Research on Ecosystem Security and Restoration Pattern of Urban Agglomeration in the Yellow River Basin
Abstract
:1. Introduction
2. Study Area and Data Sources
2.1. Study Area
2.2. Data Sources
3. Methods
3.1. Identify the Importance of Ecosystem Services
3.2. Ecological Network Construction and Restoration
3.2.1. Discerning Ecological Source Areas
3.2.2. Constructing Resistance Surfaces
3.2.3. Ecological Corridor Extraction and Ecological Node Determination
3.2.4. Network Structure Analysis
4. Results
4.1. Identification of the Importance of Ecosystem Services in the Urban Agglomeration
4.2. Construction of Urban Agglomeration Ecological Network
4.2.1. Identifying Ecological Source Areas
4.2.2. Constructing of Ecological Resistance Surfaces
4.2.3. Extracting and Determining the Ecological Corridors and Ecological Nodes
4.3. Restoration of the Ecological Pattern of Urban Agglomerations
4.3.1. Replenishing Ecological Source Sites
4.3.2. Restoring Ecological Corridors
4.3.3. Determining the Ecological Security Levels
4.3.4. Providing Restoration Measures
5. Conclusions and Discussion
5.1. Conclusions
- (1)
- In terms of ecosystem service values, there are 10,867.152 km2 of multifunctional ecological patches, presenting the characteristics of highly fragmented landscapes. Such patches are mainly distributed along Beishan National Forest Park, Xinglong Mountain Nature Reserve, Dadunxia Resort, and other areas. Among them, the proportion of overlapping patches of biodiversity to water sources conservation is the largest, while the proportion of wind break and water sources conservation and biodiversity account for 0.
- (2)
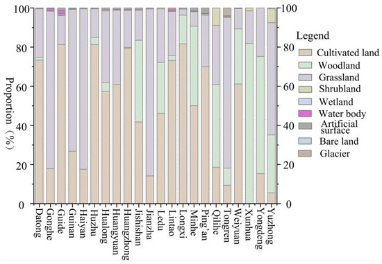
- The study area contains 46 ecological source areas with a total area of 8199.249 km2, with a spatial distribution of “sparse in the east and dense in the west” and boasting high coverage of cultivated lands, grasslands, and forest lands, which are concentrated in Datong County, Huangyuan County, Haiyan County, etc. By the same token, there are 914 ecological corridors with a total length of 62,970.181 km. Most of them are short-distance corridors, which are relatively densely located in the northwest part of the study area with a webbed shape. Moreover, the important ecological corridors form six small clusters in space, while the general ecological corridors connect the clusters and other areas, accelerating the diffusion of ecological flows.
- (3)
- This study proposes restoration measures to restore the ecological system security pattern and integrate the fragmented ecological patches to form 10 new ecological source areas with nature reserves, forest parks, and farmland as the main ecological elements. Furthermore, this study calculates the rationality of ecosystem security patterns in restoration by the network structure analysis method, which can be employed to restore ecological corridors and construct ecological security barrier areas, ecological forests, grass protection areas, ecological wetland conservation areas, and ecological agriculture development areas. Meanwhile, with the regional management, precise measures should be taken to promote environmental protection and improve the ecological system security patterns of the Lanxi urban agglomeration.
5.2. Discussion
Author Contributions
Funding
Institutional Review Board Statement
Informed Consent Statement
Data Availability Statement
Acknowledgments
Conflicts of Interest
References
- Rockström, J.; Steffen, W.; Noone, K.; Persson, Å.; Chapin, F.S., III; Lambin, E.F.; Lenton, T.M.; Scheffer, M.; Folke, C.; Schellnhuber, H.J.; et al. A safe operating space for humanity. Nature 2009, 461, 472–475. [Google Scholar] [CrossRef] [PubMed]
- Zhou, Q.; van den Bosch, C.C.K.; Chen, J.; Zhang, W.; Dong, J. Identification of ecological networks and nodes in Fujian province based on green and blue corridors. Sci. Rep. 2021, 11, 20872. [Google Scholar] [CrossRef] [PubMed]
- Tonkin, J.D.; Merritt, D.M.; Olden, J.D.; Reynolds, L.V.; Lytle, D.A. Flow regime alteration degrades ecological networks in riparian ecosystems. Nat. Ecol. Evol. 2018, 2, 86–93. [Google Scholar] [CrossRef] [PubMed]
- Zhang, H.; Xu, E. An evaluation of the ecological and environmental security on China’s terrestrial ecosystems. Sci. Rep. 2017, 7, 811. [Google Scholar] [CrossRef]
- Huang, M.-Y.; Yue, W.-Z.; Feng, S.-R.; Cai, J.-J. Heterogeneity and optimization of ecological security pattern in the core area of Dabie Mountains based on MCR model. J. Nat. Resour. 2019, 34, 771–784. [Google Scholar] [CrossRef]
- Keyes, A.A.; McLaughlin, J.P.; Barner, A.K.; Dee, L.E. Author Correction: An ecological network approach to predict ecosystem service vulnerability to species losses. Nat. Commun. 2021, 12, 5843. [Google Scholar] [CrossRef]
- Li, S.; Zhao, Y.; Xiao, W.; Yue, W.; Wu, T. Optimizing ecological security pattern in the coal resource-based city: A case study in Shuozhou City, China. Ecol. Indic. 2021, 130, 108026. [Google Scholar] [CrossRef]
- Bai, Y.; Wong, C.P.; Jiang, B.; Hughes, A.C.; Wang, M.; Wang, Q. Developing China’s Ecological Redline Policy using ecosystem services assessments for land use planning. Nat. Commun. 2018, 9, 3034. [Google Scholar] [CrossRef]
- Ying, L.X.; Wang, J.; Zhou, Y. Ecological-environmental problems and solutions in the Minjiang River basin, Fujian Province, China. Acta Ecol. Sin. 2019, 39, 8857–8866. [Google Scholar]
- Wang, T.; Li, H.; Huang, Y. The complex ecological network’s resilience of the Wuhan metropolitan area. Ecol. Indic. 2021, 130, 108101. [Google Scholar] [CrossRef]
- Huang, L.; Wang, J.; Fang, Y.; Zhai, T.; Cheng, H. An integrated approach towards spatial identification of restored and conserved priority areas of ecological network for implementation planning in metropolitan region. Sustain. Cities Soc. 2021, 61, 102865. [Google Scholar] [CrossRef]
- Hu, Q.-Y.; Chen, S.-L. Spatial optimization of ecological network in Xia-Zhangquan area based on supply and demand of ecosystem services. J. Nat. Resour. 2021, 36, 342–355. [Google Scholar] [CrossRef]
- The QUINTESSENCE Consortium. Networking our way to better ecosystem service provision. Trends Ecol. Evol. 2016, 31, 112–121. [Google Scholar] [CrossRef]
- Fu, Y.; Shi, X.; He, J.; Yuan, Y.; Qu, L. Identification and optimization strategy of county ecological security pattern: A case study in the Loess Plateau, China. Ecol. Indic. 2020, 112, 106030. [Google Scholar] [CrossRef]
- Zhou, L.; Zhou, H.C.; Che, L.; Wang, B. Spatio-temporal evolution and influencing factors of urban green development efficiency in China. J. Geogr. Sci. 2020, 30, 724–742. [Google Scholar] [CrossRef]
- Nie, W.; Shi, Y.; Siaw, M.J.; Yang, F.; Wu, R.; Wu, X.; Zheng, X.; Bao, Z. Constructing and optimizing ecological network at county and town Scale: The case of Anji County, China. Ecol. Indic. 2021, 132, 108294. [Google Scholar] [CrossRef]
- Qiu, M.; Yang, Z.; Zuo, Q.; Wu, Q.; Jiang, L.; Zhang, Z.; Zhang, J. Evaluation on the relevance of regional urbanization and ecological security in the nine provinces along the Yellow River, China. Ecol. Indic. 2021, 132, 108346. [Google Scholar] [CrossRef]
- Zhou, L.; Dang, X.W.; Mu, H.W.; Wang, B.; Wang, S.H. Cities are going uphill: Slope gradient analysis of urban expansion and its driving factors in China. Sci. Total Environ. 2021, 709, 145836. [Google Scholar] [CrossRef]
- Fan, Y.; Fang, C. Evolution process and obstacle factors of ecological security in western China, a case study of Qinghai province. Ecol. Indic. 2020, 117, 106659. [Google Scholar] [CrossRef]
- Li, T.; Gong, Y.-B.; Ge, J.-Z.; Qi, Z.-X.; Xie, S.-B. Construction of Urban Landscape Ecological Security Pattern Based on Circuit Theory: Taking Hengyang City, Hunan Province as an Example. Chin. J. Appl. Ecol. 2021, 32, 2555–2564. [Google Scholar] [CrossRef]
- Zhou, L.; Dang, X.W.; Sun, Q.K.; Wang, S.H. Multi-scenario simulation of urban land change in Shanghai by random forest and CA-Markov model. Sustain. Cities Soc. 2020, 55, 102045. [Google Scholar] [CrossRef]
- Dai, L.; Liu, Y.; Huang, K. Construction of Jiujiang Waterfront City Ecological Safety Network Based on MCR Model and DO Index. Acta Geogr. Sin. 2020, 75, 2459–2474. [Google Scholar] [CrossRef]
- Peng, J.; Ja, J.; Hu, Y.; Tian, L.; Li, H. Construction of the ecological security pattern in the agro-pastoral interlaced zone based on the surface wetness index-Hangjinqi, Inner Mongolia Autonomous Region as an example. Chin. J. Appl. Ecol. 2018, 29, 1990–1998. [Google Scholar] [CrossRef]
- Yu, C.; Liu, D.; Feng, R.; Tang, Q.; Guo, C. Construction of ecological security pattern in Northeast China based on MCR model. Acta Ecol. Sin. 2021, 41, 290–301. [Google Scholar] [CrossRef]
- Peng, J.; Zhao, H.J.; Liu, Y.X. Research progress and prospect of regional ecological security pattern construction. Geogr. Res. 2017, 36, 407–419. [Google Scholar] [CrossRef]
- General Office of the Ministry of Environmental Protection, General Office of the National Development and Reform Commission. Guidelines for the Delineation of Ecological Protection Red Lines; General Office of the Ministry of Environmental Protection, General Office of the National Development and Reform Commission: Beijing, China, 2017. [Google Scholar]
- Cui, L.; Wang, J.; Sun, L.; Lv, C. Construction and optimization of green space ecological networks in urban fringe areas: A case study with the urban fringe area of Tongzhou district in Beijing. J. Clean. Prod. 2020, 276, 124266. [Google Scholar] [CrossRef]
- Wang, S.; Wu, M.; Hu, M.; Fan, C.; Wang, T.; Xia, B. Promoting landscape connectivity of highly urbanized area: An ecological network approach. Ecol. Indic. 2021, 125, 107487. [Google Scholar] [CrossRef]
- He, J.; Shi, X.Y.; Fu, Y.G. Optimization of ecological security pattern in the headwaters of the Fen River based on ecosystem services. J. Nat. Resour. 2020, 35, 814–825. [Google Scholar] [CrossRef]
- Zhao, S.-M.; Ma, Y.-F.; Wang, J.-L.; You, X.-Y. Landscape pattern analysis and ecological network planning of Tianjin City. Urban For. Urban Green. 2019, 46, 126479. [Google Scholar] [CrossRef]
- Helmond, P. Quabbin to Wachusett Wildlife Corridor Study; Harvard Graduate School of Design: Cambridge, MA, USA, 1989. [Google Scholar]











| Data Name | Data Accuracy | Data Sources | Time |
|---|---|---|---|
| The data set of net primary productivity of vegetation (NPP) | 30 m | The results of the remote sensing survey and assessment of ecological status in China | 2000–2021 |
| The data sets of meteorology | — | The Data Center for Environmental Sciences, Chinese Academy of Sciences (http://www.resdc.cn/DOI). | 2010–2020 |
| The data of net primary productivity of visible infrared imaging radiometer suite (NPP-VIIRS) | 500 m | The National Aeronautics and Space Administration (https://www.nasa.gov/) | 2020 |
| The raster data of land use | 30 m | The Data Center for Environmental Sciences, Chinese Academy of Sciences (http://www.resdc.cn/DOI) | 2020 |
| The data of normalized difference vegetation index (NDVI) | 30 m | The Data Center for Environmental Sciences, Chinese Academy of Sciences (http://www.resdc.cn/DOI) | 2018 |
| The data set of soil | 1:106 | Soil Science Database, China (http://www.tpdc.ac.cn/zh-hans/DOI) | 2017 |
| Population density | — | The Data Center for Environmental Sciences, Chinese Academy of Sciences (http://www.resdc.cn/DOI) | 2019 |
| DEM, slope | 30 m | The geographical space data from Computer Network Information Center, Chinese Academy of Science The website of cloud image (http://www.gscloud.cn) | 2020 |
| The distances to the Yellow River and roads | — | Euclidean distance analysis and calculation on ArcGIS platform | 2020 |
| Ecosystem Services | Principles and Methods | Formula |
|---|---|---|
| Water resource conservation [23] | The ability to regulate runoff is assessed by indicators such as vegetation net primary productivity and soil seepage. | is the service capacity index of the ecosystem water conservation; means the average net primary productivity of vegetation for many years; represents the soil seepage factor, indicates the annual average precipitation factor, and is the slope factor. |
| Soil and water conservation [10] | The amount of water and soil conservation is calculated by the difference between the potential soil erosion and the actual soil erosion. | A is the amount of soil and water conservation; R is the rainfall erosion factor; K refers to the soil erosion factor; L is the slope length factor; S is the slope factor, and C presents the vegetation factor. |
| Windbreak and sand fixation [23] | The capacity of preventing land desertification and protecting farmland from wind and sand is calculated by the net primary productivity of vegetation. | is the index of service capacity index of windbreak and sand fixation; means the average net primary productivity of vegetation for many years; K is the soil erosion factor; is the multiyear average climatic erosion, and D is the surface roughness factor. |
| Biodiversity [24] | According to the biodiversity service equivalent weight, various protected areas are divided into important areas, and then combined with biological and other factors, the biodiversity service equivalent is calculated. | is the biodiversity service equivalent weight based on NDVI correction; means the NDVI mean value of the grid i, is the NDVI mean value of all grids in landscape type t where the grid i located in; is the biodiversity service equivalent weight of landscape type t corresponding to the grid i. |
| Resistance Classification | Resistance Factors | Weights | Units | Resistance Coefficient | ||||
|---|---|---|---|---|---|---|---|---|
| Level 1 | Level 2 | Level 3 | Level 4 | Level 5 | ||||
| Natural environment | DEM | 0.071 | m | <1300 | 1300–2000 | 2000–2500 | 2500–3000 | >3000 |
| Slope | 0.113 | (°) | <0.5 | 0.5–1.5 | 1.5–2.5 | 2.5–4.5 | >4.5 | |
| Soil erosion | 0.149 | — | General | Mild | Moderate | High | Extremely high | |
| Ecological resources | Vegetation cover | 0.145 | % | <20 | 20–40 | 40–60 | 60–80 | >80 |
| Land use | 0.243 | — | Wetland, water body, tundra | Shrubs, grassland, forest | cultivated land | Artificial land, Bare land | The glacier | |
| Distance to the Yellow River | 0.105 | km | <5 | 5–20 | 20–50 | 50–100 | >200 | |
| Social economy | Distance to the road | 0.061 | m | <500 | 500–1000 | 1000–2000 | 2000–5000 | >5000 |
| Night lights | 0.027 | — | <20 | 20–80 | 80–150 | 150–200 | >200 | |
| Population density | 0.085 | people/km2 | <1000 | 1000–4000 | 4000–10,000 | 10,000–30,000 | >30,000 | |
| Indicators | Water Resource Conservation | Soil and Water Conservation | Windbreak and Sand Fixation | Biodiversity |
|---|---|---|---|---|
| Water resource conservation | 100 | 0.320 | 0 | 2.526 |
| Soil and water conservation | 0.320 | 100 | 0.001 | 0.001 |
| Windbreak and sand fixation | 0.000 | 0.001 | 100 | 0 |
| Biodiversity | 2.526 | 0.001 | 0 | 100 |
| Category | Number | Number Proportion (%) | Area (km2) | Area Proportion (%) |
|---|---|---|---|---|
| Small patch | 8185 | 95.419 | 917.020 | 8.438 |
| Medium patch | 201 | 2.343 | 324.148 | 2.983 |
| Large patch | 73 | 0.851 | 252.127 | 2.320 |
| Oversized patch | 119 | 1.387 | 9373.857 | 86.259 |
| Serial Number | Area (km2) | Area Proportion (%) | dPC | Serial Number | Area (km2) | Area Proportion (%) | dPC |
|---|---|---|---|---|---|---|---|
| 1 | 46.715 | 0.570 | 0.218 | 24 | 5.991 | 0.073 | 0.431 |
| 2 | 50.979 | 0.622 | 0.233 | 25 | 449.565 | 5.483 | 2.857 |
| 3 | 3.761 | 0.046 | 0.201 | 26 | 1036.200 | 12.638 | 30.689 |
| 4 | 7.912 | 0.096 | 0.201 | 27 | 473.678 | 5.777 | 32.907 |
| 5 | 115.299 | 1.406 | 0.812 | 28 | 7.971 | 0.097 | 0.525 |
| 6 | 57.304 | 0.699 | 0.278 | 29 | 289.733 | 3.534 | 0.902 |
| 7 | 64.794 | 0.790 | 0.504 | 30 | 83.893 | 1.023 | 0.670 |
| 8 | 7.771 | 0.095 | 0.360 | 31 | 184.486 | 2.250 | 0.453 |
| 9 | 661.733 | 8.071 | 13.750 | 32 | 54.374 | 0.663 | 0.413 |
| 10 | 8.173 | 0.100 | 0.410 | 33 | 845.912 | 10.317 | 5.698 |
| 11 | 234.594 | 2.861 | 1.477 | 34 | 183.454 | 2.237 | 0.452 |
| 12 | 11.063 | 0.135 | 1.111 | 35 | 8.883 | 0.108 | 0.433 |
| 13 | 7.115 | 0.087 | 0.491 | 36 | 184.867 | 2.255 | 1.083 |
| 14 | 11.313 | 0.138 | 1.119 | 37 | 154.181 | 1.880 | 0.691 |
| 15 | 34.552 | 0.421 | 1.346 | 38 | 8.614 | 0.105 | 0.412 |
| 16 | 54.849 | 0.669 | 1.471 | 39 | 13.394 | 0.163 | 0.529 |
| 17 | 29.656 | 0.362 | 1.254 | 40 | 861.640 | 10.509 | 15.930 |
| 18 | 5.165 | 0.063 | 0.411 | 41 | 16.651 | 0.203 | 0.609 |
| 19 | 4.213 | 0.051 | 0.351 | 42 | 21.699 | 0.265 | 0.732 |
| 20 | 768.890 | 9.378 | 41.970 | 43 | 12.985 | 0.158 | 0.519 |
| 21 | 1029.290 | 12.553 | 34.738 | 44 | 13.451 | 0.164 | 0.530 |
| 22 | 8.229 | 0.100 | 0.455 | 45 | 25.823 | 0.315 | 0.205 |
| 23 | 10.817 | 0.132 | 0.573 | 46 | 27.619 | 0.337 | 0.278 |
Publisher’s Note: MDPI stays neutral with regard to jurisdictional claims in published maps and institutional affiliations. |
© 2022 by the authors. Licensee MDPI, Basel, Switzerland. This article is an open access article distributed under the terms and conditions of the Creative Commons Attribution (CC BY) license (https://creativecommons.org/licenses/by/4.0/).
Share and Cite
Guan, H.; Bai, Y.; Zhang, C. Research on Ecosystem Security and Restoration Pattern of Urban Agglomeration in the Yellow River Basin. Sustainability 2022, 14, 11599. https://doi.org/10.3390/su141811599
Guan H, Bai Y, Zhang C. Research on Ecosystem Security and Restoration Pattern of Urban Agglomeration in the Yellow River Basin. Sustainability. 2022; 14(18):11599. https://doi.org/10.3390/su141811599
Chicago/Turabian StyleGuan, Huiyuan, Yongping Bai, and Chunyue Zhang. 2022. "Research on Ecosystem Security and Restoration Pattern of Urban Agglomeration in the Yellow River Basin" Sustainability 14, no. 18: 11599. https://doi.org/10.3390/su141811599
APA StyleGuan, H., Bai, Y., & Zhang, C. (2022). Research on Ecosystem Security and Restoration Pattern of Urban Agglomeration in the Yellow River Basin. Sustainability, 14(18), 11599. https://doi.org/10.3390/su141811599
