Abstract
To test the energy-saving effect of command-and-control policies, this research evaluates the impact of “Roadmap for China Phasing Out Incandescent Lamps” on the promotion of energy-efficient lighting products. We use the difference-in-difference (DID) model to investigate the influence of the policy on the promotion of LED lighting products at home and abroad based on 440 panel data from 22 LED lighting companies from 2011 to 2020. The results indicate that, compared with the control group, the sales revenue of LED lighting products in the treatment group increased in China and in foreign markets. In addition, the policy has had a more significant impact on the promotion of LED lighting abroad than in China.
1. Introduction
The Intergovernmental Panel on Climate Change (IPCC) pointed out that achieving the 1.5 °C temperature control target is needed to avoid irreversible and negative effects of climate change on human society and natural ecosystems. This requires all countries to work together to reduce global net anthropogenic CO2 emissions by approximately 45% by 2030 compared with 2010, and reach net zero by approximately 2050 [1]. The power sector is engaged to achieve carbon neutrality by 2050, which is a pre-condition of carbon neutrality in China [2]. As early as 2011, in order to save electricity and reduce CO2 emissions caused by lighting, the Chinese government introduced policies to eliminate traditional lighting products and promote the application of energy-efficient lighting products. The National Development and Reform Commission and other departments jointly issued the “Notice on Phasing out the Import and Sale of Incandescent Lamps for General Lighting” on 1 November 2011, announcing the decision to gradually ban the import and sale of ordinary incandescent lamps according to their power levels from 1 October 2012 [3]. This means that traditional incandescent bulbs would be phased out from the market and replaced by energy-efficient and eco-friendly lighting products. It has been nearly a decade since the implementation of Roadmap for China Phasing Out Incandescent Lamps. Whether the policy has promoted the promotion of energy-saving lighting products remains to be evaluated.
Policy instruments are important means for the government to use to govern a society, and are used by the government to achieve specific policy goals or results [4]. Referring to the Organization for Economic Co-operation and Development’s classification of policy tools, and combining them with China’s actual situation, China’s existing environmental policies can be divided into a command-and-control policy, an economy-incentives policy, an informational policy and a volunteering policy [5]. The performances of the different policy instruments have varied. The conclusions of existing research on the effectiveness of command-and-control policy are divergent. For example, Kelly [6] pointed out that, compared with information projects and financial incentive policies, regulatory policies had better effects on improving the energy efficiency of household appliances and reducing greenhouse gas emissions. However, Mi and Yang [5] evaluated the effectiveness of environmental policies from 1996 to 2015, and the results showed that command-and-control and volunteering policies have no significant effect on the energy-related behavior of residents.
As it is a typical command-and-control policy, few studies have analyzed the effect of Roadmap for China Phasing Out Incandescent Lamps from the perspective of policy instruments. In order to quantitatively analyze the effect of the policy, the government departments can discretely adjust the effectiveness of the policy and optimize the promotion effect of policy instruments on environmental protection. Taking Roadmap for China Phasing Out Incandescent Lamps as a quasi-natural experiment, this study applied difference-in-difference (DID) to evaluate the impact of the policy on the promotion of energy-efficient lighting products based on 440 panel data from 22 listed companies. Compared with existing research, the main contributions of this study are as follows: (1) to evaluate the effectiveness of the Roadmap for China Phasing Out Incandescent Lamps on the promotion of energy-efficient lighting products; (2) to quantify the influence of the policy on LED lighting product sales in domestic and foreign markets; (3) to analyze the performance of Roadmap for China Phasing Out Incandescent Lamps, which helps to clarify the effect of command-and-control policies and provides a theoretical reference for formulating environmental policies.
2. Literature Review
The existing studies on energy-efficient products incentive policies evaluate its role and effectiveness mainly through the purchase of energy-efficient products and energy-saving effects of consumers. Zeng et al. [7] examined the influence of China’s subsidy program for energy-efficient appliances on consumers, and their results showed that consumers’ decisions on whether to buy energy-efficient products were not significantly affected by the subsidy program. Nie et al. [8] evaluated the effectiveness of China’s energy-efficient household appliance subsidy policy from the perspective of economic benefits and found that the subsidy policy encouraged consumers to buy refrigerators with energy efficiency grade two rather than those with energy efficiency grade one, which were the most efficient, indicating that the efficiency of the current household appliance subsidy policy needs to be improved. Akao [9] explored the ecological integral system of Japanese household appliances, in which consumers can, through the “eco-points,” buy energy efficient appliances; similar to the vouchers, the integral can be exchanged for other environment-friendly products. the results show that the ecological integral system with a small cost of subsidy is more cost-efficient than a tax policy. Galarraga et al. [10] further discussed the optimal use of taxes and subsidies, concluding that the more additional policy constraints are added, the larger the deadweight loss. Other studies indicate that when subsidies are introduced to encourage consumers to buy high-efficiency appliances, the total energy consumption will increase by 1.4–2.0% with the increase of the total number of appliances [11].
Furthermore, some have evaluated the effects of LED lighting policies. For example, Wei et al. [12] tested the performance of the special fund for LED in Guangdong Province and found that nearly 1.5 million LED streetlamps and more than 4 million indoor LED lighting products have been promoted. Simultaneously, the establishment of “Guangdong LED Lighting Standard Technology Alliance”, the construction of “Guangdong LED Lighting Product Evaluation Benchmarking system”, and the establishment of LED lighting industry standardization public platform have accelerated the formation of LED lighting and technical standard system, and further promoted the process of industry standardization. Zhang et al. [13] used the LED industry in mainland China and Taiwan as an example to analyze the impact of government subsidies and tax incentives on the business performance of LED lighting-related enterprises, and found that government subsidies in mainland China were more effective than tax incentives in Taiwan.
Recently, research on LED lighting mainly focuses on its energy-saving and emission-reducing effects. For instance, LED streetlamps use 6–75% less energy and have a 16% lower lifecycle greenhouse gas footprint than do high-pressure sodium lamps [14,15,16]. Islam et al. [17] analyzed the emission reduction effect of switching the conventional lighting technology used in most areas of Kazakhstan to LED technology, showing that this can reduce CO2 emissions. Annual gross greenhouse gas emission reductions are 1.32 × 10^6t CO2, 4.33 × 10^9t CO2 and 0.0773 × 10^6t CO2 for residential, commercial/industrial and outdoor sub-sectors, respectively. Simultaneously, most of the studies investigating the economic benefit of promoting LED lighting show that the economic feasibility of promoting LED lighting depends on the financial cost of available energy [18,19]. Duman et al. [18] conducted a technical economic analysis of the off-grid Photovoltaic LED Road Lighting system in Turkey, and found that the economic feasibility of LED streetlamps significantly depends on the electricity price. Additionally, studies that evaluated the effectiveness of Roadmap for China Phasing Out Incandescent Lamps mainly analyzed the impact of the policy on incandescent lamp manufacturers and the lighting industry, as well as its effect on energy conservation and emission reduction [20], but missed an in-depth discussion on the effect of the policy on the promotion of energy-saving and efficient lighting products.
Above all, it is clear that existing studies on energy conservation policies mostly focus on economic incentive policies, and that most of them discuss the impact of policies on the purchase of energy-saving products and the resulting energy-saving effects for consumers, while few studies discuss the effectiveness of command-and-control policies. Additionally, existing studies on LED lighting mainly focus on promoting the energy-saving and emission reduction effects of LED lighting and its technical economic feasibility, but there are few studies that discuss how to promote LED lighting. In the initial stage of LED lighting promotion, government guidance is needed, and policy is a powerful means of government intervention in its promotion. Therefore, in order to explore the effectiveness of Roadmap for China Phasing Out Incandescent Lamps, this paper takes 22 LED lighting enterprises as samples and uses DID to evaluate the impact of the policy on the promotion of LED lighting.
3. Policy Background and Research Hypothesis
3.1. Policy Background
3.1.1. Roadmap for China Phasing Out Incandescent Lamps
Since the implementation of the green lighting project in 1996, China has initially formed a policy system to support the transformation from incandescent lamp to efficient lighting products. At the same time, the rapid development of the technology in the lighting industry has created a better industrial foundation for the implementation of Roadmap for China Phasing Out Incandescent Lamps. Specifically, Roadmap for China Phasing Out Incandescent Lamps consists of five phases, as shown in Table 1. Since 1 October 2012, the import and sales of ordinary lighting incandescent lamps has been gradually banned, affecting lamps which are designed for use in homes and similar situations, with power supply voltage of 200–250 volts (including 200 volts and 250 volts). Notably, incandescent lamps and reflective incandescent lamps used for special purposes, for example, scientific research and medical treatment, trains, ships, aircraft, motor vehicles, and household appliances, are exempted from elimination. The import and sale of incandescent lamps that fall within the scope of elimination are gradually banned according to the lamp’s power levels.
Table 1.
Timetable for phasing out incandescent lamps in China according to the data of Roadmap for Phasing Out Incandescent Lamps in China (http://www.gov.cn) for the date: November 2011 (accessed on 10 May 2021).
3.1.2. Energy-Efficient Lighting Products
LED lighting has appeared in the Chinese market since 2010 [21]. Data has shown that China’s LED lighting output has continued to grow, with 14.5 billion pieces produced by 2021, 17.9 times the output in 2013. The penetration rate of China’s domestic LED lighting market, the ratio of the number of domestic LED lighting products sold to the total number of domestic lighting products sold, is on the rise. By 2019, the penetration rate of China’s LED lighting products has reached 76%, which is 8.54 times of that in 2013. In terms of exports, China is currently the world’s largest producer and exporter of LED lighting products, with a lighting export dependency of more than 50% [22]. Globally, the penetration rate of LED lighting industry market size was only 2.9% in 2010, and increased to 59% by 2020 [23], which is 20.34 times that of 2020.
Practical data show that LED lighting is increasingly replacing traditional lighting, and the penetration rate is increasing, which is closely related to the progress of LED lighting technology. Scholars believe that the policies of phasing out incandescent lamps introduced by various countries provide an important opportunity for the promotion of LED lighting worldwide [24], but they have not conducted in-depth analysis on the effects of the policies. Therefore, this research tries to take LED lighting as an example to analyze whether Roadmap for China Phasing Out Incandescent Lamps has a significant impact on the promotion of energy-saving lighting products.
3.2. Hypothesis Formulation
In addition to the Roadmap for China Phasing Out Incandescent Lamps in China, many other countries and regions have issued plans to phase out incandescent lamps. For instance, on 20 February 2007, the Australian government announced the implementation of a plan to phase out inefficient incandescent lamps through legislation. This was shortly followed by actions of the European Union, the United States, Canada, Japan, South Korea, and other countries, which also planned to phase out incandescent lamps [25]. A series of policies to phase out incandescent lamps have played an important role in inhibiting the sales of incandescent lamps in domestic and international markets and have also provided a significant opportunity for promoting LED lighting products worldwide. The release and implementation of Roadmap for China Phasing Out Incandescent Lamps not only created new opportunities for domestic lighting enterprises in the energy-efficient lamp industry, but also prompted many traditional lighting enterprises to adjust their product mix to achieve transformation [26,27]. China is one of the largest producers of lighting products in the world, one which not only provides products to meet the demand of the domestic market, but also export the products to more than 170 countries [28]. Based on the background of policies for phasing out incandescent lamps at home and abroad, this paper indicates that it is necessary to explore whether the Roadmap for China Phasing Out Incandescent Lamps has an impact on the promotion of LED lighting abroad. Based on the analysis above, the following hypotheses are proposed:
H0.
The policy significantly promotes LED lighting products in China.
H1.
The policy significantly promotes LED lighting products abroad.
4. Method
4.1. Model Settings
In the field of policy evaluation, difference-in-difference (DID) based on natural experiments is most widely used. DID can not only be adequately combined with panel data, but also can also control for the unobserved individual heterogeneity among samples and the influence of unobserved factors that change over time, thus obtaining unbiased estimations of policy effects. Since 1 October 2016, China has banned the import and sales of general lighting incandescent lamps of 15 W and above, which can be regarded as a natural experiment, and the present research can obtain 440 panel data from 22 enterprises. Therefore, to fulfill our research goals, the study uses DID to estimate the effectiveness of the Roadmap for China Phasing Out Incandescent Lamps on the promotion of LED lighting at home and abroad. By controlling for other factors, the DID can test whether there is a significant difference in the sales of LED lighting at home and abroad between the treatment and control groups. Therefore, the model is set as follows:
where Yct is the dependent variable, referring to the logarithm of domestic and foreign sales revenue of LED lighting products, which is used to represent the promotion of LED lighting. DIDct is the core explanatory variable and is defined as follows:
DIDct = Treatmentc × Postt
The subscripts c and t denote enterprise and year, respectively. In the research period, if enterprise c is in the treatment group, Treatmentc = 1, otherwise 0; Postt = 1 when t ≥ 12 (The sample period of this paper is from 2011 to 2020. To facilitate data analysis, the period from January to June 2011 is assigned as 1, and the period from July to December 2011 is assigned as 2, and so on. Therefore, the value 12 represents the period from July to December 2016), otherwise 0. In our research, the effectiveness of the policy on the promotion of LED lighting products is measured by the sales of the main products of the company. Therefore, in terms of the distinction between the treatment group and the control group, enterprises whose main product is LED lighting are regarded as the treatment group and the other enterprises as the control group. Controlct represents the control variables that affect the promotion of LED lighting products and change with c and t. The term represents the fixed effect of enterprises, which controls the individual factors that affect the promotion of LED lighting, but do not change with time. Terms and represent the time effect and error term, respectively. The estimated coefficient represents the policy effectiveness of of Roadmap for China Phasing Out Incandescent Lamps. If the policy is effective for the promotion of LED lighting products, coefficient will be significantly positive.
4.2. Variable Definitions
(1) Dependent variables. The logarithm value of sales revenue of LED lighting at home and abroad is selected to represent the effectiveness of promoting LED lighting and is represented by Y1 and Y2, respectively.
(2) Core explanatory variables. The policy interaction item DIDct is the core explanatory variable, and treatmentc and postt are the policy group dummy and time dummy variables, respectively.
(3) Control variables. In addition to the policy, there are more factors which may affect the promotion of LED lighting, so the interference of factors other than the policy should be controlled. Consequently, this paper selects the following control variables: the enterprise age (AGE) is measured by the year of its opening to control the influence of enterprise maturity on its LED lighting sales; the influence of enterprise scale on LED lighting sales is controlled by the logarithm of total assets (TAV) and total number of employees (TNP) at the end of the period. In addition, this paper selects the proportion of R&D employees in total and the logarithm of R&D investment of enterprises to control the influence of enterprise R&D level on LED lighting sales.
4.3. Data Sources and Descriptive Statistics
In this paper, the data of interim reports and annual reports of A-share listed LED lighting enterprises from 2011 to 2020 were used to conduct empirical research. Enterprises with ST, ST* (ST indicates that the financial or other conditions of the enterprise are abnormal. ST* indicates that the enterprise has the risk of termination of listing) and samples with missing important information were excluded. Finally, 22 enterprises were selected as the research samples with 440 pieces of data. The treatment group consisted of 14 enterprises whose main business is LED lighting, and the remaining 8 enterprises belong to the control group. Table 2 shows the descriptive statistics of dependent and control variables.
Table 2.
Descriptive statistics of variables.
5. Empirical Results
5.1. Baseline Regression Results
The regression results are shown in Table 3. The results as shown in Table 3, Columns (1,3) indicate that at the significance level of 1%, Roadmap for China Phasing Out Incandescent Lamps has a significant positive impact on the sales of LED lighting in China, and at the significance level of 5%, the policy has a significant positive effect on the sales of LED lighting in foreign countries. When adding control variables Columns (2,4), the coefficients are still significant, which indicates that Roadmap for China Phasing Out Incandescent Lamps still has a significant positive effect on the sales of LED lighting at home and abroad.
Table 3.
Baseline regression results.
Specifically, the policy increased the sales of LED lighting by approximately 32.2% (SD = 0.0572) at the significance level of 1% in China and 41.3% (SD = 0.1436) at the significance level of 5% in foreign countries, on average. The policy has a more significant effect on the sales of LED lighting in foreign countries than in China. Part of the reason could be that, in addition to China, other countries and regions have also conducted policies to eliminate incandescent lamps. For example, Australia, the United States, Canada and other countries have introduced laws and regulations to eliminate incandescent lamps [28]. Simultaneously, compared with the estimated results of Column (1) and Column (3), after the addition of control variables, the estimated values of the coefficients of Column (2) and Column (4) are still significant, respectively, which is credible and consistent with the empirical results of the robustness tests in the following section. The baseline regression results show that the Roadmap for China Phasing Out Incandescent Lamps has a significant positive impact on the promotion of LED lighting, and that all hypotheses are preliminarily valid.
5.2. Robustness Test
5.2.1. Test of the Parallel Trend
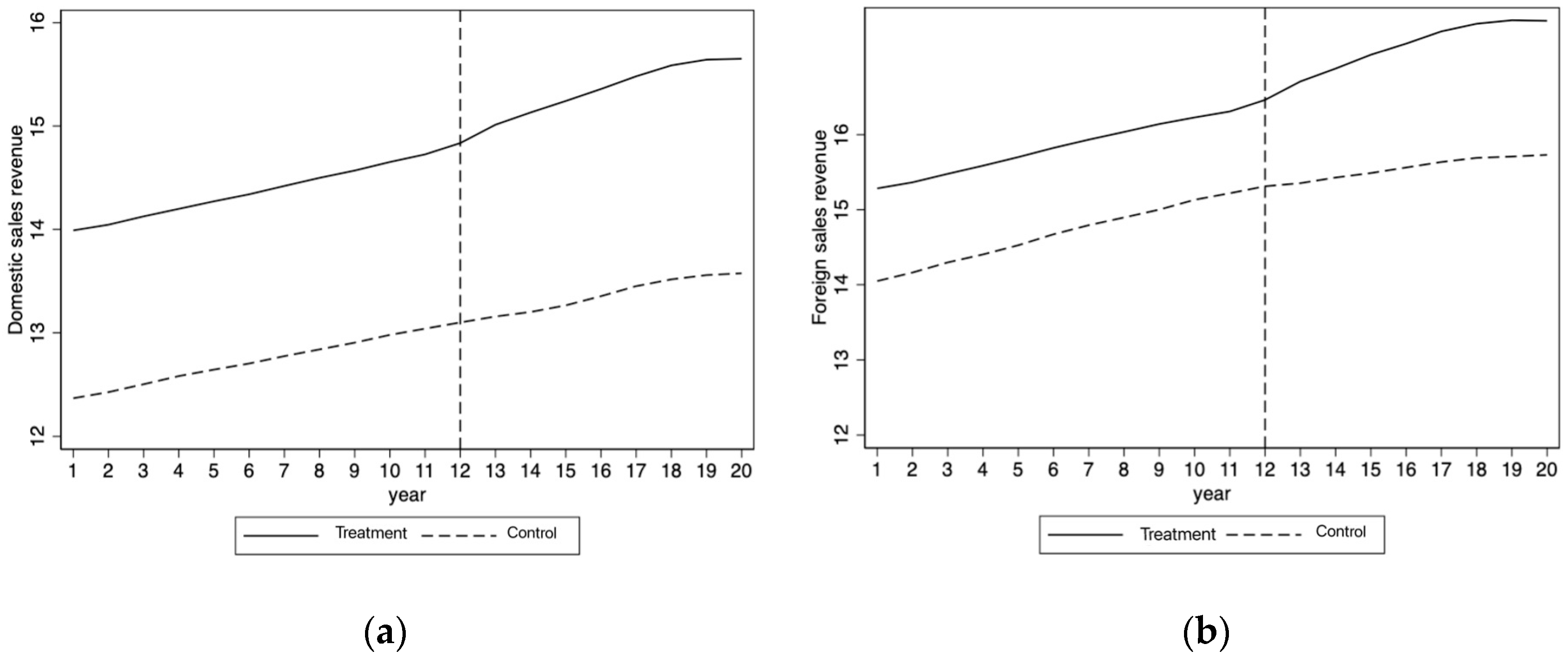
The application of DID requires the treatment group and the control group to satisfy the parallel trend assumption to ensure the unbiased estimator. In this paper, the parallel trend assumption refers to the fact that the sales of LED lighting in the treatment and control groups were basically consistent before the implementation of the Roadmap for China Phasing Out Incandescent Lamps. After the implementation of the policy, the break of the parallel trend between the treatment and control groups indicates that the sales of LED lighting in the treatment group have a trend change compared with the control group. As evident in Figure 1, the results of parallel trend test, before the implementation of the Roadmap for China Phasing Out Incandescent Lamps, the sales of LED lighting in the treatment and control groups maintained a parallel trend at home and abroad. After the implementation of the policy, the LED lighting sales of the treatment group begin to exceed those in the control group, which is consistent with the policy time node selected in this study. It can be seen that the parallel trend assumption of the DID is supported.
Figure 1.
Parallel trend test. Notes: (a,b) represent the mean sales revenue of LED lighting in the treatment group and the control group at home and abroad, respectively. The solid line represents the mean sales revenue of LED lighting in China, the dotted line represents the mean sales revenue of LED lighting products in foreign countries, and the solid vertical line represents the time of policy implementation.
5.2.2. Placebo Test
To exclude the interference from other non-observational missing variables, indirect tests were conducted by randomly selecting 11 samples from the whole sample as the treatment group and using the regression results in Columns (2) and (4) of Table 3 as the baseline results. According to Equation (1), the estimation of the DIDct coefficient β1 can be expressed as follows:
In Equation (3), control represents all observable control variables, and is equal to 0 if the estimate of is unbiased. The difficulty, however, is that there is no way to know whether is equal to 0, and there is no way to directly test whether the estimate is affected by non-observational factors. If DIDct has no effect on the dependent variable through computer simulation and = 0 can be estimated, then λ = 0 can be derived inversely. The placebo test method appeared in Ferrara et al. [29] and was gradually promoted in the application of DID later. For more details, please refer to the study of Li et al. [30].
To improve the discernment of the placebo test, the random process was repeated 500 times. The results show that the randomly assigned estimate values were concentrated near zero, the standard deviation of the estimate was 0.05, and the baseline estimate results were outside the entire distribution. Therefore, we can deduce that λ is equal to 0, which proves that no other random factors affected the research results. In other words, it can be inferred that the policy has a significant effect on the sales of LED lighting in the treatment group at home and abroad. In conclusion, the significant positive effect of the policy on promoting the development of LED lighting is not influenced by unobserved missing variables.
5.2.3. Other Robustness Tests
First, differences-in-differences propensity score matching (PSM-DID): To ensure the robustness of the baseline regression results, PSM-DID is further used to test the effect of the policy. Specifically, the control variables mentioned above are used to predict the probability that an enterprise belongs to the treatment group (logistic regression). Then, radius matching, kernel matching and nearest neighbor matching are used to match the treatment group with the control group, so that there is no significant difference between them before the policy impact, thereby reducing endogenous problems. Based on this, DID is used to identify the net effect of the policy on LED lighting sales. Because the propensity score matching can solve the bias problem of observable covariates to the greatest extent, while DID can eliminate the influence of unobserved variables, such as time-invariant and time-synchronous changes, policy effects can be better identified through the integration of the two methods. Table 4 shows the regression results, in which Columns (1–3) are the estimation results of radius matching, kernel matching, and nearest neighbor matching, respectively. In principle, regardless of the matching method used, the final estimation results do not differ significantly [31]. The estimation results of the three matching methods are shown in Table 4. As we can see from Table 4, the estimated coefficients, symbols, and significance levels are basically consistent with Table 3. Therefore, the estimation that Roadmap for China Phasing Out Incandescent Lamp has a significant positive impact on promoting the development of LED lighting is robust.
Table 4.
Other robustness tests.
Second, control variables lagged by one stage: In consideration of the possible adverse effects between the selected variables and the effect of the policy, all control variables are delayed for one period and the regression conducted again to reduce potential endogeneity problems. The empirical results are shown in Column (4) of Table 4. Evidently, the coefficient sign and significance are consistent with the benchmark regression result. However, the control degree is weakened owing to the one-stage lag of the control variable, resulting in a slight increase in the estimated coefficient. The robustness of the conclusions was reverified.
Third, the sample period varied. The regression in this study is based on data from the interim reports and annual reports of enterprises from 2011 to 2020. However, the policy examined herein took effect on 1 October 2016, and the period before the sample reform was slightly longer. To improve the robustness of regression results, the regression analysis was conducted again four years before and after the policy took effect. As shown in Column (5) of Table 4, the empirical results are consistent with the previous results. This proves the robustness of the results.
6. Conclusions and Discussions
Taking 22 LED lighting companies as samples, this paper conducts a quasi-natural experiment and uses DID to evaluate the effectiveness of the policy on promoting LED lighting. The results show that compared with the control group, the policy increased the sales of LED lighting products in the treatment group by 32% and 41% at home and abroad, respectively. It can be safely argued that the Roadmap for China Phasing Out Incandescent Lamps accelerates the development of LED lighting. Additionally, a series of robustness tests, such as the parallel trend test, placebo test, PSM-DID, one-stage lag of control variables, and sample change period, were conducted to further verify the conclusions. The results show that the regression results are still significant after considering these factors. However, it is important to point out that the empirical results show that there are other factors affecting the development of LED lighting. On the one hand, the central government and local governments in Guangdong, Fujian, Gansu have issued a number of industrial policies during the implementation of Roadmap for China Phasing Out Incandescent Lamps, such as “investment in science and technology”, “subsidies at the consumer end” [32]. The effectiveness of such policies on promoting LED lighting can be further tested in subsequent studies. And the command-and-control policies and economic incentive policies can be further compared to provide references for the formulation of subsequent energy-saving policies. On the other hand, other countries and regions have also implemented policies and measures to phase out incandescent lamps during the implementation of Roadmap for China Phasing Out Incandescent Lamps. Therefore, the promotion of LED lighting abroad may also be affected by the policies of countries importing LED lighting products from China. The role of the policy on eliminating incandescent lamps in other countries and regions can be further explored in future studies to enrich existing research on LED lighting.
Some novel findings have been achieved by this paper, which expands existing knowledge as follows: First, existing studies on energy-saving policies mainly discuss the effectiveness of economic incentive policies [33,34]. This paper evaluates the effectiveness of the command-and-control policy of Roadmap for China Phasing Out Incandescent Lamps in promoting energy-saving and high-efficiency lighting products. Second, the conclusions of existing research on the effectiveness of command-and-control policies are divergent. This paper further verifies the effectiveness of command-and-control policies, that is, command-and-control policies applied to producers are more conducive to promote the development of energy-saving products. Finally, other studies on LED lighting mostly focus on energy-saving and emission reduction effects [14,15]. This research focuses on promoting LED lighting and enriches existing studies. At the same time, this paper takes Roadmap for China Phasing Out Incandescent Lamps as a quasi-natural experiment and uses the standard research model according to the principle of natural experiment to examine the effectiveness of this policy on promoting the development of energy-saving and high-efficiency lighting products.
Author Contributions
Conceptualization, Z.J.; methodology, software, validation, formal analysis, and writing—original draft preparation, Z.J.; investigation and resources, J.Z. and J.L.; writing—review and editing, and supervision, Z.J. and H.Y. All authors have read and agreed to the published version of the manuscript.
Funding
This research was supported by the Education Department of Jilin Province (JJKH20220301SK), Changchun Federation of Social Sciences (Changchun Academy of Social Sciences) (ccss2022025), and the Scientific Research Foundation of Jilin Jianzhu University (861283).
Institutional Review Board Statement
Not applicable.
Informed Consent Statement
Not applicable.
Data Availability Statement
The authors would like to thank the editors and anonymous reviewers for their thoughtful and constructive comments.
Conflicts of Interest
The authors declare no conflict of interest.
References
- IPCC. Global Warming of 1.5 °C. Available online: https://www.ipcc.ch/sr15/ (accessed on 8 July 2021).
- Duan, H.; Zhou, S.; Jiang, K.; Bertram, C.; Harmsen, M.; Kriegler, E.; van Vuuren, D.P.; Wang, S.; Shinichiro, F.; Massimo, T.; et al. Assessing China’s efforts to pursue the 1.5 °C warming limit. Science 2021, 372, 378–385. [Google Scholar] [CrossRef] [PubMed]
- National Development and Reform Commission. Announcement of the National Development and Reform Commission, Ministry of Commerce of the People’s Republic of China, General Administration of Customs of the People’s Republic of China, State Administration for Industry and Commerce of the People’s Republic of China, General Administration of Quality Supervision, Inspection and Quarantine of the People’s Republic of China (No.28,2011). Available online: https://www.ndrc.gov.cn (accessed on 23 May 2021).
- Li, J.; Gao, Y.; Li, X.F. Research on China’s low-carbon policy analysis framework from the perspective of policy instruments. Sci. Technol. Prog. Policy 2013, 30, 112–117. [Google Scholar]
- Mi, L.Y.; Yang, J. Evaluation of policy efficacy and effect of resident energy conservation based on policy quantification in China from 1996 to 2015. Resour. Sci. 2017, 39, 651–663. [Google Scholar]
- Kelly, G. Sustainability at home: Policy measures for energy-efficient appliances. Renew. Sustain. Energy Rev. 2012, 16, 6851–6860. [Google Scholar] [CrossRef]
- Zeng, L.; Yu, Y.; Li, J. China’s promoting energy-efficient products for the benefit of the people program in 2012: Results and analysis of the consumer impact study. Appl. Energy 2014, 133, 22–32. [Google Scholar] [CrossRef]
- Nie, H.; Zhou, T.; Lu, H.; Huang, S. Evaluation of the efficiency of Chinese energy-saving household appliance subsidy policy: An economic benefit perspective. Energy Policy 2021, 149, 11205. [Google Scholar] [CrossRef]
- Akao, K.I. An economic analysis of the “Home Appliance Eco-Point System” in Japan. Environ. Econ. Policy Stud. 2016, 19, 483–501. [Google Scholar] [CrossRef]
- Galarraga, I.; Abadie, L.M.; Kallbekken, S. Designing incentive schemes for promoting energy-efficient appliances: A new methodology and a case study for Spain. Energy Policy 2016, 90, 24–36. [Google Scholar] [CrossRef]
- Galarraga, I.; Abadie, L.M.; Ansuategi, A. Efficiency, effectiveness and implementation feasibility of energy efficiency rebates: The ‘Renove’ plan in Spain. Energy Econ. 2013, 40, S98–S107. [Google Scholar] [CrossRef]
- Wei, H.Z.; Lu, Y.F.; Zheng, F.H. Third party evaluation of Guangdong LED and new energy vehicle development special fund performance. South China J. Econ. 2015, 7, 122–130. [Google Scholar]
- Zhang, X.H.; Chang, Q.; Zhang, Y.J. The impact of government subsidies and tax incentives on enterprise performance: A comparison of LED industry in Mainland China and Taiwan. Res. Financ. Econ. Issues 2016, 8, 123–128. [Google Scholar]
- Wu, M.S.; Huang, H.H.; Huang, B.J.; Tang, C.W.; Cheng, C.W. Economic feasibility of solar-powered led roadway lighting. Renew. Energy 2009, 34, 1934–1938. [Google Scholar] [CrossRef]
- Hadi, S.A.; Kaabi, M.; Ali, M.; Arafat, H.A. Comparative life cycle assessment (LCA) of streetlight technologies for minor roads in United Arab Emirates. Energy Sustain. 2013, 17, 438–450. [Google Scholar] [CrossRef]
- Thkm, L.; Halonen, L. Life cycle assessment of road lighting luminaires—Comparison of light-emitting diode and high-pressure sodium technologies. J. Clean. Prod. 2015, 93, 234–242. [Google Scholar]
- Islam, G.; Darbayeva, E.; Rymbayev, Z.; Dikhanbayeva, D.; Rojas-Solórzano, L. Switching-Off conventional lighting system and turning-on LED lamps in Kazakhstan: A techno-economic assessment. Sustain. Cities Soc. 2019, 51, 101790. [Google Scholar] [CrossRef]
- Duman, A.C.; Guler, O. Techno-Economic analysis of off-grid photovoltaic LED road lighting systems: A case study for northern, central and southern regions of Turkey. Build. Environ. 2019, 156, 89–98. [Google Scholar] [CrossRef]
- Katzin, D.; Marcelis, L.; Mourik, S.V. Energy savings in greenhouses by transition from high-pressure sodium to LED lighting. Appl. Energy 2021, 281, 116019. [Google Scholar] [CrossRef]
- Ding, Q.; Zhao, Y.; Liu, R.; Liang, X.; Lin, L. Implementation effect of China’s Roadmap for the Phase-out of Incandescent Lamps energy-saving policy. China Illum. Eng. J. 2017, 28, 7–12. [Google Scholar]
- Guo, F.; Pachauri, S. China’s Green Lights Program: A review and assessment. Energy Policy 2017, 110, 31–39. [Google Scholar] [CrossRef]
- China Solid State Lighting Alliance. The Development and Data of China’s Semiconductor Lighting Industry 2015. Available online: http://www.china-led.net (accessed on 13 September 2022).
- China Commerce Industry Research Institute. Analysis of the Development Status and Prospects of China’s LED Lighting Industry in 2021. Available online: https://baijiahao.baidu.com (accessed on 13 September 2022).
- Cheng, Q. The New Direction of LED Lighting Industry Development in China under the Global Lighting Market. China Light Lighting 2019, 1, 16–23. [Google Scholar]
- Liang, X.Y.; Zhao, Y.J.; Xia, Y.J. Analysis on obstacles and policy suggestion on implementing Roadmap for China Phasing out Incandescent Lamp. Stand. Sci. 2012, 8, 37–42. [Google Scholar]
- Ke, S.B. Entering the post-incandescent era: Are we Ready?—Interpretation of China’s Roadmap for Phasing out Incandescent Lamps. China Constr. 2012, 12, 20–23. [Google Scholar]
- China Association of Lighting Industry. Investigation and Evaluation Report on Current Situation of Chinese Incandescent Lamp Manufacturers. Available online: http://www.chineselighting.org (accessed on 6 May 2021).
- Xia, Y.J.; Zhao, Y.J.; Peng, Y.Y.; Wang, R.H.; Lv, Q.S. Comparison and analysis of International Roadmaps for Phasing out Incandescent Lamps (I). Energy Conserv. Environ. Prot. 2012, 1, 50–52. [Google Scholar]
- Ferrara, E.L.; Chong, A.; Duryea, S. Soap operas and fertility: Evidence from Brazil. Am. Econ. J. Appl. Econ. 2012, 4, 1–31. [Google Scholar] [CrossRef]
- Li, P.; Lu, Y.; Wang, J. Does flattening government improve economic performance? Evidence from China. J. Dev. Econ. 2016, 123, 18–37. [Google Scholar] [CrossRef]
- Vandenberghe, V.; Robin, S. Evaluating the effectiveness of private education across countries: A comparison of methods. Labour Econ. 2004, 11, 487–506. [Google Scholar] [CrossRef]
- Ye, X.; Li, M. Study on the Difference of China’s Industrial Policy Based on the Quantitative Analysis of Policy Documents—A Case Study on the Light Emitting Diode Industry. J. Public Manag. 2015, 12, 145–152, 159–160. [Google Scholar]
- Nie, H.; Kemp, R.; Xu, J.; Vasseur, V.; Fan, Y. Split incentive effects on the adoption of technical and behavioral energy-saving measures in the household sector in Western Europe. Energy Policy 2020, 140, 111424. [Google Scholar] [CrossRef]
- Nie, H.; Kemp, R.; Vasseur, V. Exploring the changing gap of residential energy consumption per capita in China and the Netherlands: A comparative analysis of driving forces. Sustainability 2020, 12, 4634. [Google Scholar] [CrossRef]
Publisher’s Note: MDPI stays neutral with regard to jurisdictional claims in published maps and institutional affiliations. |
© 2022 by the authors. Licensee MDPI, Basel, Switzerland. This article is an open access article distributed under the terms and conditions of the Creative Commons Attribution (CC BY) license (https://creativecommons.org/licenses/by/4.0/).
