The Effects of True Triaxial Loading and Unloading Rates on the Damage Mechanical Properties of Sandstone
Abstract
:1. Introduction
2. Test Device and Scheme
2.1. Sample Device and Sample
2.2. Test Scheme
3. Experimental Results and Analysis
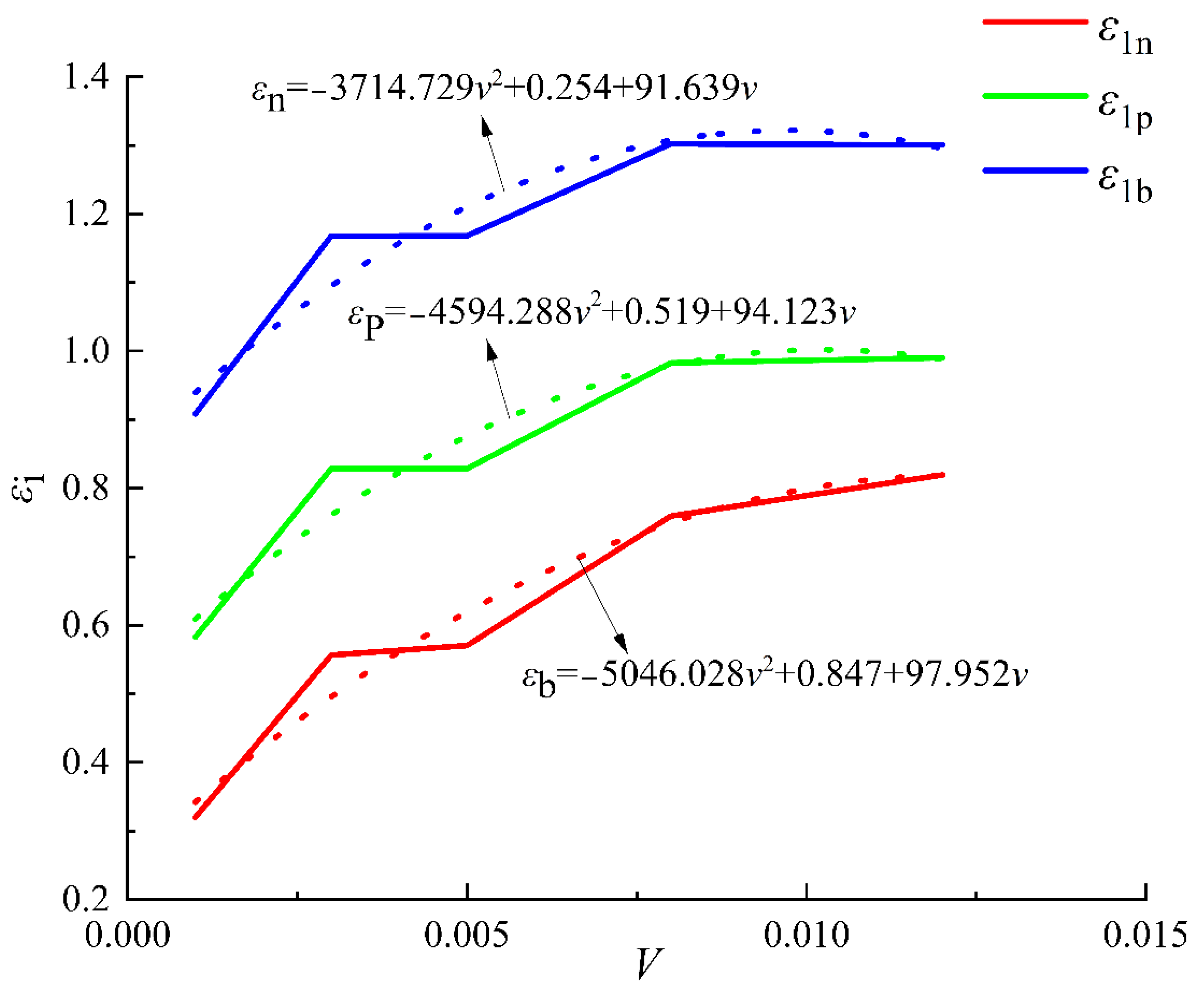
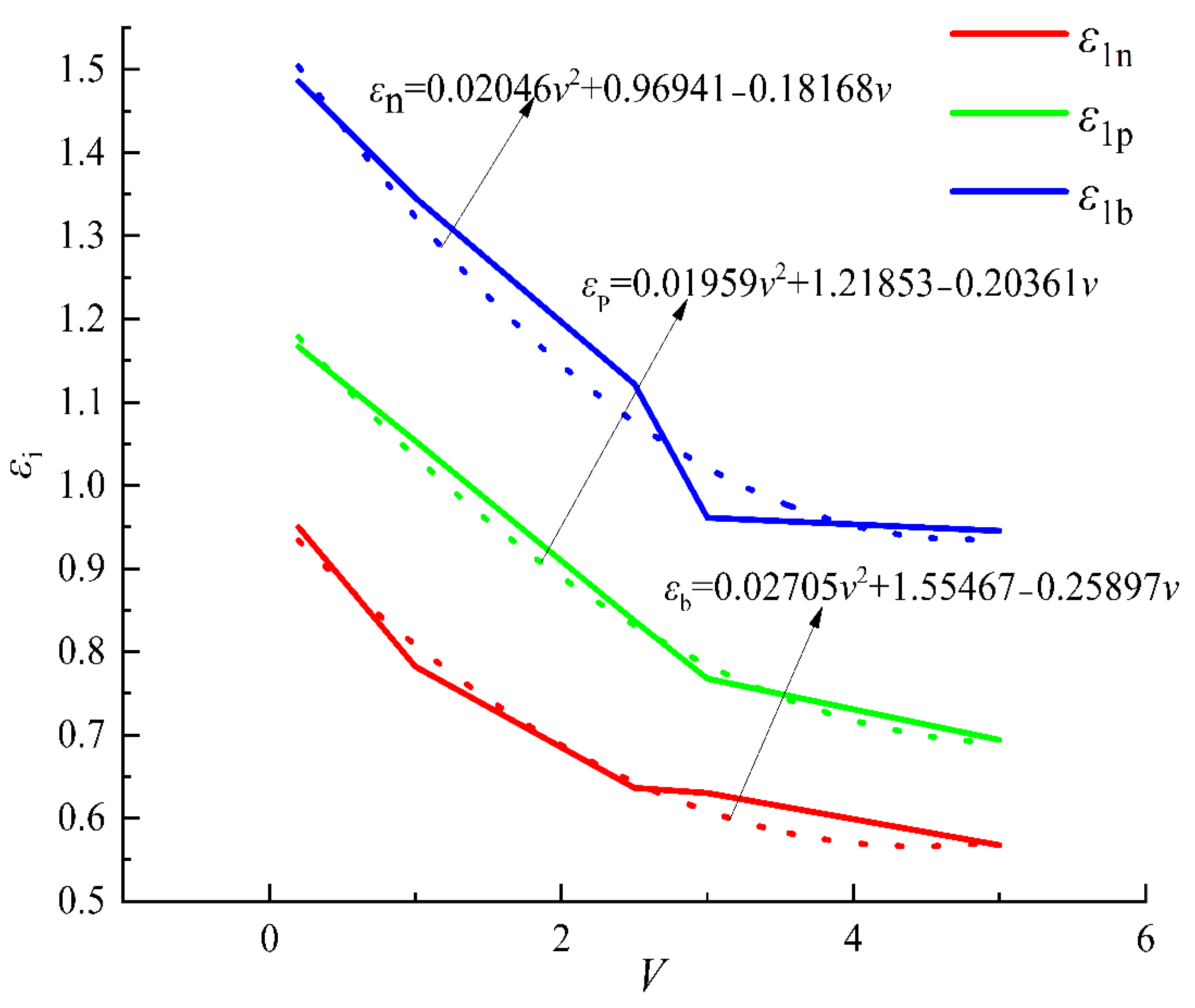
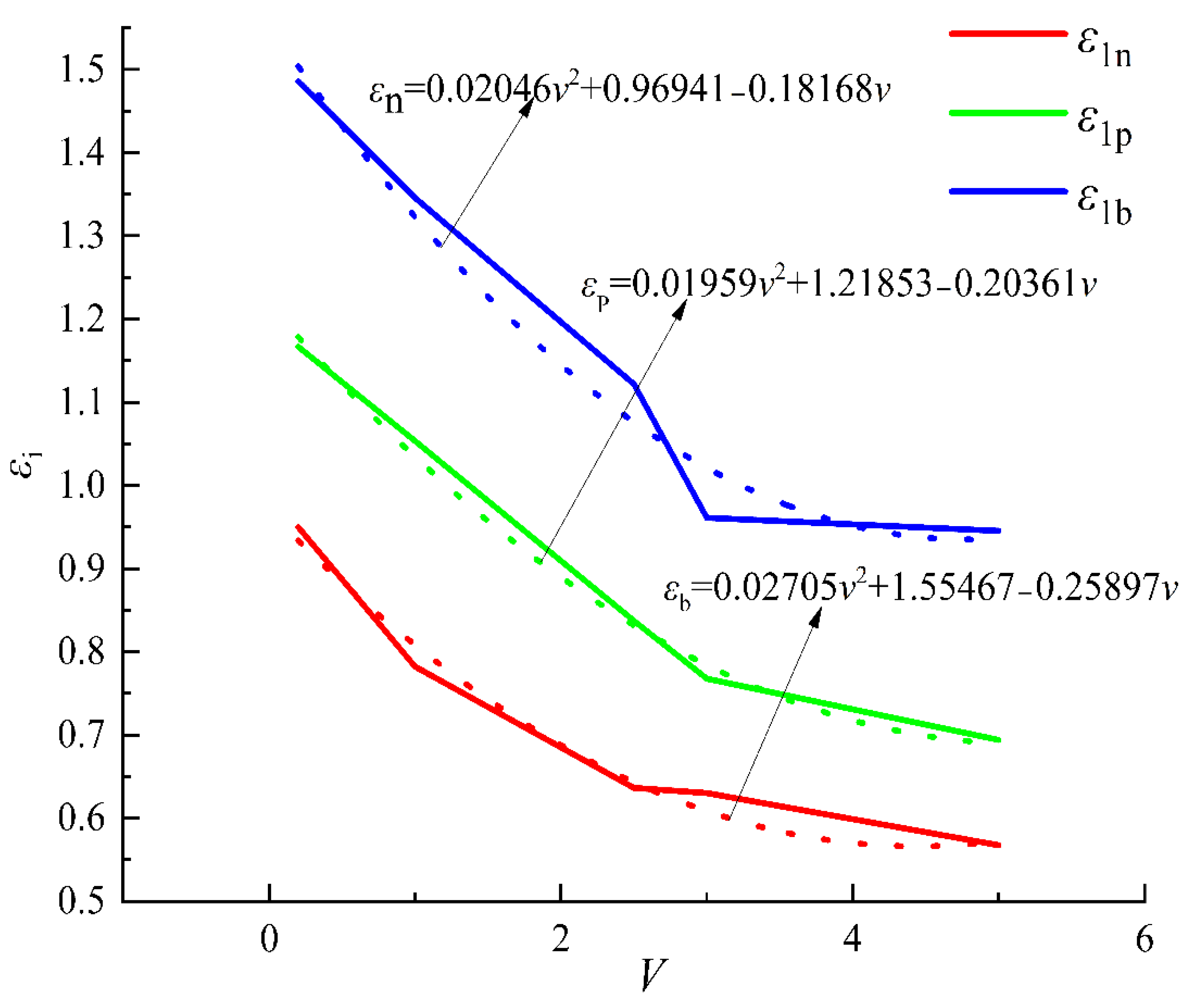
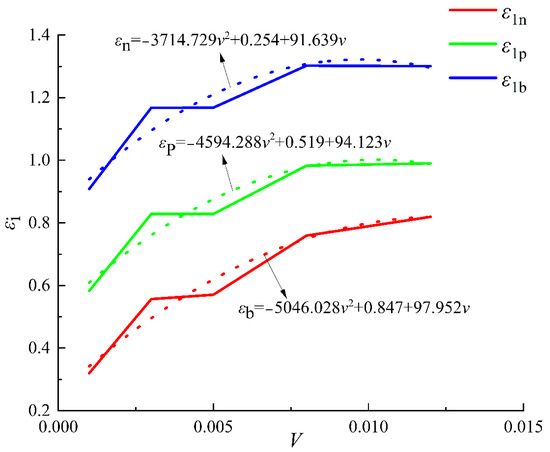
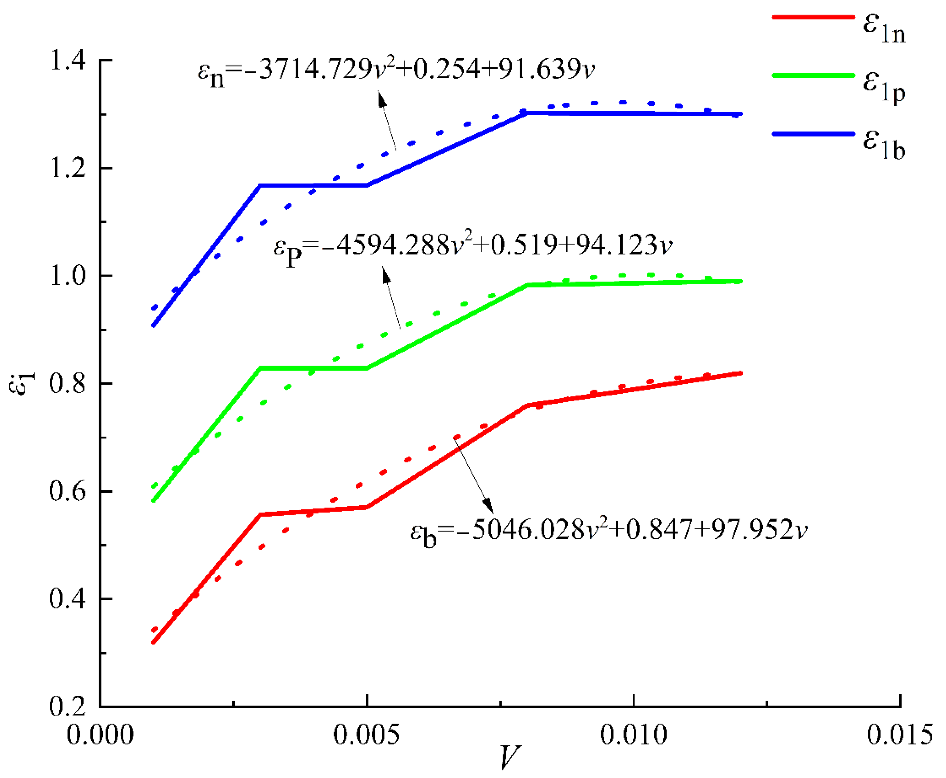
3.1. Variation of Peak Strain and Peak Deviant Stress under True Triaxial Loading and Unloading Rates
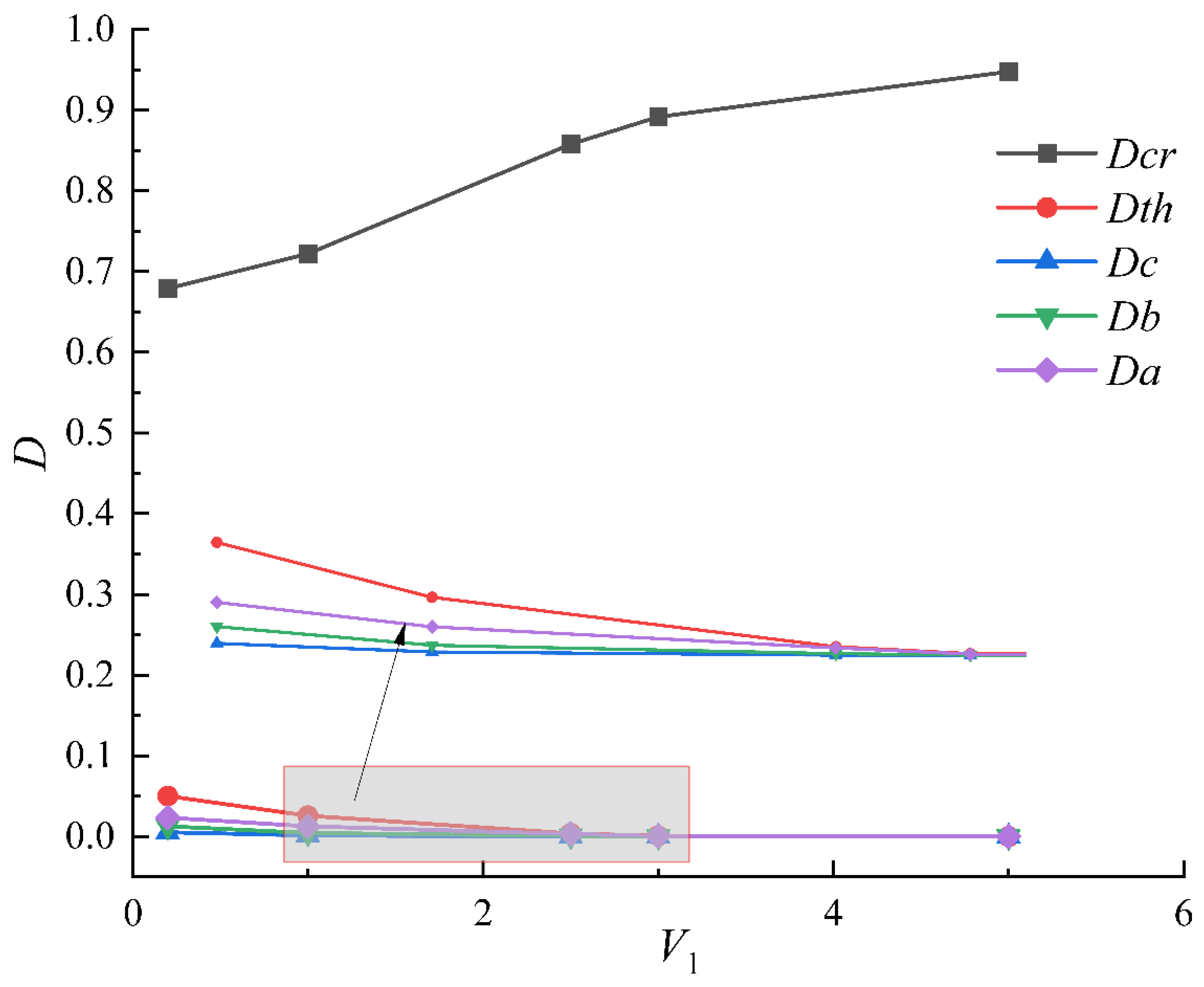
3.2. Damage Characteristics of Sandstone under True Triaxial Loading and Unloading Rates
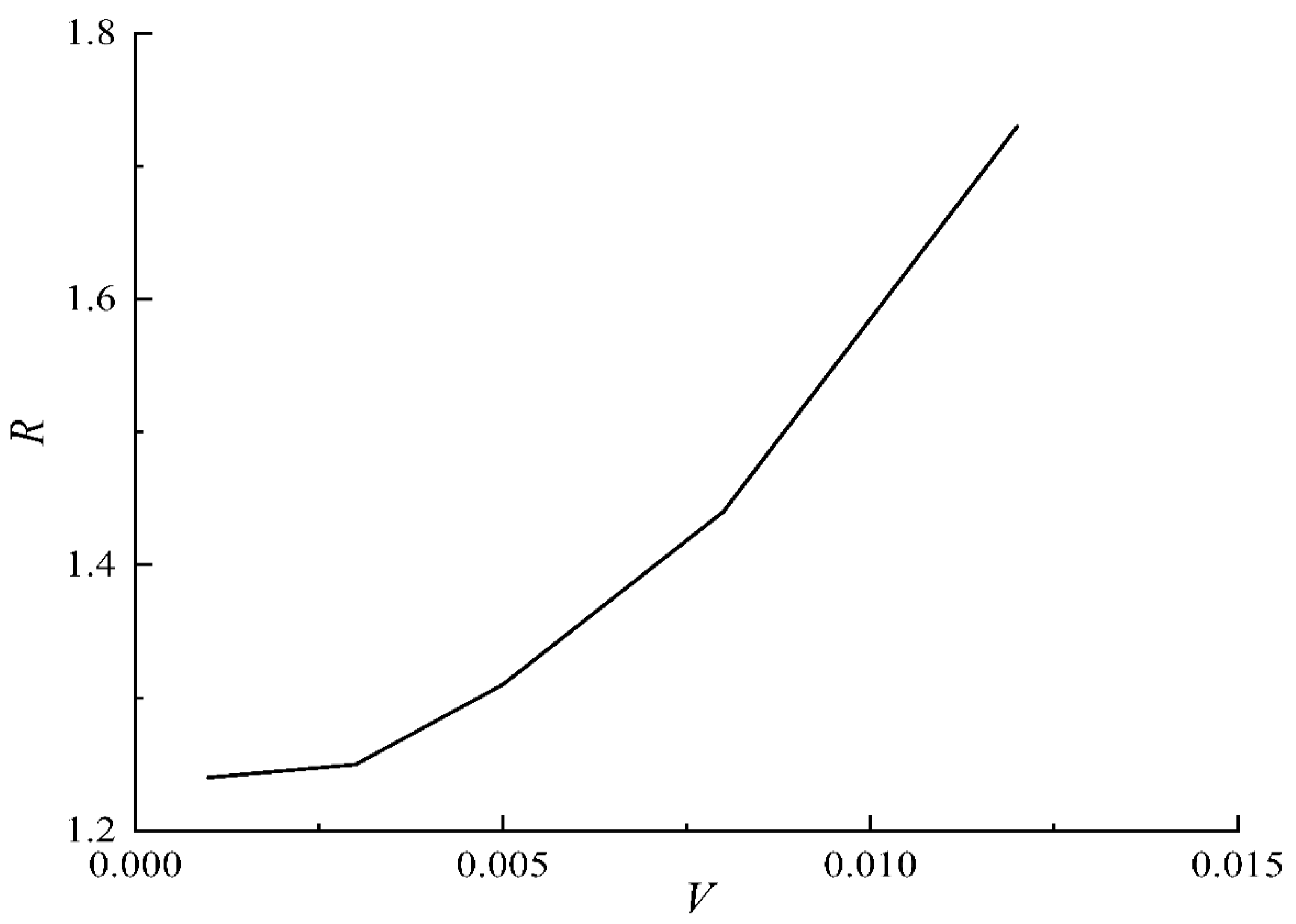
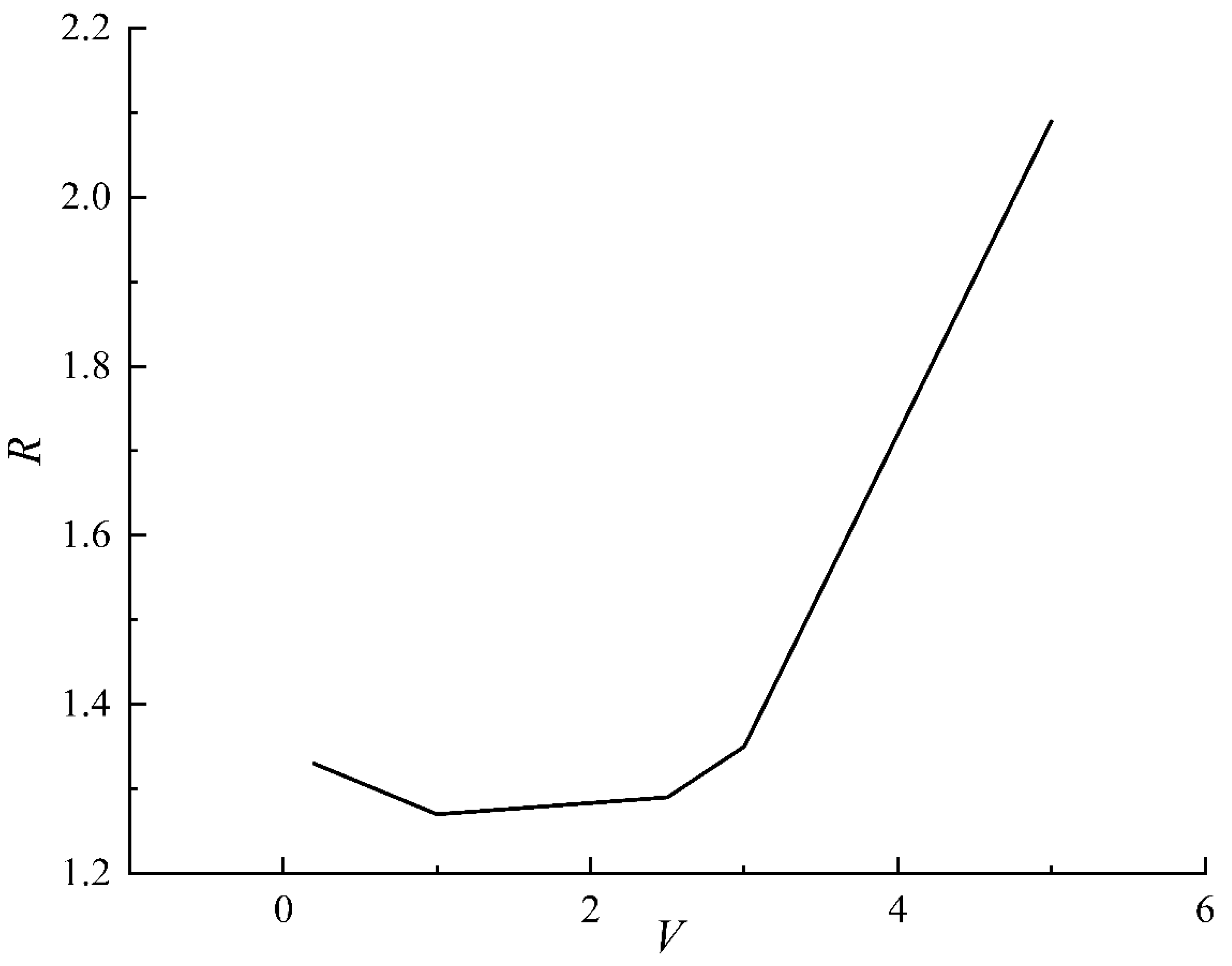
3.3. Brittleness Characteristics of Rock under True Triaxial Loading and Unloading Rates
3.3.1. Stress Brittle Drop Factor
3.3.2. Variation Characteristics of Specimen Characteristic Parameters under Different Loading Rates
3.3.3. Variation Characteristics of Specimen Characteristic Parameters under Different Unloading Rates
4. Discussion
5. Conclusions
- (1)
- With the increase in the loading rate, the peak ε1, ε3 and εv decrease, and the peak ε2 increases, and the peak deviational stress increases first and then decreases. With the increase in the unloading rate, the peak ε1 and εv increase, and the peak ε2 decreases first and then increases, and the ε3 increases first, then decreases and then increases and the peak deviational stress increases.
- (2)
- Under different loading and unloading rates, with the increase in loading and unloading rates, the damage of sandstone specimens is mainly from the online elastic damage end point to the peak point, and the peak damage value decreases and Dth, Dc, Db, Da increase with the increase in the loading rate. The peak damage values increase and Dth, Dc, Db, Da decrease with the increase in the unloading rate.
- (3)
- With the increase in the loading rate, the stress brittle drop coefficient of sandstone increases, and the brittle failure weakens. With the increase in the unloading rate, the stress brittle drop coefficient of sandstone decreases first and then increases, and the brittle failure of the rock first becomes stronger first and then weaker. However, the stress brittle drop coefficient appears abnormal at a high unloading rate.
- (4)
- With the increase in the loading rate, Kε1 first decreases and then increases, and Kε2 gradually decreases, Kε3 gradually increases, and KεV gradually increases. With the increase in the unloading rate, Kε1 and KεV decrease, and the change in Kε2 and Kε3 is not obvious.
Author Contributions
Funding
Institutional Review Board Statement
Informed Consent Statement
Data Availability Statement
Acknowledgments
Conflicts of Interest
References
- He, M.C.; Xie, H.P.; Peng, S.P.; Jiang, Y.D. Study on rock mechanics in deep mining. J. Rock Mech. Eng. 2005, 16, 2803–2813. [Google Scholar]
- Gao, M.; Ye, S.; Yang, B.; Liu, Y.; Li, J.; Liu, J.; Xie, H. Research progress of deep in-situ rock mechanics. China Sci. Found. 2021, 35, 895–903. [Google Scholar]
- Zhang, Z.; Barla, G. Introduction to the Special Issue “Rock Mechanics Advances in China Coal Mining. J. Rock Mech. Rock Eng. 2019, 52, 2721–2723. [Google Scholar] [CrossRef]
- Xie, H.P.; Bao, L.C.; Zhong, G.M.; Ru, Z.; Feng, G.; Bo, Z.J. Conception and preliminary exploration of deep in-situ rock mechanics. J. Rock Mech. Eng. 2021, 40, 217–232. [Google Scholar]
- Li, B.x.; Yu, S.; Yang, L.; Zhu, W.s.; Xue, Y.g.; Feng, D.; Wang, C.; Chen, Y.j. Multiscale fracture characteristics and failure mechanism quantification method of cracked rock under true triaxial compression. Eng. Fract. Mech. 2022, 262, 108257. [Google Scholar] [CrossRef]
- Liu, J.; Zhang, L.M.; Cong, Y.; Wang, Z.Q. Mechanical characteristics of unloading failure of granite under true triaxial stress path. Rock Soil Mech. 2021, 42, 2069–2077. [Google Scholar]
- Yin, G.Z.; Ma, B.; Liu, C.; Li, M.H.; Lu, J. Effect of loading and unloading rate on mechanical properties and energy characteristics of sandstone under true triaxial stress. J. Coal 2019, 44, 454–462. [Google Scholar]
- Li, J.T.; Liu, S.F.; Zhao, Y.; Guo, Q. True triaxial test and numerical simulation of sandstone under different stress paths. J. Cent. South Univ. (Nat. Sci.) 2021a, 52, 693–700. [Google Scholar]
- Chu, Y.; Zhang, D.; Liu, H.; Wu, X.; Zhai, P.; Sheng, T. Experimental study on mechanical properties, acoustic emission characteristics and energy evolution of coal samples after freezing with liquid nitrogen. J. Fuel. 2022, 321, 123955. [Google Scholar] [CrossRef]
- Quan, J.; Zhang, M.Z.; Yan, F.; Su, G.S.; Feng, X.T.; Xu, D.P.; Feng, G.L. Effect of initial minimum principal stress and unloading rate on the spalling and rockburst of marble: A true triaxial experiment investigation. Bull. Eng. Geol. Environ. 2020, 80, 1617–1634. [Google Scholar]
- Roohollah, S.F.; Abbas, T.; Luis, R.E.S.; Murat, K. Rockburst assessment in deep geotechnical conditions using true-triaxial tests and data-driven approaches. Int. J. Rock Mech. Min. Sci. 2020, 128, 104279. [Google Scholar]
- Chu, Y.; Sun, H.; Zhang, D. Experimental study on evolution in the characteristics of permeability, deformation, and energy of coal containing gas under triaxial cyclic loading-unloading. Energy Sci. Eng. 2019, 7, 2112–2123. [Google Scholar] [CrossRef]
- Zhai, S.B.; Su, G.S.; Yin, S.D.; Zhao, B.; Yan, L. Rockburst characteristics of several hard brittle rocks: A true triaxial experimental study. J. Rock Mech. Geotech. Eng. 2020, 12, 279–296. [Google Scholar] [CrossRef]
- Danni, L.; Su, G.S.; Zhang, G.l. True-Triaxial Experimental Study on Mechanical Behaviours and Acoustic Emission Characteristics of Dynamically Induced Rock Failure. Rock Mech. Rock Eng. 2019, 53, 1205–1223. [Google Scholar]
- Su, G.Y.; Chen, Z.Y.; Yin, Y.; Zhang, X.H.; Mo, J.H. True triaxial test of granite rockburst after high temperature. J. Geotech. Eng. 2016, 38, 1586–1594. [Google Scholar]
- Xiang, T.B.; Feng, X.T.; Chen, B.R.; Quan, J.; Zhang, Q.c. Failure mechanism and true triaxial test of rock samples with single discontinuity under triaxial stress state. Rock Soil Mech. 2009, 30, 2908–2916. [Google Scholar]
- Qiu, L.; Zhu, Y.; Song, D.; He, X.; Wang, W.; Liu, Y.; Xiao, Y.; Wei, M.; Yin, S.; Liu, Q. Study on the Nonlinear Characteristics of EMR and AE during Coal Splitting Tests. Minerals 2022, 12, 108. [Google Scholar] [CrossRef]
- Qiu, L.; Liu, Z.; Wang, E.; Li, B. Early-warning of rock burst in coal mine by low-frequency electromagnetic radiation. J. Eng. Geol. 2020, 279, 105755. [Google Scholar] [CrossRef]
- Han, Y.; Zhao, Y.; Li, J. Experimental and Numerical Study of Strength and Failure Behavior of Precracked Marble under True Triaxial Compression. J Shock. Vibration. 2021, 2021, 3869045. [Google Scholar] [CrossRef]
- Li, W.S.; Wang, L.G.; Lu, Y.L.; Li, Z.L. Experimental study on strength, deformation and failure characteristics of sandstone under true triaxial condition. J. Min. Saf. Eng. 2019a, 36, 191–197. [Google Scholar]
- Dong, L.; Shi, Y.H.; Li, Y.; Wang, J.B.; Fan, P.X. Experimental study on deformation and failure of red sandstone under bidirectional compression. Prot. Eng. 2018, 40, 17–23. [Google Scholar]
- Li, Z.J.; Yang, M.; Cheng, H.J.; Li, Q. Experimental study on true triaxial rockburst of deep rock under different disturbance conditions. Min. Res. Dev. 2021b, 41, 53–58. [Google Scholar]
- Li, Z.Y.; Wu, P.; Jiang, D.Y.; Xiao, F.; Liu, W. True triaxial mechanical properties of sandstone with voids. J. Undergr. Space Eng. 2022, 18, 120–128. [Google Scholar]
- Fan, P.X.; Yin, L.; Tang, Z.Y.; Yang, W.M.; Rong, W.D.; Hua, S.Y. Experimental study on unloading failure strength characteristics of red sandstone. J. Rock Mech. Eng. 2018, 37, 852–861. [Google Scholar]
- Wang, M.; Zhu, Z.M.; Feng, R.Q. Experimental study on deformation and failure of fractured rock mass around roadway under true triaxial loading and unloading condition. J. Coal 2015, 40, 278–285. [Google Scholar]
- Lee, H.; Haimson, B.C. True triaxial strength, deformability, and brittle failure of granodiorite from the San Andreas Fault Observatory at Depth. Int. J. Rock Mech. Min. Sci. 2011, 48, 1199–1207. [Google Scholar] [CrossRef]
- Wang, B.; Zhang, K.I.; Wang, L.G.; Li, W.S.; Meng, X.Y.; Lu, Y.L.; Li, Z.L. Damage Evolution and Failure Behavior of Sandstone under True Triaxial Compression. Geotech. Test. J. 2018, 42, 1–29. [Google Scholar]
- Wang, S.; Wang, L.G.; Tian, J.S.; Fan, H.; Jiang, C.Y.; Ding, K. An Experimental Study on the Effects of True Triaxial Loading and Unloading Stress Paths on the Mechanical Properties of Red Sandstone. Minerals 2022, 12, 204. [Google Scholar] [CrossRef]
- Hu, L.H.; Ma, K.; Liang, X.; Tang, C.N.; Wang, Z.W. Experimental and numerical study on rockburst triggered by tangential weak cyclic dynamic disturbance under true triaxial conditions. Tunn. Undergr. Space Technol. Inc. Trenchless Technol. Res. 2018, 81, 602–618. [Google Scholar] [CrossRef]
- Zhao, H.g.; Song, Z.l.; Zhang, D.m.; Liu, C.; Yu, B. True triaxial experimental study on mechanical characteristics and energy evolution of sandstone under various loading and unloading rates. Geomech. Geophys. Geo-Energy Geo-Resour. 2021, 7, 22. [Google Scholar] [CrossRef]
- Si, X.f.; Huang, L.q.; Gong, F.q.; Liu, X.l.; Li, X.B. Experimental investigation on influence of loading rate on rockburst in deep circular tunnel under true-triaxial stress condition. J. Cent. South Univ. 2020, 27, 2914–2929. [Google Scholar] [CrossRef]
- Zheng, Z.; Feng, X.T. Influence of intermediate principal stress on the mechanical properties of rocks containing fractures. Géotechnique Lett. 2019, 10, 82–87. [Google Scholar] [CrossRef]
- Duan, K.; Kwok, C.Y.; Ma, X. DEM simulations of sandstone under true triaxial compressive tests. Acta Geotech. 2017, 12, 495–510. [Google Scholar] [CrossRef]
- Ze, K.W.; Wei, K.M.; Hu, J.Q.; Fang, Y.L. The Changing Rule of Rock Strength under True Triaxial Condition. Appl. Mech. Mater. 2014, 3013, 1410–1413. [Google Scholar]
- Li, X.B.; Chen, Z.H.; Weng, L.; LI, C.J. Unloading responses of pre-flawed rock specimens under different unloading rates. Trans. Nonferrous Met. Soc. China 2019b, 29, 1516–1526. [Google Scholar] [CrossRef]
- Xiao, F.; Jiang, D.Y.; Wu, F.; Chen, J.; Zhang, J.Z.; Liu, W. Deformation and failure characteristics of sandstone subjected to true-triaxial unloading: An experimental and numerical study. Fatigue Fract. Eng. Mater. Struct. 2021, 44, 1862–1882. [Google Scholar] [CrossRef]
- Kong, X.G.; Li, S.Y.; Wang, E.Y.; Ji, P.X.; Wang, X.; Shuang, H.Q.; Zhou, Y.X. Dynamics behaviour of gas-bearing coal subjected to SHPB tests. Compos. Struct. 2021, 256, 113088. [Google Scholar] [CrossRef]
- Kong, X.G.; Wang, E.Y.; Shuang, L.; Li, H.F.; Xiao, P.; Zhang, K.Z. Fractals and chaos characteristics of acoustic emission energy about gas-bearing coal during loaded failure. Fractals 2019, 27, 1950072. [Google Scholar] [CrossRef]
- Du, K.; Li, X.B.; Li, D.Y.; Weng, L. Failure properties of rocks in true triaxial unloading compressive test. Trans. Nonferrous Met. Soc. China 2015, 25, 571–581. [Google Scholar] [CrossRef]
- Zhao, X.G.; Wang, J.; Cai, M.; Cheng, C.; Ma, L.K.; Su, R.; Zhao, F.; Li, D.J. Influence of Unloading Rate on the Strainburst Characteristics of Beishan Granite Under True-Triaxial Unloading Conditions. Rock Mech. Rock Eng. 2014, 47, 467–483. [Google Scholar] [CrossRef]
- Fan, X.; Jiang, D.y.; Wu, F.; Zou, Q.l.; Chen, J.; Chen, B.; Sun, Z.G. Effects of prior cyclic loading damage on failure characteristics of sandstone under true-triaxial unloading conditions. Int. J. Rock Mech. Min. Sci. 2020, 132, 104379. [Google Scholar]
- Lu, W.; Zhu, Z.; He, Y.; Que, X. Strength Characteristics and Failure Mechanism of a Columnar Jointed Rock Mass Under Uniaxial, Triaxial, and True Triaxial Confinement. Rock Mech. Rock Eng. 2021, 54, 2425–2439. [Google Scholar] [CrossRef]
- Miao, J.l.; Jia, X.N.; Cheng, C. The Failure Characteristics of Granite under True Triaxial Unloading Condition. Procedia Eng. 2011, 26, 1620–1625. [Google Scholar]
- Yin, G.Z.; Li, M.H.; Xu, J.; Wang, Z.W.; Li, W.P.; Li, X.; Song, Z.L.; Deng, B.Z. Development and application of multifunctional true triaxial fluid-structure coupling test system. J. Rock Mech. Eng. 2015, 34, 2436–2445. [Google Scholar]
- Qin, Q.C.; Li, K.G.; Yang, B.W.; Wang, T.; Wei, X.Y.; Guo, W. Damage characteristics analysis of key characteristic points in rock total stress-strain process. Rock Soil Mech. 2018, 39, 14–24. [Google Scholar]
- Wang, S.Z. Brittle-ductility transition and plastic flow networks in rocks. Prog. Geophys. 1993, 8, 25–37. [Google Scholar]
- Ge, X. Postfailure Behaviour and a Brittle-Plastic Model of Brittle Rock; Balkema: Rotterdam, The Netherlands, 1997. [Google Scholar]
- Shi, G.C.; Ge, X.R.; Lu, Y.D. Experimental study on stress brittle drop coefficient of marble. J. Rock Mech. Eng. 2006, 1625–1631. [Google Scholar]
- He, M.; Zhao, F. Experimental analysis of rockburst failure characteristics under different unloading rates. Rock Soil Mech. 2014, 35, 2737–2747+2793. [Google Scholar]
- Zhao, M.; Xu, W.; Liu, Y. Instability mechanism of high stress rock mass under excavation and unloading induced by disturbance. J. Coal 2020, 45, 936–948. [Google Scholar]
- Huang, R.; Huang, D. Under the condition of high ground stress unloading rate on the experimental study of kam screen marble effects of mechanical properties. J. Rock Mech. Eng. 2010, 29, 21–33. [Google Scholar]
- Su, G.; Mo, J.; Chen, Z.; Jiang, J. True triaxial test study on the influence of support failure on rock burst ejection failure. Rock Soil Mech. 2017, 38, 1243–1250. [Google Scholar]














| Specimen Number | Loading Rate/(mm•1−) | Unloading Rate/(kN•s−) | Specimen Number | Loading Rate/(mm•1−) | Unloading Rate/(kN•s−) |
|---|---|---|---|---|---|
| H1 | 0.2 | G1 | 0.001 | ||
| H2 | 1 | G2 | 0.003 | ||
| H3 | 0.003 | 2.5 | G3 | 0.005 | 1 |
| H4 | 3 | G4 | 0.008 | ||
| H5 | 5 | G5 | 0.012 |
| Slope Number | Kε1 | Kε2 | Kε3 | KεV | Kσ |
|---|---|---|---|---|---|
| G2-G1 | −0.1168 | 0.0683 | −0.1096 | −0.1576 | 5.7574 |
| G3-G1 | −0.1360 | 0.0509 | −0.0614 | −0.1466 | −6.1034 |
| G4-G1 | −0.1304 | 0.0466 | −0.0428 | −0.1263 | −8.1351 |
| G5-G1 | −0.0932 | 0.0318 | −0.0386 | −0.1000 | −4.5491 |
| Slope Number | Kε1 | Kε2 | Kε3 | KεV | Kσ |
|---|---|---|---|---|---|
| H2-H1 | 128.57 | 9.57 | 4.88 | 123.885 | 11,970.26 |
| H3-H1 | 60.61 | 8.1425 | 18.025 | 70.49 | 6503.73 |
| H4-H1 | 60.59 | 12.3028 | −1.9843 | 46.2986 | 4988.28 |
| H5-H1 | 42.41 | 6.6945 | 4.4455 | 36.3055 | 3132.19 |
| Specimen Number | Damage Coefficient | Degree of Material Mean | Specimen Number | Damage Coefficient | Degree of Material Mean |
|---|---|---|---|---|---|
| G1 | 1.0000 | 2.0000 | H1 | 0.9999 | 3.0894 |
| G2 | 0.9858 | 2.2216 | H2 | 0.9999 | 2.2216 |
| G3 | 1.0000 | 2.3100 | H3 | 0.9999 | 2.1465 |
| G4 | 0.9999 | 2.8277 | H4 | 0.9999 | 1.7948 |
| G5 | 0.8892 | 3.0415 | H5 | 0.9999 | 1.6428 |
| Specimen Number | Dcr | Dth | Dc | Db | Da |
|---|---|---|---|---|---|
| G1 | 0.8636 | 0.00069 | 0.0000015 | 0.000021 | 0.00044 |
| G2 | 0.7223 | 0.0258 | 0.0015 | 0.0044 | 0.0126 |
| G3 | 0.7358 | 0.0264 | 0.0015 | 0.0052 | 0.0137 |
| G4 | 0.6548 | 0.0793 | 0.0122 | 0.0284 | 0.0379 |
| G5 | 0.6440 | 0.1055 | 0.0330 | 0.0481 | 0.0526 |
| Specimen Number | Dcr | Dth | Dc | Db | Da |
|---|---|---|---|---|---|
| H1 | 0.6791 | 0.0502 | 0.0053 | 0.0128 | 0.0235 |
| H2 | 0.7223 | 0.0258 | 0.0015 | 0.0044 | 0.0126 |
| H3 | 0.8581 | 0.0038 | 0.00005 | 0.00069 | 0.0033 |
| H4 | 0.8918 | 0.0007 | 0.000002 | 0.000035 | 0.00048 |
| H5 | 0.9477 | 0.00005 | 0.0000001 | 0.000002 | 0.00004 |
Publisher’s Note: MDPI stays neutral with regard to jurisdictional claims in published maps and institutional affiliations. |
© 2022 by the authors. Licensee MDPI, Basel, Switzerland. This article is an open access article distributed under the terms and conditions of the Creative Commons Attribution (CC BY) license (https://creativecommons.org/licenses/by/4.0/).
Share and Cite
Wang, M.; Du, W.; Wang, Y.; Li, X.; Qiu, L.; Yu, B.; Niu, Z.; Zhang, D. The Effects of True Triaxial Loading and Unloading Rates on the Damage Mechanical Properties of Sandstone. Sustainability 2022, 14, 11899. https://doi.org/10.3390/su141911899
Wang M, Du W, Wang Y, Li X, Qiu L, Yu B, Niu Z, Zhang D. The Effects of True Triaxial Loading and Unloading Rates on the Damage Mechanical Properties of Sandstone. Sustainability. 2022; 14(19):11899. https://doi.org/10.3390/su141911899
Chicago/Turabian StyleWang, Man, Weihang Du, Yingwei Wang, Xinjian Li, Liming Qiu, Beichen Yu, Zehua Niu, and Dongming Zhang. 2022. "The Effects of True Triaxial Loading and Unloading Rates on the Damage Mechanical Properties of Sandstone" Sustainability 14, no. 19: 11899. https://doi.org/10.3390/su141911899
APA StyleWang, M., Du, W., Wang, Y., Li, X., Qiu, L., Yu, B., Niu, Z., & Zhang, D. (2022). The Effects of True Triaxial Loading and Unloading Rates on the Damage Mechanical Properties of Sandstone. Sustainability, 14(19), 11899. https://doi.org/10.3390/su141911899
