationships with the community and strengthen business confidence among the people. Likewise, 86% of companies think that these kinds of investments reach the most important CSR social demands of the community.
Further, Adamson et al. [28] point out that to invest in education programs on the corporate side is very important for business confidence and for the long-run benefits of companies. This fact, according to these authors, is due to four elements: the first implies that access to excellent quality education is an indispensable for tactical growth for the business. The second factor is that there is an important ROI in education. The third element is that recent actions are required to develop education because firms will ask for a higher quality of people at work in the following periods. Finally, it is known that new methods to outlay in social sectors are emerging. This shows that tomorrow’s workers may find a gap today in the labor market by linking new ways of operating business.
Focusing in the Peruvian banking industry, we have been able to observe that the steps of the financial institutions in education are of several types: philanthropic donations and credits in favorable conditions, as well as projects promoted by the banks. Appendix A shows all the activities taken by the four main important banks in Peru in terms of education.
Accordingly, our first hypothesis is as follows:
Hypothesis 1 (H1).
Corporate social responsibility aimed at strengthening educational quality will positively influence the managers’ perception of business confidence in the Peruvian banking sector.

3. Mediation Effect of CR in Business Confidence of the Peruvian Banking Sector

A strategic thought of CSR such as investment in educational actions guides to positive impacts on multiple pillars of corporate reputation [41]. The theory shows some of the outcomes as a better management quality, managerial skills and business leadership [42,43,44,45], enhanced product quality and client satisfaction [46,47] and the improvement of stakeholders’ confidence based on a greater corporate image [43,48] and competitive positioning [25].
Several papers indicated that the perspective of the effect of CSR over the various dimensions of CR explained before is limited by the place of the corporation [24,28,49]. Indeed, all the empirical studies described above refer to developed nations.
When a firm becomes better in the dimensions of CR, it encapsulates reputational capital attracting and motivating business partners, i.e., employees, customers, and suppliers [50]. As a consequence, companies that make this happen will have a competitive advantage in the market. Moreover, accumulated reputational capital can be utilized as a risk manager by giving a hedge against negative publicity when negative events occur [51]. High-CR companies are seen with fewer risks, and this is exceptionally significant among stakeholders. That is the reason the strengthening of the brand image and reputation can mitigate operational risks.
Many authors have found direct relationships between CR and its effects on business confidence [52,53,54,55], even though analyses applied in developing countries have merely been identified.
From the theory that relates CR to business confidence, from heuristic results found for the stock market in China [56], hypothesis 2 is formulated as follows:
Hypothesis 2 (H2).
Corporate reputation mediates the relationship between CSR educational actions and business confidence. CSR educational actions influence the managers’ perception of corporate reputation and this one influence the managers’ perception of business confidence in the Peruvian banking sector (the indirect effect being greater than the direct effect).
The final model is shown in Figure 1.

4. Methodology

We have followed an empirical approach. Most of the empirical research using a quantitative methodology are based on surveys, which can be of several types: (a) postal surveys, (b) telephone surveys, and (c) structured personal interviews. Thus, we have carried out a set of surveys through e-mail, which are gaining more and more relevance. In a latter analysis of the responds, we have used the structural equation modeling (SEM) methodology, which is the most appropriate one to deal with data from surveys. Specifically, we have followed these steps: model specification, identification, parameter estimation, model evaluation, and, if it is the case, model modification.
In March 2016, we launched the initial questionnaire to members of the Association of Banks of Peru (ASBANC). This preliminary experiment allowed the making of the final survey.
The final survey was structured with different sections. In the first part, it assesses economic variables concerning the banks’ branches in an open-ended question format. This part retrieved data on the number of employees, benefits, market share, etc. The remainder of the questionnaire was based on close-ended questions in the form of a Likert scale ranging from 1 (Very low) to 5 (Very high) to assess the intensity of the answers. The questions are related to CSR actions regarding the triple bottom line based on economic, social, and environmental problems. Similarly, the survey tested the perception of the banks regarding CR and business confidence sourced from CSR actions.
After that, the directors of ASBANC gave the authors with data of the banks working in Peru until January 2016, a total of seventeen banks (Table 3), as well as the contact information of 1745 executive officers of said banks. As justified in the literature review, if managers see CSR actions as a positive influence over CR, they will promote such activities among the rest of internal business partners, especially to employees [19].
The data collection process finished in July 2016 with 112 valid responses (6.41% response rate). The next sub-sections present the technical document and statistical validation of the answers rate reached, followed by an explanation of each variable.

4.1. Technical Data and Statistical Validity

Table 4 shows the records of the research, i.e., the total or target population, geographical area and timeframe of the research, unit, size, sample error, and confidence level.
The expression n = Z 2 × N × p × ( 1 p ) ( N 1 ) × e 2 + e 2 × p × ( 1 p ) was employed to obtain the sampling error. N stands for the population size (1745), n is the sample size (112), Z at a confidence level of 95% takes the value of 1.96, P is the population that holds the characteristic. As it is unknown, the authors bet on the worst case, where p = q = 0.5, and e is the sampling error, the variable to calculate. After applying the formula, the resulting error rate is of 0.0896. The error rate is high, due to the response rate but it’s statistically acceptable [57]. Table 4 shows the technical data. To examine whether the sample is representative of the population, the frequency distributions are displayed by gender and by age (Figure 2 and Figure 3).
Two logit analyses were used to assess the representativeness of the sample [58] with a higher degree of reliability. In both models, the dependent variable is the probability of response. The independent variable is gender in the first logit (measured through the number of men and women) and in the second logit, the number of responses per age group was used as the independent variable. In neither of the two models, the number of responses by gender and by age group enters the model. Consequently, the previous results support the idea that the sample is not biased by gender or age. In this way, the external validity of the sample is guaranteed.

4.2. Measurement Scales

A multiple-indicator application was used to calculate the measurement scales of the concepts employed in this research. Hence, each concept was measured using several items or factors. Besides the theoretical contributions from the cited literature, the authors used the scales of the works mentioned below as reference in the process of developing the measurement scales of each of the dimensions assessed.

4.2.1. Perception of Actions for Education in the Rural Area by Managers

To examine the actions or activities of education in the rural area, we have used different studies as a reference: (a) Cavazotte and Chang’s study [35] on the support of businesses for children to enroll to school; (b) Malyan and Jindal’s study [59] on the education sector in India and Africa where the effect of outlaying in education is studied; (c) Pradhan and Ranjan’s study [60], in which they examined programs of CSR oriented towards rural development in the field of education. Based on these papers, seven items rated on a Likert scale (1–5) have been asked: (1) importance of educational actions where 1 is not important and 5 is very important (ED1); (2) number of educational actions escorted by regional or municipal governments where 1 are few actions and 5 are many actions (ED2); (3) number of other educational actions where 1 are few actions and 5 are many actions (ED3); (4) impact level in the support to build schools where 1 indicates little impact and 5 indicates great impact (ED4); (5) investment in educational actions. It has been tested with 1 little investment and 5 big investments (ED5); (6) effect level in the help of scholarships where 1 indicates little impact and 5 indicates great impact (ED6); (7) level of impact on help to hire teachers where 1 indicates low impact and 5 indicates great impact (ED7). A summary is provided in Table 5.

4.2.2. CR Perception by Managers

The second group of questions measures the view of the CR of the firm. Theory stands for four different dimensions that influence the variable: (1) perception of improvement of management quality, managerial skills and business leadership [42,44,45], (CR1); (2) stakeholder perception of corporate image [46,47] (CR2); (3) perception of improvement in product quality and customer satisfaction [48] (CR3); (4) stakeholder perception of confidence regarding competitors [25] (CR4). The variables were evaluated on a Likert scale (1–5). A summary is reported in Table 6

4.2.3. Perception of Business Confidence by Managers

The first group of questions refers to the perception of business confidence, which is the final proxy variable of the model. In regards of business confidence for economic development of the company the questions involved the following criteria: (1) the assessment of the importance of the annual financial profit of the firm (BC1) [61,62]; (2) the measurement of the importance of adding value for the stakeholders (BC2) [4,63]; (3) the assessment of the significance of the financial profitability of the firm (BC3) [63]. For the factor of improvement of business confidence, the interviewed were asked about the importance of the feeling of trust towards the company (BC4) [62]. Additionally, there are dimensions connected to the market, such as market share (BC5), and their perception on the assessment the customers give to the firm (BC6) [64,65]. Finally, there are external factors that are enhanced through CSR and have an impact on business confidence (BC7) [66,67]. A summary is provided in Table 7.

5. Results

Factor analyses (CFA) using structural equation modeling (SEM) are employed. The statistic software used were IBM/SPSS version 24 for Windows and EQS version 6.1 for Windows. Then, the authors used the structural equation modeling statistical technique to measure the objective model. The so-called method allows for testing complex models of relations between variables, considering all of them at the same time. Table 8 shows the mean and standard deviation of each of the items used. Table 9 displays the correlations among the variables, providing a first glimpse of the relationships between them.
Harman’s single factor test was employed to check that there was no common method bias (CMB); in order to carry this out, the items of the scale were constrained to just one. If all variables weigh a single factor or any factor explains most of the variance, then CMB is a problem. The importance of this technique has been shown in the theory [68]. The exploratory factor analyses carried out are displayed in Table 10 and Table 11. Three factors were generated using the eigenvalues >1 rule. Each one of them explains 36.67%, 20.18%, and 18.03% of the variance in the data.
The authors realized that the results are not impacted by the CMB, since there is no single factor, and neither does the first factor represent a majority of the variance of the data.
Afterwards, we used structural equation modeling (SEM) to obtain a confirmatory factor analysis on the suggested model. Additionally, for the calculation, the robust maximum likelihood method was used [69]. This procedure confirms the model of a global adjustment suggested on various statistics corrected to presume non-normality. Furthermore, we have developed a regression model in which Factor 1 (Perception of actions of education) is the determinant, whereas Factor 3 (Perception of Business Confidence) is the dependent variable, and Factor 2 (Perception of Corporate Reputation) mediates the relationship between Factor 1 and Factor 3. Figure 4 shows the proposed model following the SEM methodology.
Table 12 shows the statistics that explain the fitting wellness of the suggested scales of the model. Figure 5 shows the final outcomes of the proposed model, adding the factorial weights of the items on their specific factors, as well as the coefficients of the causal model. In the model, t values are in parentheses. When t is higher than 1.96, it implies significance for a confidence interval of 95%.

6. Discussion

The results of the robust model (without assuming normality of the variables) show that the SEM model presents good fit when [70]:
  • Probability value for Satorra–Bentler’s chi-squared statistic is higher than 0.05, as is shown in the displayed results (Table 12).
  • The Bentler–Bonett index or normed fit index (NFI) and comparative fit index (CFI) should be higher than 0.9 in order to accept the model. If they are higher than 0.95, the model is much better. In this particular case, the model is accepted since both of these indexes are in the middle of 0.9 and 0.95.
  • The root–mean–square error of approximation (RMSEA) has to be, at least, smaller than 0.08; the indicator is better if it is lower than 0.05. Furthermore, confidence Interval of RMSEA has to include the zero. We satisfy all these parameters (RMSEA is 0.046, less than 0.08).
  • Factorial weights are between 0 and 1. According to the literature, the higher the value, the better; but they must be at least higher than 0.7. However, several researchers think that this heuristic rule should not be so rigid. It is necessary that indicators with very low loads (i.e., 0.4) are eliminated (Hair et al., 2012). In the presented model, factorial weights of less than 0.7 are very close to that value. Therefore, the authors assume that the model is acceptable.
In summary, the model conferred significance within the confirmatory factorial analysis, and thus, is appropriate for the investigation’s goal. The results lead to the conclusion that the chosen three factors summarize the data of the things asked within the survey. The proxy variable of the model is the construct of business confidence (F3). Furthermore, the independent variables are the perception of actions within the rural area directed towards education (F1) and the perception of CR (F2) that mediates the link between F1 and F3.
The causal model demonstrates the effect of the insight of the importance of Peruvian banks’ attempts to obtain better education in rural areas regarding the perception of business confidence, as the researchers initially suggested. The link found is statistically significant at a level of 95%, Beta 0.304. Hypothesis 1 is validated. The literature has presented education as one of the main factors of economic and human development [30,31,32]. The outcome that links the impact of investment over education and business confidence is in line with the reasoning of [35], who indicates that firms in emerging countries can use their principal resources to add value for their investors and for society by supporting children in obtaining an education. The results also backed the contributions of [28] who checked that investment in education programs by firms is becoming increasingly important in the business confidence and the long-run financial profits of companies.
In addition, we have confirmed Hypothesis 2. CSR’s education-based actions impact the insight of CR significantly (p < 0.05, Beta 0.496). Successively, the perception of CR determines the perception of company confidence significantly (p < 0.05, Beta 0.397). We have been able to validate that the indirect impact is greater than the direct impact. Moreover, according to the three tests that the mediating variables must meet [71], we suggest a model with only the direct relationship (F1 on F3). Its link is significant and greater than when the mediating variable is established. Therefore, the partial mediation effect can be granted.
Similarly, lots of firms lead their CSR plans to the education sector, which according to La Fuente et al. [72], may positively determine the reputation of the corporation, an issue that has been validated for the Peruvian banking system. The CSR Integrating School states that firms take CSR steps to answer to the social demands of stakeholders. Within this school, some authors believe that, regarding to the actions of CSR, corporations overcome the limitations between society’s expectations and their conduct, hence improving their image. Furthermore, CR positively determines on the insight of business confidence in a developing nation. This result goes in the same page with the approaches that consider CR to give more confidence between the relevant groups of interest. Similarly, the offering of authors that give reasons for the positive impact of the CR in the business confidence are validated regard to the positive effect of the reputational capital that entices and fosters the stakeholders. Finally, this research widens the heuristic analysis of the CR relationship and business confidence that, in the financial industry in a country that is not part of the OECD, only the study of Sun et al. [56] had detected.

7. Conclusions

Corporations adopt CSR actions to answer to the social demands of stakeholders. The literature considers that, thanks to the actions of CSR, firms solve the gap between society’s prospects and their actual conduct, hence upgrading their management skills. These actions may have a determination on the company’s business confidence and in the CR. This study has measured the link between CSR actions based on education in Peru and its impact on Business Confidence in a direct impact and on CR in a mediation effect.
We were able to complement previous links in the banking system in Peru. This industry, in an emerging country such as Peru, has begun to add various CSR plans in its framework of its strategic plan since the 2000s. Thus, in later years, several banks have developed these plans because the outcomes of CSR actions must be believable to groups of interest and sustained in the long-run. To make this happen, they must be gathered into the company’s strategy and organization. However, for groups of interest to see them, banking institutions must take real CSR actions. Among these actions, for the banking industry in an emerging country, educational actions have been taken into consideration. Doubtless, the results gotten enhance the managers’ perception that the attempt made to improve Peruvian education in their business leads to a better insight of their business.
The most important contribution of this research is that it empirically analyzes a link hardly treated in the field of business administration: the effect of CSR over the insight of business confidence, adding a mediating variable (corporate reputation), in the context of an emerging banking system such as Peru.
Obviously, our research has some limitations. For this study, to analyze the activities of CSR, CR and business confidence, the Likert scale from 1–5 was employed, just as related research. However, tools such as MERCO [73] could be employed to measure more objectively the position of banks in reputation rankings. Financial rankings could be used to analyze business confidence. However, there is still scarce objective information in developing nations such as Peru.
Additionally, the survey has been e-mailed to the managers and directors of the banks that operate in Peru. Managers have been elected, because they are employees of these financial institutions and, therefore, internal stakeholders who also have links with managers of higher positions at the strategic level; thus, they all can know their thoughts on these problems. Additionally, they manage the rest of workers of the branch so they can also look on that they think about the bank’s CR. However, this is not saying that in the future the research should be extended to other groups of interest. We have presumed that the answer rate has been very low, and although statistically sufficient, the survey should be expanded in the following years.
We expect that all this does not diminish the importance of a work that, from the point of view of academic literature, is novel because it shortens the analysis gap on a subject hardly studied in a non-industrial sector and in an emerging country. Additionally, from a business point of view, this study makes a very important contribution by providing reasons for banks to definitively think that CSR activities allow them to increase their reputational image and trust.

Author Contributions

Conceptualization, E.L.B. and C.D.G.-G.; methodology, J.D.B.; formal analysis, E.L.B. and J.D.B.; writing—original draft preparation, E.L.B. and C.D.G.-G.; writing—review and editing, E.L.B. and C.D.G.-G. All authors have read and agreed to the published version of the manuscript.

Funding

This research received no external funding.

Institutional Review Board Statement

Not applicable.

Informed Consent Statement

Not applicable.

Data Availability Statement

Data availability upon request.

Conflicts of Interest

The authors declare no conflict of interest.

Appendix A. Actions of Health and Environment Carry Out by the Four Main Peruvian Banks

  • BBVA program: “Reading is being ahead”. This program has enabled a significant number of teachers and students in eight regions of the country to increase reading rates and improve comprehension levels.
  • Interbank program: “Teacher Who Leaves a Footprint” program. This program, implemented by Interbank, is a contest that recognizes the contribution of teachers in improving the quality of education, which began in 2007 and has the support of the Ministry of Education.
  • BCP program: “Mathematics for All” program with more than 59,000 students benefited and 1148 teachers trained with the support of the Ministry of Education.
These efforts reflect the importance that companies give to education within their CSR plans. This is because these companies expect that the target population, which is benefited by these programs, build favorable perceptions about the company’s image and thus strengthen its reputation over time. This is in line with the political theories of the social contract (Sacconi, 2007), who suggest that CSR may be understood as a comprehensive social contract, in which it undertakes to give priority to structural issues of society such as education.

References

  1. Hąbek, P. Development of Corporate Social Responsibility in Visegrad Group Countries. Zesz. Naukowe. Organ. I Zarządzanie/Politech. Śląska 2019, 2019, 71–82. [Google Scholar] [CrossRef]
  2. Kim, H.D.; Kim, T.; Kim, Y.; Park, K. Do long-term institutional investors promote corporate social responsibility activities? J. Bank. Financ. 2019, 101, 256–269. [Google Scholar] [CrossRef]
  3. Magbool, M.A.H.; Amran, A.; Nejati, M.; Jayaraman, K. Corporate sustainable business practices and talent attraction. Sustain. Account. Manag. Policy J. 2016, 7, 539–599. [Google Scholar] [CrossRef]
  4. Maqbool, S.; Zameer, M.N. Corporate social responsibility and financial performance: An empirical analysis of Indian banks. Future Bus. J. 2018, 4, 84–93. [Google Scholar] [CrossRef]
  5. Park, E. Corporate social responsibility as a determinant of corporate reputation in the airline industry. J. Retail. Consum. Serv. 2019, 47, 215–221. [Google Scholar] [CrossRef]
  6. Sacconi, L. A social contract account for CSR as an extended model of corporate governance (II): Compliance, reputation and reciprocity. J. Bus. Ethics 2007, 75, 77–96. [Google Scholar] [CrossRef]
  7. Schons, L.; Steinmeier, M. Walk the talk? How symbolic and substantive CSR actions affect firm performance depending on stakeholder proximity. Corp. Soc. Responsib. Environ. Manag. 2016, 23, 358–372. [Google Scholar] [CrossRef]
  8. Wu, M.W.; Shen, C.H. Corporate social responsibility in the banking industry: Motives and financial performance. J. Bank. Financ. 2013, 37, 3529–3547. [Google Scholar] [CrossRef]
  9. Yang, S.; Ye, H.; Zhu, Q. Do peer firms affect firm corporate social responsibility? Sustainability 2017, 9, 1967. [Google Scholar] [CrossRef]
  10. Advantage, C. Corporate Social Responsibility. In CSR and Socially Responsible Investing Strategies in Transitioning and Emerging Economies; IGI Global: Hershey, PA, USA, 2020; p. 65. [Google Scholar]
  11. Kim, S. The process model of corporate social responsibility (CSR) communication: CSR communication and its relationship with consumers’ CSR knowledge, trust, and corporate reputation perception. J. Bus. Ethics 2019, 154, 1143–1159. [Google Scholar] [CrossRef]
  12. Luhmann, H.; Theuvsen, L. Corporate social responsibility in agribusiness: Literature review and future research directions. J. Agric. Environ. Ethics 2016, 29, 673–696. [Google Scholar] [CrossRef]
  13. Ben Abdallah, S.; Saïdane, D.; Ben Slama, M. CSR and banking soundness: A causal perspective. Bus. Ethics Eur. Rev. 2020, 29, 706–721. [Google Scholar] [CrossRef]
  14. Nguyen, P.A.; Kecskés, A.; Mansi, S. Does corporate social responsibility create shareholder value? The importance of long-term investors. J. Bank. Financ. 2020, 112, 105217. [Google Scholar] [CrossRef]
  15. Cornett, M.M.; Erhemjamts, O.; Tehranian, H. Greed or good deeds: An examination of the relation between corporate social responsibility and the financial performance of US commercial banks around the financial crisis. J. Bank. Financ. 2016, 70, 137–159. [Google Scholar] [CrossRef]
  16. Díez-Esteban, J.M.; García-Gómez, C.D.; López de Foronda Pérez, O. Corporate risk taking and financial crisis: The role of institutional investors. Transform. Bus. Econ. 2014, 13, 126–144. [Google Scholar]
  17. García-Gómez, C.D.; Demir, E.; Díez-Esteban, J.M.; Bilan, Y. The impact of COVID-19 outbreak on hotels’ value compared to previous diseases: The role of ALFO strategy. Heliyon 2021, 7, e07836. [Google Scholar] [CrossRef]
  18. Del Brío, J.; Lizarzaburu, E. Effects of CSR and CR on Business Confidence in an Emerging Country. Sustainability 2020, 12, 5221. [Google Scholar] [CrossRef]
  19. Aguinis, H.; Glavas, A. On corporate social responsibility, sensemaking, and the search for meaningfulness through work. J. Manag. 2019, 45, 1057–1086. [Google Scholar] [CrossRef]
  20. Busch, T.; Friede, G. The robustness of the corporate social and financial performance relation: A second-order meta-analysis. Corp. Soc. Responsib. Environ. Manag. 2018, 25, 583–608. [Google Scholar] [CrossRef]
  21. Cheung, Y.L.; Tan, W.; Wang, W. Where do Banks Value Corporate Social Responsibility More? Evidence on the Role of National Culture. J. Bank. Financ. 2020, 118, 105810. [Google Scholar] [CrossRef]
  22. Leiva, R.; Ferrero, I.; Calderón, R. Corporate reputation in the business ethics field: Its relation with corporate identity, corporate image, and corporate social responsibility. Corp. Reput. Rev. 2016, 19, 299–315. [Google Scholar] [CrossRef]
  23. Boon, C.; Eckardt, R.; Lepak, D.P.; Boselie, P. Integrating strategic human capital and strategic human resource management. Int. J. Hum. Resour. Manag. 2018, 29, 34–67. [Google Scholar] [CrossRef]
  24. Matten, D.; Moon, J. Reflections on the 2018 decade award: The meaning and dynamics of corporate social responsibility. Acad. Manag. Rev. 2020, 45, 7–28. [Google Scholar] [CrossRef]
  25. Park, E.; Bundy, J.N.; Lange, D.A. The Conditional Effect of CEO Organizational Identification on the CSR-CSIR Interrelationship. In Academy of Management Proceedings; Academy of Management: Briarcliff Manor, NY, YSA, 2020; Volume 2020, p. 17852. [Google Scholar]
  26. Maroun, W. A conceptual model for understanding corporate social responsibility assurance practice. J. Bus. Ethics 2020, 161, 187–209. [Google Scholar] [CrossRef]
  27. Moon, J.; Knudsen, J.S. Corporate Social Responsibility and Government. In Academy of Management Proceedings; Academy of Management: Briarcliff Manor, NY, USA, 2018; Volume 2018, p. 12777. [Google Scholar]
  28. Adamson, F.; Astrand, B.; Darling-Hammond, L. Global Education Reform: How Privatization and Public Investment Influence Education Outcomes, 1st ed.; Routledge: New York, NY, USA, 2016. [Google Scholar]
  29. Oh, H.; Bae, J.; Currim, I.S.; Lim, J.; Zhang, Y. Marketing spending, firm visibility, and asymmetric stock returns of corporate social responsibility strengths and concerns. Eur. J. Mark. 2016, 50, 838–862. [Google Scholar] [CrossRef]
  30. Hanif, N.; Arshed, N. Relationship between school education and economic growth: SAARC countries. Int. J. Econ. Financ. Issues 2016, 6, 294–300. [Google Scholar]
  31. Hanushek, E.A. Will more higher education improve economic growth? Oxf. Rev. Econ. Policy 2016, 32, 538–552. [Google Scholar] [CrossRef]
  32. Peercy, C.; Svenson, N. The role of higher education in equitable human development. Int. Rev. Educ. 2016, 62, 139–160. [Google Scholar] [CrossRef]
  33. Zainuddin, Z.; Chu, S.K.W.; Shujahat, M.; Perera, C.J. The impact of gamification on learning and instruction: A systematic review of empirical evidence. Educ. Res. Rev. 2020, 30, 100326. [Google Scholar] [CrossRef]
  34. Orekhov, V. New approach to assessing contribution of science and education to welfare of countries. Educ. Res. 2016, 45, 625–635. [Google Scholar]
  35. Cavazotte, F.; Chang, N.C. Internal corporate social responsibility and performance: A study of publicly traded companies. BAR-Braz. Adm. Rev. 2016, 13, 2–19. [Google Scholar] [CrossRef][Green Version]
  36. Wolfe, B.L.; Dilworth, P.P. Transitioning normalcy: Organizational culture, African American administrators, and diversity leadership in higher education. Rev. Educ. Res. 2015, 85, 667–697. [Google Scholar] [CrossRef]
  37. Garde, R.; Rodríguez, M.P.; López-Hernández, A.M. Online disclosure of university social responsibility: A comparative study of public and private US universities. Environ. Educ. Res. 2013, 19, 709–746. [Google Scholar] [CrossRef]
  38. Hursh, D.; Henderson, J.; Greenwood, D. Environmental education in a neoliberal climate. Environ. Educ. Res. 2015, 21, 299–318. [Google Scholar] [CrossRef]
  39. Wójcik, P. How creating shared value differs from corporate social responsibility. J. Manag. Bus. Adm. Cent. Eur. 2016, 24, 32–55. [Google Scholar] [CrossRef]
  40. Van Fleet, J.W.; Zinny, G.S. Corporate Social Investments in Education in Latin America and the Caribbean; Center for Universal Education: Washington, DC, USA, 2012. [Google Scholar]
  41. Rindova, V.P. Multi-disciplinary and Multi-faceted: Reputation as My 24-year Topic. Corp. Reput. Rev. 2017, 20, 181–182. [Google Scholar] [CrossRef]
  42. Aramburu, I.A.; Pescador, I.G. The effects of corporate social responsibility on customer loyalty: The mediating effect of reputation in cooperative banks versus commercial banks in the Basque country. J. Bus. Ethics 2019, 154, 701–719. [Google Scholar] [CrossRef]
  43. Carlini, F.; Cucinelli, D.; Previtali, D.; Soana, M.G. Don’t talk too bad! Stock market reactions to bank corporate governance news. J. Bank. Financ. 2020, 121, 105962. [Google Scholar] [CrossRef]
  44. Derun, I. Stakeholder perception of financial performance in corporate reputation formation. J. Int. Stud. 2018, 11, 112–123. [Google Scholar] [CrossRef]
  45. Dowling, G.R. Defining and measuring corporate reputations. Eur. Manag. Rev. 2016, 13, 207–223. [Google Scholar] [CrossRef]
  46. Emenalo, C.O.; Gagliardi, F. Is current institutional quality linked to legal origins and disease endowments? Evidence from Africa. Res. Int. Bus. Financ. 2020, 52, 101065. [Google Scholar] [CrossRef]
  47. Waluya, A.I.; Iqbal, M.A.; Indradewa, R. How product quality, brand image, and customer satisfaction affect the purchase decisions of Indonesian automotive customers. Int. J. Serv. Econ. Manag. 2019, 10, 177–193. [Google Scholar] [CrossRef]
  48. Yousaf, A.; Bashir, M.; Mishra, A. Revisiting spectator-based sports team reputation: Strategic implications for team managers. Corp. Reput. Rev. 2020, 23, 1–12. [Google Scholar] [CrossRef]
  49. Pérez-Cornejo, C.; de Quevedo-Puente, E.; Delgado-García, J.B. Reporting as a booster of the corporate social performance effect on corporate reputation. Corp. Soc. Responsib. Environ. Manag. 2020, 27, 1252–1263. [Google Scholar] [CrossRef]
  50. Lizarzaburu, E.; Del Brío, J. Are employees well evaluated in their CSR actions? The perception of managers in an emerging country. Rev. Bras. Gestão Negócios 2020, 22, 85–103. [Google Scholar] [CrossRef]
  51. Silva, S.; Nuzum, A.K.; Schaltegger, S. Stakeholder expectations on sustainability performance measurement and assessment. A systematic literature review. J. Clean. Prod. 2019, 217, 204–215. [Google Scholar] [CrossRef]
  52. Brown, L.; Goll, I.; Rasheed, A. Corporate social responsibility, corporate political activities, and firm performance. In Academy of Management Proceedings; Academy of Management: Briarcliff Manor, NY, USA, 2017. [Google Scholar]
  53. Jeffrey, S.; Rosenberg, S.; McCabe, B. Corporate social responsibility behaviors and corporate reputation. Soc. Responsib. J. 2019, 15, 395–408. [Google Scholar] [CrossRef]
  54. Khan, S.; Digout, J. The corporate reputation reporting framework (CRRF). Corp. Reput. Rev. 2018, 21, 22–36. [Google Scholar] [CrossRef]
  55. Miller, S.R.; Eden, L.; Li, D. CSR reputation and firm performance: A dynamic approach. J. Bus. Ethics 2020, 163, 619–636. [Google Scholar] [CrossRef]
  56. Sun, J.; Yuan, R.; Cao, F.; Wang, B. Principal–principal agency problems and stock price crash risk: Evidence from the split-share structure reform in China. Corp. Gov. Int. Rev. 2017, 25, 186–199. [Google Scholar] [CrossRef]
  57. Cleff, T. Applied Statistics and Multivariate Data Analysis for Business and Economics; Springer: Cham, Switzerland, 2019. [Google Scholar]
  58. Lee, M.; Yun, J.J.; Pyka, A.; Won, D.; Kodama, F.; Schiuma, G.; Park, H.; Jeon, J.; Park, K.; Jung, K.; et al. How to respond to the fourth industrial revolution, or the second information technology revolution? Dynamic new combinations between technology, market, and society through open innovation. J. Open Innov. Technol. Mark. Complex. 2018, 4, 21. [Google Scholar] [CrossRef]
  59. Malyan, R.S.; Jindal, L. Capacity building in education sector: An exploratory study on Indian and African relations. Procedia-Soc. Behav. Sci. 2014, 157, 296–306. [Google Scholar] [CrossRef]
  60. Pradhan, S.; Ranjan, A. Corporate social responsibility in rural development sector: Evidences from India. Sch. Dr. Stud. (Eur. Union) J. 2011, 2, 139–147. [Google Scholar]
  61. Fernando, Y.; Jabbour, C.J.C.; Wah, W.X. Pursuing green growth in technology firms through the connections between environmental innovation and sustainable business performance: Does service capability matter? Resour. Conserv. Recycl. 2019, 141, 8–20. [Google Scholar] [CrossRef]
  62. Leaniz, P.M.G.; del Bosque Rodríguez, I.R. Corporate image and reputation as drivers of customer loyalty. Corp. Reput. Rev. 2016, 19, 166–178. [Google Scholar] [CrossRef]
  63. Bird, R.; Duppati, G.; Mukherjee, A. Corporate social responsibility and firm market performance: A study of Indian listed companies. Int. J. Bus. Gov. Ethics 2016, 11, 68–88. [Google Scholar] [CrossRef]
  64. Gruchmann, T.; Seuring, S. Explaining logistics social responsibility from a dynamic capabilities perspective. Int. J. Logist. Manag. 2018, 29, 1255–1278. [Google Scholar] [CrossRef]
  65. Schaltenbrand, B.; Foerstl, K.; Azadegan, A.; Lindeman, K. See what we want to see? The effects of managerial experience on corporate green investments. J. Bus. Ethics 2018, 150, 1129–1150. [Google Scholar] [CrossRef]
  66. Srivastava, A.P.; Shree, S. Examining the effect of employee green involvement on perception of corporate social responsibility. Manag. Environ. Qual. Int. J. 2019, 30, 197–210. [Google Scholar] [CrossRef]
  67. Vizcaíno, F.V.; Cardenas, J.J.; Cardenas, M. A look at the social entrepreneur: The effects of resilience and power distance personality traits on consumers’ perceptions of corporate social sustainability. Int. Entrep. Manag. J. 2020, 17, 83–103. [Google Scholar] [CrossRef]
  68. Diamantopoulos, A.; Riefler, P.; Roth, K.P. Advancing formative measurement models. J. Bus. Res. 2008, 61, 1203–1218. [Google Scholar] [CrossRef]
  69. Hair, J.F.; Sarstedt, M.; Ringle, C.M.; Mena, J.A. An assessment of the use of partial least squares structural equation modeling in marketing research. J. Acad. Mark. Sci. 2012, 40, 414–433. [Google Scholar] [CrossRef]
  70. Cain, M.K.; Zhang, Z. Fit for a Bayesian: An evaluation of PPP and DIC for structural equation modeling. Struct. Equ. Modeling Multidiscip. J. 2019, 26, 39–50. [Google Scholar] [CrossRef]
  71. Preacher, K.J.; Hayes, A.F. Asymptotic and resampling strategies for assessing and comparing indirect effects in multiple mediator models. Behav. Res. Methods 2008, 40, 879–891. [Google Scholar] [CrossRef] [PubMed]
  72. La Fuente, A.; Zorrilla, P.; Forcada, J. A review of higher education image and reputation literature: Knowledge gaps and a research agenda. Eur. Res. Manag. Bus. Econ. 2018, 24, 8–16. [Google Scholar] [CrossRef]
  73. Merco. Monitor Empresarial de Reputación Corporativa; Ed Merco: Madrid, Spain, 2015. [Google Scholar]
Figure 1. Research model. Source: Own elaboration.
Figure 1. Research model. Source: Own elaboration.
Sustainability 14 00833 g001
Figure 2. Representativeness of the sample by gender. Source: Own elaboration.
Figure 2. Representativeness of the sample by gender. Source: Own elaboration.
Sustainability 14 00833 g002
Figure 3. Representativeness of the sample by age. Source: Own elaboration.
Figure 3. Representativeness of the sample by age. Source: Own elaboration.
Sustainability 14 00833 g003
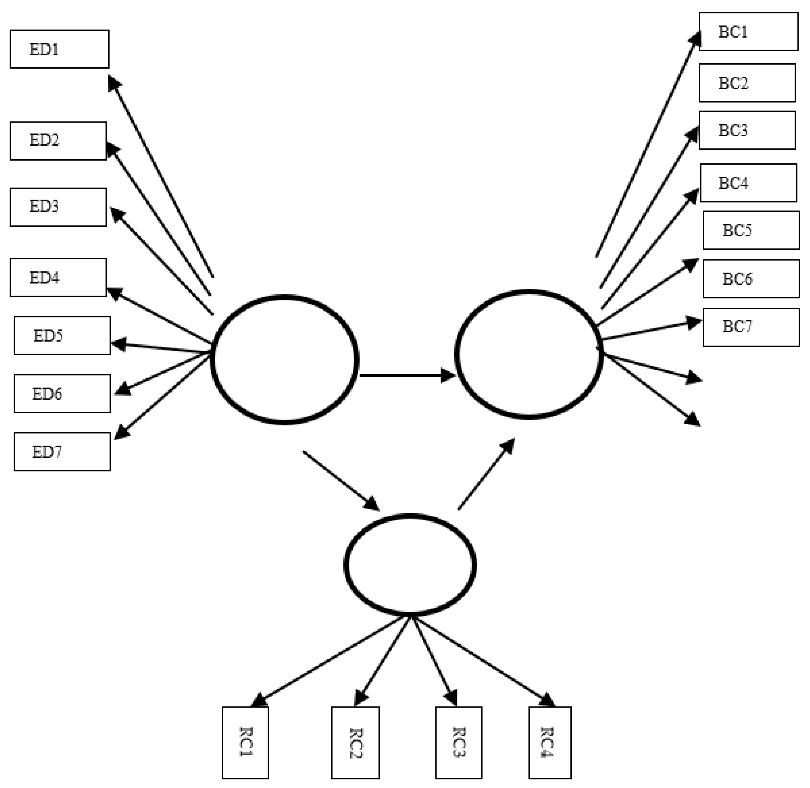
Figure 4. Model SEM between perception of actions CSR of education and perception of business confidence.
Figure 4. Model SEM between perception of actions CSR of education and perception of business confidence.
Sustainability 14 00833 g004
Figure 5. Results of model SEM between perception of actions regarding CSR of education and perception of business confidence and mediation of corporate reputation. * Significant at 90% confidence level.
Figure 5. Results of model SEM between perception of actions regarding CSR of education and perception of business confidence and mediation of corporate reputation. * Significant at 90% confidence level.
Sustainability 14 00833 g005
Table 1. Contribution by type of company.
Table 1. Contribution by type of company.
Type of companyInvestment (USD)Share
Multilatinas177.963%
Multinationals88.231%
Nationals166%
Total282.1100%
Source: Own elaboration from Van Fleet and Zinny [40].
Table 2. Contribution by sector (Multilatinas).
Table 2. Contribution by sector (Multilatinas).
SectorInvestment (USD)Share
Energy63%
Materials149.384%
Industrial74%
Consumer15.69%
Total177.9100%
Source: Own elaboration from Van Fleet and Zinny [40].
Table 3. Banks in Peru (January 2016, compiled by authors). Deutsche Bank closed their office in the Peruvian Market.
Table 3. Banks in Peru (January 2016, compiled by authors). Deutsche Bank closed their office in the Peruvian Market.
1. Banco de Crédito del Perú-BCP9. Banco Falabella
2. Banco Continental10. Banco Santander
3. Scotiabank Perú11. Citibank
4. Banco Internacional del Peru-Interbank12. Banco Ripley
5. Mibanco13. Banco de Comercio
6. Banco Interamericano de Finanzas14. Banco Azteca Perú
7. Banco Financiero15. Banco Cencosud
8. Banco GNB16. Banco ICBC
Source: Own elaboration.
Table 4. Technical Data.
Table 4. Technical Data.
CharacteristicsSurvey
Universe or target population Banking entities operating in Peru (offices)
Area geographical/temporalAll Peruvian territory/year 2016
Sample unitBank office
Sample size112 valid surveys
Sampling error/confidence level8.9% sampling error/95% confidence
Date of completion of field work1 April 2016 to 30 July 2016
RespondentManaging Director of Banking Office
Source: Own elaboration.
Table 5. Education Variables.
Table 5. Education Variables.
VariableInterpretation
ED1Importance of educational actions
ED2Number of educational actions with regional or municipal governments
ED3Number of other educational actions
ED4Impact level in the support to build schools
ED5Investment in educational actions
ED6Impact level in the support of scholarships
ED7Level of impact on support to hire teachers
Source: Own elaboration.
Table 6. Corporate Reputation Variables.
Table 6. Corporate Reputation Variables.
VariableInterpretation
CR1Perception of improvement of management quality, managerial ability and business leadership
CR2Stakeholder perception of corporate image
CR3Perception of improvement in product quality and customer satisfaction
CR4Stakeholder perception of confidence regarding competitors
Source: Own elaboration.
Table 7. Business Confidence Variables.
Table 7. Business Confidence Variables.
VariableInterpretation
BC1The assessment of the importance of the annual profit of the company
BC2The assessment of the importance of the creation of value for the stakeholders
BC3The assessment of the importance of the financial profitability of the company
BC4The importance of the feeling of confidence towards the company
BC5The valuation of the market share
BC6The perception about the evaluation that the clients give the company
BC7External factors
Source: Own elaboration.
Table 8. Descriptive Statistics.
Table 8. Descriptive Statistics.
NMinimumMaximumMeanStandard Deviation
ED1112154.290.890
ED2112154.130.950
ED3112154.140.931
ED4112154.240.964
ED5112154.230.937
ED6112153.740.712
ED7112153.770.671
CR1112253.780.650
CR2112253.730.632
CR3112253.810.685
CR4112154.111.011
BC1112254.480.657
BC2112254.330.848
BC3112254.300.893
BC4112354.260.815
BC5112154.220.884
BC6112254.130.985
BC7112253.911.067
Source: Own elaboration.
Table 9. Correlations.
Table 9. Correlations.
BC1BC2BC3BC4BC5BC6BC7ED1ED2ED3ED4ED5ED6ED7CR1CR2CR3CR4
BC11
BC20.71 **1
BC30.84 **0.77 **1
BC40.65 **0.65 **0.66 **1
BC50.82 **0.70 **0.76 **0.68 **1
BC60.78 **0.67 **0.75 **0.65 **0.75 **1
BC70.76 **0.71 **0.71 **0.73 **0.83 **0.83 **1
ED10.090.000.07−0.28 *−0.020.01−0.11 1
ED20.43 *0.36 *0.45 *0.340.520.40 *0.41 0.83 * 1
ED30.590.430.550.330.560.55 *0.46 0.80 ** 0.82 ** 1
ED40.46 *0.210.340.26 *0.430.460.32 * 0.80 ** 0.74 ** 0.85 ** 1
ED50.63 *0.36 *0.61 *0.360.120.60 *0.61 0.79 ** 0.78 ** 0.87 ** 0.78 ** 1
ED60.120.630.110.330.160.11 *0.66 0.57 ** 0.46 ** 0.48 ** 0.53 ** 0.56 ** 1
ED70.66 *0.210.360.26 *0.630.660.32 * 0.37 ** 0.31 ** 0.52 ** 0.45 ** 0.49 ** 0.57 ** 1
CR10.31 **0.020.21 **−0.040.120.24 *0.04 0.36 ** 0.37 ** 0.33 ** 0.44 ** 0.19 0.36 ** 0.06 1
CR20.110.32 **0.100.54 **0.27 *0.25 *0.45 ** 0.45 ** 0.37 ** 0.44 ** 0.38 ** 0.39 ** 0.17 0.09 0.34 * 1
CR30.23 **0.41 **0.23 *0.37 **0.41 **0.23 *0.43 ** 0.33 ** 0.31 ** 0.46 ** 0.47 ** 0.20 * 0.08 0.14 0.61 ** 0.50 ** 1
CR40.140.110.150.020.060.140.03 0.78 ** 0.75 ** 0.81 ** 0.73 ** 0.72 ** 0.46 ** 0.30 * 0.46 ** 0.55 ** 0.43 ** 1
** Correlation significant level 0.01 * Correlation significant level 0.05 Source: Own elaboration.
Table 10. Variance of factors.
Table 10. Variance of factors.
FactorsVariance Explained
136.67
220.18
318.03
Table 11. Rotated a Component Matrix.
Table 11. Rotated a Component Matrix.
Component
123
ED1 0.920 0.105 0.299
ED2 0.891 0.267 0.233
ED3 0.886 0.161 0.232
ED4 0.870 0.206 0.293
ED5 0.825 0.079 0.439
ED6 0.804 0.302 0.392
ED7 0.735 0.510 0.129
CR1 0.331 0.764 0.335
CR2 0.545 0.580 0.089
CR3 0.305 0.862 0.332
CR4 0.189 0.630 0.339
BC1 0.325 0.104 0.807
BC2 0.304 0.467 0.717
BC3 0.435 0.161 0.868
BC4 0.331 0.406 0.796
BC5 0.545 0.070 0.901
BC6 0.305 0.104 0.692
BC7 0.132 0.410 0.789
Extraction method: main component analysis. Rotation method: Varimax with Kaiser normalization. a. The rotation has turned into 8 iterations.
Table 12. Goodness-of-Fit summary for robust method.
Table 12. Goodness-of-Fit summary for robust method.
Satorra–Bentler-Scaled Chi-Squared59.6392Comparative Fit Index (CFI)0.92
Degrees of Freedom52Bollen’s (IFI) Fit Index0.93
p value0.163Mcdonald’s (MFI) Fit Index0.926
Bentler–Bonett Normed Fit Index0.928Root Mean Square Error of Aproximation (RMSEA)0.046
Bentler–Bonett Non-normed Fit Index0.91190% Confidence Interval of RMSEA(−0.002–0.09)
Publisher’s Note: MDPI stays neutral with regard to jurisdictional claims in published maps and institutional affiliations.

Share and Cite

MDPI and ACS Style

Bolaños, E.L.; Del Brío, J.; García-Gómez, C.D. CSR in Education on Business Confidence: Mediation Effect of Corporate Reputation in the Peruvian Banking Sector. Sustainability 2022, 14, 833. https://doi.org/10.3390/su14020833

AMA Style

Bolaños EL, Del Brío J, García-Gómez CD. CSR in Education on Business Confidence: Mediation Effect of Corporate Reputation in the Peruvian Banking Sector. Sustainability. 2022; 14(2):833. https://doi.org/10.3390/su14020833

Chicago/Turabian Style

Bolaños, Edmundo Lizarzaburu, Jesús Del Brío, and Conrado Diego García-Gómez. 2022. "CSR in Education on Business Confidence: Mediation Effect of Corporate Reputation in the Peruvian Banking Sector" Sustainability 14, no. 2: 833. https://doi.org/10.3390/su14020833

APA Style

Bolaños, E. L., Del Brío, J., & García-Gómez, C. D. (2022). CSR in Education on Business Confidence: Mediation Effect of Corporate Reputation in the Peruvian Banking Sector. Sustainability, 14(2), 833. https://doi.org/10.3390/su14020833

Note that from the first issue of 2016, this journal uses article numbers instead of page numbers. See further details here.

Article Metrics

Back to TopTop