Duncan–Chang E-υ Model Considering the Thixotropy of Clay in the Zhanjiang Formation
Abstract
1. Introduction
2. Materials and Methods
2.1. Experimental Study of the Thixotropy of Clay
2.1.1. Effect of Thixotropy on the Shear Strength of Clay
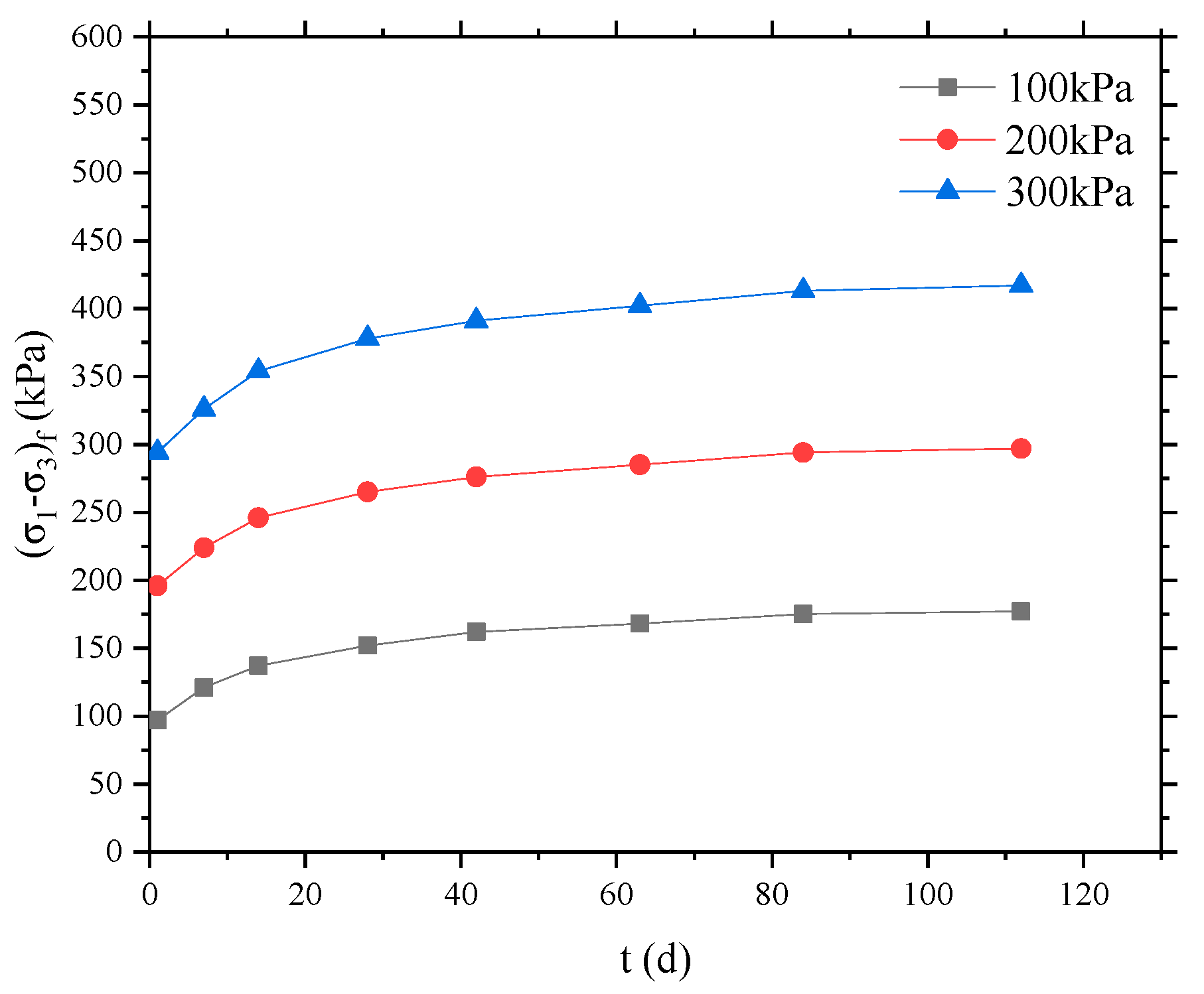
2.1.2. Effect of Thixotropy on the Deformation Properties of Clay
2.2. Duncan–Chang Model Considering Thixotropy
2.2.1. Deviatoric Stress–Axial Strain Relationship Considering Thixotropy
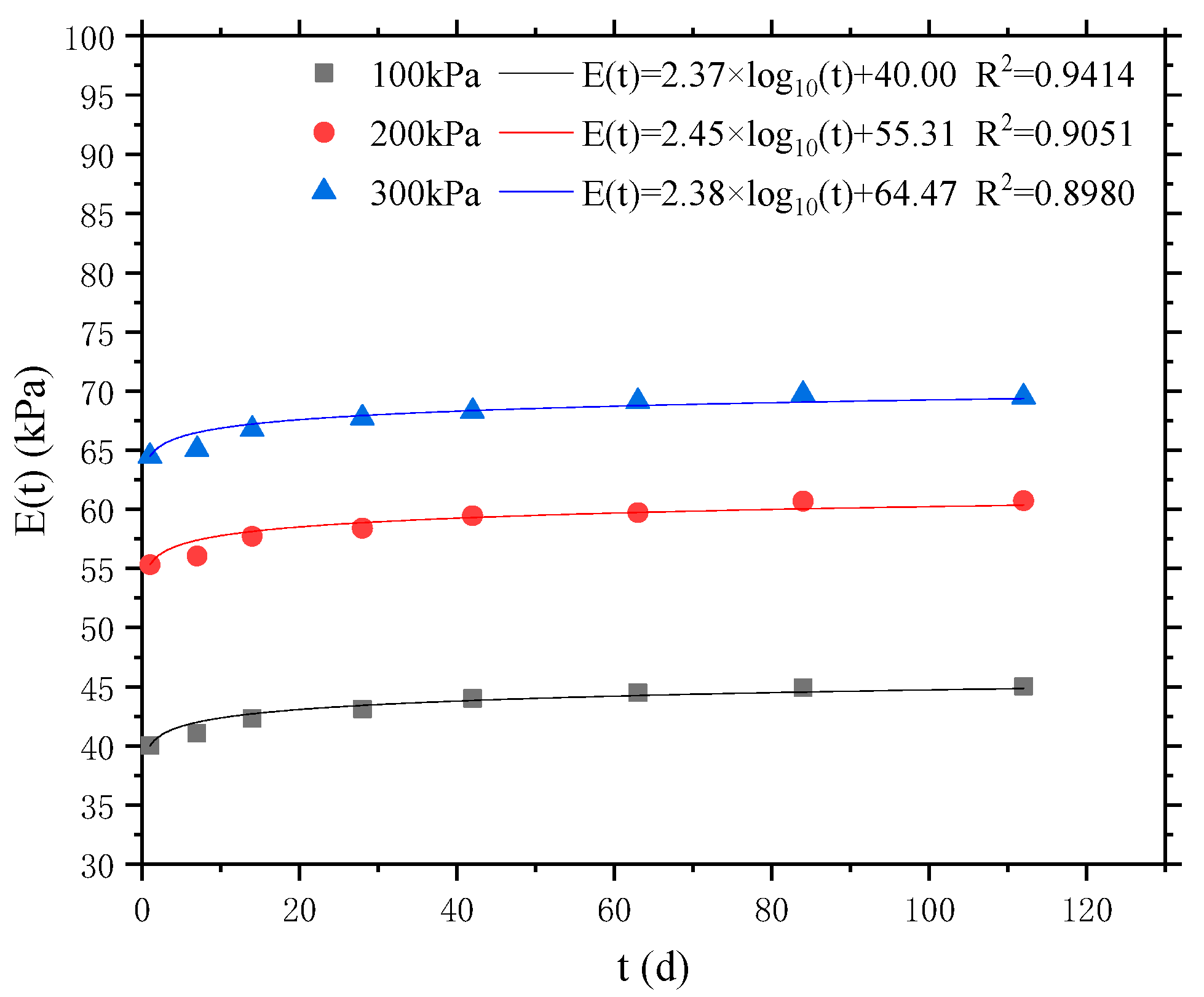
2.2.2. Determination of Tangential Modulus
2.2.3. Volume Strain–Axial Relationship Curves
2.2.4. Determination of Tangential Poisson’s Ratio
3. Discussion and Validations of the Results
3.1. Discussion of the Results
3.2. Model Validations
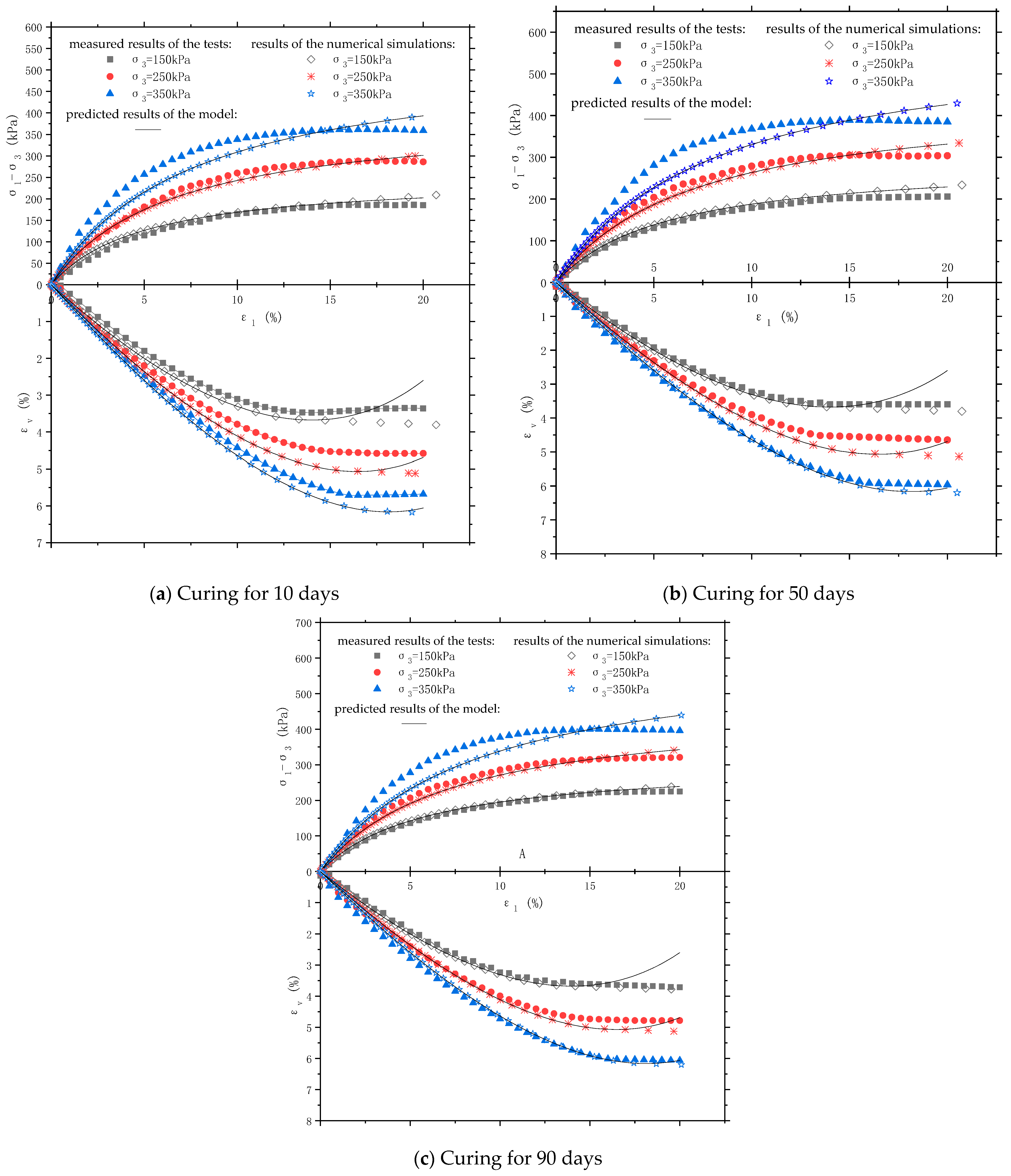
3.2.1. Experimental Validations
3.2.2. Numerical Simulation Validations
4. Conclusions
- (1)
- The shear strength, cohesion, and angle of internal friction of the clay gradually increases directly with the increase in the maintenance time, eventually stabilizing. Among these given factors, the relationship between cohesion, angle of internal friction, and maintenance time can all be expressed using a logarithmic function.
- (2)
- The initial tangent modulus of the clay gradually increases in harmony with the increase in the maintenance time before eventually reaching stabilization; the relationship between the initial tangent modulus and the maintenance time can also be expressed using a logarithmic function.
- (3)
- Compared with the Duncan–Chang model not considering thixotropy, the thixotropic model that was applied in this paper can more accurately reflect the influence of clay thixotropy on the clay stress–strain relationship, given its smaller mean relative error.
Author Contributions
Funding
Institutional Review Board Statement
Informed Consent Statement
Data Availability Statement
Acknowledgments
Conflicts of Interest
References
- Ren, Y.; Yang, S.; Andersen, K.H.; Yang, Q.; Wang, Y. Thixotropy of soft clay: A review. Eng. Geol. 2021, 287, 106097. [Google Scholar] [CrossRef]
- Cheng, W.C.; Li, G.; Liu, N.; Xu, J.; Horpibulsuk, S. Recent massive incidents for subway construction in soft alluvial deposits of Taiwan: A review. Tunn. Undergr. Space Technol. 2020, 96, 103178.1–103178.18. [Google Scholar] [CrossRef]
- Al-Janabi, H.A.; Aubeny, C.P. Experimental measurement of thixotropy and sensitivity in gulf of Mexico clay. In Proceedings of the International Society of Offshore and Polar Engineers, Honolulu, HI, USA, 16–21 June 2019. [Google Scholar]
- Ruge, J.C.; Molina-Gómez, F.; Rojas, J.P. Thixotropic behaviour study of clayey soils from the lacustrine deposits of Bogotá high plateau. J. Phys. Conf. Ser. 2019, 1386, 012050. [Google Scholar] [CrossRef]
- Kamil, A.S.; Aljorany, A.N. Thixotropic hardening of fao clay. J. Eng. 2019, 25, 68–78. [Google Scholar] [CrossRef][Green Version]
- Shahriar, A.R.; Jadid, R. An experimental investigation on the effect of thixotropic aging on primary and secondary compression of reconstituted dredged clays. Appl. Clay Sci. 2018, 162, 524–533. [Google Scholar] [CrossRef]
- Zeng, L.L.; Hong, Z.S.; Cui, Y.J. Time-dependent compression behaviour of dredged clays at high water contents in China. Appl. Clay Sci. 2016, 123, 320–328. [Google Scholar] [CrossRef]
- Yin, Z.Y.; Karstunen, M.; Chang, C.S.; Asce, M. Modeling time-dependent behavior of soft sensitive clay. J. Geotech. Geoenviron. Eng. 2011, 137, 1103–1113. [Google Scholar] [CrossRef]
- Tang, B.; Zhou, B.; Xie, L.; Yin, J. Evaluation method for thixotropy of clay subjected to unconfined compressive test. Front. Earth Sci. 2021, 9, 683454. [Google Scholar] [CrossRef]
- Zhang, X.W.; Kong, L.W.; Yang, A.W.; Sayem, H.M. Thixotropic mechanism of clay: A microstructural investigation. Soils Found. 2017, 57, 23–35. [Google Scholar] [CrossRef]
- Shahriar, A.R.; Abedin, M.Z.; Jadid, R. Thixotropic aging and its effect on 1-D compression behavior of soft reconstituted clays. Appl. Clay Sci. 2018, 153, 217–227. [Google Scholar] [CrossRef]
- Alam, M.K.; Shahriar, A.R.; Islam, M.S.; Abedin, M.Z. Experimental investigation on the strength and deformation aspects of thixotropic aging in reconstituted clays. Geotech. Geol. Eng. 2021, 39, 2471–2486. [Google Scholar] [CrossRef]
- Seng, S.; Tanaka, H. Properties of very soft clays: A study of thixotropic hardening and behavior under low consolidation pressure. Soils Found. 2012, 52, 335–345. [Google Scholar] [CrossRef]
- Dexter, A.R.; Horn, R.; Kemper, W.D. Two mechanisms for age-hardening of soil. J. Soil Sci. 1988, 39, 163–175. [Google Scholar] [CrossRef]
- Barnes, H.A. Thixotropy-a review. J. Non-Newton. Fluid Mech. 1997, 70, 1–33. [Google Scholar] [CrossRef]
- Dullaert, K.; Mewis, J. A structural kinetics model for thixotropy. J. Non-Newton. Fluid Mech. 2006, 139, 21–30. [Google Scholar] [CrossRef]
- Chao, Y.; Carter, J.P.; Sheng, D.; Sloan, S.W. An isotach elastoplastic constitutive model for natural soft clays. Comput. Geotech. 2016, 77, 134–155. [Google Scholar]
- Tang, B.; Zhou, B.; Xie, L.; Yin, J.; Zhao, S.; Wang, Z. Strength recovery model of clay during thixotropy. Adv. Civ. Eng. 2021, 2021, 8825107. [Google Scholar] [CrossRef]
- Landro, G.; Brumaud, C.; Plötze, M.L.; Winnefeld, F.; Habert, G. A fresh look at dense clay paste: Deflocculation and thixotropy mechanisms. Colloids Surf. A Physicochem. Eng. Asp. 2018, 539, 252-160. [Google Scholar] [CrossRef]
- Du, M.; Liu, P.; Wang, J.E.; Clode, P.L.; Liu, J.; Leong, Y.K. Colloidal forces, microstructure and thixotropy of sodium montmorillonite (SWy-2) gels: Roles of electrostatic and van der Waals forces. Appl. Clay Sci. 2020, 195, 105710. [Google Scholar] [CrossRef]
- Peng, J.; Luo, S.; Wang, D.; Ren, Y.; Zhang, G. Quantitative evaluation of thixotropy-governed microfabric evolution in soft clays. Appl. Clay Sci. 2021, 210, 106157. [Google Scholar] [CrossRef]
- Rinaldi, V.A.; Clariá, J.J. Time dependent stress–strain behavior of bentonite slurries; effect of thixotropy. Powder Technol. 2016, 291, 311–321. [Google Scholar] [CrossRef]
- Huo, H.F.; Qi, L.; Lei, H.Y.; Yu, G. Consideration and experimental study on thixotropy of Tianjin soft clay. Chin. J. Rock Mech. Eng. 2016, 35, 631–637. [Google Scholar]
- Zhang, X.W.; Kong, L.W.; Li, J.; Yang, A.W. Microscopic mechanism of strength recovery in thixotropic process of clay. Chin. J. Geotech. Eng. 2014, 36, 1407–1413. [Google Scholar]
- Shen, S.L.; Jiang, Y.Q.; Cai, F.X.; Xu, Y.S. Mechanisms of Property Changes of Soft Clays Around Deep Mixing Column. Chin. J. Rock Mech. Eng. 2005, 24, 4320–4327. [Google Scholar]
- Tang, B.; Xie, L.; Wang, W.; Zhou, B.H.; Gong, Y.X. Unconfined compressive strength and pore structure evolution law of structural clay after disturbance. Front. Earth Sci. 2022, 10, 932621. [Google Scholar] [CrossRef]
- Duncan, J.M.; Chang, C.Y. Nonlinear analysis of stress and strain in soils. J. Soil Mech. Found. Div. 1970, 96, 1629–1653. [Google Scholar] [CrossRef]











| φ0 | A | B | C | KE | n | D | G | F | Rf |
|---|---|---|---|---|---|---|---|---|---|
| 0.3311 | 9.466 | 0.02252 | 2.400 | 5.544 | 0.4314 | 0.01874 | 0.5921 | 0.1471 | 0.7500 |
| Curing Duration (Days) | 150 kPa | 250 kPa | 350 kPa |
|---|---|---|---|
| 10 | 0.01978 | 0.01602 | 0.01393 |
| 50 | 0.01915 | 0.01560 | 0.01361 |
| 90 | 0.01892 | 0.01545 | 0.01350 |
| Curing Duration (Days) | 150 kPa | 250 kPa | 350 kPa |
|---|---|---|---|
| 10 | 0.003954 | 0.002517 | 0.001846 |
| 50 | 0.003405 | 0.002234 | 0.001663 |
| 90 | 0.003236 | 0.002144 | 0.001603 |
| Curing Duration (Days) | 150 kPa | 250 kPa | 350 kPa |
|---|---|---|---|
| 10 | 8.11% | 3.44% | 9.87% |
| 50 | 6.89% | 5.37% | 10.61% |
| 90 | 4.23% | 4.72% | 9.33% |
| Curing Duration (Days) | 150 kPa | 250 kPa | 350 kPa |
|---|---|---|---|
| 10 | 30.53% | 11.72% | 6.60% |
| 50 | 9.41% | 6.47% | 4.09% |
| 90 | 10.27% | 4.88% | 5.75% |
| Duncan–Chang Model | 150 kPa | 250 kPa | 350 kPa |
|---|---|---|---|
| Not considering Thixotropy | 23.07% | 22.24% | 22.27% |
| Thixotropic | 4.23% | 4.72% | 9.33% |
Publisher’s Note: MDPI stays neutral with regard to jurisdictional claims in published maps and institutional affiliations. |
© 2022 by the authors. Licensee MDPI, Basel, Switzerland. This article is an open access article distributed under the terms and conditions of the Creative Commons Attribution (CC BY) license (https://creativecommons.org/licenses/by/4.0/).
Share and Cite
Tang, B.; Liu, T.; Zhou, B. Duncan–Chang E-υ Model Considering the Thixotropy of Clay in the Zhanjiang Formation. Sustainability 2022, 14, 12258. https://doi.org/10.3390/su141912258
Tang B, Liu T, Zhou B. Duncan–Chang E-υ Model Considering the Thixotropy of Clay in the Zhanjiang Formation. Sustainability. 2022; 14(19):12258. https://doi.org/10.3390/su141912258
Chicago/Turabian StyleTang, Bin, Tianli Liu, and Biaohe Zhou. 2022. "Duncan–Chang E-υ Model Considering the Thixotropy of Clay in the Zhanjiang Formation" Sustainability 14, no. 19: 12258. https://doi.org/10.3390/su141912258
APA StyleTang, B., Liu, T., & Zhou, B. (2022). Duncan–Chang E-υ Model Considering the Thixotropy of Clay in the Zhanjiang Formation. Sustainability, 14(19), 12258. https://doi.org/10.3390/su141912258

