Robust Decoupling Vector Control of Interior Permanent Magnet Synchronous Motor Used in Electric Vehicles with Reduced Parameter Mismatch Impacts
Abstract
1. Introduction
- (1)
- A deviation decoupling scheme is designed to linearize and decouple the IPMSM model, with the parameter mismatch impacts on its current performance analyzed. This reveals the parameters that influence the control performance of the decoupling VC and addresses the necessity of employing effective parameter identification strategies to solve the issue. Undoubtedly, the theories concerning decoupling control can be enriched through this study.
- (2)
- Targeting the parameters that are prone to become mismatched and have severe impacts on the control performance, a parameter identification method based on the Luenberger disturbance observer is proposed, with its stability analyzed. It needs to be mentioned that this observer-based online parameter identification method treats the disturbances caused by the mismatched parameters as intermediate variables. It is achieved by discovering the relationship between the parameters and the disturbances, which has seldom been investigated before.
- (3)
- The reason why the Luenberger observers are not broadly used for parameter identification is explained after introducing the basic theory concerning the observer in this paper for the first time.
2. Analysis of Deviation Decoupling VC Strategy
2.1. Deviation Decoupling VC Strategy
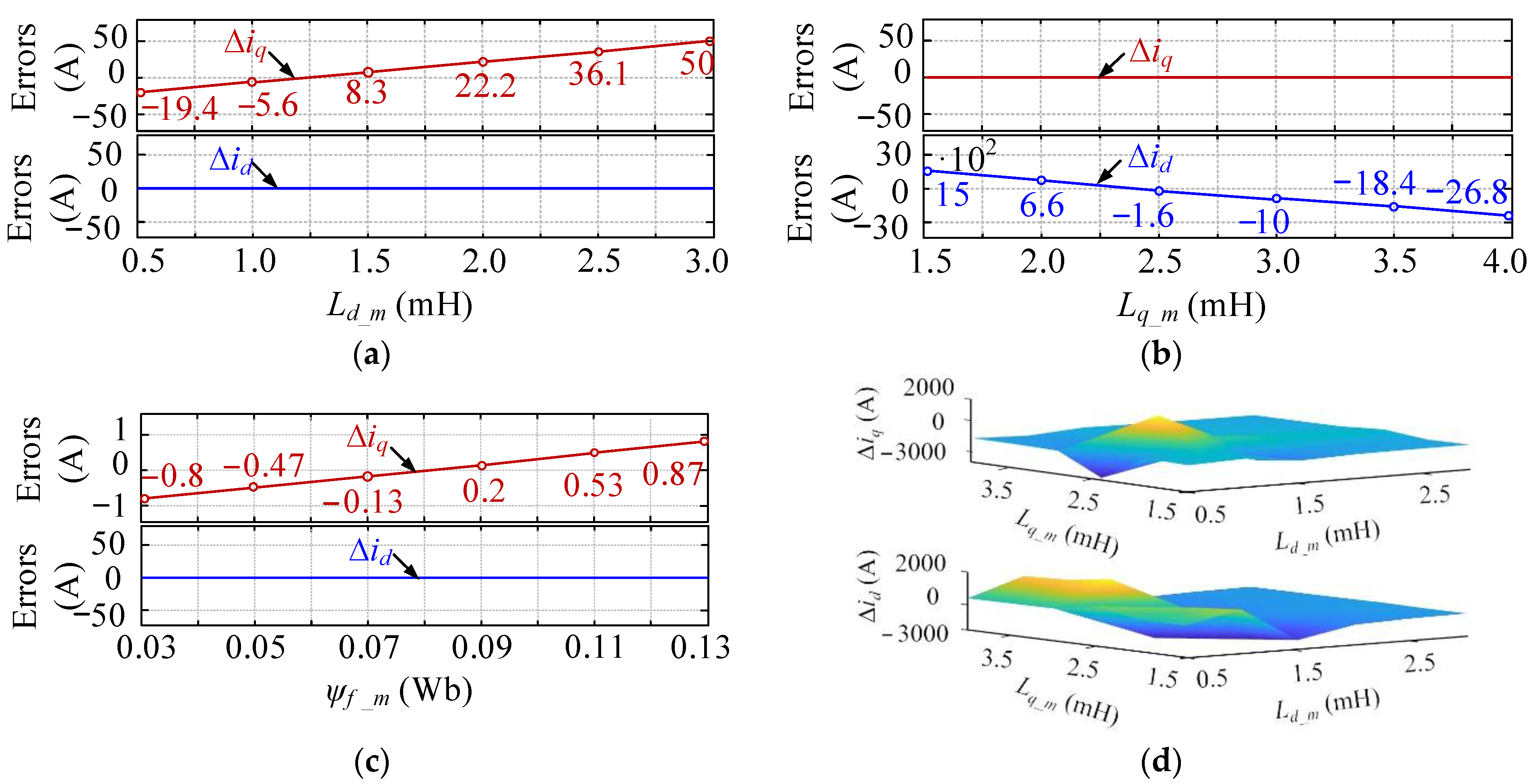
2.2. Parameter Mismatch Impacts on Decoupling VC Strategy
3. Proposed Luenberger Disturbance Observer-Based Inductance Identification
3.1. Introduction of Luenberger Observer Theory
3.2. Inductance Identification Based on Luenberger Disturbance Observer
3.2.1. Relationship between Inductances and Disturbances
3.2.2. Luenberger Disturbance Observer
- (a)
- Design of observer
- (b) Stability analysis
3.2.3. Inductance Calculation
4. Verification Results
4.1. Simulation Results
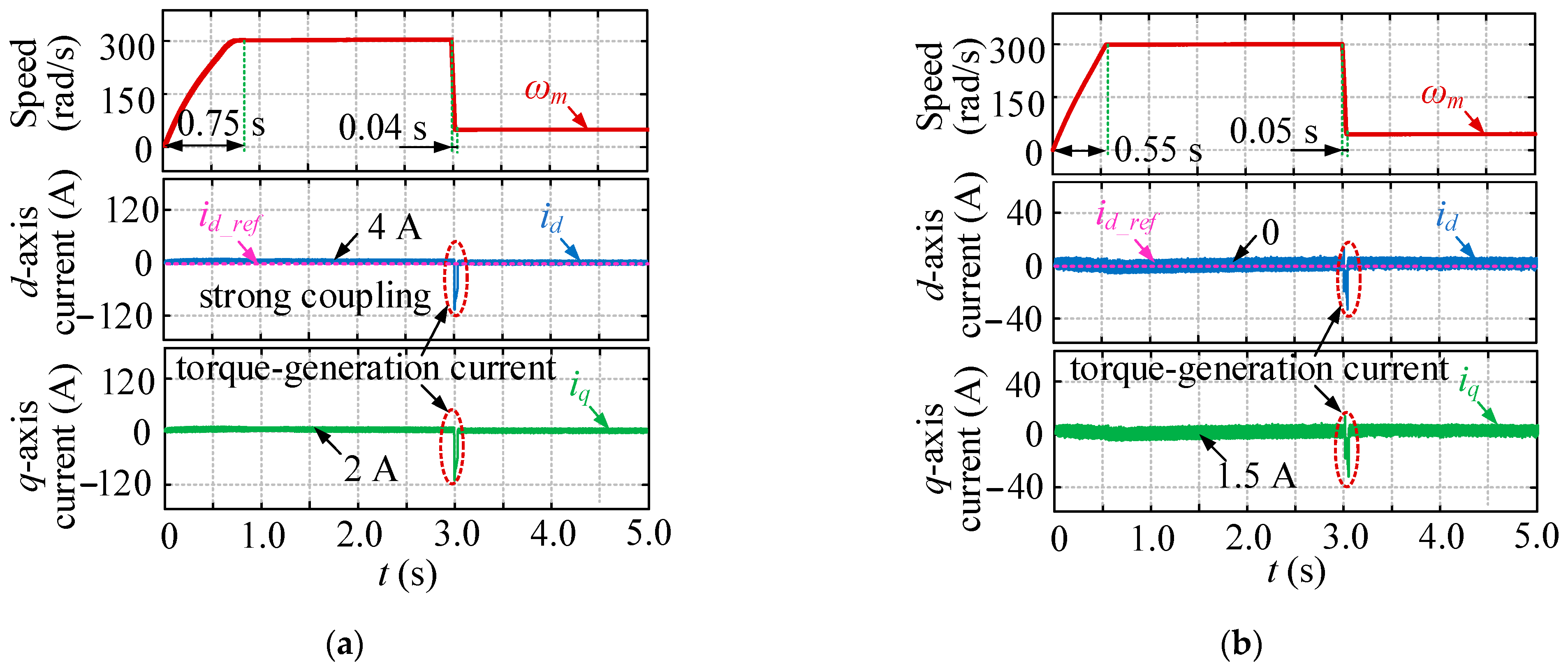
4.2. Experimental Results
- (a)
- Dynamic performance analysis
- (b)
- Steady-state performance analysis

4.3. Discussion of Obtained Results
5. Conclusions
- (1)
- By designing and analyzing the deviation decoupling VC strategy, the parameters that influence its control performance are revealed, and it is found that the d- and q-axis inductances have more remarkable impacts compared to the other parameters. This was never addressed previously so as to be meaningful.
- (2)
- Targeting the inductance mismatch issue, a novel inductance identification technique based on the Luenberger disturbance observer is developed, with its stability analyzed. In detail, a Luenberger observer is developed for disturbance estimation, and relying on the close relation of the mismatched inductances and the disturbances, the inductances can be identified. It deserves to be mentioned that the Luenberger observer theory has seldom been employed for parameter identification, making the proposed strategy innovative and valuable in both academic and industrial areas.
- (3)
- During the study, the reasons why the Luenberger observer cannot be used to directly estimate the stator inductances were illustrated for the first time, enriching the relevant theory concerning the Luenberger observer.
- (4)
- Simulation and experiment were carried out to validate the proposed decoupling strategy and parameter identification method. From the obtained results, it can be seen firstly that the decoupling VC strategy reduces the current surges caused by the coupling effect. In addition, by using the proposed inductance identification method, the inductances of the motor can be detected, and meanwhile, the negative impacts of inductance mismatch on the decoupling VC strategy can be rejected. Overall, the proposed decoupling VC strategy with reduced parameter mismatch impacts is effective.
Author Contributions
Funding
Institutional Review Board Statement
Informed Consent Statement
Data Availability Statement
Conflicts of Interest
References
- Tang, A.; Yang, Y.; Yu, Q.; Zhang, Z.; Yang, L. A Review of Life Prediction Methods for PEMFCs in Electric Vehicles. Sustainability 2022, 14, 9842. [Google Scholar] [CrossRef]
- Gong, C.; Hu, Y.; Chen, G.; Wen, H.; Wang, Z.; Ni, K. A DC-Bus Capacitor Discharge Strategy for PMSM Drive System with Large Inertia and Small System Safe Current in EVs. IEEE Trans. Ind. Inform. 2019, 15, 4709–4718. [Google Scholar] [CrossRef]
- Macioszek, E. Electric Vehicles—Problems and Issues; Springer: Berlin/Heidelberg, Germany, 2020; pp. 169–183. [Google Scholar] [CrossRef]
- Ling, Z.; Cherry, C.R.; Wen, Y. Determining the Factors That Influence Electric Vehicle Adoption: A Stated Preference Survey Study in Beijing, China. Sustainability 2021, 13, 11719. [Google Scholar] [CrossRef]
- Macioszek, E.; Sierpiński, G. Charging Stations for Electric Vehicles—Current Situation in Poland; Springer: Berlin/Heidelberg, Germany, 2020; pp. 124–137. [Google Scholar] [CrossRef]
- Fang, S.; Meng, J.; Wang, W.; Meng, Y.; Wang, Y.; Huang, D. Compensation Strategy of PMSM Predictive Control with Reduced Parameter Disturbance. Sustainability 2022, 14, 9868. [Google Scholar] [CrossRef]
- Liang, D.; Li, J.; Qu, R.; Kong, W. Adaptive Second-Order Sliding-Mode Observer for PMSM Sensorless Control Considering VSI Nonlinearity. IEEE Trans. Power Electron. 2018, 33, 8994–9004. [Google Scholar] [CrossRef]
- Mynar, Z.; Vesely, L.; Vaclavek, P. PMSM Model Predictive Control with Field-Weakening Implementation. IEEE Trans. Ind. Electron. 2016, 63, 5156–5166. [Google Scholar] [CrossRef]
- Tarczewski, T.; Grzesiak, L.M. Constrained State Feedback Speed Control of PMSM Based on Model Predictive Approach. IEEE Trans. Ind. Electron. 2016, 63, 3867–3875. [Google Scholar] [CrossRef]
- Han, Y.; Gong, C.; Yan, L.; Wen, H.; Wang, Y.; Shen, K. Multiobjective Finite Control Set Model Predictive Control Using Novel Delay Compensation Technique for PMSM. IEEE Trans. Power Electron. 2020, 35, 11193–11204. [Google Scholar] [CrossRef]
- Lee, J.H.; Won, C.Y.; Lee, B.K.; Kim, H.B.; Baek, J.H.; Han, K.B.; Chung, U.I. IPMSM torque control method considering DC-link voltage variation and friction torque for EV/HEV applications. In Proceedings of the 2012 IEEE Vehicle Power and Propulsion Conference, Seoul, Korea, 9–12 October 2012; pp. 1063–1069. [Google Scholar]
- Elsonbaty, N.A.; Enany, M.A.; Hassanin, M.I. An Efficient Vector Control Policy for EV-Hybrid Excited Permanent-Magnet Synchronous Motor. World Electr. Veh. J. 2020, 11, 42. [Google Scholar] [CrossRef]
- Li, H.; Lin, J.; Lu, Z. Three Vectors Model Predictive Torque Control Without Weighting Factor Based on Electromagnetic Torque Feedback Compensation. Energies 2019, 12, 1393. [Google Scholar] [CrossRef]
- Nasr, A.; Gu, C.; Wang, X.; Buticchi, G.; Bozhko, S.; Gerada, C. Torque-Performance Improvement for Direct Torque-Controlled PMSM Drives Based on Duty-Ratio Regulation. IEEE Trans. Power Electron. 2022, 37, 749–760. [Google Scholar] [CrossRef]
- Zhou, Y.; Wu, Z.; Wu, Y. Intelligent Permanent Magnet Motor-Based Servo Drive System Used for Automated Tuning of Piano. Energies 2021, 14, 6627. [Google Scholar] [CrossRef]
- Yang, H.; Zhang, Y.; Liang, J.; Zhang, N.; Walker, P. Robust Digital Current Control Based on Adaptive Disturbance Estimation for PMSM Drives with Low Pulse Ratio. In Proceedings of the 2018 21st International Conference on Electrical Machines and Systems (ICEMS), Jeju, Korea, 7–10 October 2018; pp. 1252–1257. [Google Scholar]
- Song, Z.; Liu, C.; Dong, Z.; Huang, R. Improved Multi-Stage Decoupling Space Vector Modulation for Asymmetrical Multi-Phase PMSM With Series Winding Connection. IEEE Trans. Power Electron. 2022, 37, 10951–10966. [Google Scholar] [CrossRef]
- Huang, Y.; Zhang, J.; Chen, D.; Qi, J. Model Reference Adaptive Control of Marine Permanent Magnet Propulsion Motor Based on Parameter Identification. Electronics 2022, 11, 1012. [Google Scholar] [CrossRef]
- Jimenez-Gonzalez, J.; Gonzalez-Montañez, F.; Jimenez-Mondragon, V.M.; Liceaga-Castro, J.U.; Escarela-Perez, R.; Olivares-Galvan, J.C. Parameter Identification of BLDC Motor Using Electromechanical Tests and Recursive Least-Squares Algorithm: Experimental Validation. Actuators 2021, 10, 143. [Google Scholar] [CrossRef]
- Guihal, J.-M.; Auger, F.; Bernard, N.; Schaeffer, E. Efficient Implementation of Continuous-Discrete Extended Kalman Filters for State and Parameter Estimation of Nonlinear Dynamic Systems. IEEE Trans. Ind. Inform. 2022, 18, 3077–3085. [Google Scholar] [CrossRef]
- Gong, C.; Hu, Y.; Gao, J.; Wang, Y.; Yan, L. An Improved Delay-Suppressed Sliding-Mode Observer for Sensorless Vector-Controlled PMSM. IEEE Trans. Ind. Electron. 2020, 67, 5913–5923. [Google Scholar] [CrossRef]
- Pavlenko, I.; Saga, M.; Kuric, I.; Kotliar, A.; Basova, Y.; Trojanowska, J.; Ivanov, V. Parameter Identification of Cutting Forces in Crankshaft Grinding Using Artificial Neural Networks. Materials 2020, 13, 5357. [Google Scholar] [CrossRef]
- Liu, Y.; Fang, Z.; Cheung, M.H.; Cai, W.; Huang, J. An Incentive Mechanism for Sustainable Blockchain Storage. IEEE/ACM Trans. Netw. 2022, 1–14. [Google Scholar] [CrossRef]
- Han, Y.; Gong, C.; Chen, G.; Ma, Z.; Chen, S. Robust MTPA Control for Novel EV-WFSMs Based on Pure SM Observer Based Multistep Inductance Identification Strategy. IEEE Trans. Ind. Electron. 2022, 69, 12390–12401. [Google Scholar] [CrossRef]
- Białoń, T.; Niestrój, R.; Michalak, J.; Pasko, M. Induction Motor PI Observer with Reduced-Order Integrating Unit. Energies 2021, 14, 4906. [Google Scholar] [CrossRef]
- Li, L.; Xiao, J.; Zhao, Y.; Liu, K.; Peng, X.; Luan, H.; Li, K. Robust position anti-interference control for PMSM servo system with uncertain disturbance. CES Trans. Electr. Mach. Syst. 2020, 4, 151–160. [Google Scholar] [CrossRef]
- Xu, B.; Zhang, L.; Ji, W. Improved Non-Singular Fast Terminal Sliding Mode Control With Disturbance Observer for PMSM Drives. IEEE Trans. Transp. Electrif. 2021, 7, 2753–2762. [Google Scholar] [CrossRef]
- Li, M.; Li, S.; Zhang, J.; Wu, F.; Zhang, T. Neural Adaptive Funnel Dynamic Surface Control with Disturbance-Observer for the PMSM with Time Delays. Entropy 2022, 24, 1028. [Google Scholar] [CrossRef] [PubMed]
- Kyslan, K.; Petro, V.; Bober, P.; Šlapák, V.; Ďurovský, F.; Dybkowski, M.; Hric, M. A Comparative Study and Optimization of Switching Functions for Sliding-Mode Observer in Sensorless Control of PMSM. Energies 2022, 15, 2689. [Google Scholar] [CrossRef]
- Bernard, P.; Praly, L. Estimation of Position and Resistance of a Sensorless PMSM: A Nonlinear Luenberger Approach for a Nonobservable System. IEEE Trans. Automat. Control 2021, 66, 481–496. [Google Scholar] [CrossRef]
- Liu, Y.; Fang, Z.; Cheung, M.H.; Cai, W.; Huang, J. Economics of Blockchain Storage. In Proceedings of the ICC 2020-2020 IEEE International Conference on Communications (ICC), Dublin, Ireland, 7–11 June 2020; pp. 1–6. [Google Scholar]
- Zhu, Y.; Tao, B.; Xiao, M.; Yang, G.; Zhang, X.; Lu, K. Luenberger Position Observer Based on Deadbeat-Current Predictive Control for Sensorless PMSM. Electronics 2020, 9, 1325. [Google Scholar] [CrossRef]
- Huang, M.; Deng, Y.; Li, H.; Shao, M.; Liu, J. Integrated Uncertainty/Disturbance Suppression Based on Improved Adaptive Sliding Mode Controller for PMSM Drives. Energies 2021, 14, 6538. [Google Scholar] [CrossRef]
- Lee, K.; Ha, J. Dynamic decoupling control method for PMSM drive with cross-coupling inductances. In Proceedings of the 2017 IEEE Applied Power Electronics Conference and Exposition (APEC), Tampa, FL, USA, 26–30 March 2017; pp. 563–569. [Google Scholar]
- Bi, G.; Zhang, G.; Wang, G.; Wang, Q.; Hu, Y.; Xu, D. Adaptive Iterative Learning Control-Based Rotor Position Harmonic Error Suppression Method for Sensorless PMSM Drives. IEEE Trans. Ind. Electron. 2022, 69, 10870–10881. [Google Scholar] [CrossRef]
- Liu, Z.; Zhao, Y. Robust Perturbation Observer-based Finite Control Set Model Predictive Current Control for SPMSM Considering Parameter Mismatch. Energies 2019, 12, 3711. [Google Scholar] [CrossRef]
- Yao, J.; Cai, L.; Chen, T.; Xu, Z.; Wang, X.; Hou, W. Luenberger Disturbance Observerbased Model Predictive Control for Permanent Magnet Synchronous Motor. Micromotors 2021, 9, 90–95. [Google Scholar]









| Variable | Description | Value | Unit |
|---|---|---|---|
| Udc | bus voltage | 334 | V |
| Ld | real d-axis inductance | 1.2 | mH |
| Lq | real q-axis inductance | 2.4 | mH |
| Rs | real resistance | 0.18 | Ω |
| P | number of pole pairs | 3 | - |
| ψf | PM flux | 0.078 | Wb |
| ωrated | rated speed | 300 | rad/s |
| Irated | rated current | 10 | A |
Publisher’s Note: MDPI stays neutral with regard to jurisdictional claims in published maps and institutional affiliations. |
© 2022 by the authors. Licensee MDPI, Basel, Switzerland. This article is an open access article distributed under the terms and conditions of the Creative Commons Attribution (CC BY) license (https://creativecommons.org/licenses/by/4.0/).
Share and Cite
Xiong, S.; Pan, J.; Yang, Y. Robust Decoupling Vector Control of Interior Permanent Magnet Synchronous Motor Used in Electric Vehicles with Reduced Parameter Mismatch Impacts. Sustainability 2022, 14, 11910. https://doi.org/10.3390/su141911910
Xiong S, Pan J, Yang Y. Robust Decoupling Vector Control of Interior Permanent Magnet Synchronous Motor Used in Electric Vehicles with Reduced Parameter Mismatch Impacts. Sustainability. 2022; 14(19):11910. https://doi.org/10.3390/su141911910
Chicago/Turabian StyleXiong, Shu, Jian Pan, and Yucui Yang. 2022. "Robust Decoupling Vector Control of Interior Permanent Magnet Synchronous Motor Used in Electric Vehicles with Reduced Parameter Mismatch Impacts" Sustainability 14, no. 19: 11910. https://doi.org/10.3390/su141911910
APA StyleXiong, S., Pan, J., & Yang, Y. (2022). Robust Decoupling Vector Control of Interior Permanent Magnet Synchronous Motor Used in Electric Vehicles with Reduced Parameter Mismatch Impacts. Sustainability, 14(19), 11910. https://doi.org/10.3390/su141911910
