Review on Ecological Response of Aquatic Plants to Balanced Harvesting
Abstract
1. Introduction
2. Water-Saving Effect
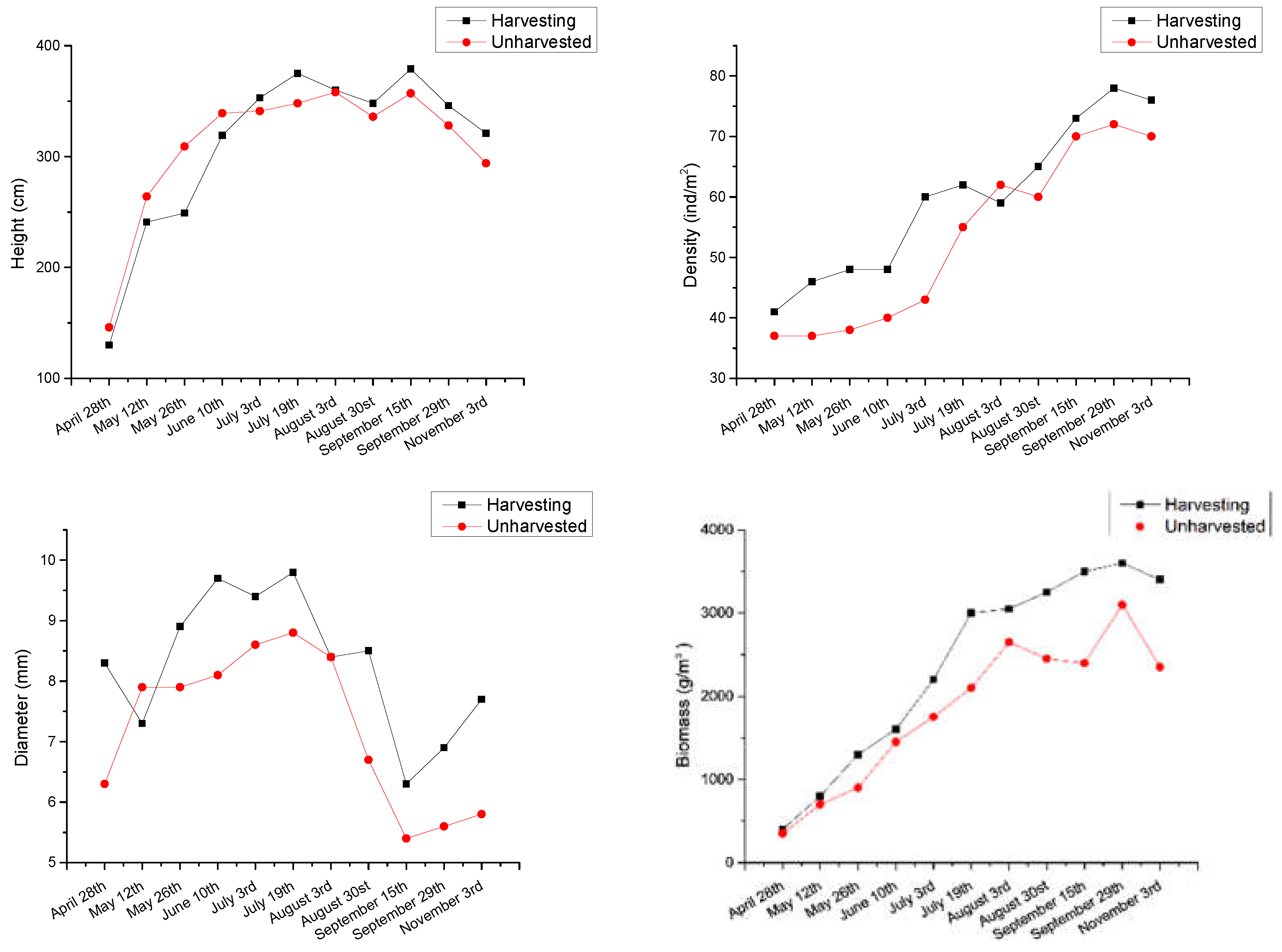
3. Effects on Plant Growth and Development
4. Purification Effect on Water Bodies
5. Maintaining Ecosystem Stability
5.1. Retard Swampy Succession
5.2. Influence on Homeostatic Transitions in Shallow Water Lakes
5.3. Influence on Ecosystem Stability
5.3.1. Influence on Primary Productivity Perpetuates Reproduction
5.3.2. Improving Local Biodiversity
5.3.3. Provide Habitat for Other Trophic Levels
6. Discussion
6.1. Ways of Balanced Harvesting
6.2. Timing of Balanced Harvesting
6.3. Methods of Balanced Harvesting
7. Conclusions and Outlook
Author Contributions
Funding
Institutional Review Board Statement
Informed Consent Statement
Data Availability Statement
Acknowledgments
Conflicts of Interest
References
- Shunsuke, M.; Yoriko, S.; Satoru, H.; Takashi, O. Fungal succession and decomposition of composted aquatic plants applied to soil. Fungal Biol. 2018, 35, 34–41. [Google Scholar]
- Di Nasso, N.N.; Angelini, L.G.; Bonari, E. Influence of fertilisation and harvest time on fuel quality of giant reed (Arundo donax L.) in central Italy. Eur. J. Agron. 2010, 32, 219–227. [Google Scholar] [CrossRef]
- Alam, S.N.; Singh, B.; Guldhe, A. Aquatic weed as a biorefinery resource for biofuels and value-addedproducts: Challenges and recent advancements. Clean. Eng. Technol. 2021, 4, 100235. [Google Scholar] [CrossRef]
- Hansson, P.; Fredriksson, H. Use of summer harvested commonreed (Phragmites australis) as nutrient source fororganiccrop productionin Sweden. Agric. Ecosyst. Environ. 2004, 102, 365–375. [Google Scholar] [CrossRef]
- Schmidt, M.H.; Lefebvre, G.; Poulin, B. Reed cutting affectsarthropod communities, potentially reducing food for passerinebirds. Biol. Conserv. 2005, 121, 157–166. [Google Scholar] [CrossRef]
- Yang, Z.F.; Sun, T.; Wang, Q. Balanced Harvesting Ecological Water Conservation Technology; Patent for Invention, State Intellectual Property Office of the People’s Republic of China: Beijing, China, 2010.
- Wang, M.Y. Effects of Different Management Modes on Growth Characteristics and Ecological Functions of Reed in Baiyangdian; Hebei University: Baoding, China, 2019. [Google Scholar]
- Yang, C. Ecology; Higher Education Press: Beijing, China, 2008. [Google Scholar]
- Cheng, Z.Q.; Zhang, K.B.; Sun, X.W.; Zhang, B.B.; Zhao, Y.; Wang, X. Response of vegetation characteristics and diversity to disturbance in agro pastoral ecotone. J. Jiangxi Agric. Univ. 2011, 33, 743–748. [Google Scholar]
- Zhao, N. Effects of burning, cutting and raking on the rejuvenation of Kentucky bluegrass. Grassl. Lawn 2016, 36, 81–86. [Google Scholar]
- Wang, W.; Jia, Y.S.; Zhou, T.R.; Yin, Q. Effects of cutting measures on soluble sugar content and regreening rate in alfalfa roots. Feed Ind. 2015, 36, 31–34. [Google Scholar]
- Zuo, J.C.; He, F.; Ma, J.M.; Zhou, Q.H.; Ceng, L.; Kong, L.W.; Hu, S.H.; Wu, Z.B. Effects of medium intensity harvesting on interspecific competition between Potamogeton crispus and Elodea nuttallii. Chin. J. Ecol. 2014, 33, 2414–2419. [Google Scholar]
- Wu, X.D. Effects of Water Level and Harvesting on Submerged Plant Growth; Nanjing Normal University: Nanjing, China, 2012. [Google Scholar]
- Yan, Y.T.; Gu, H.H.; Li, T.Y.; He, C.Y.; Yang, Y.H.; Wang, S.; Huang, B.B. Ecological response of Potamogeton crispus management in reclaimed water river. Acta Sci. Circumstantiae 2022, 42, 1–10. [Google Scholar]
- Andersen, L.H.; Nummi, P.; Rafn, J.; Frederiksen, C.M.S.; Kristjansen, M.P.; Lauridsen, T.L.; Trøjelsgaard, K.; Pertoldi, C.; Bruhn, D.; Bahrndorff, S. Can reed harvest be used as a management strategy for improving invertebrate biomass and diversity? J. Environ. Manag. 2021, 300, 113637. [Google Scholar] [CrossRef]
- Wu, Z.B. Aquatic Plants and Ecological Restoration of Water Bodies; Science Press: Beijing, China, 2011. [Google Scholar]
- Tang, Y. Study on the Purification Function of Typical Aquatic Plants on Nitrogen and Phosphorus in Water Bodies; East China Normal University: Shanghai, China, 2020. [Google Scholar]
- Irfanullah, H.M.; Moss, B. Factors influencing the return of submerged plants to a clear-water, shallow temperate lake. Aquat. Bot. 2004, 80, 177–191. [Google Scholar] [CrossRef]
- Wang, S.R.; Jin, X.C.; Zhao, H.C.; Wu, F.C. Phosphate biosorption characteristics of a submerged macrophyte Hydrilla verticillata. Aquat. Bot. 2008, 89, 23–26. [Google Scholar] [CrossRef]
- Li, E.H.; Li, W.; Liu, G.H.; Yuan, L.Y. The effect of different submerged macrophyte species and biomass on sediment resuspension in a shallow freshwater lake. Aquat. Bot. 2008, 88, 121–126. [Google Scholar] [CrossRef]
- Yu, H.B.; Yang, Z.J.; Xiao, R.L.; Zhang, S.N.; Liu, F.; Xiang, Z.X. Study on nitrogen and phosphorus absorption capacity and harvest management of aquatic plants. J. Prataculture 2013, 22, 294–299. [Google Scholar]
- Zhang, F. Study on the Purification Law and Influence Effect of Dominant Submerged Plants on Eutrophic Water in Baiyangdian; Hebei Agricultural University: Baoding, China, 2012. [Google Scholar]
- Verhofstad, M.J.J.M.; Poelen, M.V.; Van Kempen MM, L.; Bakker, E.S.; Smolders, A.J.P. Finding the harvesting frequency to maximize nutrient removal in a constructed wetland dominated by submerged aquatic plants. Ecol. Eng. 2017, 106, 423–430. [Google Scholar] [CrossRef]
- Qiu, X.T.; Xu, C.; Yin, X.A.; Liu, H.R.; Yang, X.S. Analysis on the influence of water quality and quantity regulation on the conversion process of grass and algae in shallow lakes. J. Beijing Norm. Univ. (Nat. Sci. Ed.) 2020, 50, 683–692. [Google Scholar]
- Liu, B.W.; Zhang, M.S.; Huo, G.L.; Hou, J.L. Study on the development and utilization of submerged plants in Wuliangsuhai. West. Resour. 2012, 61–62. [Google Scholar]
- Hou, F.X.; Deng, F.; Zhang, Q.R.; Shang, S.Y.; Ma, Q.Y. Biological siltation promotion and development and utilization of sediment resources in Wuliangsuhai, Inner Mongolia. J. Northeast For. Univ. 2005, 33, 81–82+97. [Google Scholar]
- Diao, X.J.; Huang, C.H.; He, L.S.; Meng, R.; Meng, F.L.; Shu, J.M.; Yuan, D.H. Differences and influencing factors of submerged plant community structure between grass type and algae type lakes in Baiyangdian. Wetl. Sci. 2013, 11, 366–370. [Google Scholar]
- Qian, K.R.; Ma, Z.L.; Li, R.H.; Chen, B.B.; Wang, M.; Zhu, S.N.; Rong, M.W.; Qin, W.L. Research progress of plant allelopathy—Taking the inhibition of Microcystis aeruginosa growth as an example. Biotechnol. Bull. 2021, 37, 52–68. [Google Scholar]
- Liu, W.Z.; Zhang, X.F.; Chen, F.Z.; Du, Y.X.; Guan, B.H.; Yu, J.L.; He, H.; Zhang, Y.D. Response and steady-state transformation mechanism of benthic open habitat coupling to eutrophication in shallow lakes: Enlightenment to lake restoration. Lake Sci. 2020, 32, 1–10. [Google Scholar]
- Xiao, X.; Lou, L.P.; Li, H.; Chen, Y.X. Review on Allelopathy and algae control ability of submerged plants. J. Appl. Ecol. 2009, 20, 705–712. [Google Scholar]
- Li, B.C. Experimental Study on the Regulation of Algae and Nutrients by Aquatic Plants in Baiyangdian; Southwest Jiaotong University: Chengdu, China, 2009. [Google Scholar]
- Yang, B.; Liu, L.; Zhang, Q. Survey of biological resources in the Ulansu Sea and its resource utilization. Ind. Innov. Res. 2022, 14, 34–36. [Google Scholar]
- Hilt, S.; Gross, E.M. Can allelopathically active submerged macrophytes stabilise clear water states in shallow lakes. Basic Appl. Ecol. 2008, 9, 422–432. [Google Scholar] [CrossRef]
- Chen, K.N.; Qiang, S.; Li, W.C.; Wu, Q.L.; Hu, Y.H. Study on reproductive diversity of castor toothed eye. J. Plant Ecol. 2003, 27, 672–676. [Google Scholar]
- Ayato, K.; Koichi, S.; Akio, I. Efects of macrophyte harvesting on the water quality and bottom environment of Lake Biwa, Japan. Limnology 2018, 20, 83–92. [Google Scholar]
- Luo, J.H.; Pu, R.L.; Duan, H.T.; Ma, R.H.; Mao, Z.G.; Zeng, Y.; Huang, L.S.; Xiao, Q.T. Evaluating the inflfluences of harvesting activity and eutrophication on loss of aquatic vegetations in Taihu Lake, China. Int. J. Appl. Earth Obs. Geoinf. 2020, 87, 102038. [Google Scholar]
- Zuo, J.C.; Liang, W.; Xu, D.; He, F.; Zhou, Q.H.; Wu, Z.B. Study on growth recovery of verticillata verticillata under several harvesting strategies. J. Agric. Environ. Sci. 2011, 30, 1391–1397. [Google Scholar]
- Xu, W.W.; Hu, W.P.; Deng, J.C.; Zhu, J.G.; Li, Q.Q. Effects of harvest management of Trapa bispinosa on an Aquatic macrophyte community and water quality in a eutrophic lake. Ecol. Eng. 2014, 64, 120–129. [Google Scholar] [CrossRef]
- Xu, W.W.; Hu, W.P.; Deng, J.C. How do water depth and harvest intensity affect the growth and reproduction of Elodea nuttallii (Planch.) St. John. J. Plant Ecol. 2016, 92, 212–223. [Google Scholar] [CrossRef][Green Version]
- Chen, Y.; Peng, K.; Zhang, Q.J.; Zhang, Y.Z.; Gong, Z.J.; Xiang, X.L. Temporal and spatial distribution characteristics and driving factors of zooplankton in Hongze Lake. Environ. Sci. 2021, 42, 3753–3762. [Google Scholar]
- Sun, Y.; Deng, C.S.; Lu, C.H. Effects of reed harvesting on bird diversity and spatial distribution in Taihu Lake National Wetland Park in winter. Wetl. Sci. 2014, 12, 697–720. [Google Scholar]
- Zhang, J.W.; Xie, J.; Li, Z.F. Phytoplankton community structure and changes under different submerged plant coverage in Baiyangdian. J. Water Ecol. 2021, 42, 75–83. [Google Scholar]
- Wang, J.L.; Chen, G.F.; Fu, Z.S.; Qiao, H.X.; Liu, F.X. Assessing wetland nitrogen removal and reed (Phragmites australis) nutrient responses for the selection of optimal harvest time. J. Environ. Manag. 2021, 280, 111783. [Google Scholar] [CrossRef]
- Zhao, J.G.; Liu, J.; Li, H.B.; Yan, D.H.; Tong, J.K.; Liu, C.Q. Research on the current situation and development of Baiyangdian ecological protection under the background of national park construction. Environ. Ecol. 2021, 4, 14–18. [Google Scholar]
- Li, S.J.; Hu, Z.; Zhang, J. Review on plant management and high value utilization of constructed wetland. Environ. Pollut. Prev. 2017, 39, 432–438. [Google Scholar]
- Zhao, H.Y. Baiyangdian Reed Has New “Troubles” and There Are Many Solutions in Xiong’an New Area. Xinhua Daily Telegraph, 22 July 2021. [Google Scholar]






Publisher’s Note: MDPI stays neutral with regard to jurisdictional claims in published maps and institutional affiliations. |
© 2022 by the authors. Licensee MDPI, Basel, Switzerland. This article is an open access article distributed under the terms and conditions of the Creative Commons Attribution (CC BY) license (https://creativecommons.org/licenses/by/4.0/).
Share and Cite
Zhao, J.; Liu, C.; Li, H.; Liu, J.; Jiang, T.; Yan, D.; Tong, J.; Dong, L. Review on Ecological Response of Aquatic Plants to Balanced Harvesting. Sustainability 2022, 14, 12451. https://doi.org/10.3390/su141912451
Zhao J, Liu C, Li H, Liu J, Jiang T, Yan D, Tong J, Dong L. Review on Ecological Response of Aquatic Plants to Balanced Harvesting. Sustainability. 2022; 14(19):12451. https://doi.org/10.3390/su141912451
Chicago/Turabian StyleZhao, Jianguo, Cunqi Liu, Hongbo Li, Jing Liu, Tiantian Jiang, Donghua Yan, Jikun Tong, and Li Dong. 2022. "Review on Ecological Response of Aquatic Plants to Balanced Harvesting" Sustainability 14, no. 19: 12451. https://doi.org/10.3390/su141912451
APA StyleZhao, J., Liu, C., Li, H., Liu, J., Jiang, T., Yan, D., Tong, J., & Dong, L. (2022). Review on Ecological Response of Aquatic Plants to Balanced Harvesting. Sustainability, 14(19), 12451. https://doi.org/10.3390/su141912451
