Exploration of the Fluorescence Property of Acrylic Fibers Dyed with the Residues Extract of Juglans regia Barks
Abstract
1. Introduction
2. Materials and Methods
2.1. Preparation of Plant Material
2.2. Extraction Assisted by Microwave
2.3. Microwave Dyeing Process
2.4. Dyeing Quality Evaluation
2.5. Evaluation of the Photoluminescence
2.6. Dyeing Fastness Properties
2.7. Description of the Mordanting Process
2.8. Statistical Analysis
3. Results and Discussion
3.1. Bark Residues of Juglans regia Extract Identification by Photoluminescence Spectroscopy
3.1.1. Microwave Power Effect
- −
- Effect of microwave power on colorimetric coordinates and color strength:
- −
- Effect of microwave power on photoluminescence
3.1.2. Effect of Dyeing Duration
- −
- Effect of duration on colorimetric coordinates and color strength. Results are shown in Table 2.
- −
- Effect of dyeing duration on photoluminescence
3.1.3. Effect of the Dye Bath pH
- −
- Effect of pH on colorimetric coordinates and color strength (Table 3).
- −
- Effect of pH on photoluminescence
3.2. Optimization of Microwave Dyeing Process
3.2.1. Establishment of Regression Equations
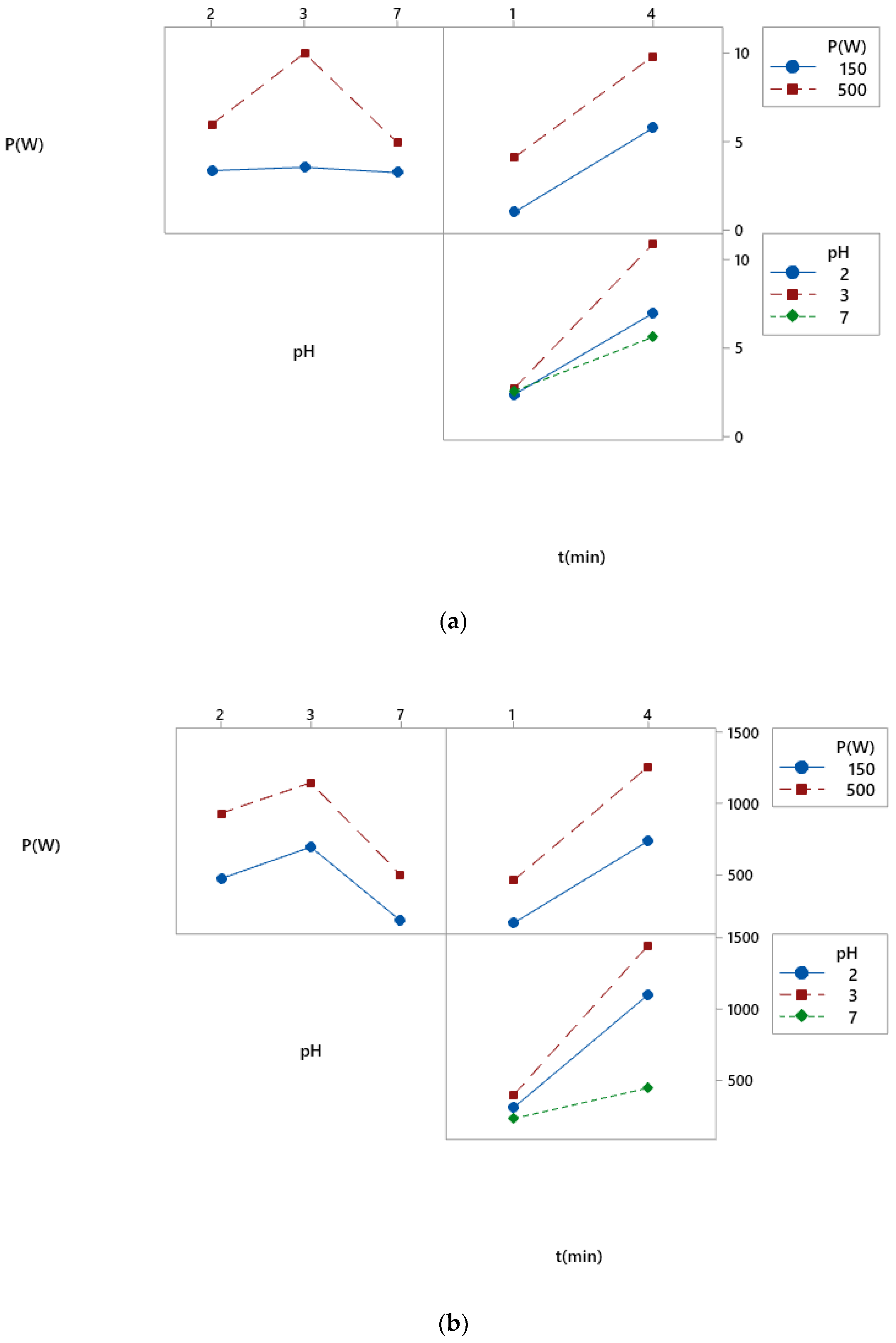
3.2.2. Study of the Main Effect Diagrams
- The microwave power positively affected the dyeing quality from 150 to 500 W;
- For a duration of 1 to 4 min, the duration improved the dyeing properties of textiles;
- By going from pH 2 to pH 3, the dyeing properties of acrylic were concerned. This effect became rather important from a neutral pH, so the acidic pH was the best for acrylic dyeing.
- The power positively affected the photoluminescence intensity from 150 to 500 W;
- From a duration of 1 to 4 min, the duration positively affected the photoluminescence intensity;
- The pH strongly affected the photoluminescence intensity by going from 2 to 3. This effect became rather important from a neutral pH.
3.2.3. Study of Interaction Diagrams
3.2.4. Response Optimization
3.2.5. Model Validation
3.3. Fastness Properties of Optimum Dyed Fabrics
3.4. Effect of Mordanting on Dyeing Quality
3.4.1. Stain of Acrylic with Simultaneous Mordanting
3.4.2. Stain of Acrylic with Subsequent Mordanting
3.4.3. Effect of Mordanting on Color Fastness
4. Conclusions
Author Contributions
Funding
Institutional Review Board Statement
Informed Consent Statement
Data Availability Statement
Acknowledgments
Conflicts of Interest
References
- Wissgott, U.; Bortlik, K. Prospects for new natural food colorants Trends. Food Sci. Technol. 1996, 7, 298–302. [Google Scholar] [CrossRef]
- Gouila, H.; Meksi, N.; Haddar, W.; Mhenni, M.F.; Jannet, H.B. Extraction, identification and dyeing studies of Isosalipurposide, a natural chalcone dye from Acacia cyanophylla flowers on wool. Ind. Crops Prod. 2012, 35, 31–36. [Google Scholar] [CrossRef]
- Vankar, P.S.; Rakhi, S.; Samudrika, W. Dyeing of cotton, wool and silk with extract of Allium cepa. Pigment Resin Technol. 2009, 38, 242–247. [Google Scholar] [CrossRef]
- Kamel, M.; El-Shishtawy, R.M.; Youssef, B.M.; Mashaly, H. Ultrasonic assisted dyeing: III. Dyeing of wool with lac as a natural dye. Dye. Pigment. 2005, 73, 103–110. [Google Scholar] [CrossRef]
- Montazer, M.; Parvinzadeh, M. Dyeing of wool with Marigold and its properties. Fiber. Polym. 2007, 8, 181–185. [Google Scholar] [CrossRef]
- Ben Ticha, M.; Haddar, W.; Meksi, N.; Guesmi, A.; Mhenni, M.F. Improving dyeability of modified cotton fabrics by the natural aqueous extract from red cabbage using ultrasonic energy. Carbohydr. Polym. 2016, 154, 287–295. [Google Scholar] [CrossRef]
- Ben Ticha, M.; Meksi, N.; Drira, N.; Mhenni, M.F. Clean Process: Reducing indigo by using environmentally friendly 3-hydroxybutanone on dyed cotton modified with Denitex BC 200%. Res. J. Text. Appar. 2015, 19, 16–25. [Google Scholar] [CrossRef]
- Bouatay, F.; Meksi, N.; Slah, F.; Mhenni, M.F. Chemical Modification of Cellulosic Fibers Using Eco-Friendly Compounds to Improve Dyeing with Cationic Dyes. J. Text. Sci. Eng. 2014, 4, 1000153. [Google Scholar]
- Bouatay, F.; Meksi, N.; Adeel, S.; Salah, F.; Mhenni, M.F. Dyeing Behavior of the Cellulosic and Jute Fibers with Cationic Dyes: Process Development and Optimization Using Statistical Analysis. J. Nat. Fibers 2016, 13, 423–436. [Google Scholar] [CrossRef]
- Meksi, N.; Ben Ticha, M.; Kechida, M.; Mhenni, M.F. Using of ecofriendly α-hydroxycarbonyls as reducing agents to replace sodium dithionite in indigo dyeing processes J. Clean. Prod. 2012, 24, 149–158. [Google Scholar] [CrossRef]
- Ben Ticha, M.; Meksi, N.; Drira, N.; Mhenni, M.F. The synergetic effect of α-hydroxycarbonyls mixtures used as green reducing agent on the indigo dyeing process. Chem. Ind. Chem. Eng. Q. 2014, 20, 463–470. [Google Scholar]
- Chaieb, K.; Kouidhi, B.; Slama, R.B.E.N.; Fdhila, K.; Zmantar, T.; Bakhrouf, A. Cytotoxicity, Antibacterial, antioxydant, and biofilm properties of tunisian Juglans regia bark extract. Herbs Spices Med. Plants 2013, 19, 168–179. [Google Scholar] [CrossRef]
- Haji, A.; Quavamnia, S.S.; Nasiriboroumand, M. The use of D-optimal design in optimization of wool dyeing with Juglans rewgia bark. Ind. Text. 2018, 69, 104–110. [Google Scholar]
- Guesmi, A.; Ben Hamadi, N.; Ladhari, N.; Sakli, F. Sonicator dyeing of modified acrylic fabrics with indicaxanthin natural dye. Ind. Crop. Prod. 2013, 42, 63–69. [Google Scholar] [CrossRef]
- Tiwari, V.; Vankar, P.S. Unconventiontional natural dyeing using microwave and sonicator with alkanet root bark. Colourage 2001, 48, 25–28. [Google Scholar]
- Kubelka, P.; Munck, F. Ein beitrag zur optik der farbanstriche. Z. Tech. Phys. 1931, 12, 593–601. [Google Scholar]
- Davidson, R.S. The photodegradation of some naturally occurring polymers. J. Photochem. Photobiol. B Biol. 1931, 33, 3–25. [Google Scholar] [CrossRef]
- Clementi, C.; Miliani, C.; Romani, A.; Favaro, G. In situ fluorimetry: A powerful non-invasive diagnostic technique for natural dyes used in artefacts. Part I. Spectral characterization of orcein in solution, on silk and wool laboratory-standards and a fragment of Renaissance tapestry. Spectrochim. Acta A Mol. Biomol. Spectrosc. 2006, 64, 906–912. [Google Scholar] [CrossRef]
- Deo, H.T.; Paul, R. Dyeing of ecru denim with onion extract using mordant combination. Indian J. Fibre Text. Res. 2000, 25, 152–157. [Google Scholar]
- Gandía-Herrero, F.; García-Carmona, F.; Escribano, J. Fluorescent pigments: New perspectives in betalain research and applications. Food Res. Int. 2005, 38, 879–884. [Google Scholar] [CrossRef]
- Haddar, W.; Elkssibi, I.; Meksi, N.; Mhenni, F. Valorisation of the leaves of fennel (Foeniculum Vulgare) as natural dyes fixed on modified cotton: A dyeing process optimisation based on a response surface methodology. Ind. Crops Prod. 2014, 52, 588–596. [Google Scholar] [CrossRef]
- Shah, A.R.; Tahir, H.; Ullah, H.M.K.; Adnan, A. Optimization of Electrocoagulation Process for the Removal of Binary Dye Mixtures Using Response Surface Methodology and Estimation of Operating Cost. Open J. Appl. Sci. 2017, 7, 458–484. [Google Scholar] [CrossRef]
- Rosa, S. Optimal experimental designs for treatment contrasts in heteroscedastic models with covariates. J. Stat. Plan. Inference 2020, 12, 280–291. [Google Scholar] [CrossRef]







| Power (W) | L* | a* | b* | c* | h* | Samples |
|---|---|---|---|---|---|---|
| p = 160 | 82.69 | −9.45 | 56.32 | 62.04 | 98.6 | ![]() |
| p = 350 | 80.10 | −8.87 | 5.27 | 59.94 | 98.51 | ![]() |
| p = 500 | 69.69 | −8.52 | 59.32 | 53.03 | 99.24 | ![]() |
| p = 650 | 65.19 | −7.50 | 73.51 | 73.80 | 98.82 | ![]() |
| p = 850 | 63.27 | −7.84 | 75.26 | 53.83 | 97.49 | ![]() |
| Duration (min) | L* | a* | b* | c* | h* | Samples |
|---|---|---|---|---|---|---|
| t = 0.5 | 85.64 | −2.81 | 19.06 | 19.27 | 98.37 | ![]() |
| t = 1 | 82.52 | −6.11 | 38.35 | 38.83 | 99.05 | ![]() |
| t = 2 | 82.65 | −9.57 | 64.48 | 65.2 | 98.43 | ![]() |
| t = 3 | 76.09 | −7.76 | 70.52 | 70.94 | 96.28 | ![]() |
| t = 4 | 67.81 | −6.98 | 62.57 | 73.18 | 82.03 | ![]() |
| t = 5 | 73.39 | −7.02 | 72.36 | 72.7 | 95.54 | ![]() |
| t = 6 | 72.61 | −7.60 | 61.57 | 62.61 | 97.02 | ![]() |
| pH | L* | a* | b* | c* | h* | Samples |
|---|---|---|---|---|---|---|
| pH = 2 | 73.38 | −5.41 | 61.39 | 61.62 | 95.03 | ![]() |
| pH = 3 | 74.61 | −6.05 | 72.07 | 72.35 | 94.79 | ![]() |
| pH = 5 | 79.90 | −8.90 | 64.47 | 65.09 | 97.85 | ![]() |
| pH = 7 | 79.79 | −8.95 | 61.09 | 61.73 | 98.33 | ![]() |
| pH = 9 | 78.13 | −8.57 | 69.31 | 64.85 | 97.97 | ![]() |
| pH = 11 | 86.50 | −11.95 | 54.72 | 56.05 | 102.31 | ![]() |
| Factors | Responses | |||||
|---|---|---|---|---|---|---|
| Num | P(W) | pH | t (min) | K/S | PL (u.a) | |
| 1 | 150 | 3 | 1 | 1.18 | 229.41 | |
| 2 | 150 | 7 | 1 | 0.85 | 120.62 | |
| 3 | 150 | 2 | 1 | 0.90 | 139.27 | |
| 4 | 150 | 2 | 4 | 5.80 | 814.08 | |
| 5 | 500 | 3 | 1 | 4.20 | 563.36 | |
| 6 | 150 | 7 | 4 | 5.62 | 240.06 | |
| 7 | 500 | 7 | 1 | 4.25 | 347.06 | |
| 8 | 150 | 3 | 4 | 5.90 | 1168.00 | |
| 9 | 500 | 2 | 1 | 3.80 | 477.17 | |
| 10 | 500 | 3 | 4 | 15.82 | 1732.16 | |
| 11 | 500 | 2 | 4 | 8.10 | 1392.98 | |
| 12 | 500 | 7 | 4 | 5.60 | 657.33 | |
| Sample | Light (Note/8) | Wash (Note/5) |
|---|---|---|
![]() | 5 | 4 |
| Mordant | L* | a* | b* | c* | h* | K/S | Samples | |
|---|---|---|---|---|---|---|---|---|
| Without mordanting | ----- | 59.43 | −0.67 | 31.72 | 71.89 | 90.66 | 13.7 | ![]() |
| Simultaneous mordanting | Iron chloride | 36.26 | −2.8 | 7.58 | 13.73 | 107.43 | 13.4 | ![]() |
| Mimosa | 68.02 | −4.5 | 35.93 | 72.41 | 94.11 | 21.12 | ![]() | |
| Tannic acid | 65.86 | −3.35 | 33.42 | 57.23 | 96.21 | 17 | ![]() | |
| Zinc chloride | 47.92 | 5.49 | 11.33 | 19.35 | 68.86 | 12.6 | ![]() | |
| Pre mordanting | Iron chloride | 39.88 | −3.12 | 13.83 | 26.93 | 99.49 | 15.2 | ![]() |
| Mimosa | 61.01 | −2.29 | 28.42 | 53.67 | 92.93 | 15.8 | ![]() | |
| Tannic acid | 64.77 | −2.94 | 32.2 | 62.36 | 93.17 | 15 | ![]() | |
| Zinc chloride | 47.52 | 4.33 | 11.6 | 19.4 | 73.43 | 12.8 | ![]() |
| Mordant | Light Fastness (Note/8) | Washing Fastness (Note/5) | |
|---|---|---|---|
| Without mordanting | --- | 4 | 3–4 |
| Simultaneous mordanting | Iron chloride | 6 | 4–5 |
| Mimosa | 6–7 | 4–5 | |
| Tannic acid | 6 | 4–5 | |
| Zinc chloride | 5 | 4 | |
| Pre-mordanting | Iron chloride | 5 | 4 |
| Mimosa | 6 | 4 | |
| Tannic acid | 6 | 4 | |
| Zinc chloride | 5 | 4 |
Publisher’s Note: MDPI stays neutral with regard to jurisdictional claims in published maps and institutional affiliations. |
© 2022 by the authors. Licensee MDPI, Basel, Switzerland. This article is an open access article distributed under the terms and conditions of the Creative Commons Attribution (CC BY) license (https://creativecommons.org/licenses/by/4.0/).
Share and Cite
Slama, N.; Ben Ticha, M.; Smiri, B.; Dhaouadi, H. Exploration of the Fluorescence Property of Acrylic Fibers Dyed with the Residues Extract of Juglans regia Barks. Sustainability 2022, 14, 12275. https://doi.org/10.3390/su141912275
Slama N, Ben Ticha M, Smiri B, Dhaouadi H. Exploration of the Fluorescence Property of Acrylic Fibers Dyed with the Residues Extract of Juglans regia Barks. Sustainability. 2022; 14(19):12275. https://doi.org/10.3390/su141912275
Chicago/Turabian StyleSlama, Nourhene, Manel Ben Ticha, Badreddine Smiri, and Hatem Dhaouadi. 2022. "Exploration of the Fluorescence Property of Acrylic Fibers Dyed with the Residues Extract of Juglans regia Barks" Sustainability 14, no. 19: 12275. https://doi.org/10.3390/su141912275
APA StyleSlama, N., Ben Ticha, M., Smiri, B., & Dhaouadi, H. (2022). Exploration of the Fluorescence Property of Acrylic Fibers Dyed with the Residues Extract of Juglans regia Barks. Sustainability, 14(19), 12275. https://doi.org/10.3390/su141912275





























