SEIR Evolutionary Game Model Applied to the Evolution and Control of the Medical Waste Disposal Crisis in China during the COVID-19 Outbreak
Abstract
:1. Introduction
- (1)
- What are the internal evolutionary processes and characteristics of the game behavior between local governments and disposal enterprises?
- (2)
- How do different behavioral strategies between local governments and disposal firms affect the evolutionary process and path of speculative psychology of medical institutions?
- (3)
- Which measures should be taken to enable the medical waste disposal crisis in China to be efficiently controlled?
2. Literature Review
2.1. Medical Waste Research
2.2. Medical Waste Disposal Crisis Research
3. Problem Description and Underlying Assumptions
4. Model Construction and Analysis
4.1. SEIR Evolutionary Game Model Construction
4.2. Stability Analysis of Game Strategies of Local Governments and Disposal Enterprises
4.3. Threshold Solution and Stability Analysis of Equilibrium Point
4.3.1. Zero-Infection Balance Point for Speculative Psychology in Medical Institutions
4.3.2. The Propagation Balance Point of Speculative Psychology in Medical Institutions
5. Situational Simulation and Numerical Simulation Analysis
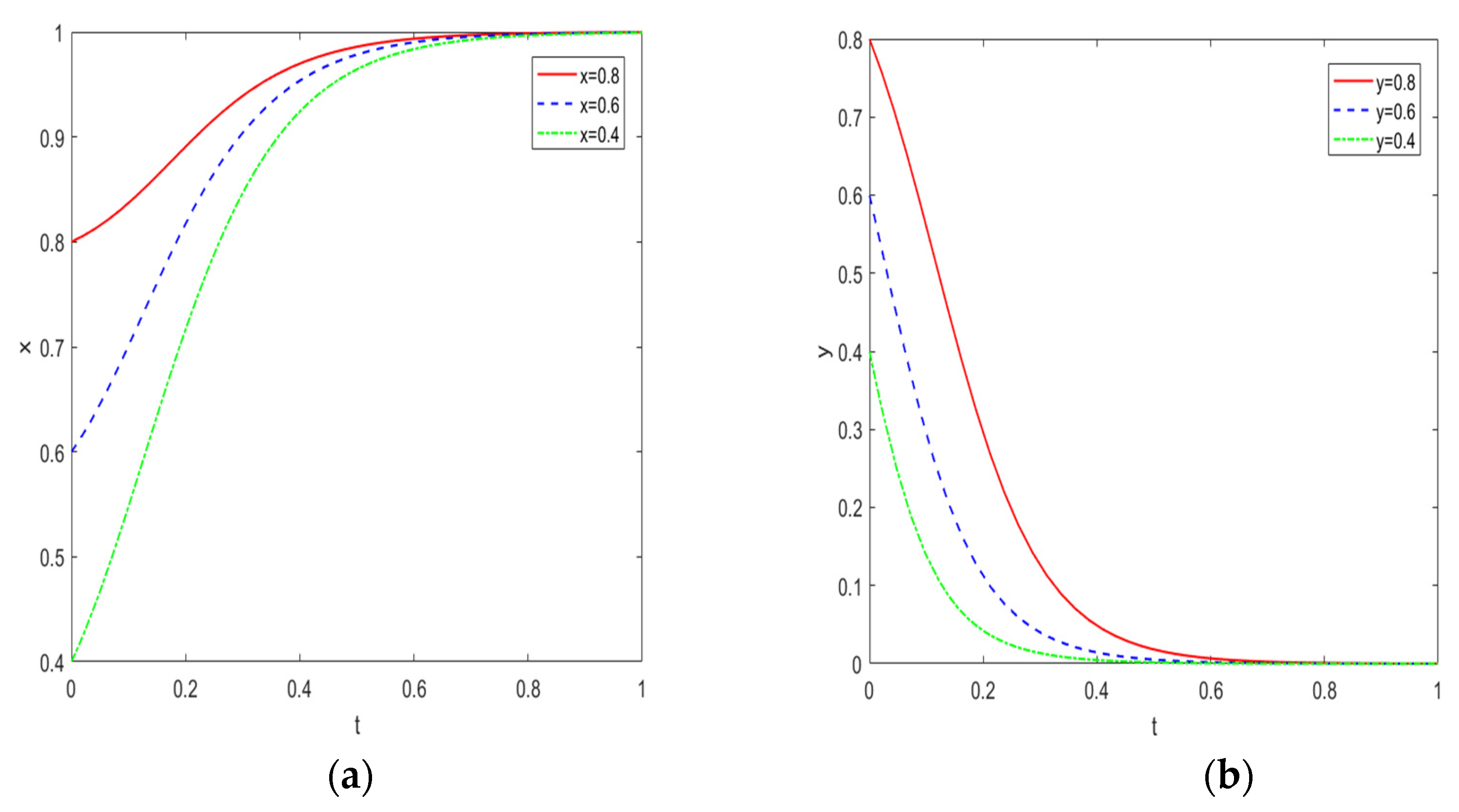
5.1. The Numerical Simulation Results under Scenario 1
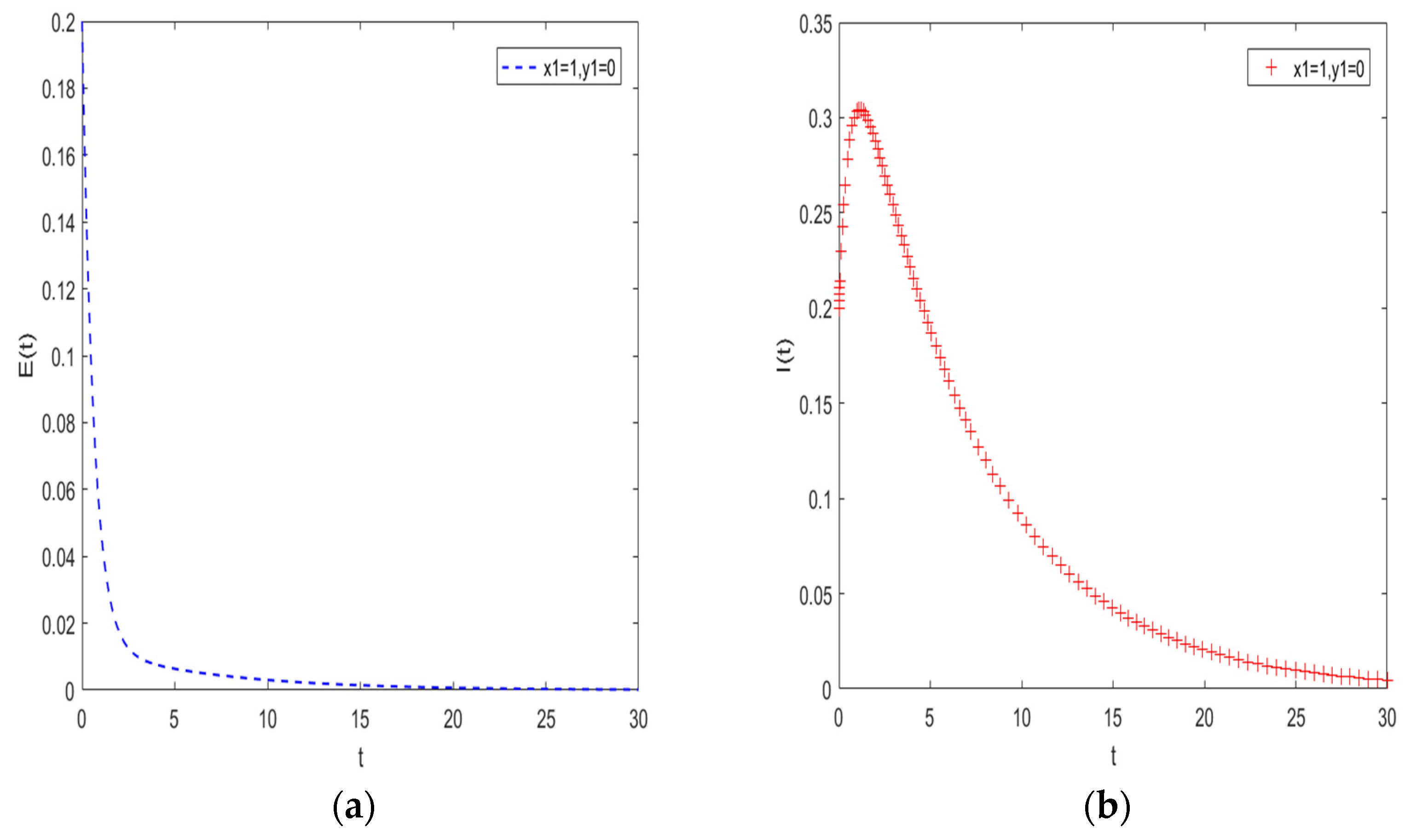
5.2. The Numerical Simulation Results under Scenario 2
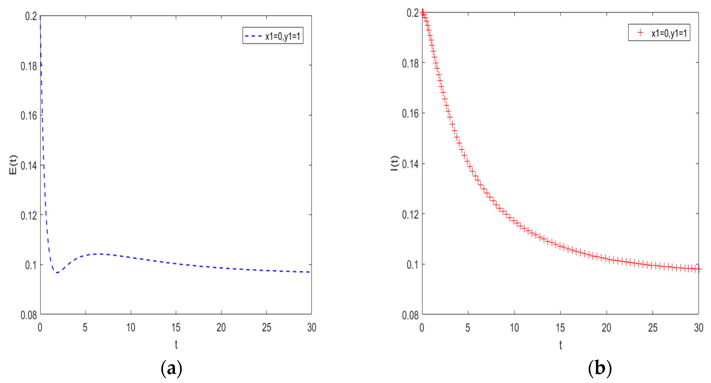
5.3. The Numerical Simulation Results under Scenario 3
5.4. The Numerical Simulation Results under Scenario 4
5.5. Results Discussion
6. Conclusions
Author Contributions
Funding
Institutional Review Board Statement
Informed Consent Statement
Data Availability Statement
Conflicts of Interest
References
- Kulkarni, B.N.; Anantharama, V. Repercussions of COVID-19 pandemic on municipal solid waste management: Challenges and opportunities. Sci. Total. Environ. 2020, 743, 140693. [Google Scholar] [CrossRef] [PubMed]
- Wu, J.T.; Leung, K.; Leung, G.M. Nowcasting and forecasting the potential domestic and international spread of the 2019-nCoV outbreak originating in Wuhan, China: A modeling study. Lancet 2020, 395, 41. [Google Scholar] [CrossRef]
- Yu, H.; Sun, X.; Solvang, W.D.; Zhao, X. Reverse logistics network design for effective management of medical waste in epidemic outbreaks: Insights from the coronavirus disease 2019 (COVID-19) outbreak in wuhan (China). Int. J. Environ. Res. Public Health 2020, 17, 1770. [Google Scholar] [CrossRef] [PubMed]
- El-Ramady, H.; Brevik, E.C.; Elbasiouny, H. Planning for disposal of COVID-19 pandemic wastes in developing countries: A review of current challenges. Environ. Monit. Assess. 2021, 193, 592. [Google Scholar] [CrossRef]
- Chen, C.; Chen, J.; Fang, R.; Ye, F.; Yang, Z.; Wang, Z.; Shi, F.; Tan, W. What medical waste management system may cope With COVID-19 pandemic: Lessons from Wuhan. Resour. Conserv. Recycl. 2021, 170, 105600. [Google Scholar] [CrossRef] [PubMed]
- Liu, J.Y.; Hui, J.F.; Sun, M.Y.; Liu, X.S.; Lu, W.H.; Ma, C.H.; Zhang, Q.B. A review of medical waste management systems in the republic of korea for hospital and medical waste generated from the COVID-19 pandemic. Sustainability 2022, 14, 3678. [Google Scholar] [CrossRef]
- Ilyas, S.; Srivastava, R.R.; Kim, H. Disinfection technology and strategies for COVID-19 hospital and bio-medical waste management. Sci. Total Environ. 2020, 749, 141652. [Google Scholar] [CrossRef]
- Liu, J.Y.; Hui, J.F.; Sun, M.Y.; Liu, X.S.; Lu, W.H.; Ma, C.H.; Zhang, Q.B. Application of multi-criteria decision approach in the assessment of medical waste management systems in nigeria. Sustainability 2022, 13, 10914. [Google Scholar] [CrossRef]
- Lv, Y.Q.; Ma, G.J.; Ding, J. Evolutionary game analysis of medical waste disposal in china under different reward and penalty models. Sustainability 2022, 14, 4658. [Google Scholar] [CrossRef]
- Yang, Y.; Wang, H.; Chen, K.; Zhou, J.; Deng, S.; Wang, Y. Shelter hospital mode: How do we prevent COVID-19 hospital-acquired infection? Infect. Control Hosp. Epidemiol. 2020, 41, 872–873. [Google Scholar] [CrossRef] [Green Version]
- Ma, Y.; Lin, X.; Wu, A.; Huang, Q.; Li, X.; Yan, J. Suggested guidelines for emergency treatment of medical waste during COVID-19: Chinese experience. Waste Dispos. Sustain. Energy 2020, 2, 81–84. [Google Scholar] [CrossRef] [PubMed]
- Aung, T.S.; Luan, S.J.; Xu, Q.Y. Application of multi-criteria-decision approach for the analysis of medical waste management systems in Myanmar. J. Clean. Prod. 2019, 222, 733–745. [Google Scholar] [CrossRef]
- Mallick, S.K.; Pramanik, M.; Maity, B.; Das, P.; Sahana, M. Plastic waste footprint in the context of COVID-19: Reduction challenges and policy recommendations towards sustainable development goals. Sci. Total. Environ. 2021, 796, 148951. [Google Scholar] [CrossRef] [PubMed]
- Maalouf, A.; Maalouf, H. Impact of COVID-19 pandemic on medical waste management in Lebanon. Waste Manag. Res. 2021, 39, 45–55. [Google Scholar] [CrossRef] [PubMed]
- Zhang, X.; An, H.Y.; Li, S.Q.; Hu, X.; Liu, J.; Li, Z.J.; Yang, Y.; Zhang, Y.X. Mixed placement of medical waste and domestic waste in public area of a large tertiary first-class general hospital. Chin. J. Infect. Contr. 2020, 19, 160–163. [Google Scholar]
- Al-Khatib, I.A.; Khalaf, A.-S.; Al-Sari, M.I.; Anayah, F. Medical waste management at three hospitals in Jenin district, Palestine. Environ. Monit. Assess. 2020, 192, 10. [Google Scholar] [CrossRef]
- Li, B.; Wang, Q.; Chen, B.; Sun, T.; Wang, Z.; Cheng, Y. Tripartite evolutionary game analysis of governance mechanism in Chinese WEEE recycling industry. Comput. Ind. Eng. 2022, 167, 108045. [Google Scholar] [CrossRef]
- Liu, J.; Yi, Y.; Li, C.Z.; Zhao, Y.; Xiao, Y. A model for analyzing compensation for the treatment costs of construction waste. Sustain. Energy Technol. 2021, 46, 101214. [Google Scholar] [CrossRef]
- Sun, Y.; Gu, Z.L. Implementation of construction waste recycling under construction sustainability incentives: A multi-agent stochastic evolutionary game approach. Sustainability 2022, 14, 3702. [Google Scholar] [CrossRef]
- Unkel, S.; Farrington, C.P.; Garthwaite, P.H.; Robertson, C.; Andrews, N. Statistical methods for the prospective detection of infectious disease outbreaks: A review. J. R. Stat. Soc. A Stat. 2012, 175, 49–82. [Google Scholar] [CrossRef]
- Tian, R.Y.; Zhang, X.F.; Liu, Y.J. SSIC model: A multi-layer model for intervention of online rumors spreading. Physica A 2015, 427, 181–191. [Google Scholar] [CrossRef]
- Zhao, J.W.; Wang, K.W. Research on the communication dynamics model of social network public opinion based on the SIS model. Inform. Sci. 2017, 35, 34–38. [Google Scholar]
- Yang, Y.; Zeng, Y.; Dai, J.; Liu, Y. The evolutionary game analysis of public opinion supervision of engineering quality in the network citizen journalism environment. Mob. Inf. Syst. 2021, 2021, 4560580. [Google Scholar] [CrossRef]
- Qi, K.; Peng, C. Research on the evolution and control of tourism public crisis based on SEIR evolutionary game model. Oper. Res. Manag. Sci. 2022, 31, 145–150. [Google Scholar]
- Lee, C.; Huffman, G.; Nalesnik, R. Medical waste management. Environ. Sci. Technol. 1991, 25, 360–363. [Google Scholar] [CrossRef]
- Liu, J.Y.; Hui, J.F.; Sun, M.Y.; Liu, X.S.; Lu, W.H.; Ma, C.H.; Zhang, Q.B. Management of hazardous medical waste in Croatia. Waste Manag. 2008, 28, 1049–1056. [Google Scholar] [CrossRef]
- Or, I.; Akgul, M. An optimization approach for locating a hazardous waste disposal facility in Istanbul province. Waste Manag. Res. 1994, 12, 495–506. [Google Scholar] [CrossRef]
- Mato, R.; Kaseva, M.E. Critical review of industrial and medical waste practices in Dar es Salaam city. Resour. Conserv. Recycl. 1999, 25, 271–287. [Google Scholar] [CrossRef]
- Askarian, M.; Vakili, M.; Kabir, G. Results of a hospital waste survey in private hospitals in Fars province. Iran. Waste Manag. 2004, 24, 347–352. [Google Scholar] [CrossRef]
- Ceylan, Z.; Bulkan, S.; Elevli, S. Prediction of medical waste generation using SVR, GM (1,1) and ARIMA models: A case study for megacity Istanbul. J. Environ. Health Sci. 2020, 18, 687–697. [Google Scholar] [CrossRef]
- Cetinkaya, A.Y.; Kuzu, S.L.; Demir, A. Medical waste management in a mid-populated Turkish city and development of medical waste prediction model. Environ. Sustain. 2020, 22, 6233–6244. [Google Scholar] [CrossRef]
- Wang, J.; Chen, Z.; Lang, X.; Wang, S.; Yang, L.; Wu, X.; Zhou, X.; Chen, Z. Quantitative evaluation of infectious health care wastes from numbers of confirmed, suspected and out-patients during COVID-19 pandemic: A case study of Wuhan. Waste Manag. 2021, 126, 323–330. [Google Scholar] [CrossRef]
- Pu, L.; Ma, Y.L.; Bi, Z.W.; Li, S.R.; Li, Y. Exploring the relationship between solid waste production and economic development and the influence factor of solid waste. Environ. Pollut. Control. 2021, 43, 266–270. [Google Scholar]
- Ma, Y.; Jia, L.; Hou, Y.; Wu, X. The impact of economic growth and tiered medical policy on the medical waste generation: An empirical analysis based on the environmental Kuznets curve model. Front. Environ. Sci. 2022, 10, 824435. [Google Scholar] [CrossRef]
- Tsai, W.T. Analysis of medical waste management and impact analysis of COVID-19 on its generation in Taiwan. Waste Manag. Res. 2021, 39, 27–33. [Google Scholar] [CrossRef] [PubMed]
- Dharmaraj, S.; Ashokkumar, V.; Pandiyan, R.; Munawaroh, H.S.H.; Chew, K.W.; Chen, W.-H.; Ngamcharussrivichai, C. Pyrolysis: An effective technique for degradation of COVID-19 medical wastes. Chemosphere 2021, 275, 130092. [Google Scholar] [CrossRef] [PubMed]
- Zhao, H.L.; Wang, L.; Liu, F.; Liu, H.Q.; Zhu, Y. Energy, environment and economy assessment of medical waste disposal technologies in China. Sci. Total. Environ. 2021, 796, 148964. [Google Scholar] [CrossRef]
- Tirkolaee, E.B.; Torkayesh, A.E. A cluster-based stratified hybrid decision support model under uncertainty: Sustainable healthcare landfill location selection. Appl. Intell. 2022. [Google Scholar] [CrossRef]
- Kenny, C.; Priyadarshini, A. Review of current healthcare waste management methods and their effect on global health. Healthcare 2021, 9, 284. [Google Scholar] [CrossRef]
- Su, G.; Ong, H.C.; Ibrahim, S.; Fattah, I.M.R.; Mofijur, M.; Chong, C.T. Valorisation of medical waste through pyrolysis for a cleaner environment: Progress and challenges. Environ. Pollut. 2021, 279, 116934. [Google Scholar] [CrossRef]
- Erdogan, A.A.; Yilmazoglu, M.Z. Plasma gasification of the medical waste. Int. J. Hydrog. Energe 2021, 46, 29108–29125. [Google Scholar] [CrossRef] [PubMed]
- Ragazzi, M.; Rada, E.C.; Schiavon, M. Municipal solid waste management during the SARS-COV-2 outbreak and lockdown ease: Lessons from Italy. Sci. Total. Environn. 2020, 745, 141159. [Google Scholar] [CrossRef]
- Acharya, A.; Bastola, G.; Modi, B.; Marhatta, A.; Belbase, S.; Lamichhane, G.; Gyawali, N.; Dahal, R.K. The impact of COVID-19 outbreaks and perceptions of people towards household waste management chain in Nepal. Geoenviron. Disasters 2021, 8, 1–11. [Google Scholar] [CrossRef] [PubMed]
- Mohamed, B.A.; Fattah, I.M.R.; Yousaf, B.; Periyasamy, S. Efects of the COVID-19 pandemic on the environment, waste management, and energy sectors: A deeper look into the long-term impacts. Environ. Sci. Pollut. Res. 2022, 29, 46438–46457. [Google Scholar] [CrossRef] [PubMed]
- Mihai, F.C.; Grozavu, A. Role of waste collection efficiency in providing a cleaner rural environment. Sustainability 2020, 11, 6855. [Google Scholar] [CrossRef]
- Zhang, P.F. Analysis of the public health functions of the chinese government in the prevention and control of COVID-19. Risk Manag. Healthc. Policy 2021, 14, 237–246. [Google Scholar] [CrossRef]
- Wang, C.; Dong, X.; Zhang, Y.; Luo, Y. Community resilience governance on public health crisis in China. Int. J. Res. Public Health 2021, 18, 2123. [Google Scholar] [CrossRef]
- Adams, M.D. Air pollution in Ontario, Canada during the COVID-19 State of Emergency. Sci. Total. Environ. 2020, 742, 140516. [Google Scholar] [CrossRef]
- Berman, J.D.; Ebisu, K. Changes in U.S. air pollution during the COVID-19 pandemic. Sci. Total. Environ. 2020, 739, 139864. [Google Scholar] [CrossRef]
- Goswami, M.; Goswami, P.J.; Nautiyal, S.; Prakash, S. Challenges and actions to the environmental management of Bio-Medical Waste during COVID-19 pandemic in India. Heliyon 2021, 7, 06313. [Google Scholar] [CrossRef]
- Ghadir, A.H.; Vandchali, H.R.; Fallah, M.; Tirkolaee, E.B. Evaluating the impacts of COVID-19 outbreak on supply chain risks by modified failure mode and effects analysis: A case study in an automotive company. Ann. Oper. Res. 2022, 1–31. [Google Scholar] [CrossRef]
- Zaher, W.A.; Ahamed, F.; Ganesan, S.; Warren, K.; Koshy, A. COVID-19 crisis management: Lessons from the United Arab Emirates leaders. Front. Public Health 2021, 9, 724494. [Google Scholar] [CrossRef] [PubMed]
- Kuhlmann, S.; Franzke, J. Multi-level responses to COVID-19: Crisis coordination in Germany from an intergovernmental perspective. Local. Gov. Stud. 2022, 48, 312–334. [Google Scholar] [CrossRef]
- Weber, G.; Cabras, I.; Calaf-Forn, M.; Puig-Ventosa, I.; D’Alisa, G. Promoting waste degrowth and environmental justice at a local level: The case of unit-pricing schemes in Spain. Ecol. Econ. 2019, 156, 306–317. [Google Scholar] [CrossRef] [Green Version]
- Smith, J.M. The theory of games and the evolution of animal conflicts. J. Theor. Biol. 1974, 47, 209–221. [Google Scholar] [CrossRef]
- Deng, Y.L.; You, D.M.; Zhang, Y. Can the behavioural spillover effect affect the environmental regulations strategy choice of local governments? Int. J. Environ. Res. Public Health 2021, 18, 4975. [Google Scholar] [CrossRef]
- Rocha, A.B.D.; Salomao, G.M. Environmental policy regulation and corporate compliance in evolutionary game models with well-mixed and structured populations. Eur. J. Oper. Res. 2019, 279, 486–501. [Google Scholar] [CrossRef]
- Friedman, D. On economic applications of evolutionary game theory. J. Evol. Econ. 1998, 8, 15–43. [Google Scholar] [CrossRef]
- Pai, M.A. Power System Stability: Analysis by the Direct Method of Lyaponov; IEEE: Manhattan, NY, USA, 1984; Volume 72, pp. 1828–1829. [Google Scholar]
- Yuan, Y.; Du, L.; Li, X.; Chen, F. An evolutionary game model of the supply decisions between GNPOs and hospitals during a public health emergency. Sustainability 2022, 14, 1156. [Google Scholar] [CrossRef]









| Waste Category | Components |
|---|---|
| Infectious waste | Medical waste carrying pathogenic microorganisms with the risk of spreading infectious diseases |
| Damaging waste | Abandoned medical sharps that can stab or cut the human body |
| Pathological waste | Human waste and medical laboratory animal carcasses generated in the process of treatment |
| Pharmaceutical waste | Obsolete, deteriorated, or contaminated discarded drugs |
| Chemical waste | Corrosive, waste chemicals |
| Players | Disposal Enterprises | ||
|---|---|---|---|
| High-Quality Disposal | Low-Quality Disposal | ||
| Local Governments | Strict regulation | , | , |
| Relaxed regulation | , | , | |
| Equilibrium Point | ||
|---|---|---|
Publisher’s Note: MDPI stays neutral with regard to jurisdictional claims in published maps and institutional affiliations. |
© 2022 by the authors. Licensee MDPI, Basel, Switzerland. This article is an open access article distributed under the terms and conditions of the Creative Commons Attribution (CC BY) license (https://creativecommons.org/licenses/by/4.0/).
Share and Cite
Ma, G.; Ding, J.; Lv, Y. SEIR Evolutionary Game Model Applied to the Evolution and Control of the Medical Waste Disposal Crisis in China during the COVID-19 Outbreak. Sustainability 2022, 14, 11396. https://doi.org/10.3390/su141811396
Ma G, Ding J, Lv Y. SEIR Evolutionary Game Model Applied to the Evolution and Control of the Medical Waste Disposal Crisis in China during the COVID-19 Outbreak. Sustainability. 2022; 14(18):11396. https://doi.org/10.3390/su141811396
Chicago/Turabian StyleMa, Guojian, Juan Ding, and Youqing Lv. 2022. "SEIR Evolutionary Game Model Applied to the Evolution and Control of the Medical Waste Disposal Crisis in China during the COVID-19 Outbreak" Sustainability 14, no. 18: 11396. https://doi.org/10.3390/su141811396
APA StyleMa, G., Ding, J., & Lv, Y. (2022). SEIR Evolutionary Game Model Applied to the Evolution and Control of the Medical Waste Disposal Crisis in China during the COVID-19 Outbreak. Sustainability, 14(18), 11396. https://doi.org/10.3390/su141811396
