Effect of Harvest Frequency, Seed Extraction Time Point and Post-Harvest Cooling on Organic Tomato Seed Production
Abstract
1. Introduction
2. Materials and Methods
2.1. Technical Data of Tomato Cultivation
2.2. Description of Genotypes
2.3. Experimental Set-Up
2.4. Seed Extraction
2.5. Seed Germination Trial
2.6. Statistical Design and Data Analysis
3. Results
3.1. Plant Development
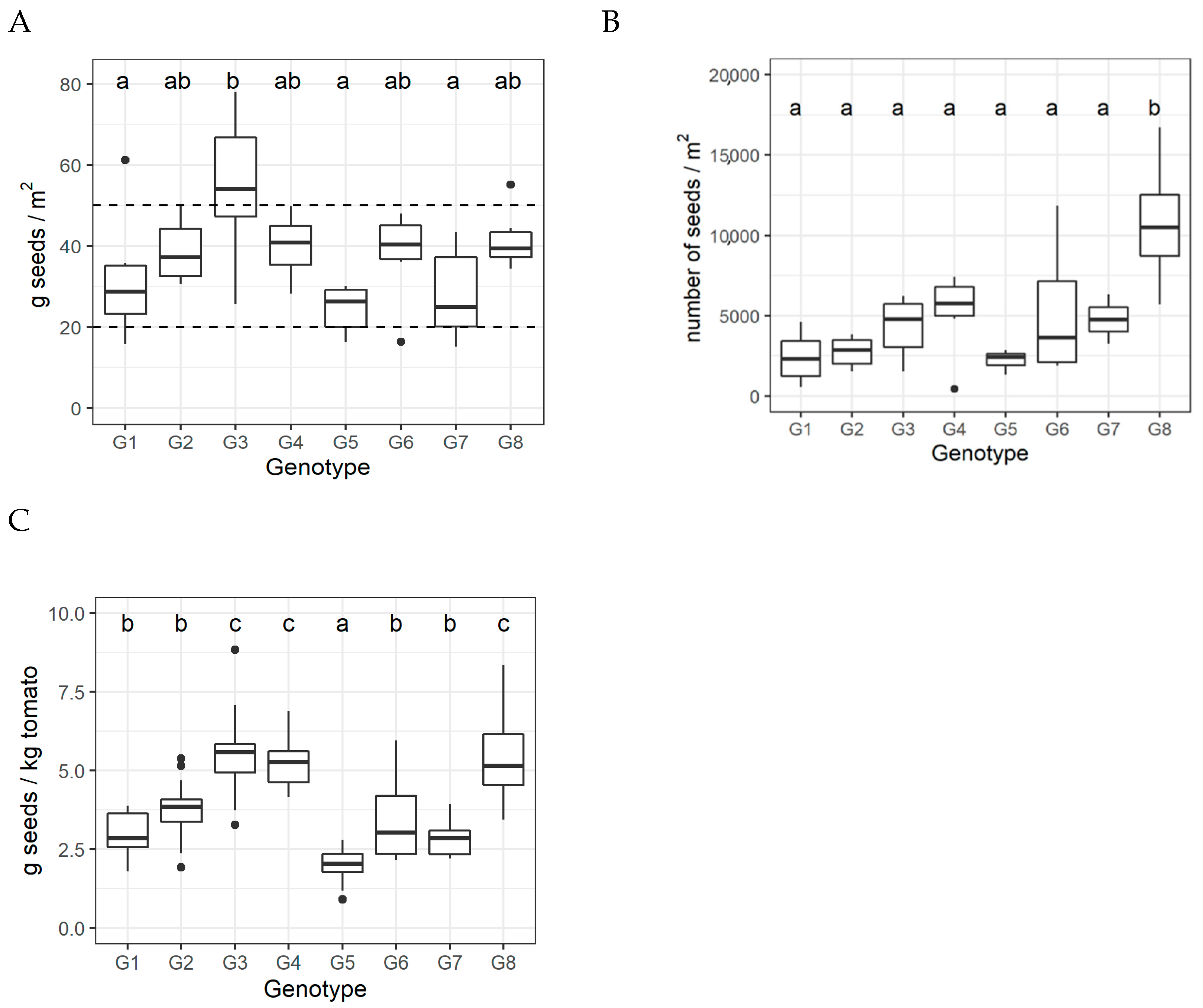
3.2. Effect of Harvest Frequency on Fruit and Seed Yield
3.3. Effect of Harvest Frequency and Extraction Time Point on Seed Yield
3.4. Effect of Harvest Frequency, Extraction Time Point and Cool Storage on Seed Germination
4. Discussion
5. Conclusions
Supplementary Materials
Author Contributions
Funding
Institutional Review Board Statement
Informed Consent Statement
Data Availability Statement
Acknowledgments
Conflicts of Interest
References
- Eurostat, the Statistical Office of the European Union. Eurostat Database. 2021. Available online: http://ec.europa.eu/eurostat/web/agriculture/data/database (accessed on 6 June 2022).
- EU Agricultural Outlook for Markets and Income 2020–2030; Publications Office of the European Union: Luxembourg, 2020; ISBN 978-92-76-25645-8.
- Li, N.; Wu, X.; Zhuang, W.; Xia, L.; Chen, Y.; Wu, C.; Rao, Z.; Du, L.; Zhao, R.; Yi, M.; et al. Tomato and lycopene and multiple health outcomes: Umbrella review. Food Chem. 2021, 343, 128396. [Google Scholar] [CrossRef] [PubMed]
- Salehi, B.; Sharifi-Rad, R.; Sharopov, F.; Namiesnik, J.; Roointan, A.; Kamle, M.; Kumar, P.; Martins, N.; Sharifi-Rad, J. Beneficial effects and potential risks of tomato consumption for human health: An overview. Nutrition 2019, 62, 201–208. [Google Scholar] [CrossRef] [PubMed]
- Perveen, R.; Suleria, H.A.R.; Anjum, F.M.; Butt, M.S.; Pasha, I.; Ahmad, S. Tomato (Solanum lycopersicum) Carotenoids and Lycopenes Chemistry; Metabolism, Absorption, Nutrition, and Allied Health Claims—A Comprehensive Review. Crit. Rev. Food Sci. Nutr. 2015, 55, 919–929. [Google Scholar] [CrossRef] [PubMed]
- FiBL. Are Data on Organic Agriculture in Europe 2020: The Statistics.FiBL.org Website Maintained by the Research Institute of Organic Agriculture (FiBL). Available online: https://statistics.fibl.org/europe/key-indicators-europe.html (accessed on 8 June 2022).
- Regulation (EU) 2018/848 of the European Parliament and of the Council of 30 May 2018 on Organic Production and Labelling of Organic Products and Repealing Council Regulation (EC). No 834/2007, 2018. Available online: https://eur-lex.europa.eu/eli/reg/2018/848/oj (accessed on 14 September 2022).
- Aldrich, H.T.; Salandanan, K.; Kendall, P.; Bunning, M.; Stonaker, F.; Külen, O.; Stushnoff, C. Cultivar choice provides options for local production of organic and conventionally produced tomatoes with higher quality and antioxidant content. J. Sci. Food Agric. 2010, 90, 2548–2555. [Google Scholar] [CrossRef] [PubMed]
- Seufert, V.; Ramankutty, N.; Foley, J.A. Comparing the yields of organic and conventional agriculture. Nature 2012, 485, 229–232. [Google Scholar] [CrossRef] [PubMed]
- Niggli, U. Sustainability of organic food production: Challenges and innovations. Proc. Nutr. Soc. 2015, 74, 83–88. [Google Scholar] [CrossRef] [PubMed]
- Gowda, B.; Ravikumar, G.H.; Reddy, P.N.; Kumar, A. Aravinda Kumar. Impact of fruit maturity status and picking stage on the seed quality of tomato (cv. L-15). Karnataka J. Agric. Sci. 1998, 13, 33–35. [Google Scholar]
- Demir, I.; Ellis, R.H. Changes in seed quality during seed development and maturation in tomato. Seed Sci. Res. 1992, 2, 81–87. [Google Scholar] [CrossRef]
- Tetteh, R.; Aboagye, L.M.; Darko, R.; Osafo, E.A. Effect of maturity stages on seed quality of two tomato accessions. Afr. Crop Sci. J. 2018, 26, 237. [Google Scholar] [CrossRef]
- Valdés, V.M.; Gray, D. The Influence of Stage of Fruit Maturation on Seed Quality in Tomato (Lycopersicon lycopersicum (L.) Karsten). Seed Sci. Technol. 1998, 26, 309–318. [Google Scholar]
- Demir, I.; Samit, Y. Seed quality in relation to fruit maturation and seed dry weight during development in tomato. Seed Sci. Technol. 2001, 29, 453. [Google Scholar]
- Tancos, M.A.; Chalupowicz, L.; Barash, I.; Manulis-Sasson, S.; Smart, C.D. Tomato fruit and seed colonization by Clavibacter michiganensis subsp. michiganensis through external and internal routes. Appl. Environ. Microbiol. 2013, 79, 6948–6957. [Google Scholar] [CrossRef]
- Silva, C.J.; van den Abeele, C.; Ortega-Salazar, I.; Papin, V.; Adaskaveg, J.A.; Wang, D.; Casteel, C.L.; Seymour, G.B.; Blanco-Ulate, B. Host susceptibility factors render ripe tomato fruit vulnerable to fungal disease despite active immune responses. J. Exp. Bot. 2021, 72, 2696–2709. [Google Scholar] [CrossRef] [PubMed]
- Neuweiler, R.; Krauss, J. 10/Düngung im Gemüsebau: Grundlagen für die Düngung landwirtschaftlicher Kulturen in der Schweiz. Agrar. Schweiz 2017, 8, 1–16. Available online: https://www.agrarforschungschweiz.ch/2017/06/grundlagen-fuer-die-duengung-landwirtschaftlicher-kulturen-in-der-schweiz-grud-2017/ (accessed on 14 September 2022).
- Sinaj, S.; Richner, W. Grundlagen für die Düngung landwirtschaftlicher Kulturen in der Schweiz (GRUD 2017). Agroscope, Schweiz. Available online: https://www.agrarforschungschweiz.ch/wp-content/uploads/2019/12/2017_06_2303.pdf (accessed on 14 September 2022).
- International Seed Testing Association (ISTA). ISTA Handbook on Seedling Evaluations, 3rd ed.; Section 15: Seedling Type E—Seedling Group A-2-1-1-1; ISTA: Bassersdorf, Switzerland, 2006. [Google Scholar]
- Kader, M.A. A comparison of seed germination calculation formulae and the associated interpretation of resulting data. J. Proc. R. Soc. N. S. W. 2005, 138, 65–75. [Google Scholar]
- R Core Team. R: A Language and Environment for Statistical Computing, Version 4.0. 3; R Foundation for Statistical Computing: Vienna, Austria, 2020. [Google Scholar]
- Lenth, R. Emmeans: Estimated Marginal Means, Aka Least-Squares Means. R Package Version 1.5.2-1. 2020. Available online: https://CRAN.R-project.org/package=emmeans (accessed on 14 September 2022).
- Microsoft Corporation. Microsoft Excel. 2016. Available online: https://office.microsoft.com/excel (accessed on 14 September 2022).
- Wickham, H. ggplot2: Elegant Graphics for Data Analysis; Springer: New York, NY, USA, 2016. [Google Scholar]
- Tijskens, L.M.M.; van Mourik, S.; Dieleman, J.A.; Schouten, R.E. Size development of tomatoes growing in trusses: Linking time of fruit set to diameter. J. Sci. Food Agric. 2020, 100, 4020–4028. [Google Scholar] [CrossRef] [PubMed]
- Ho, L.C. The mechanism of assimilate partitioning and carbohydrate compartmentation in fruit in relation to the quality and yield of tomato. J. Exp. Bot. 1996, 47, 1239–1243. [Google Scholar] [CrossRef] [PubMed]
- Marcelis, L.F. Sink strength as a determinant of dry matter partitioning in the whole plant. J. Exp. Bot. 1996, 47, 1281–1291. [Google Scholar] [CrossRef] [PubMed]
- European Union Law. Commission Implementing Directive (EU) 2020/432 of 23 March 2020 Amending Council Directive 2002/55/EC with Regard to the Definition of Vegetables and the List of Genera and Species in Article 2(1)(b) (Text with EEA Relevance), 2020. Available online: https://eur-lex.europa.eu/eli/dir_impl/2020/432/oj (accessed on 14 September 2022).
- Balcha, K.; Belew, D.; Nego, J. Evaluation of Tomato (Lycopersicon esculentum Mill.) Varieties for Seed Yield and Yield Components under Jimma Condition, South Western Ethiopia. J. Agron. 2015, 14, 292–297. [Google Scholar] [CrossRef][Green Version]
- Sharma, B.; Singh, J.P. Correlation and path coefficient analysis for quantitative and qualitative traits for fruit yield and seed yield in tomato genotypes. Indian J. Hortic. 2012, 69, 540–544. [Google Scholar]
- Organic Food and Beverages Market Size, Share & Trends Analysis Report By Product (Organic Food, Organic Beverages), By Distribution Channel (Offline, Online), By Region, And Segment Forecasts, 2022–2030: Market Analysis Report; Grand View Research: San Francisco, CA, USA, 2021.
- Willer, H.; Trávníček, J.; Meier, C.; Schlatter, B. The World of Organic Agriculture: Statistics and Emerging Trends 2022. 2022. Available online: https://knowledge4policy.ec.europa.eu/publication/world-organic-agriculture-statistics-emerging-trends-2022_en (accessed on 29 June 2022).





| Genotype | Variety | Origin | Type | Seed Set |
|---|---|---|---|---|
| G1 | Amish Pasta | Sativa Rheinau | Pelati | low |
| G2 | Noire de Crimée | Sativa Rheinau | Beefsteak | medium |
| G3 | Berner Rose | Sativa Rheinau | Beefsteak | high |
| G4 | De Penjar “Moradeta” | University of Valencia | Cocktail | medium |
| G5 | Pera d’Abbruzzo | ISI Sementi | Oxheart | medium |
| G6 | Pilu | Bingenheimer Saatgut | Standard | - |
| G7 | Byelsa F1 | Semillas Fito | Plum | high |
| G8 | Fedele F1 | Semillas Fito | Cherry | - |
| Genotype | Marketable Yield | Rejected Yield | Thousand-Seed Weight | Seed Yield | ||||||
|---|---|---|---|---|---|---|---|---|---|---|
| (kg/m2) | (% of Total Yield) | (g) | (g/m2) | |||||||
| Freq 1 | Freq 2 | Freq 1 | Freq 2 | N | Freq 1 | N | Freq 2 | Freq 1 | Freq 2 | |
| G1 | 11.7 ± 4.9 | 4.5 ± 0.5 | 12% | 36% | 9 | 2.41 ± 0.44 | 7 | 2.77 ± 0.42 | 40 ± 19 | 24 ± 9 |
| G2 | 9.6 ± 0.2 | 8.6 ± 1.2 | 12% | 13% | 8 | 3.1 ± 0.33 | 8 | 3.07 ± 0.35 | 41 ± 9 | 36 ± 8 |
| G3 | 8.6 ± 1.1 | 4.1 ± 2.3 | 17% | 55% | 9 | 2.71 ± 0.33 | 8 | 2.75 ± 0.34 | 62 ± 16 | 47 ± 22 |
| G4 | 7 ± 1.6 | 6.4 ± 0.7 | 14% | 11% | 9 | 3.18 ± 0.37 | 8 | 3.31 ± 0.32 | 43 ± 8 | 37 ± 8 |
| G5 | 11.2 ± 3 | 10.4 ± 2.9 | 11% | 14% | 9 | 2.99 ± 0.6 | 9 | 3.14 ± 0.78 | 26 ± 7 | 23 ± 6 |
| G6 | 11.4 ± 4 | 5.6 ± 1.6 | 15% | 38% | 8 | 2.87 ± 0.43 | 9 | 2.86 ± 0.45 | 44 ± 5 | 32 ± 14 |
| G7 | 11.6 ± 1.8 | 11.3 ± 1.8 | 3% | 7% | 9 | 2.92 ± 0.19 | 6 | 3.1 ± 0.19 | 37 ± 8 | 19 ± 3 |
| G8 | 7.1 ± 1 | 6.8 ± 1 | 1% | 3% | 9 | 1.89 ± 0.09 | 9 | 1.96 ± 0.14 | 46 ± 8 | 37 ± 3 |
| Ø | 9.8 ± 2.9 | 7.2 ± 2.9 | 10% | 22% | 2.75 ± 0.54 | 2.86 ± 0.57 | 42 ± 13 | 32 ± 13 | ||
| p-value | <0.01 | <0.001 | 0.698 | <0.05 | ||||||
| Genotype | Days after Seeding | Harvest Frequency + Treatment | ||
|---|---|---|---|---|
| Freq 1 | Freq 1 Cooled | Freq 2 | ||
| G1 | 7 | 0.72 ± 0.23 | 0.71 ± 0.13 | 0.66 ± 0.28 |
| 14 | 0.82 ± 0.11 | 0.81 ± 0.11 | 0.78 ± 0.14 | |
| 21 | 0.86 ± 0.11 | 0.87 ± 0.06 | 0.9 ± 0.06 | |
| G2 | 7 | 0.58 ± 0.32 | 0.84 ± 0.1 | 0.73 ± 0.2 |
| 14 | 0.69 ± 0.23 | 0.86 ± 0.15 | 0.83 ± 0.1 | |
| 21 | 0.8 ± 0.14 | 0.91 ± 0.07 | 0.9 ± 0.06 | |
Publisher’s Note: MDPI stays neutral with regard to jurisdictional claims in published maps and institutional affiliations. |
© 2022 by the authors. Licensee MDPI, Basel, Switzerland. This article is an open access article distributed under the terms and conditions of the Creative Commons Attribution (CC BY) license (https://creativecommons.org/licenses/by/4.0/).
Share and Cite
Schwitter, P.; Detterbeck, A.; Herforth-Rahmé, J. Effect of Harvest Frequency, Seed Extraction Time Point and Post-Harvest Cooling on Organic Tomato Seed Production. Sustainability 2022, 14, 11575. https://doi.org/10.3390/su141811575
Schwitter P, Detterbeck A, Herforth-Rahmé J. Effect of Harvest Frequency, Seed Extraction Time Point and Post-Harvest Cooling on Organic Tomato Seed Production. Sustainability. 2022; 14(18):11575. https://doi.org/10.3390/su141811575
Chicago/Turabian StyleSchwitter, Patricia, Amelie Detterbeck, and Joelle Herforth-Rahmé. 2022. "Effect of Harvest Frequency, Seed Extraction Time Point and Post-Harvest Cooling on Organic Tomato Seed Production" Sustainability 14, no. 18: 11575. https://doi.org/10.3390/su141811575
APA StyleSchwitter, P., Detterbeck, A., & Herforth-Rahmé, J. (2022). Effect of Harvest Frequency, Seed Extraction Time Point and Post-Harvest Cooling on Organic Tomato Seed Production. Sustainability, 14(18), 11575. https://doi.org/10.3390/su141811575

