Sustainable Intensification of Rice Fallows with Oilseeds and Pulses: Effects on Soil Aggregation, Organic Carbon Dynamics, and Crop Productivity in Eastern Indo-Gangetic Plains
Abstract
:1. Introduction
2. Materials and Methods
2.1. Study Location
2.2. Field Management and Experimental Design
2.3. Analysis of Soil Samples
2.4. Pools of Oxidizable Organic Carbon
2.5. System Rice Equivalent Yield (SREY)/System Productivity
2.6. Statistical Analysis
3. Results
3.1. Distribution Characteristics of Water-Stable Soil Aggregates
3.2. Stability of the Water-Stable Soil Aggregate
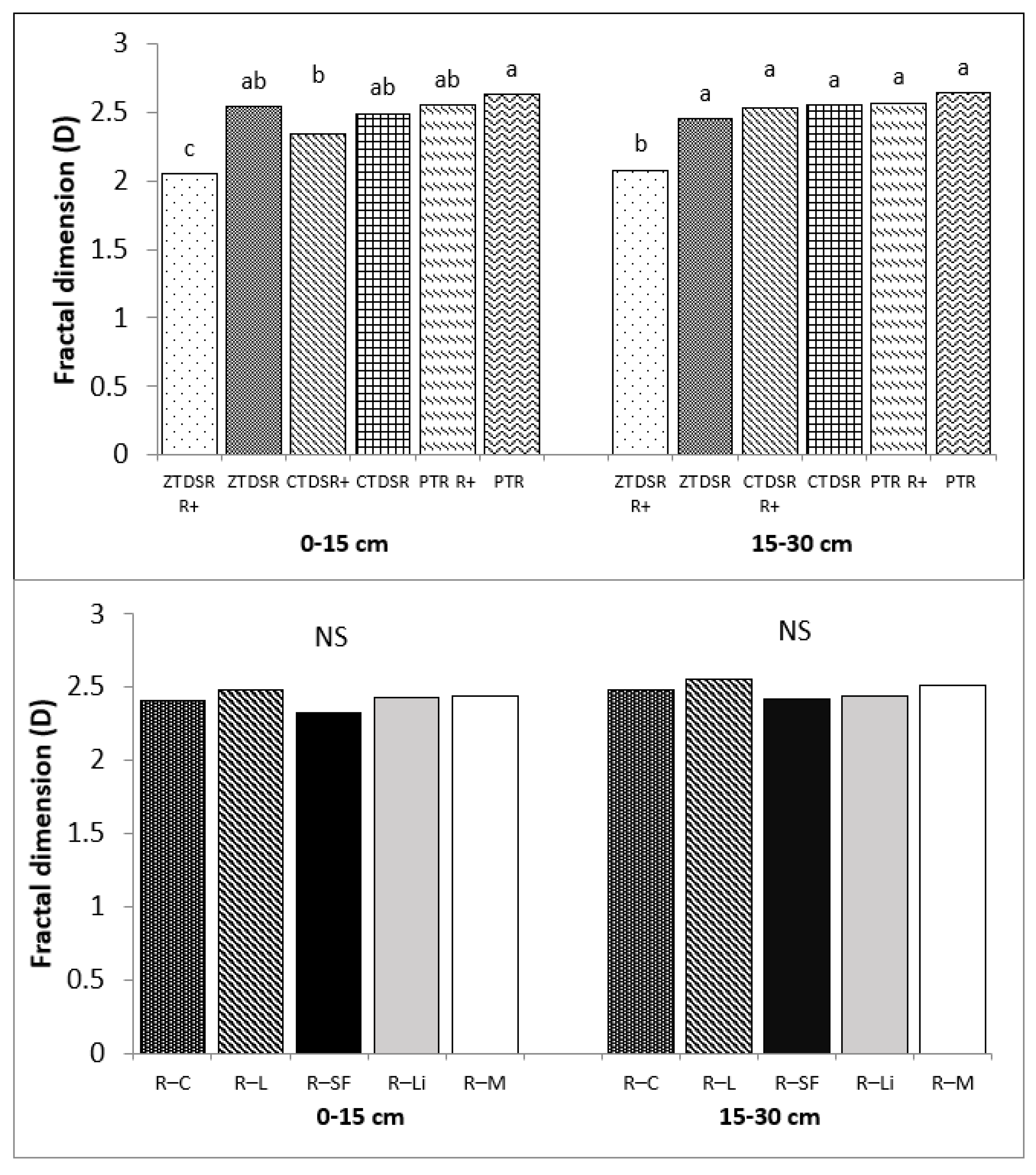
3.3. Aggregates Fractal Dimension
3.4. Distribution of Water-Stable Aggregate-Associated Carbon
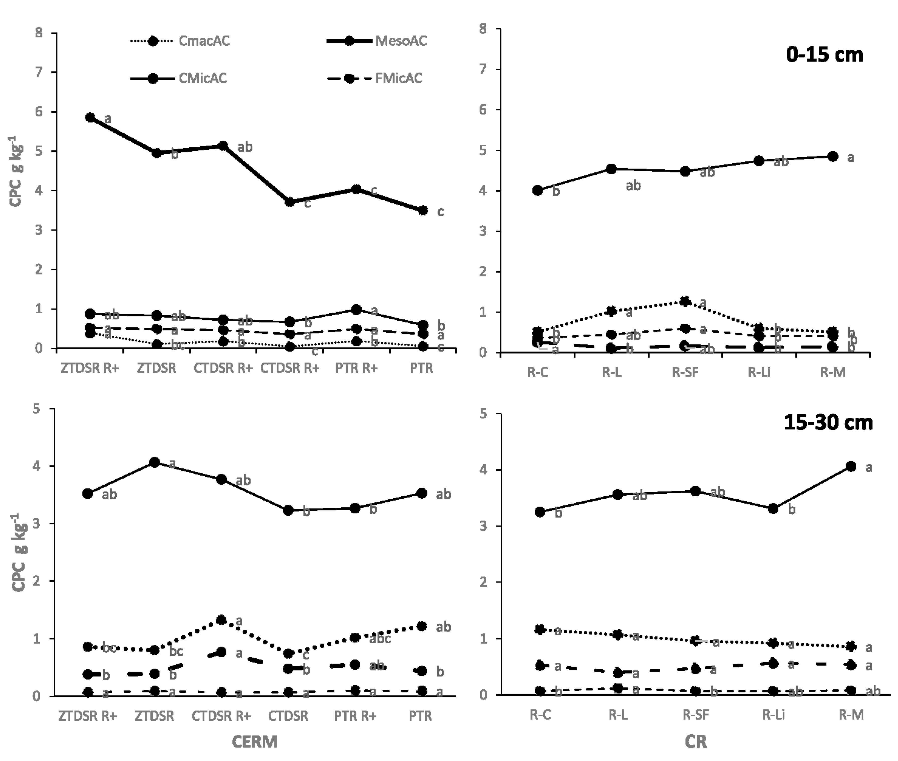
3.5. Carbon Preservation Capacity (CPC) of the Different Aggregate Class
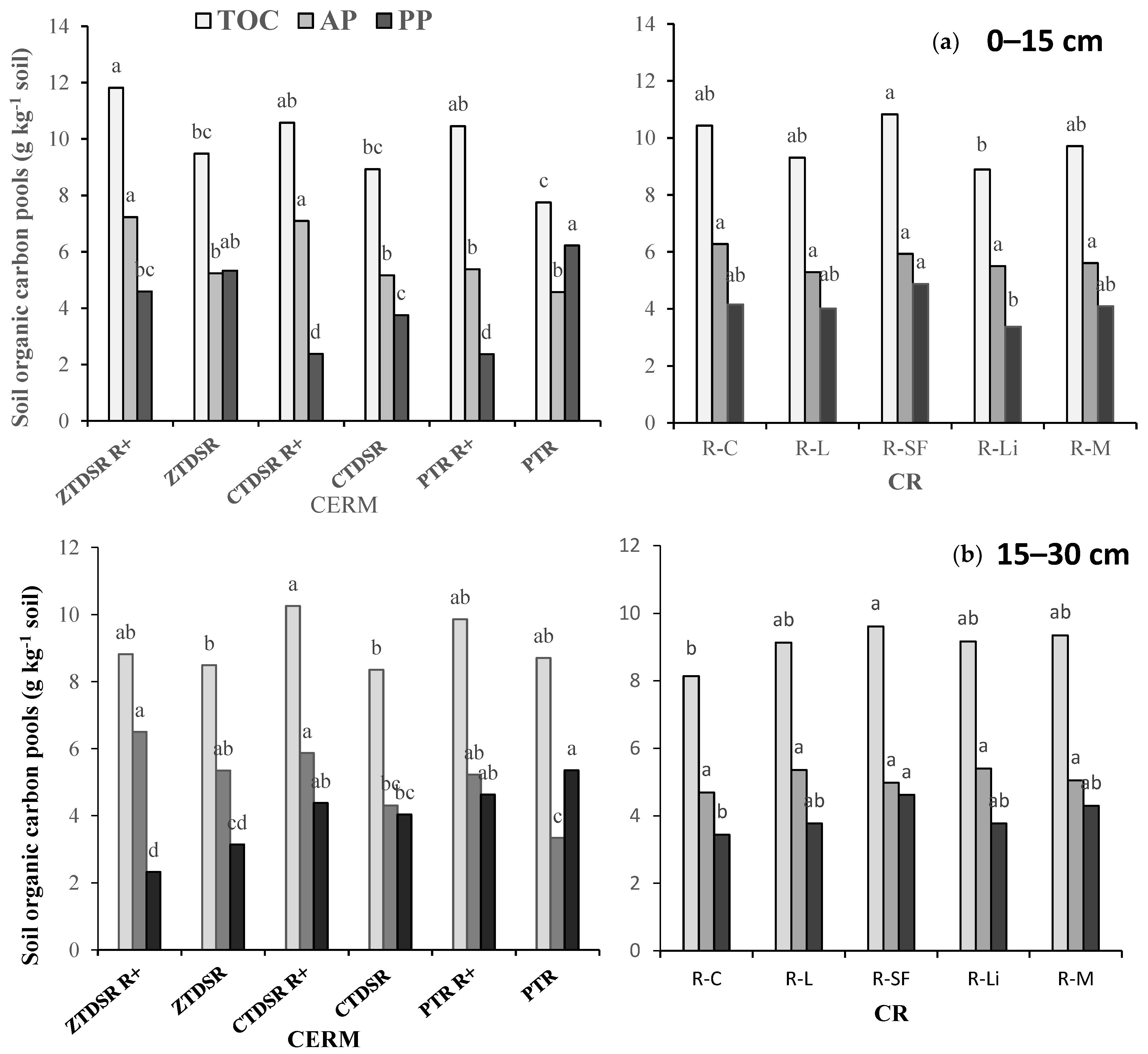
3.6. Fractions of the Bulk Soil Organic Carbon
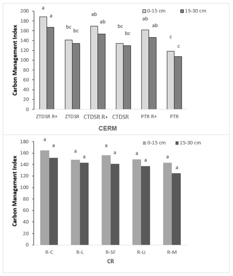
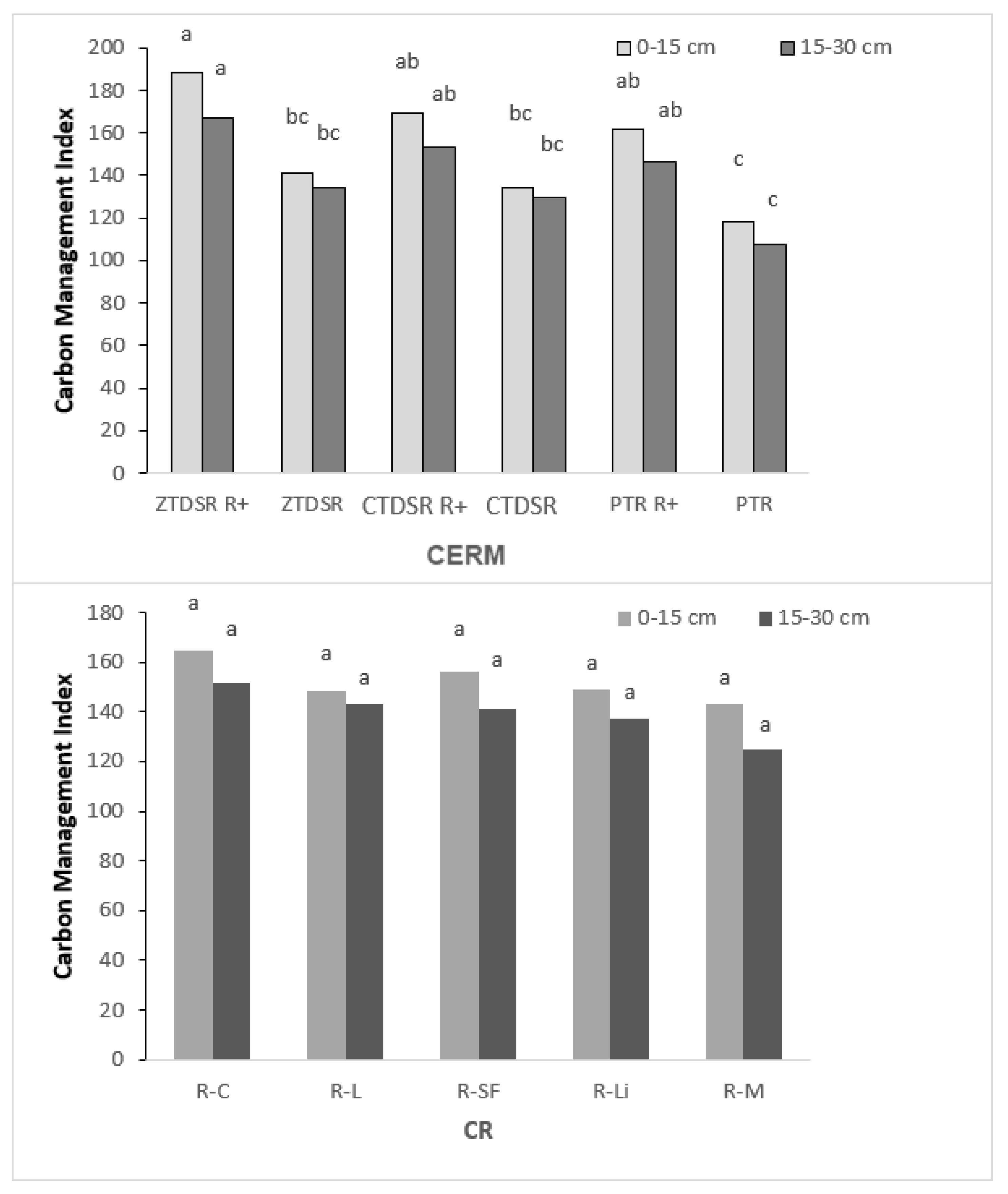
3.7. Carbon Management Index
3.8. Correlation between the Soil Properties
3.9. System Rice Equivalent Yield (SREY)/System Productivity
4. Discussion
4.1. Water Stable Soil Aggregate
4.2. Aggregate Fractal Dimension
4.3. Water-Stable Aggregate-Associated Carbon
4.4. Carbon Preservation Capacity (CPC) in Various Aggregate Classes
4.5. Carbon Pools
4.6. Carbon Management Index (CMI)
4.7. System Rice Equivalent Yield (SREY)/System Productivity
5. Conclusions
Supplementary Materials
Author Contributions
Funding
Institutional Review Board Statement
Informed Consent Statement
Data Availability Statement
Acknowledgments
Conflicts of Interest
Abbreviations
| AP | active carbon pool |
| BD | bulk density |
| C | carbon |
| CA | conservation agriculture |
| CSA | climate-smart agriculture |
| CERM | crop establishment-cum-residue management |
| CMacAC | coarse macroaggregate-associated C |
| CMI | carbon management index |
| CMicAC | coarse microaggregate- associated C |
| CPC | carbon preservation capacity |
| CR | cropping rotation |
| CTDSR | conventional-till direct seeded rice |
| CTDSRR+ | CTDSR with rice residue retention |
| DTPA | diethylenetriaminepentaacetic acid |
| FD | fractal dimension |
| FMicAC | fine microaggregate-associated C |
| GMD | geometric mean diameter |
| LC | labile carbon |
| LI | lability index |
| LLC | less labile carbon |
| M ha | million hectares |
| MesoAC | meso-aggregate-associated C |
| MWD | mean weight diameter |
| NLC | non-labile carbon: NLC |
| OC | organic carbon |
| P | phosphorus |
| PP | passive carbon pool |
| PTR | puddled transplanted rice |
| PTRR+ | PTR with rice residue retention |
| R-C | rice–chickpea |
| REY | rice equivalent yield |
| R-L | rice–lentil |
| R-Li | rice–linseed |
| R-M | rice–mustard |
| R-SF | rice–safflower |
| SOC | soil organic carbon |
| SREY | system rice equivalent yield |
| TOC | total organic carbon |
| TWSA | total water-stable aggregate |
| VLC | very labile carbon: VLC |
| WSMacA | water stable macroaggregate |
| WSMicA | water stable microaggregate |
| ZTDSR | zero-tillage direct-seeded rice |
| ZTDSRR+ | ZTDSR with rice residue retention |
References
- Pretty, J.; Benton, T.G.; Bharucha, Z.P.; Dicks, L.V.; Flora, C.B.; Godfray, H.C.J.; Goulson, D.; Hartley, S.; Lampkin, N.; Morris, C.; et al. Global assessment of agricultural system redesign for sustainable intensification. Nat. Sustain. 2018, 1, 441–446. [Google Scholar] [CrossRef]
- Singh, A.K.; Das, B.; Mali, S.S.; Bhavana, P.; Shinde, R.; Bhatt, B.P. Intensification of rice-fallow cropping systems in the Eastern Plateau region of India: Diversifying cropping systems and climate risk mitigation. Clim. Dev. 2019, 12, 791–800. [Google Scholar] [CrossRef]
- Lal, B.; Gautam, P.; Panda, B.B.; Tripathi, R.; Shahid, M.; Bihari, P.; Guru, P.K.; Singh, T.; Meena, R.L.; Nayak, A.K. Identification of energy and carbon efficient cropping system for ecological sustainability of rice fallow. Ecol. Indic. 2020, 115, 106431. [Google Scholar] [CrossRef]
- Kumar, R.; Mishra, J.S.; Rao, K.K.; Mondal, S.; Hazra, K.K.; Choudhary, J.S.; Hans, H.; Bhatt, B.P. Crop rotation and tillage management options for sustainable intensification of rice-fallow agro-ecosystem in eastern India. Sci. Rep. 2020, 10, 15. [Google Scholar] [CrossRef] [PubMed]
- Kumar, U.; Mishra, V.N.; Kumar, N.; Srivastava, L.K.; Bajpai, R.K. Soil physical and chemical quality under long-term rice-based cropping System in Hot Humid Eastern Plateau of India. Commun. Soil Sci. Plant Anal. 2020, 51, 1930–1945. [Google Scholar] [CrossRef]
- Directorate of Oilseeds Development Ministry of Agriculture & Farmers Welfare Government of India. Available online: https://oilseeds.dac.gov.in/ (accessed on 10 August 2022).
- Present Status of Oilseed Crops and Vegetable Oils in India. Available online: https://www.nfsm.gov.in/StatusPaper/NMOOP2018.pdf (accessed on 10 August 2022).
- Kumar, R.; Mishra, J.S.; Rao, K.K.; Bhatt, B.P.; Hazra, K.K.; Hans, H.; Mondal, S. Sustainable intensification of rice fallows of Eastern India with suitable winter crop and appropriate crop establishment technique. Environ. Sci. Pollut. Res. 2019, 26, 29409–29423. [Google Scholar] [CrossRef]
- Tu, X.; DeDecker, J.; Viens, F.; Snapp, S. Environmental and management drivers of soil health indicators on Michigan field crop farms. Soil Till. Res. 2021, 213, 105146. [Google Scholar] [CrossRef]
- Khalkhal, K.; AsgariLajayer, B.; Ghorbanpour, M. An overview on the effect of soil physicochemical properties on the immobilization of biogenic nanoparticles. In Biogenic Nano-Particles and Their Use in Agro-Ecosystems; Springer Science and Business Media: Singapore, 2020; pp. 133–160. [Google Scholar]
- Bhattacharyya, R.; Tuti, M.D.; Bisht, J.K.; Bhatt, J.C.; Gupta, H.S. Conservation tillage and fertilization impact on soil aggregation and carbon pools in Indian Himalayas under an irrigated rice-wheat rotation. Soil Sci. 2012, 177, 218–228. [Google Scholar] [CrossRef]
- Saurabh, K.; Rao, K.K.; Mishra, J.S.; Kumar, R.; Poonia, S.P.; Samal, S.K.; Roy, H.S.; Dubey, A.K.; Choubey, A.K.; Mondal, S.; et al. Influence of tillage-based crop establishment and residue management practices on soil quality indices and yield sustainability in rice-wheat cropping system of Eastern Indo-Gangetic Plains. Soil Till. Res. 2021, 206, 104841. [Google Scholar] [CrossRef]
- Carter, M.R. Soil quality for sustainable land management: Organic matter and aggregation interactions that maintain soil functions. Agron J. 2002, 94, 38–47. [Google Scholar] [CrossRef]
- Kumar, R.; Mishra, J.S.; Naik, S.K.; Mondal, S.; Meena, R.S.; Kumar, S.; Dubey, A.K.; Makarana, G.; Jha, B.K.; Mali, S.S.; et al. Impact of crop establishment and residue management on soil properties and productivity in rice-fallow ecosystems in India. Land Degrad. Dev. 2022, 33, 798–812. [Google Scholar] [CrossRef]
- Walkley, A.; Black, I.A. An examination of the Degtjareff method for determining soil organic matter, and a proposed modification of the chromic acid titration method. Soil Sci. 1934, 37, 29–38. [Google Scholar] [CrossRef]
- Heanes, D.L. Determination of total Organic-C in soils by an improved chromic acid digestion and spectrophotometric procedure. Commun. Soil Sci. Plant Anal. 1984, 15, 1191–1213. [Google Scholar] [CrossRef]
- Chan, K.Y.; Bowman, A.; Oates, A. Oxidizible organic carbon fractions and soil quality changes in an oxicpaleustalf under different pasture leys. Soil Sci. 2001, 166, 61–67. [Google Scholar] [CrossRef]
- Olsen, S.R.; Cole, C.V.; Watanabe, F.S.; Dean, L.A. Estimation of available phosphorus in soils by extraction with sodium bicarbonate. USDA Circ. 1954, 9398, 1–19. [Google Scholar]
- Hanway, J.J.; Heidel, H. Soil analyses methods as used in Iowa state college soil testing laboratory. IOWA Agric. 1952, 57, 1–31. [Google Scholar]
- Yoder, R.E. A direct method of aggregate analysis of soils and a study of the physical nature of erosion losses. Agron J. 1936, 28, 337–351. [Google Scholar] [CrossRef]
- Zheng, H.; Liu, W.; Zheng, J.; Luo, Y.; Li, R.; Wang, H.; Qi, H. Effect of long-term tillage on soil aggregates and aggregate-associated carbon in black soil of Northeast China. PLoS ONE 2018, 13, 0199523. [Google Scholar] [CrossRef]
- Jastrow, J.D.; Miller, R.M.; Boutton, T.W. Carbon dynamics of aggregate-associated organic matter estimated by carbon-13 natural abundance. Soil Sci. Soc. Am. J. 1996, 60, 801–807. [Google Scholar] [CrossRef]
- Blair, G.J.; Lefroy, R.D.; Lisle, L. Soil carbon fractions based on their degree of oxidation, and development of a carbon management index for agricultural systems. Aust. J. Agric. Res. 1995, 46, 1459–1466. [Google Scholar] [CrossRef]
- Song, K.; Zheng, X.; Lv, W.; Qin, Q.; Sun, L.; Zhang, H.; Xue, Y. Effects of tillage and straw return on water-stable aggregates, carbon stabilization and crop yield in an estuarine alluvial soil. Sci. Rep. 2019, 9, 1–11. [Google Scholar] [CrossRef] [PubMed]
- Cary, N.C. SAS Institute Inc. SAS/STAT® 9.3 User’s Guide: The MIXED Procedure (Chapter); SAS Institute Inc.: Cary, NC, USA, 2011. [Google Scholar]
- R Core Team. R: A Language and Environment for Statistical Computing. R Foundation for Statistical Computing, Vienna, Austria. Available online: http://www.R-project.org/ (accessed on 25 August 2022).
- Wang, X.; Qi, J.Y.; Zhang, X.Z.; Li, S.S.; Virk, A.L.; Zhao, X.; Xiao, X.P.; Zhang, H.L. Effects of tillage and residue management on soil aggregates and associated carbon storage in a double paddy cropping system. Soil Till. Res. 2019, 194, 104339. [Google Scholar] [CrossRef]
- Choudhury, S.G.; Srivastava, S.; Singh, R.; Chaudhari, S.K.; Sharma, D.K.; Singh, S.K.; Sarkar, D. Tillage and residue management effects on soil aggregation, organic carbon dynamics and yield attribute in rice–wheat cropping system under reclaimed sodic soil. Soil Till. Res. 2014, 136, 76–83. [Google Scholar] [CrossRef]
- Sekaran, U.; Sagar, K.L.; Kumar, S. Soil aggregates, aggregate-associated carbon and nitrogen, and water retention as influenced by short and long-term no-till systems. Soil Till. Res. 2021, 208, 104885. [Google Scholar] [CrossRef]
- Jat, H.S.; Datta, A.; Choudhary, M.; Sharma, P.C.; Jat, M.L. Conservation Agriculture: Factors and drivers of adoption and scalable innovative practices in Indo-Gangetic plains of India—A review. Int. J. Agric. Sustain. 2021, 19, 40–55. [Google Scholar] [CrossRef]
- Zhang, P.; Wei, T.; Jia, Z.; Han, Q.; Ren, X. Soil aggregate and crop yield changes with different rates of straw incorporation in semiarid areas of northwest China. Geoderma 2014, 230, 41–49. [Google Scholar] [CrossRef]
- Vashisht, B.B.; Maharjan, B.; Sharma, S.; Kaur, S. Soil quality and its potential indicators under different land use systems in the Shivaliks of Indian Punjab. Sustainability 2020, 12, 3490. [Google Scholar] [CrossRef]
- Mirzaei, M.; GorjiAnari, M.; Razavy-Toosi, E.; Asadi, H.; Moghiseh, E.; Saronjic, N.; Rodrigo-Comino, J. Preliminary Effects of Crop Residue Management on Soil Quality and Crop Production under Different Soil Management Regimes in Corn-Wheat Rotation Systems. Agronomy 2021, 11, 302. [Google Scholar] [CrossRef]
- Sapkota, T.B.; Jat, R.K.; Singh, R.G.; Jat, M.L.; Stirling, C.M.; Jat, M.K.; Bijarniya, D.; Kumar, M.; Singh, Y.; Saharawat, Y.S.; et al. Soil organic carbon changes after seven years of conservation agriculture in a rice–wheat system of the eastern Indo-Gangetic Plains. Soil Use Manag. 2017, 33, 81–89. [Google Scholar] [CrossRef]
- Wei, C.; Gao, M.; Shao, J.; Xie, D.; Pan, G. Soil aggregate and its response to land management practices. China Particuol. 2006, 4, 211–219. [Google Scholar] [CrossRef]
- Angers, D.A.; Recous, S. Decomposition of wheat straw and rye residues as affected by particle size. Plant Soil. 1997, 189, 197–203. [Google Scholar] [CrossRef]
- Babu, S.; Singh, R.; Avasthe, R.K.; Yadav, G.S.; Mohapatra, K.P.; Selvan, T.; Das, A.; Singh, V.K.; Valente, D.; Petrosillo, I. Soil carbon dynamics in Indian Himalayan intensified organic rice-based cropping sequences. Ecol. Indic. 2020, 114, 106292. [Google Scholar] [CrossRef]
- Ghosh, P.K.; Hazra, K.K.; Venkatesh, M.S.; Nath, C.P.; Singh, J.; Nadarajan, N. Increasing soil organic carbon through crop diversification in cereal–cereal rotations of Indo-Gangetic plain. Proc. Natl. Acad. Sci. USA India Sect. B Biol. Sci. 2019, 89, 429–440. [Google Scholar] [CrossRef]
- Nandan, R.; Singh, V.; Singh, S.S.; Kumar, V.; Hazra, K.K.; Nath, C.P.; Poonia, S.; Malik, R.K.; Bhattacharyya, R.; McDonald, A. Impact of conservation tillage in rice–based cropping systems on soil aggregation, carbon pools and nutrients. Geoderma 2019, 340, 104–114. [Google Scholar] [CrossRef] [PubMed]
- Hazra, K.K.; Nath, C.P.; Ghosh, P.K.; Swain, D.K. Inclusion of legumes in rice–wheat cropping system for enhancing carbon sequestration. In Carbon Management in Tropical and Sub-Tropical Terrestrial Systems; Springer: Singapore, 2020; pp. 23–36. [Google Scholar]
- Yadav, D.B.; Yadav, A.; Vats, A.K.; Gill, G.; Malik, R.K. Direct seeded rice in sequence with zero-tillage wheat in north-western India: Addressing system-based sustainability issues. SN Appl. Sci. 2021, 3, 1–17. [Google Scholar] [CrossRef]






Treatments | Aggregate Size Class (mm) | |||||||||
|---|---|---|---|---|---|---|---|---|---|---|
| 0–15 cm | 15–30 cm | |||||||||
| Macroaggregate (%) | Microaggregate (%) | Macroaggregate (%) | Microaggregate (%) | |||||||
| >2.0 | 2–0.5 | 0.5–0.25 | 0.25–0.125 | 0.125–0.053 | >2.0 | 2–0.5 | 0.5–0.25 | 0.25–0.125 | 0.125–0.053 | |
| Crop establishment-cum-residue management (CERM) | ||||||||||
| ZTDSRR+ | 6.14 a | 48.01 a | 24.62 a | 9.62 b | 7.17 a | 3.16 a | 30.93 a | 30.96 a | 20.03 a | 8.16 ab |
| ZTDSR | 3.19 bc | 46.04 ab | 19.01 ab | 8.59 b | 6.82 a | 1.98 b | 29.07 a | 27.07 b | 12.18 bc | 5.75 b |
| CTDSRR+ | 3.93 bc | 37.25 bc | 24.51 a | 12.24 a | 6.07 a | 3.01 a | 30.02 a | 26.93 b | 15.6 4b | 10.54 a |
| CTDSR | 2.52 c | 37.82 bc | 20.65 ab | 8.51 b | 5.78 a | 1.87 b | 29.29 a | 25.91 b | 14.02 bc | 8.06 ab |
| PTRR+ | 4.59 ab | 34.94 c | 25.24 a | 10.35 ab | 6.00 a | 1.67 b | 28.69 a | 24.24 b | 13.99 bc | 7.19 b |
| PTR | 2.36 c | 32.14 c | 14.91 b | 9.11 b | 6.36 a | 1.38 b | 28.52 a | 24.43 b | 8.03 d | 5.48 b |
| Cropping rotations (CR) | ||||||||||
| R-C | 5.05 a | 46.91 a | 17.13 c | 7.26 b | 5.47 b | 2.29 ab | 31.78 a | 25.22 a | 15.17 ab | 8.01 a |
| R-L | 2.26 c | 35.93 c | 22.28 b | 12.31 a | 6.80 ab | 1.57 b | 26.55 b | 26.71 a | 16.36 a | 7.90 a |
| R-SF | 4.21 ab | 36.86 bc | 19.75 bc | 13.93 a | 7.15 a | 2.66 a | 28.94 ab | 26.71 a | 16.43 a | 6.90 a |
| R-Li | 4.09 ab | 42.36 ab | 21.98 b | 7.87 b | 6.71 ab | 2.40 a | 30.67 ab | 27.95 a | 9.41 c | 8.26 a |
| R-M | 3.34 bc | 34.77 c | 26.30 a | 7.32 b | 5.72 b | 1.96 ab | 29.16 ab | 26.36 a | 12.54 b | 6.59 a |
| Treatment | 0–15 cm | 15–30 cm | ||||
|---|---|---|---|---|---|---|
| MWD (mm) | GMD (mm) | ELT | MWD (mm) | GMD (mm) | ELT | |
| Crop establishment-cum-residue management (CERM) | ||||||
| ZTDSRR+ | 0.97 a | 0.84 a | 11.60 c | 0.71 b | 0.71 bc | 14.89 d |
| ZTDSR | 0.93 ab | 0.83 a | 23.15 b | 0.73 ab | 0.75 ab | 29.68 bc |
| CTDSRR+ | 0.87 c | 0.81 ab | 22.05 bc | 0.72 ab | 0.70 c | 24.38 c |
| CTDSR | 0.87 c | 0.79 b | 30.49 b | 0.71 b | 0.72 bc | 28.89 bc |
| PTRR+ | 0.88 bc | 0.79 b | 24.87 b | 0.72 ab | 0.73 bc | 31.39 ab |
| PTR | 0.86 c | 0.79 b | 41.46 a | 0.77 a | 0.77 a | 37.61 a |
| Cropping rotation(s) (CR) | ||||||
| R-C | 1.01 a | 0.87a | 23.64 a | 0.71 a | 0.72 bc | 28.13 a |
| R-L | 0.80 d | 0.77 c | 27.21 a | 0.67 b | 0.70 c | 28.79 a |
| R-SF | 0.89 bc | 0.79 cd | 25.23 a | 0.74 a | 0.73 b | 25.23 a |
| R-Li | 0.92 b | 0.82 b | 23.69 a | 0.76 a | 0.74 ab | 29.56 a |
| R-M | 0.86 c | 0.80 bc | 28.25 a | 0.76 a | 0.75 a | 27.34 a |
| Treatments | Aggregate C (g kg−1 Soil Aggregate) | ||||
|---|---|---|---|---|---|
| CMacAC | MesoAC | CMicAC | FMicAC | ||
| 0–15 cm | >2 mm | 2–0.5 mm | 0.5–0.25 mm | 0.25–0.125 mm | 0.125–0.053 mm |
| Crop establishment-cum-residue management (CERM) | |||||
| ZTDSRR+ | 6.57 a | 9.16 a | 9.84 a | 9.31 a | 8.93 a |
| ZTDSR | 3.56 c | 7.51 bc | 7.70 bc | 7.88 bc | 6.85 bc |
| CTDSRR+ | 4.58 b | 7.98 b | 8.52 b | 8.74 ab | 7.45 b |
| CTDSR | 2.06 d | 6.12 d | 6.63 c | 5.58 e | 6.17 cd |
| PTRR+ | 4.20 bc | 6.62 cd | 7.08 c | 7.38 cd | 6.66 bcd |
| PTR | 2.27 d | 5.79 d | 4.73 d | 6.65 d | 5.79 d |
| Cropping rotations (CR) | |||||
| R-C | 3.78 b | 7.89 a | 7.79 a | 7.14 b | 8.31 a |
| R-L | 4.71 a | 7.56 ab | 7.68 a | 7.15 b | 6.20 c |
| R-SF | 4.01 b | 7.15 b | 7.94 a | 9.13 a | 7.01 b |
| R-Li | 3.05 c | 6.38 c | 7.45 a | 7.50 b | 6.77 bc |
| R-M | 3.84 b | 6.99 bc | 6.26 b | 7.03 b | 6.72 bc |
| 15–30 cm | |||||
| Crop establishment-cum-residue management (CERM) | |||||
| ZTDSRR+ | 5.76 a | 8.58 a | 7.72 a | 7.59 a | 7.37 a |
| ZTDSR | 3.63 bc | 6.14 bc | 6.17 bc | 6.47 abc | 6.09 abc |
| CTDSRR+ | 5.92 a | 6.63 b | 7.07 ab | 6.84 ab | 6.77 ab |
| CTDSR | 3.00 c | 5.39 bc | 5.29 cd | 6.02 bc | 5.79 bc |
| PTRR+ | 4.18 b | 6.57 b | 6.18 bc | 6.32 bc | 6.23 abc |
| PTR | 2.04 d | 5.08 c | 4.88 d | 5.44 c | 4.94 c |
| Cropping rotations (CR) | |||||
| R-C | 3.62 b | 6.89 a | 6.15 a | 6.63 a | 5.88 b |
| R-L | 4.05 ab | 6.75 a | 6.72 a | 6.71 a | 7.16 a |
| R-SF | 3.86 b | 6.23 a | 5.82 a | 6.44 a | 5.99 b |
| R-Li | 4.14 ab | 5.82 a | 5.97 a | 6.09 a | 5.75 b |
| R-M | 4.77 a | 6.30 a | 6.41 a | 6.36 a | 6.22 ab |
| CERM | System Rice Equivalent Yield (SREY) | Mean | ||||
|---|---|---|---|---|---|---|
| Chickpea | Lentil | Safflower | Linseed | Mustard | ||
| ZTDSRR+ | 10.18 ab | 10.11 a | 10.28 a | 6.65 bc | 9.32 abc | 9.31 |
| ZTDSR | 9.24 b | 9.12 a | 9.05 b | 5.78 d | 8.36 c | 8.31 |
| CTDSRR+ | 10.53 a | 10.18 a | 9.85 ab | 7.35 ab | 9.74 ab | 9.53 |
| CTDSR | 9.41 ab | 9.14 a | 8.80 b | 6.49 cd | 8.76 bc | 8.52 |
| PTRR+ | 10.11 ab | 10.11 a | 9.82 ab | 7.71 a | 10.25 a | 9.60 |
| PTR | 9.23 b | 9.26 a | 9.04 b | 7.17 abc | 9.39 abc | 8.82 |
| Mean | 9.78 | 9.65 | 9.47 | 6.86 | 9.30 | |
Publisher’s Note: MDPI stays neutral with regard to jurisdictional claims in published maps and institutional affiliations. |
© 2022 by the authors. Licensee MDPI, Basel, Switzerland. This article is an open access article distributed under the terms and conditions of the Creative Commons Attribution (CC BY) license (https://creativecommons.org/licenses/by/4.0/).
Share and Cite
Saurabh, K.; Kumar, R.; Mishra, J.S.; Singh, A.K.; Mondal, S.; Meena, R.S.; Choudhary, J.S.; Biswas, A.K.; Kumar, M.; Roy, H.S.; et al. Sustainable Intensification of Rice Fallows with Oilseeds and Pulses: Effects on Soil Aggregation, Organic Carbon Dynamics, and Crop Productivity in Eastern Indo-Gangetic Plains. Sustainability 2022, 14, 11056. https://doi.org/10.3390/su141711056
Saurabh K, Kumar R, Mishra JS, Singh AK, Mondal S, Meena RS, Choudhary JS, Biswas AK, Kumar M, Roy HS, et al. Sustainable Intensification of Rice Fallows with Oilseeds and Pulses: Effects on Soil Aggregation, Organic Carbon Dynamics, and Crop Productivity in Eastern Indo-Gangetic Plains. Sustainability. 2022; 14(17):11056. https://doi.org/10.3390/su141711056
Chicago/Turabian StyleSaurabh, Kirti, Rakesh Kumar, Janki Sharan Mishra, Anil Kumar Singh, Surajit Mondal, Ram Swaroop Meena, Jaipal Singh Choudhary, Ashis Kumar Biswas, Manoj Kumar, Himadri Shekhar Roy, and et al. 2022. "Sustainable Intensification of Rice Fallows with Oilseeds and Pulses: Effects on Soil Aggregation, Organic Carbon Dynamics, and Crop Productivity in Eastern Indo-Gangetic Plains" Sustainability 14, no. 17: 11056. https://doi.org/10.3390/su141711056
APA StyleSaurabh, K., Kumar, R., Mishra, J. S., Singh, A. K., Mondal, S., Meena, R. S., Choudhary, J. S., Biswas, A. K., Kumar, M., Roy, H. S., Singh, N. R., Yadav, S. K., Upadhyaya, A., Hans, H., Jeet, P., Sundaram, P. K., & Raman, R. K. (2022). Sustainable Intensification of Rice Fallows with Oilseeds and Pulses: Effects on Soil Aggregation, Organic Carbon Dynamics, and Crop Productivity in Eastern Indo-Gangetic Plains. Sustainability, 14(17), 11056. https://doi.org/10.3390/su141711056

