Abstract
Brackish water zones are areas with high ecological conservation value. In this study, 325 river estuaries in the Korean peninsula in individual sea areas (West Sea, South Sea, and East Sea) were divided into types of estuaries (upstream and downstream of open estuaries, closed estuaries) through the assessment of the health of the estuary aquatic ecosystems and fish communities were identified. An ecological assessment was carried out using the Korea Estuary Fish Assessment Index (KEFAI). The number of species increased as the size of the river increased in the case of small estuaries but gradually decreased in the case of large estuaries. In the closed estuaries, the relative abundances (RAs) of primary freshwater fish were the highest; however, in the open estuaries, the RAs of estuary fish were the highest. Non-metric dimensional analysis results suggested that there was a clear difference between the fish assemblages in the closed and open estuaries. The overall results of this study were that the RA of tolerant species was higher, and KEFAI was lower in closed estuaries than in open estuaries, indicating the negative effects of the construction of transverse structures on fish assemblages. The health of these estuarine ecosystems can be improved by addressing these negative effects.
1. Introduction
Brackish water zones are transition zones where the sea and river meet and are areas where changes in salinity, temperature, oxygen, and turbidity occur rapidly due to the influence of tides. In addition, because the organic matter and nutrients that descend from the upper reaches are concentrated, there are abundant live food resources in brackish water zones. Therefore, brackish water zones serve as habitats and spawning grounds for many animals and plants. The characteristics of brackish water zones as such provide good habitats and spawning grounds for fish as well, with an environment that can exhibit high species diversity and abundance [1,2,3,4,5]. As such, brackish water zones are areas with high ecological conservation value; however, in recent decades, many changes have occurred in estuary ecosystems due to large-scale reclamation projects for agricultural, industrial, and residential sites and the construction of estuary dikes and seawalls to secure water. Although artificial development brought about positive functions for humans, it has had negative effects on the water quality of brackish water zones and the fish that inhabit them [6,7,8]. In particular, the severance between freshwater and seawater induced by physical environmental changes that resulted from artificial factors, such as large-scale civil works (e.g., estuary dikes, dams, and seawalls), has caused not only simple physical disturbances but also modifications of rivers into lakes, desalination of seawater, water quality deterioration [9,10], and chemical disturbance factors such as changes in salinity leading to fish migrations [11,12,13] and changes in assemblages and species compositions [14,15,16,17].
In the case of the Korean Peninsula, industrialisation has progressed rapidly since the 1960s, so many wetlands in river estuaries have been damaged due to water pollution of rivers due to urbanisation, reclaimed land through reclamation projects, and concentrated development projects [18,19]. In addition, since South Korea has a lot of agricultural land, it is essential to secure stable sources of water. As a result, estuary aquatic ecosystems in South Korea are currently highly vulnerable to physico-chemical environmental changes because they are composed of closed estuaries where structures that prevent river circulation, such as estuary dikes and dams, are installed to block seawater coming from the sea [20,21,22]. Therefore, regular monitoring through scientific and systematic methods is required to secure the integrity of the estuaries and establish management and conservation strategies.
Ecosystem health is a concept that has often been applied to the evaluation of ecosystems, and it integrates environmental conditions with the impacts of anthropogenic activities in order to give information for the sustainable use and management of natural resources [23]. In order to assess the health of river water ecosystems due to various factors, different research methods using living organisms as well as physicochemical water quality analysis are generally used. Currently, environmentally developed countries (e.g., Europe and USA) are conducting assessments of the health of aquatic ecosystems across the country through the biological water quality assessment method using aquatic organisms that inhabit rivers. In South Korea, the Ministry of Environment has also been using biological water quality assessment techniques using epilithic diatoms, benthic macroinvertebrates, and fish since 2016. Although there are many biological assessment methods using various taxa as such, the index of biological integrity (IBI) [24] assessment method using fish is representative. In this regard, in overseas countries, Cabral et al. [25] developed an estuarine fish assessment index (EFAI) using fish according to the characteristics of the Portuguese estuaries and conducted overall assessments of brackish water zones, and Hallett et al. [26] assessed brackish water zones using the fish community index (FCI) for efficient estuary management in Australia.
In South Korea, diverse studies have been conducted, such as the assessment of estuary health following freshwater discharge from the Yeongsan River estuary dike [27] and the assessment of marine ecosystem health using floating organisms in Jinhae Bay [28]. Fish are one of the highest taxons of the food chain in an aquatic ecosystem, except for mammals and birds, while having close relationships with other species, and can be regarded to represent the biodiversity of the relevant area. In addition, they can be said to be particularly suitable for assessing impacts on aquatic ecosystems because not only are they sensitive to physico-chemical changes, but they also have many advantages as a major indicator for assessing health through biological monitoring programs [24,29]. The assessment method using fish as such enables the assessment of the ecological value of estuaries as well as rivers so that the integrity of the estuarine aquatic ecosystems can be assessed for the establishment of estuary conservation strategies. The estuarine aquatic ecosystem health assessment conducted by the Ministry of Environment in 2008 calculated and used the fish assessment index (FAI) based on the IBI. However, most items are river aquatic ecosystem survey items and have had some problems in assessing estuarine aquatic ecosystems’ health considering the characteristics of estuaries. The items and index values were improved over the years to fit the characteristics of estuaries, and largely five items (diversity, productivity, uniqueness, ecological importance, and risk) that enable actual assessment of estuaries were applied to finally develop the Korea Estuary Fish Assessment Index (KEFAI) that fits the characteristics of estuaries in South Korea, which has been used since 2016 [30].
The assessment of the health of brackish water zones is an important matter in establishing estuary management and conservation strategies. Various strategies for estuaries are being established not only in South Korea but also in foreign countries based on the assessment of the health of estuaries [27]. In South Korea, studies using the aquatic ecosystem integrity index were conducted with rivers in the past, but such studies have not been conducted with estuaries. Therefore, in this study, we investigated fish communities of 325 estuaries throughout the Korean peninsula to evaluate the health of estuaries using KEFAI and also compared ecosystem health status by sea areas (West Sea, South Sea, and East Sea) and types of estuaries (open estuaries and closed estuaries). This study was intended to assess the characteristics of domestic estuaries and identify differences in health by types of open and closed estuaries in order to establish strategies for securing the health of estuaries in South Korea.
2. Materials and Methods
2.1. Field Sampling
The Korean Peninsula is surrounded by sea on three sides, and a lot of streams and rivers flow into the ocean; as a result, there are about 460 estuaries formed in South Korea. The sea areas are divided into the East Sea, the South Sea, and the West Sea, and the estuaries of the east coast have topographical features such as monotonous coastal zones, small tidal differences, steep slopes, and well-developed lagoons, beaches, and sandbars. The estuaries of the west coast are characterised by widely formed mud flats because of gentle slopes and very large tidal differences. The estuaries of the south coast have complex coastlines.
This study was conducted with a total of 325 estuaries, excluding large estuaries and estuaries that could not be surveyed on site (under construction, dry streams, and other such sites) among the 460 estuaries in South Korea (Figure 1). The surveys were conducted separately for closed and open estuaries. The survey points were selected in the areas inside the drainage sluice gates in the case of closed estuaries and in the areas where drainage sluice gates could be installed inside the coastlines in the case of open estuaries. Of all the points, 87 rivers flow into the East Sea with seven closed estuaries and 80 open estuaries, 151 rivers flow into the South Sea with 49 closed estuaries and 102 open estuaries, and 87 rivers flow into the West Sea with 68 closed estuaries and 19 open estuaries. The survey period was from 2016 to 2018, and surveys were conducted twice each year in the first half (April–May) and the second half (September–October). A total of 95 estuaries (East Sea: 11, South Sea: 36, and West Sea: 48) were surveyed in 2016, a total of 108 estuaries (East Sea: 47, South Sea: 44, West Sea: 17) were surveyed in 2017, and a total of 122 estuaries (East Sea: 29, South Sea: 71, West Sea: 22) were surveyed in 2018.
Figure 1.
Map of study sites in the Korean Peninsula. A total of 325 estuaries were investigated (the edge of each sea area is marked by dotted arrows; East sea, 87; South sea, 151; West sea, 87; ●, Closed estuaries; ○, Open estuaries).
The fish collections were conducted using four types of sampling gears and applied differently depending on the types of estuaries (closed or open estuary). At all points, cast nets (mesh size 7 × 7 mm; area 4.5 m2), skimming nets (mesh size 5 × 5 mm; area 1.35 m2), and set nets (mesh size 5 × 5 mm; guiding net length 6 m; height 1 m) were used, and for the closed estuaries, gill nets (mesh size 12 × 12 mm; length 36 m; height 90 cm) was additionally installed because closed estuaries showed reservoir-like characteristic, we added a gear appropriate for lentic systems. In each sampling, cast nets were used 10 times, skimming nets were used for 30 min, and set nets and gill nets were collected after installing for at least 12 h so that one each of high and low tides could be included (installed at a low tide and collected at the next low tide). The collected fish were immediately identified and counted at the site and released thereafter. In cases where identification at the site was not possible, the fish were fixed in formalin and transported to the laboratory for identification. The collected fish were identified using Kim and Park [31] and Choi et al. [32], and the classification followed Nelson et al. [33].
Overall, nine environmental parameters were measured to estimate physico-chemical condition of sampling sites. Environmental factors were measured at the same site where fish sampling was undertaken. The stream order was estimated using a stream reach map established by the Ministry of Environment (https://www.nier.go.kr accessed on 5 May 2022), and stream width was measured using a laser rangefinder (Bushnell sprots 600, Bushnell, Overland Park, KS, USA). Water temperature, dissolved oxygen (DO), pH, conductivity, turbidity, and salinity were measured using a multiparameter water quality meter (YSI Professional Plus, YSI Incorporated, Yellow Springs, OH, USA). Chemical oxygen demand (COD), total nitrogen (T-N), and total phosphorus (T-P) were analysed in the laboratory according to the measurement method for general items under the “Test Standards for Water Pollution Process (MOE, 2017)” and Rice et al. [34].
2.2. Calculation of Multimetric Index
In order to evaluate the health of the estuaries where the fish were sampled, the Korea Estuary Fish Assessment Index (KEFAI), which was developed to fit the local environment in 2016, was calculated. Based on the fish community data surveyed by point, the health of the estuaries was evaluated by applying the ecological characteristics of the sampled fish species to eight health evaluation items (M1 is the diversity index; M2 is the total number of species; M3 is the number of migratory species; M4 is the number of estuary species; M5 is the number of marine species; M6 is the proportion of tolerant species, which is a species resistant to environmental changes; M7 is the proportion of benthic species; M8 is the proportion of abnormal individuals, which are individuals that show deformity, erosion of fin, lesions, tumors) to calculate the scores according to each item and the total of scores for each item and convert the totals based on a full score of 100 points (Table 1). In cases in which no fish were collected, the minimum possible score of “0” was given.
Table 1.
KEFAI (Korea Estuary Fish Assessment Index), metric thresholds, and scoring criteria for Korean Peninsula estuaries by sea areas. M1-M8 indicate eight different metrics used to estimate KEFAI.
2.3. Data Analysis
Since the fish communities inhabiting the East Sea, the South Sea, and the West Sea are different from each other, all analyses were conducted separately for the different sea areas, and the differences in the fish assemblages and physical and chemical factors between the open and closed estuaries were compared. Fish assemblages were categorised into seven types, primary freshwater, estuary, marine, migratory, exotic, endemic, endangered, and tolerant. Primary freshwater, estuary, and marine mean the fishes could live in freshwater, estuary, and sea areas, respectively. Exotic and endemic means fishes introduced from a different country and only distributed in the Korean peninsula, respectively. Endangered fish are the listed species by the law of the Ministry of Environment (MOE), Korea. The tolerant fish indicate species can endure harsh environments and are listed by MOE. With regard to physical factor data (stream order and river width), the average total numbers of species in closed and open estuaries were compared to analyse the difference. With regard to chemical factor data (water temperature, DO, pH, electrical conductivity, turbidity, salinity, COD, T-N, and T-P), to analyse the differences between closed estuaries and open estuaries, after-normality test, t-test, and a non-parametric Mann–Whitney U test, which is a non-parametric statistical method, were carried out to identify statistical differences (SPSS Inc., Chicago, IL, USA). For the fish assemblage data, the data of points located at the ends of the estuaries were selected and used for analysis. Permutational multivariate analysis (PERMANOVA) was performed to determine the differences in fish assemblages between closed and open estuaries by sea area, and similarity percentage (SIMPER) analysis was performed to identify fish assemblage similarities between the open and closed estuaries by sea area and major species that significantly affect the fish assemblage similarity. In addition, fish assemblage similarities between the open and closed estuaries by sea area were identified through non-metric multidimensional scaling (NMDS) analysis using fish assemblage data from all the estuaries. The NMDS analysis was carried out using two-dimensional ordination that can represent the optimal relationships between points in the similarity matrix [35]. For the similarity matrix, the numbers of individuals collected by the estuary were square-root-transformed, and the Bray–Curtis similarity index was calculated for each pairwise assemblage. All the PERMANOVA, SIMPER, and NMDS analyses performed in this study used Primer 7 (Primer-E Ltd., Plymouth, UK). A t-test was conducted to analyse the difference in the KEFAI calculated based on the fish fauna at the points in the closed and open estuaries by sea area, and statistical differences were identified. In addition, Pearson correlation analysis was used to analyse the correlations between KEFAI, fish assemblage (total number of species sampled, estuary fish, and primary freshwater fish), and physical and chemical factors (stream order, salinity, COD, T-N, and T-P) in closed and open estuaries by sea area (SPSS Inc., Chicago, IL, USA).
3. Results
3.1. Estuarine Fish Assemblages in Korean Peninsula
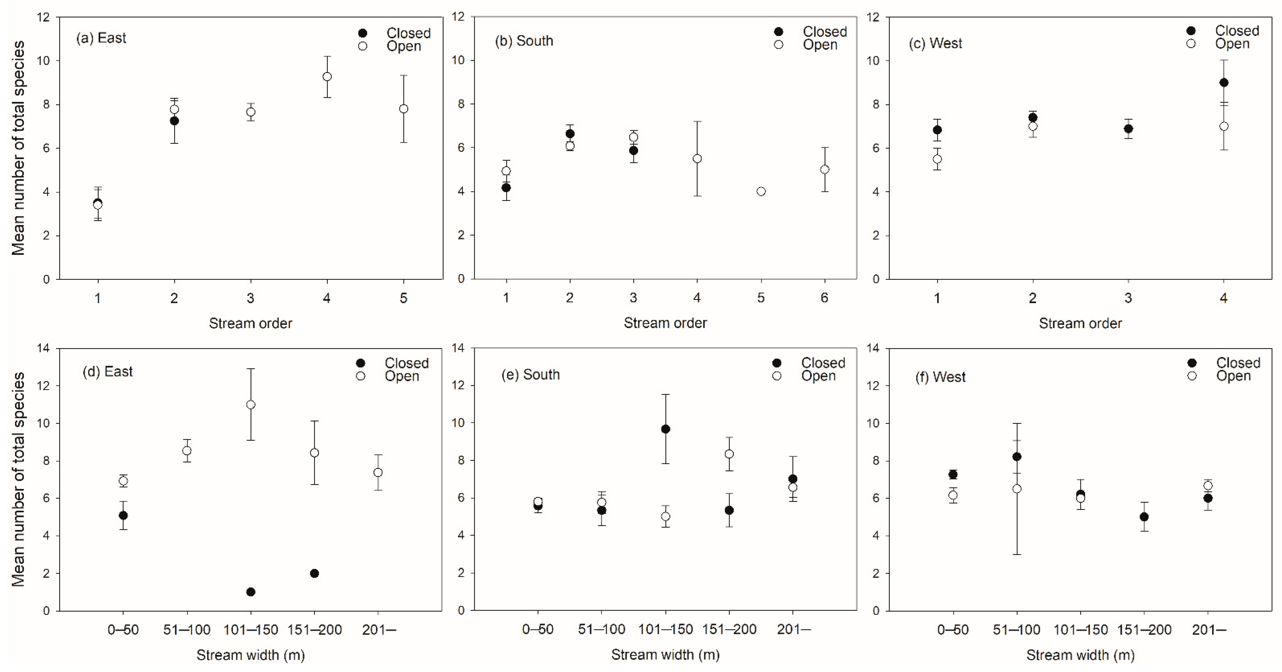
The stream orders of the 325 estuaries where this study was conducted were diverse, ranging from first to sixth, but small estuaries (1st and 2nd) accounted for 69.8% of all the estuaries. In addition, the river widths of the estuaries varied widely, ranging from a minimum of 14 m to a maximum of 3356 m, and small estuaries (with river widths not larger than 100 m) accounted for 61.2%. When the stream orders and river widths of closed and open estuaries by sea area were compared in terms of the numbers of species, differences were found. The numbers of species sampled were higher in open estuaries among the small estuaries of the East and South Seas except for the West Sea, and there was a tendency for the number of species to reduce as the size of estuaries increased (Figure 2). The analysis of chemical factors in closed and open estuaries revealed significant differences in some factors. There were statistical differences in turbidity, T-N, and T-P in the East Sea; dissolved oxygen, pH, electrical conductivity, turbidity, salinity, COD, T-N, and T-P in the South Sea; and dissolved oxygen, electrical conductivity, turbidity, and salinity in the West Sea (t-test, Mann–Whitney U test, p < 0.05, Table 2).
Figure 2.
Relationship between stream order and mean number of total species at different stream orders and relationship between stream width and mean number of total species as a function of stream width at 50 m intervals. Bars indicate the standard errors of the categories (●, Closed estuaries; ○, Open estuaries).
Table 2.
Physical and chemical factors in closed and open estuaries by sea areas (Mean (±SD), SD: standard deviation).
The fish that were sampled in closed and open estuaries by sea area were categorised by inhabiting characteristics, and in the results, fish assemblages in the South and West Seas showed similar tendencies (Table 3). In the closed estuaries, the ratios of primary freshwater fish were the highest (South Sea, Relative abundance, RA, 52.0%; West Sea, RA, 72.2%), followed by those of estuary fish (South Sea, RA, 46.5%; West Sea, RA, 25.3%). In the open estuaries, the ratios of estuary fish were the highest (South Sea, RA, 81.1%; West Sea, RA, 72.3%) rather than those of primary freshwater fish, followed by those of marine fish (South Sea, RA, 13.7%; West Sea, RA, 18.9%). However, in the East Sea, the ratios of estuary fish (closed estuary, RA, 66.2%; open estuary, RA, 29.2%) were the highest in both closed and open estuaries, and in particular, the ratios of diadromous fish (closed estuary, RA, 2.9%; open estuary, RA, 47.1%) were shown to be higher compared to those in the South Sea and the West Sea.
Table 3.
Fish assemblage structure in closed and open estuaries by sea areas (n, number of estuaries investigated; RA, relative abundance (%)).
In the comparison of the compositions of specific species (exotic species, endemic species, endangered species, and tolerant species), more exotic species were found in closed estuaries than in open estuaries in the case of the South Sea and the West Sea, with four species (Carassius cuvieri, Micropterus salmoides, Lepomis macrochirus, and Cyprinus carpio nudus; RA, 2.8%) and five species (Oreochromis niloticus, C. cuvieri, M. salmoides, L. macrochirus, and C. c. nudus; RA, 3.1%), respectively, but more exotic species were identified in open estuaries than in closed estuaries in the case of the East Sea, with two species (M. salmoides and L. macrochirus; RA, 0.8%). More endemic species were identified in closed estuaries compared to open estuaries in the case of the South and West Seas, with five species (RA, 1.7%) and seven species (RA, 3.0%), respectively, but more endemic species were identified in open estuaries than in closed estuaries in the case of the East Sea, with 12 endemic species (RA, 2.7%). In addition, endangered species were identified only in the East Sea; a total of two species (RA, 3.2%) were identified, which were Pungitius sinensis and Acheilognathus majusculus, in the open estuaries, and only one species (RA, 1.6%), which was P. sinensis, in the closed estuaries. The ratios of tolerant species were higher in the closed estuaries of all sea areas and were found to be the highest in estuaries located in the West Sea at 81.2%. Among open estuaries, the ratios of occurrence of tolerant species were shown to be the highest in those in the West Sea (RA, 68.7%).
NMDS analysis was conducted to identify differences in fish assemblages between the closed and open estuaries by sea area, and the results showed a clear difference between the closed and open estuaries (Figure 3). The fish assemblages showed statistically significant differences between the closed and open estuaries in the East Sea, South Sea, and West Sea (PERMANOVA, East, Pseudo-F = 3.0198, p = 0.002; South, Pseudo-F = 22.00, p = 0.001; West, Pseudo-F = 14.067, p = 0.001).
Figure 3.
NMDS (non-metric multidimensional scaling) results of the fish assemblages in closed and open estuaries by sea areas.
In addition, to identify species contributing to the similarities and differences in fish assemblages between closed and open estuaries by sea area, SIMPER analysis was performed and compared. The results showed that fish assemblages were clearly different between closed and open estuaries as non-similarities by the group in the East Sea, South Sea, and West Sea were 85.85%, 88.36%, and 88.05%, respectively. It was identified that Mugil cephalus (species contribution, SC, 11.25%) and Tribolodon hakonensis (SC, 9.36%) contributed the most to the differences in fish assemblages between the closed and open estuaries in the East Sea, M. cephalus (SC, 7.94%) and Tridentiger brevispinis (SC, 6.85%) in the South Sea, and Carassius auratus (SC, 9.45%) and Chelon haematocheilus (SC, 9.26%) in the West Sea (Table 4).
Table 4.
Fish assemblage dissimilarity in closed and open estuaries of top five major species of each sea area according to species contribution from SIMPER analysis.
3.2. KEFAI (Korea Estuary Fish Assessment Index)
With regard to the KEFAI of closed estuaries and open estuaries by sea area, the KEFAI was found to be higher in the open estuaries of all sea areas (t-test, p < 0.001, Table 1, Figure 4). The KEFAI calculated separately by sea area were 32.4 (±15.4) and 60.6 (±17.1) on average in the closed estuaries and open estuaries, respectively, in the East Sea; 47.8 (±15.6) and 58.5 (±13.9) in the South Sea; and 39.8 (±15.8) and 51.8 (±16.2) in the West Sea. Therefore, the KEFAI in closed estuaries was shown to be the highest in the South Sea, and those in open estuaries were shown to be the highest in the East Sea. Differences in KEFAI and fish assemblages (estuary fish and primary freshwater fish) at individual points were identified between closed estuaries and open estuaries by sea area.
Figure 4.
KEFAI box plots in closed and open estuaries by sea areas. Bars indicate the standard errors of the sites (E, East sea; S, South sea; W, West sea; C, Closed; O, Open; black circle, 5th and 95th percentile; t-test, p < 0.001).
Pearson correlation analyses were conducted with the KEFAI calculated by point, physical and chemical factors (stream order, salinity, COD, T-N, and T-P), and the results are shown in Table 5. No clear correlation was identified between the chemical factors and the KEFAI calculated by point in the closed and open estuaries.
Table 5.
Pearson correlation analysis for Korea Estuary Fish Assessment Index (KEFAI) and physical and chemical factors in closed and open estuaries of each sea area (* p < 0.05, ** p < 0.001).
4. Discussion
4.1. Fish Assemblages of Estuaries in Korean Peninsula
Since the Korean Peninsula is surrounded by sea on three sides, about 460 estuaries have been formed due to the development of many coastlines [19]. Although the three sides are bordered by the sea, fish assemblages are different by sea area, and in particular, there are differences in the estuary fish and marine fish species occurring in the East Sea, South Sea, and West Sea. Freshwater species are also different between the East Sea, where inflow rivers are relatively short, and their slopes are steep, and between the South Sea and the West Sea, where the inflow rivers are relatively long, and their slopes are gentle [36,37,38]. In addition, as large tidal differences appear in the South Sea and the West Sea, the inflow rivers of the South Sea and the West Sea are significantly affected by tides. Therefore, it is considered that the characteristics of rivers in the Korean peninsula are based on the geographical characteristics of east high and west low, and the ocean’s physical characteristics, such as tidal differences, affect the environments and fish assemblages of open and closed estuaries by sea area. In fact, the estuaries of the East Sea showed different characteristics compared to those of the South Sea and the West Sea. In the East Sea, the numbers of primary freshwater fish species were higher in the open estuaries than in the closed estuaries, and this is possibly the result of the reflection of the characteristics of the East Sea area. In the case of the East Sea area, it is considered that primary freshwater fish occurred even in the vicinity of the estuaries since seawater penetration is limited even in open estuaries because the average tidal difference is relatively small at 36.2 cm (average for 2016–2018) and there is no effect of seawater because many open estuaries are naturally blocked by the sand bars formed at the entrances. In addition, in the case of the East Sea, the ratio of diadromous fish was shown to be particularly high compared to those in other sea areas. The rivers in the East Sea area are typical spawning areas for diadromous fish, and since various diadromous fish such as Oncorhynchus keta, Plecoglossus altivelis, T. hakonensis, and Anguilla japonica occur by season, the ratio of diadromous fish was shown to be higher compared to that of the South Sea and the West Sea. It is considered that the highest number of species (90 species in total) were identified in the open estuaries of the East Sea.
Unlike rivers, in which the ratio of primary freshwater fish is shown to be high because pure freshwater zones are included, estuaries are located between rivers and the sea and are inhabited by fish species with various life histories such as primary freshwater fish, estuary fish, diadromous fish, and marine fish [39]. In addition, the increase in species diversity is related to the size of the estuary. According to a study conducted by Harrel et al. [40], it is considered that in the case of rivers, the increase in the stream order is related to the increase in the habitats that can be used by fish and an increase in species diversity possibly due to the decrease in environmental changes. Moreover, in the case of estuaries, the larger the sizes of rivers, the higher the species diversity, possibly due to the increase in the habitats that can be used by fish species with various life histories. However, in the results of this study, the number of species increased as the size of the river increased in the case of small estuaries (primary and secondary rivers; river width not exceeding 100 m) but gradually decreased in the case of large estuaries. These results can be majorly considered to be attributable to the collection tools used (cast nets, skimming nets, long bag set nets, and gill nets), which are more advantageous in small-scale estuaries than large-scale estuaries. However, high nutrient loading, chemical pollution, and pesticides from the upper stream could also impact the fish at some large sites that have larger watersheds.
4.2. Impact of Estuary Barrages on Fish Assemblages
Brackish water zones are important ecosystems where physical, biological, and physicochemical elements are exchanged from freshwater to sea or vice versa as freshwater and seawater cross [41,42]. With rapid changes in salinity, temperature, oxygen, turbidity, and other factors occurring due to tides, there are abundant live food resources because organic matter and nutrients that have descended from upstream of the river are concentrated. Therefore, brackish water zones provide good habitats and spawning grounds for fish and exhibit high species diversity and abundance [1,3,4,5]. However, the transverse structures (e.g., estuary dikes, drainage sluice gates, and other such structures) constructed for the utilisation of the estuary areas prevent the circulation of seawater, completely divide the estuary into freshwater and seawater areas, and stagnate the water flows, leading to changes in the existing estuary environment and serious changes in the fish ecosystems in brackish water zones, such as impeding the movement of fish. The findings of this study also support this pattern; the physicochemical water quality in the closed estuaries was judged to be lower compared to that in the open estuaries as the freshwater areas inside the estuary dike became lentic zones (lakes) due to the construction of estuary dikes. The nutrients introduced from the upstream areas were not discharged to the downstream areas, and the concentration of T-N or COD increased (excluding the West Sea area). The reason why the concentrations of nutrient salts in the closed and open estuaries of the West Sea area were shown to be similar is possibly due to the fact that the concentration of nutrient salts in the West Sea area was generally higher than that in the East Sea and the South Sea areas. This was likely because there are more human activities and more agricultural lands, and larger amounts of pollutants are introduced in the West Sea area than in the other sea areas [43]. In South Korea, estuary dikes have been constructed and utilised inland for positive functions such as salt damage prevention, flood management, and water use. However, due to the recent changes in the primary industry, the existence value of the estuary dikes for agriculture has been decreasing. In addition, it was identified that compared to closed estuaries without seawater circulation due to the presence of transverse structures; species diversity is higher in open estuaries where there are various habitats, and seawater circulation continues because there are no transverse structures and that low productivity is low in closed estuaries [35].
The difference between closed estuaries and open estuaries is most evident in the salinity data among the aquatic environments. Salinity affects the metabolic activity, osmotic regulation, and circadian rhythm of fish and acts as an important factor in the life of diadromous fish and estuary fish [44]. In addition, Duque et al. [45] reported that open estuaries, characterised by a wide range of salinity, exhibit relatively moderate salinity (10 psu or more), which is an environment suitable for fish living in brackish water zones, and that the abundance of fish species is also very high in open estuaries. However, the construction of structures in the estuary areas blocked the circulation of seawater, resulting in changes in the environment and changes in the fish ecosystem. Therefore, according to the results of this study, it is considered that the deterioration of water quality caused by the blocking of seawater due to the construction of the transverse structures led to increases in the ratios of tolerant species (Hemiculter eigenmanni, C. auratus, and other species) and deterioration of KEFAI in the closed estuary areas, and is identified to have negative effects on the underwater fish assemblages in general. The opening of transverse structures should be considered for the restoration of river connectivity, and studies on the opening of the estuary dikes are being conducted in other countries due to changes in the circulation and salinity of seawater [46,47,48]. In the case of the East Sea, sandy bars are formed at the entrances of most of the open estuaries so that the open estuaries naturally play the role of closed estuaries (Figure 5). Therefore, it is necessary to additionally consider the artificial opening of sandy bars in the case of the East Sea.
Figure 5.
NMDS (non-metric multidimensional scaling) results in the fish assemblages in closed estuaries, open estuaries, and open estuaries with sand bars in East Sea (C, Closed; O, Open; S, Sand bar).
4.3. KEFAI (Korea Estuary Fish Assessment Index)
The distribution characteristics of aquatic organisms living in aquatic ecosystems generally have complex interrelationships with physical and chemical changes in the aquatic environment, such as water pollution and habitat disturbance [49]. Among them, fish is the top consumer of the aquatic food chain and were used as a tool to evaluate the health of the ecosystem as well as the state of water quality because they are affected by habitat characteristics and environmental variables [24,50,51]. In estuary aquatic ecosystems, the multimetric index has been mainly used to evaluate the biological integrity of brackish water zones using target taxa. Kiranya et al. [52] evaluated the health of temporarily closed estuaries in India using the Estuarine Fish Community Index (EFCI) and reported that the species abundance in the closed estuaries was lower compared to that in permanently opened estuaries and that species abundance was affected by the size, water depth, geographic location, river width of estuaries, and the duration of estuary opening [53,54,55]. In this study, ecological evaluation of closed and open estuaries by sea area was performed for the first time in the Korean Peninsula using the integrity index. The KEFAI were shown to be higher in open estuaries than in closed estuaries in all sea areas, and the results of analysis of the correlation between KEFAI and fish assemblages showed that estuary fish increased when KEFAI were higher, indicating that KEFAI are closely related to estuary fish in both closed and open estuaries. In addition, the species diversity index was shown to be higher in the open estuary than in the closed estuary, and it is considered that KEFAI are shown to be higher in the open estuary due to the difference in the ratios of tolerant fish and benthic fish. On the other hand, primary freshwater fish showed negative correlations with KEFAI only in the open estuaries of the South Sea and the West Sea, except for the East Sea, and this is considered attributable to the fact that the integrity of the brackish water zones is focused on the species that adapt to a wide salinity range, and well reflects the characteristics of the brackish water zones. In the analysis of the correlation between KEFAI and environmental data, it was not possible to identify the correlation between good water quality and KEFAI due to the characteristics of the estuary. It is well-known that the connectivity of aquatic ecosystems is very important for the movement of living things, material circulation, and securing ecosystem connectivity [56]. Based on the results of this study, securing the connectivity of brackish water zones while maintaining basic water quality in estuaries is judged to be an important way to increase biological integrity.
5. Conclusions
Brackish water zones are important transition zones that serve as spawning grounds, migration channels, and breeding grounds for many species. However, the construction of transverse structures in estuary areas caused changes in the environment and changes in the fish ecosystem. This study was conducted with 325 estuaries nationwide and provided information on the characteristics and distributions of fish assemblages according to the types of estuaries. According to the results of this study, the ratio of tolerant species is higher, and KEFAI values were lower in closed estuaries than in open estuaries, indicating the negative effects of the construction of transverse structures on fish assemblages. Therefore, policy plans to gradually reduce the number of closed estuaries and increase the number of open estuaries through the opening of estuary dikes are recommended, and it is considered that through such changes, the health of the estuarine aquatic ecosystems can be improved in the long term.
Author Contributions
Conceptualisation, M.-H.J. and J.-D.Y.; methodology, J.-D.Y., J.-W.K. and K.-J.K.; software, J.-W.K. and B.-M.C.; validation, J.-W.K. and K.-J.K.; formal analysis, J.-W.K. and J.-D.Y.; investigation, J.-W.K., K.-J.K. and B.-M.C.; resources, B.-M.C. and K.-J.K.; data curation, J.-D.Y. and J.-W.K.; writing—original draft preparation, J.-D.Y. and J.-W.K.; writing—review and editing, J.-D.Y. and M.-H.J.; visualisation, J.-W.K.; supervision, M.-H.J. and J.-D.Y.; project administration, M.-H.J.; funding acquisition, K.-L.L. All authors have read and agreed to the published version of the manuscript.
Funding
This work was supported by a grant from the National Institute of Environmental Research (NIER), funded by the Ministry of Environment (MOE) of the Republic of Korea (Grant no. NIER-2022-04-02-055).
Institutional Review Board Statement
The study was approved by the Ethics Committee of Kongju National University.
Informed Consent Statement
Not applicable.
Data Availability Statement
Not applicable.
Acknowledgments
The authors would like to thank the Restoration Research Team (Fishes/Amphibians and Reptiles) for supporting this study.
Conflicts of Interest
The authors declare no conflict of interest.
References
- Day, J.W.; Hall, C.A.S.; Kemp, W.M.; Yanez-Arancibia, A. Estuarine Ecology; John Wiley & Sons: Hoboken, NJ, USA, 1989; p. 576. [Google Scholar]
- Bennett, B.A. The fish community of a moderately exposed beach on the southwestern Cape Coast of South Africa and an assessment of this habitat as a nursery for juvenile fish. Estuar. Coast. Shelf Sci. 1989, 28, 293–305. [Google Scholar] [CrossRef]
- Elliott, M.; McLusky, D.S. The Need for Definitions in Understanding Estuaries. Estuar. Coast. Shelf Sci. 2002, 55, 815–827. [Google Scholar] [CrossRef]
- Akin, S.; Buhan, E.; Winemiller, K.O.; Yilmaz, H. Fish assemblage structure of Koycegiz LagooneEstuary, Turkey: Spatial and temporal distribution patterns in relation to environmental variation. Estuar. Coast. Shelf Sci. 2005, 64, 671–684. [Google Scholar] [CrossRef]
- Montagna, P.; Vaughan, B.; Ward, G. The Importance of Freshwater Inflows to Texas Estuaries. In Water Policy in Texas: Responding to the Rise of Scarcity; Griffin, R.C., Ed.; The Rff Press: Washington, DC, USA, 2011; pp. 107–127. [Google Scholar]
- Abrahim, G.; Parker, R. Heavy-metal contaminants in Tamaki Estuary: Impact of city development and growth, Auckland, New Zealand. Environ. Geol. 2002, 42, 883–890. [Google Scholar]
- Rafael, M.; Enrique, M.O.; Jose, G.B.; Joan, A. Tailoring dam structures to water quality predictions in new reservoir projects: Assisting decision-making using numerical modeling. J. Environ. Manag. 2010, 91, 1255–1267. [Google Scholar]
- Zarfl, C.; Lumsdon, A.E.; Berlekamp, J.; Tydecks, L.; Tockner, K. A global boom in hydropower dam construction. Aquat. Sci. 2015, 77, 161–170. [Google Scholar] [CrossRef]
- Connell, D.W.; Bycroft, B.M.; Miller, G.J.; Lather, P. Effects of a barrage on flushing and water quality in the Fitzroy River estuary, Queensland. Aust. J. Mar. Freshw Res. 1981, 32, 57–63. [Google Scholar] [CrossRef]
- Leentvaar, J.; Nijboer, S.M. Ecological impacts of the construction of dams in an estuary. Water Sci. Technol. 1986, 18, 181–191. [Google Scholar] [CrossRef]
- Methven, D.A.; Haedrich, R.L.; Rose, G.A. The fish assemblage of a Newfoundland estuary: Diel monthly and annual variation. Estuar. Coast. Shelf Sci. 2001, 52, 669–687. [Google Scholar] [CrossRef]
- Patrick, B.C.; Thomas, J.K. Spatial Extent and Dynamics of Dam Impacts on Tropical Island Freshwater Fish Assemblages. BioScience 2013, 63, 176–190. [Google Scholar]
- Yoon, J.D.; Kim, J.H.; Park, S.H.; Kim, E.; Jang, M.H. Impact of estuary barrage construction on fish assemblages in the lower part of river and the role of fishways as a passage. Ocean Sci. J. 2017, 52, 147–164. [Google Scholar] [CrossRef]
- Loneragan, N.R.; Potter, I.C.; Lenanton, R.C.J.; Caputi, N. Spatial and seasonal differences in the fish fauna in the shallows of a large Australian estuary. Mar. Biol. 1986, 92, 575–586. [Google Scholar] [CrossRef]
- Thiel, R.; Sepulveda, A.; Kafemann, R.; Nellen, W. Environmentalfactors as forces structuring the fish communityof the Elbe Estuary. J. Fish Biol. 1995, 46, 47–69. [Google Scholar] [CrossRef]
- Foss, A.; Evensen, T.H.; Imsland, A.K.; Øiestad, V. Effects of reduced salinities on growth, food conversion efficiency and osmoregulatory status in the spotted wolffish. J. Fish Biol. 2001, 59, 416–426. [Google Scholar] [CrossRef]
- Yoon, J.D.; Jang, M.H.; Jo, H.B.; Jeong, K.S.; Kim, G.Y.; Joo, G.J. Changes of fish assemblages after construction of an estuary barrage in the lower Nakdong River, South Korea. Limnology 2016, 17, 183–197. [Google Scholar] [CrossRef]
- Rho, P.; Lee, C.H. Using GIS to estimate estuarine wetlands in three major estuaries and to quantify wetland changes over the last century. J. Wetl. Res. 2007, 9, 21–31. [Google Scholar]
- Rho, P.; Lee, C.H. Spatial distribution and temporal variation of estuarine wetlands by estuary type. J. Korean Geogr. Soc. 2014, 49, 321–338. [Google Scholar]
- Kwak, S.N.; Huh, S.H. Changes in species composition of fishes in the Nakdong River Estuary. Korean J. Fish. Aquat. Sci. 2003, 36, 129–135. [Google Scholar]
- Park, J.S.; Gwak, W.S. Effects of estuarine dam on fish assemblage in Danghang Bay of the South Sea. Korean J. Ichthyol. 2019, 31, 83–89. [Google Scholar] [CrossRef]
- Park, S.H.; Lee, J.W.; Kim, J.H.; Baek, S.H.; Yoon, J.D.; Choi, K.R.; Jang, M.H. Fish distribution and salinity in the Saemangeum Reservoir. Korean Soc. Environ. Biol. 2013, 31, 411–418. [Google Scholar] [CrossRef]
- Burkhard, B.; Müller, F.; Lill, A. Ecosystem Health Indicators. In Encyclopedia of Ecology; Jørgensen, S.E., Fath, B.D., Eds.; Academic Press: Cambridge, MA, USA, 2008; pp. 1132–1138. [Google Scholar]
- Karr, J.R. Assessment of biotic integrity using fish communities. Fisheries 1981, 6, 21–27. [Google Scholar] [CrossRef]
- Cabral, H.N.; Fonseca, V.F.; Goncalves, C.I.; Costa, J.L.; Erzini, K.; Goncalves, J.; Martins, J.; Leite, L.; Andrade, J.P.; Ramos, S.; et al. Ecological quality assessment of transitional waters based on fish assemblages in Portuguese estuaries: The Estuarine Fish Assessment Index (EFAI). Ecol. Indic. 2012, 19, 144–153. [Google Scholar] [CrossRef]
- Hallett, C.S.; Trayler, K.M.; Valesini, F.J. The Fish Community index: A Practical Management Tool for Monitoring and Reporting Estuarine Ecological Condition. Integr. Environ. Assess. Manag. 2019, 15, 726–738. [Google Scholar] [CrossRef] [PubMed]
- Lee, D.H.; Park, G.W.; Lee, C.H.; Shin, Y.S. Assessment of Ecosystem Health during the Freshwater Discharge in the Youngsan River Estuary. Korean J Ecol. Environ. 2017, 50, 46–56. [Google Scholar] [CrossRef]
- Baek, S.H.; Choi, H.W.; Kim, Y.O. A Prelimiary Study for Marine Ecosystem Health Assessment Using the Planktonic Organism in Jinhae Bay. Korean J. Environ. Biol. 2010, 28, 125–132. [Google Scholar]
- Moyle, P.B.; Cech, J.J. Fishes: An Introduction to Ichthyology; Prentice Hall Inc.: Hoboken, NJ, USA, 2000. [Google Scholar]
- MOE/NIER. Survey and Assessment of Estuary Ecosystem; The Ministry of Environment/National instiute of Environmental Research: Inchen, Korea, 2019; pp. 396–397.
- Kim, I.S.; Park, J.Y. Freshwater Fishes of Korea; Kyohak Publishing: Seoul, Korea, 2002. [Google Scholar]
- Choi, Y.; Kim, J.H.; Park, J.Y. Marine Fishes of Korea; Kyohak Publishing: Seoul, Korea, 2002. [Google Scholar]
- Nelson, J.S. Fishes of the World; Wiley: New York, NY, USA, 2016. [Google Scholar]
- Rice, E.W.; Baird, R.B.; Eaton, A.D. Standard Methods for the Examination of Water and Wastewater, 23rd ed.; American Public Health Association: Washington, DC, USA, 2017. [Google Scholar]
- Field, J.G.; Clarke, K.R.; Warwick, R.M. A practical strategy for analysing multispecies distribution patterns. Mar. Ecol. Prog. Ser. 1982, 8, 37–52. [Google Scholar] [CrossRef]
- Yoon, J.D.; Kim, J.H.; Park, S.H.; Jang, M.H. The distribution and diversity of freshwater fishes in Korean Peninsula. Korean J. Ecol. Environ. 2018, 51, 71–85. [Google Scholar] [CrossRef]
- Jeon, S.R. Studies on freshwater fish fauna in the rivers flowing in the East Sea. Sangmyung Univ. 1982, 10, 465–487. [Google Scholar]
- Lee, W.O.; Ko, M.H.; Bak, J.M.; Kim, D.H.; Jeon, H.J.; Kim, K.H. Characteristics of fish fauna and community structure in Buk Stream of Goseong, Korea. Korean J. Ichthyol. 2010, 22, 238–248. [Google Scholar]
- Claridge, P.N.; Potter, I.C.; Hardisty, M.W. Seasonal changes in movements, abundance, size composition and diversity of the fish fauna of the Severn Estuary. Mar. Biol. Assoc. U. K. 1986, 66, 229–258. [Google Scholar] [CrossRef]
- Harrel, R.C.; Davis, B.J.; Dorris, T.C. Stream order and species diversity of fishes in an intermittent Oklahoma stream. Am. Midl. Nat. 1967, 78, 428–436. [Google Scholar] [CrossRef]
- Pinckney, J.L.; Paerl, H.W.; Tester, P.; Richardson, T.L. The role of nutrient loading and eutrophication in estuarine ecology. Environ. Health Perpect. 2001, 109, 699–706. [Google Scholar]
- Nixon, S.W.; Olsen, B.; Buckley, E.; Rulweiler, R. Lost to Tide: The Importance of Freshwater Flow to Estuaries; Final Report Submitted to URI Coastal Resources Center; University of Rhode Island, Graduate School of Oceanography: Narragansett, RI, USA, 2004; Volume 14. [Google Scholar]
- Lee, S.W.; Hwang, S.J.; Lee, S.B.; Hwang, H.S.; Sung, H.C. Landscape ecological approach to the relationships of land use patterns in watersheds to water quality characteristics. Landsc. Urban Plan. 2009, 92, 80–89. [Google Scholar] [CrossRef]
- Hwang, U.G.; Min, E.Y.; Kang, J.C. Effect of Salinity on Survival and Growth of 3 Gobiidae. Korean J. Environ. Biol. 2012, 30, 9–14. [Google Scholar]
- Duque, G.; Gamboa-García, D.E.; Molina, A.; Cogua, P. Effect of water quality variation on fish assemblages in an anthropogenically impacted tropical estuary, Colombian Pacific. Environ. Sci. Pollut. Res. 2020, 27, 25740–25753. [Google Scholar] [CrossRef] [PubMed]
- Potter, I.C.; Hyndes, G.A. Composition of the fish fauna of a permanently open estuary on the southern coast of Australia, and comparisons with a nearby seasonally closed estuary. Mar. Biol. 1994, 121, 199–209. [Google Scholar] [CrossRef]
- Griffiths, S.P. Factors Influencing Fish Composition in an Australian Intermittently Open Estuary. Is Stability Salinity-Dependent? Estuar. Coast. Shelf Sci. 2001, 52, 739–751. [Google Scholar] [CrossRef]
- Whitfield, A.C.; Adams, J.B.; Bate, G.C.; Bezuidenhout, K.; Bornman, T.G.; Cowley, P.D.; Froneman, P.W.; Gama, P.T.; James, N.C.; Mackenzie, B.; et al. A multidisciplinary study of a small, temporarily open/closed South African estuary, with particular emphasis on the influence of mouth state on the ecology of the system. Afr. J. Mar. Sci. 2008, 30, 453–473. [Google Scholar] [CrossRef]
- Dauwalter, D.C.; Pert, E.J.; Keith, W.E. An index of biotic integrity for fish assemblages in Ozark Highland streams of Arkansas. Southeast. Nat. 2003, 2, 447–468. [Google Scholar] [CrossRef]
- Karr, J.R.; Rausch, K.D.; Angermeier, P.L.; Yant, P.R.; Schlosse, I.J. Assessing Biological Integrity in Running Water: A Method and Its Rationale; Special Publication 5; Illinois National History Survey: Champaign, IL, USA, 1986; p. 28. [Google Scholar]
- Davis, W.S. Biological assessment and criteria: Building on the past. In Biological Assessment and Criteria: Tools for Water Resource Planning and Decision Making; Davis, W.S., Simon, T.P., Eds.; CRC Press: Boca Raton, FL, USA, 1995; pp. 15–29. [Google Scholar]
- Kiranya, B.; Sahadevan, P.; Bhavan, S.G.; Kumar, A.B.; Raghavan, R. Characterization of fish community structure and an estuarine fish community index for temporarily closed estuaries (TCEs) from India’s south-western coast. Environ. Sci. Pollut. Res. 2022, 29, 37969–37988. [Google Scholar] [CrossRef]
- Bennett, B.A. A comparison of the fish communities in nearby permanently open, seasonally open and normally closed estuaries in the South-Western Cape. S. Afr. J. Mar. Sci. 2010, 8, 43–55. [Google Scholar] [CrossRef]
- Nicolas, D.; Lobry, J.; Pape, O.L.; Boet, P. Functional diversity in European estuaries: Relating the composition of fish assemblages to the abiotic environment. Estuar. Coast. Shelf Sci. 2010, 88, 329–338. [Google Scholar] [CrossRef]
- Connor, L.; Ryan, D.; Feeney, R.; Roche, W.K.; Shephard, S.; Kelly, F.L. Biogeography and fish community structure in Irish estuaries. Reg. Stud. Mar. Sci. 2019, 32, 100836. [Google Scholar] [CrossRef]
- Vannote, R.L.; Minshall, G.W.; Cummins, K.W.; Sedell, J.R.; Cushing, C.E. The river continuum concept. Can. J. Fish Aquat. Sci. 1980, 37, 130–137. [Google Scholar] [CrossRef]
Publisher’s Note: MDPI stays neutral with regard to jurisdictional claims in published maps and institutional affiliations. |
© 2022 by the authors. Licensee MDPI, Basel, Switzerland. This article is an open access article distributed under the terms and conditions of the Creative Commons Attribution (CC BY) license (https://creativecommons.org/licenses/by/4.0/).




