Next Article in Journal
The Influence of Social Media on Perceived Levels of National Security and Crisis: A Case Study of Youth in the United Arab Emirates
Previous Article in Journal
Digital Finance and Collaborative Innovation: Case Study of the Yangtze River Delta, China
 
 
Font Type:
Arial Georgia Verdana
Font Size:
Aa Aa Aa
Line Spacing:
Column Width:
Background:
Case Report

Analysis of Major Temporary Electrical Equipment Consumption and Usage Patterns in Educational Buildings: Case Study

1
Howard R. Hughes College of Engineering, University of Nevada, Las Vegas, Las Vegas, NV 89154, USA
2
College of Computing, Engineering and Construction Management, University of North Florida, Jacksonville, FL 32224, USA
3
Korea Institute of Civil Engineering and Building Technology (KICT), Goyang-si 10223, Korea
*
Author to whom correspondence should be addressed.
Sustainability 2022, 14(17), 10783; https://doi.org/10.3390/su141710783
Submission received: 11 July 2022 / Revised: 22 August 2022 / Accepted: 24 August 2022 / Published: 30 August 2022

Abstract

The energy use patterns of electrical appliances are more difficult to predict than energy use for heating, ventilation, and air-conditioning (HVAC) and lighting, as: (1) there are large varieties of electrical equipment (e.g., appliances, vending machines, etc.) in buildings and each serves a different function; thus, their energy consumption patterns are difficult to predict; (2) electrical appliances are scattered across buildings, most are not permanently fixed to a location, and they consume much energy. Appliances are also not centrally controlled, such as HVAC and lighting. Thus, energy consumption patterns are more difficult to predict. In addition, electrical appliances consume significant amounts of energy to influence energy consumption volatility. This case study focuses on understanding the energy consumption patterns of electrical appliances in educational buildings. This research analyzes the electrical appliances and energy consumption data from institutional buildings and the factors that drive energy consumption. The analyses show that: (1) energy consumption patterns are dependent on building characteristics and use; (2) the number of appliances in a building influences the peak electricity consumption; (3) vending machines and fridges consume significant amounts of electricity; it has been proven (by minimum building energy loads) that buildings that have more vending machines have significantly higher minimum loads than no or fewer vending machines; and (4) the energy-saving potential from desktops and monitors rose to 60 kWh during lunchtime and 500 kWh at night.

1. Introduction

Increasing energy consumption results in increased carbon emissions, which affect the global climate [1]. The Intergovernmental Panel on Climate Change (IPCC) estimated that the global average-combined land- and ocean-surface temperatures rose by 0.85 °C between 1980 and 2012, while the global sea level raised by 0.19 m between 1901 and 2010 (IPCC 2014). The IPCC also predicted that global surface temperatures and sea levels would continue to increase by 4.8 °C and 0.82 m by 2100, respectively [2].
The building sector accounted for over one-third of all energy consumed and approximately 30% of all carbon emissions produced globally [3,4]. The proportion of energy consumed by buildings will surpass 60% in the near future [4,5]. In the United States, 41% of primary energy was consumed by the building sector, which is 44% higher than the transportation sector and 36% higher than the industrial/manufacturing sector [6]. Prior research affirmed that the building sector has one of the highest energy-saving potentials among other sectors [4,6,7,8,9] and will potentially be capable of reducing an amount equal to the entire transportation sector [4,10]. The International Energy Agency (IEA) estimated that the electricity usage of the global building sector will reduce by 20 exajoules (EJ) annually from 2009 to 2030 [11]. This reduction is equivalent to the current annual electricity consumption in the United States and Japan combined [1,9]. However, research is needed to develop energy consumption reduction paths.

2. Research Background and Objectives

The energy consumption patterns for the institutional buildings located in the southwestern United States indicate a stronger correlation to the outdoor weather conditions. They also indicate that the electrical equipment in institutional buildings, including appliances, computers, vending machines, etc., significantly affect energy consumption. According to Chalal [12], typical electricity usage accounts for approximately 33% of the total annual electricity consumption and it is predicted to continue to grow. This research study endeavors to understand and verify the impacts of electrical equipment on energy consumption in buildings, their consumption patterns, and the approaches to managing electricity consumption better. Therefore, there are three (3) primary objectives for the following: The buildings’ electricity usage patterns were first analyzed and compared with the number of appliances in the buildings—to understand if the number of appliances influences usage patterns. Second, the energy savings were separated by time, particularly during lunchtime and evening (low occupancy versus full occupancy). Third, the analyses were conducted to develop the fundamentals of potential energy savings.

3. Previous Research Studies

Over the decades, extensive research studies on energy consumption, energy modeling, etc., have been performed by various researchers. A few studies have evaluated the relationship between energy consumption in buildings, the usage of electrical equipment (e.g., appliances, computers, monitors, vending machines, lab equipment, etc.), and energy performance analyses. This research identifies the gaps in prior studies to find the patterns of energy consumption in educational buildings.

3.1. Building Energy Conservation and Energy Efficiency Improvement

Prior research showed different concepts of building energy conservation and energy efficiency improvement. Vakiloroaya et al. [13] reduced the energy consumption of cooling systems by improving the HAVC energy efficiency and integrated the central cooling plant by approximately 18%. Bhaskoro et al. [14] proposed an adaptive cooling technique that increased the energy-saving potential of an academic building and saved up to 305,150 kWh or an equivalent of 45% of the cooling load compared to the current system. Bichiou and Krarti’s [15] optimized envelop and HVAC systems involved using a set of optimization algorithms to reduce the system’s life cycle costs by 10–25%. Du et al. [16] diagnosed and detected the HVAC system’s fault by using a combined neural network and a robust diagnostics tool to improve the energy efficiency of HVAC building systems. Khooban’s [17] optimized the intelligent control of the air supply and pressure of a HVAC system, which showed better performance than conventional controllers. Elsafty et al. [18] researched the energy usage savings in commercial buildings, which are significant portions of energy consumption; HVAC consumption was examined. They found that using insulation in buildings was to reduce energy consumption of the HVAC system. This study also found that using insulation produced savings at around 15% of the annual HVAC energy usage, in addition to reducing 7.78 × 10−7 tons of CO2 emissions per kWh saved.

3.2. Electric Appliances and Plug Loads in Buildings

Very little research has focused on the understanding and modeling of electric appliances and plug loads, even though plug loads have constituted a significant part of energy consumption in buildings [19,20,21]. Moreover, 12% to 50% of total electricity is attributed to plug loads and is expected to grow as the types and amount of equipment and appliances continue to increase. Plug loads are driven by different factors than HVAC and lighting. Energy consumed by HAVC systems is influenced by the weather and climate, while lighting is influenced by daylighting and occupancy. However, non-permanent electrical appliances (and, thus, plug loads) are not influenced by similar factors. New technological innovations could add more non-permanent equipment and appliances into buildings as occupants could use them to improve their work and living spaces. Smart technologies could increase energy consumption and change the interface between permanent and non-permanent building fixtures.
Studies have shown that the energy consumed by appliances is growing at an annual rate of 0.8% [22]. Research also shows that the proportion of plug loads will increase as building energy efficiency improves, as the energy consumed by heating, cooling, ventilation, and lighting continues to decrease due to the increased efficiencies of HVAC and lighting. Although it would be impossible to manage and control the efficiencies of non-permanent building fixtures, better management of plug loads could reduce energy consumption in buildings. The National Renewable Energy Laboratory (NREL)’s low-energy office building in Golden, Colorado, reduced the overall plug load by nearly 50% by using highly-efficient fridges and removing mechanically-cooled drinking fountains [23].
Prior studies confirmed that educational buildings consumed more energy per square foot than other building types [7,24,25,26]. Energy loads on institutional campuses are easier to manage as institutions control the types of appliances they allow and close down or open up plugs in the buildings. According to prior research, the energy-saving potential of higher education buildings ranges from 6% to 29% [27,28]. Plug loads were also investigated in several prior research studies.

3.3. Building Energy Consumption Patterns

Building use influences energy consumption patterns, and the type of appliances and occupants, usage hours, and appliances in buildings influence how energy is consumed. According to Alam and Devjani [29], understanding operational energy consumption patterns in buildings is equally important to ensure desired energy efficiency. Many electric appliances are located in different locations in a building, and each consumes a significant amount of energy.
One study conducted on four offices in a university building in Korea revealed that automatic dimming control of lighting could reduce lighting consumption to 43% and the change in occupancy pattern can reduce consumption by up to 50% [8,21]. Another study shows that eleven university buildings in South Korea calculated potential savings of 6–29% through retrofitting windows and insulations as well as changing occupant behaviors [27,28] reported that energy use characteristics in an educational building depend on the type of activities and discipline of study. The type and number of regular occupants also influence the appliances and unique equipment used in each space.
The use of space drives the controllability of energy consumption within a space. Public areas, such as share classrooms, meeting rooms, and corridors, would not contain individually controlled appliances. Individuals have more control over private spaces, such as laboratories and offices, where individualized appliances or special equipment could be installed. The inability to control the appliances would reduce the opportunity to reduce energy consumption.

4. Materials and Methods

4.1. Sample Institutional Building Information

There were, initially, fifty-five (55) buildings that were chosen for this study: however, twenty-seven (27) buildings were excluded from the study as their information was incomplete. Research team members could not access the significant number of rooms in these buildings for accounting and visual inspections, and the occupants could not provide detailed information about the spaces. Further evaluation of the data resulted in eliminating the data for another 18 buildings. As a result, only data from 10 buildings were reliable and used in this research study. Table 1 shows the details of these 10 case study buildings.

4.2. Electrical Appliances and Electricity Consumption Data

The electrical appliance data were first collected from selected buildings. The data included the quantities of monitors, servers (CPUs), laser printers, inkjet printers, fax machines, fridges, vending machines, workstations, and light fixtures. These data were initially collected from site visits and surveys of 55 buildings in institutional buildings.
The buildings’ electricity consumption data were collected from the institutional metabolism database [30]. The database provides real-time building energy consumption data, which includes electricity consumption and cooling/heating load. The electrical energy (kWh) data include power lights, electronics, and fans to circulate air throughout the buildings. The electricity data were collected during the summer and fall semesters in 2015. Therefore, data from the weekends and holidays were excluded from the analysis.

4.3. Occupancy Data

Transient occupants are separated from permanent occupants in the analyses. For example, most of the students were considered temporary occupants, with a few exceptions who worked in an office or occupied research offices. Energy use by transient occupants is different from that of permanent occupants, such as the type of equipment and the length of time spent in the building [31]. As such, the study separates the energy consumed by the transient and permanent occupants. The average and the total number of transient occupants were surveyed, and a percentage is given in each scenario based on typical class attendance rates for different classes. Therefore, the exact number of temporary occupants is not possible to calculate.
The numbers for the transient occupants were estimated from the institutional classroom data, and the estimated number of students in each building was inferred from the prior database, such as how many students were enrolled in the class. Then, the estimated number of students in each building was inferred from the prior database. The classroom data and the estimated transient occupancy data worked out the average and a total number of students at different periods. For example, it was assumed that the total number of students who remained in the building was equal to the number of students who took classes in the building, and an estimated 90% attendance rate was used in some cases. The institutional buildings affairs information system estimated the number of students who took the class at 15-min intervals.

5. Findings and Results

The analyses and results are divided into three (3) sections. The first section includes a study of the electricity consumption patterns of the ten selected buildings. The second section consists of an analysis of the equipment loads of these buildings. The analyses focused on understanding their impacts on electricity consumption. The final section includes a case study of the energy consumption intensity comparison.

5.1. Consumption Pattern Analysis

5.1.1. Energy Consumption Variability of Similar Buildings

Hourly electricity consumption data were collected from the metabolism database (ASU Campus Metabolism). This database maintains and tracks energy consumption from plug loads, cooling, heating, lighting, etc. The system also tracks renewable energy production from all campuses in the institution, as renewable represents 20 to 45% of the total energy consumed on campus, depending on the season. This analysis aims to first understand the consumption patterns (peaks and troughs) of different periods during the summer semester, and second, to analyze and understand the effects of the electrical appliances’ energy consumption. The consumption pattern shows peaks and troughs at different hours of the day (seen in Figure 1). Qualitative information was collected to supplement the quantitative analyses, as qualitative information furnishes more details on the actual energy consumption patterns and relationships that are not detectable by quantitative analyses. The qualitative data were collected from the 10 buildings during the peak and trough loads.
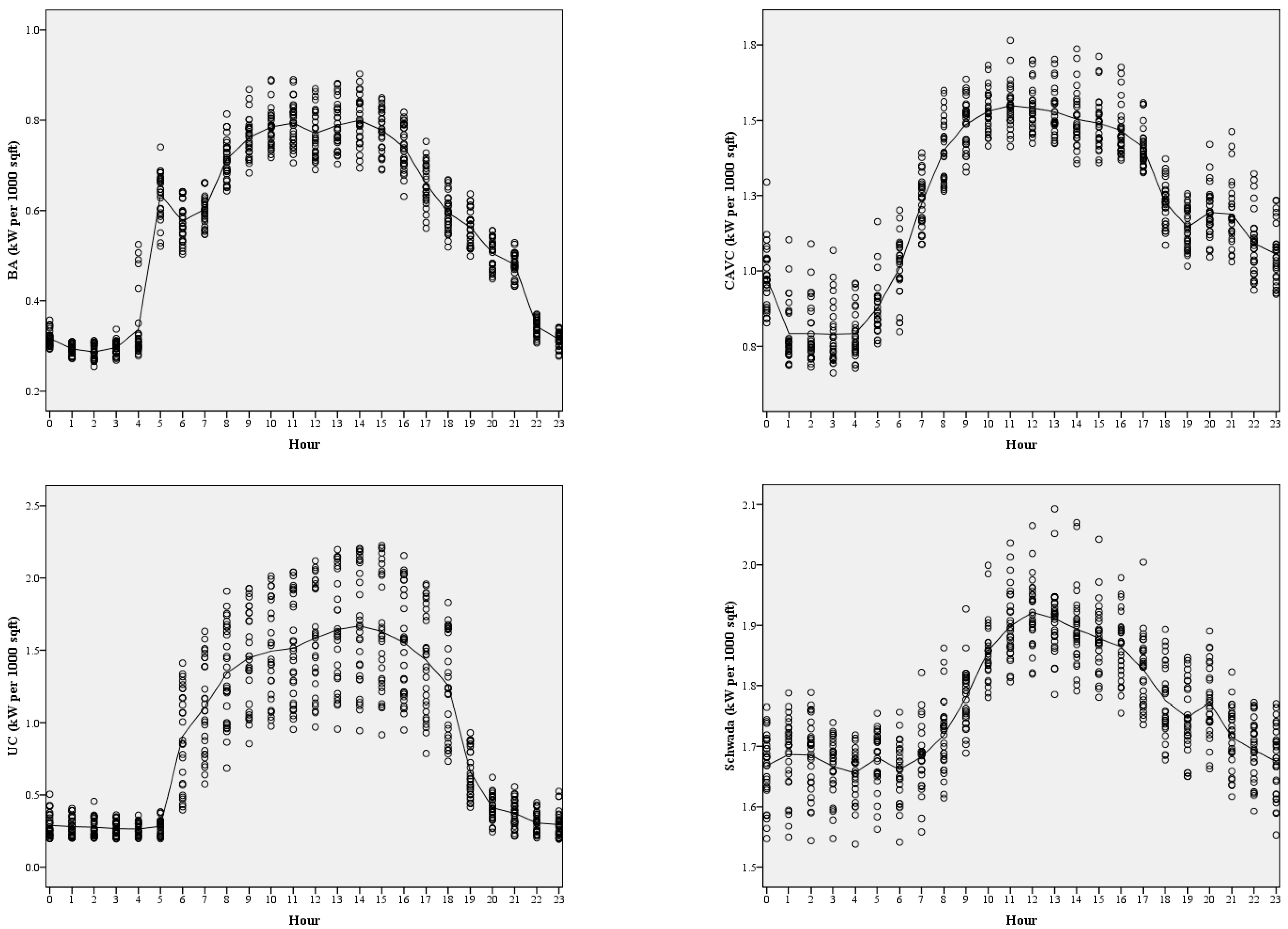
Figure 1 presents the energy consumption patterns for four (4) institutional buildings: Business Administrative, College Avenue Commons (CAVC), University Center A, and the Schwada Building. Each circle in the plot represents the energy consumed for the hour on a date. For example, multiple energy consumption patterns were detected between 6 am and 6 pm for most of these buildings, while the gaps were smaller between 6 pm and 6 am for two buildings and broader for the other two. Qualitative analyses were conducted and presented in later sections.
Figure 2 shows the consumption patterns of similar types of buildings compared to their functions. Buildings 1, 2, 3, and 4 have the same spatial usages and, thus, similar space utilization patterns: such as office space, classrooms, and research areas (computer labs and graduate offices). Buildings 1 and 4 have a similar square footage, whereas building 3 is about 3700 ground square meters, and building 2 is approximately 11,900 square meters. The consumption patterns of these buildings are similar. This similarity suggests that building space and orientation have minimal impacts on energy consumption patterns. The peak period of these buildings was between 6 a.m. and 5 p.m., while the trough energy consumption period occurred between 10 p.m. and 4 a.m. Activities were minimal in these buildings during this time.

5.1.2. Energy Consumption Patterns—Lunch Time and Lack of Appliances Control (Library)

The study found that energy consumed during lunchtime was not significantly reduced. However, further qualitative analysis suggested that occupants left their appliances and computers on during lunch and, thus, occupancy did not influence energy consumption.
Building 6, the Ross-Blakley Law Library, has a significant amount of office space and its consumption patterns also differ from the other buildings (Figure 3). The building had consistent energy consumption patterns during the day and another set of patterns during the night. The appliances were almost always turned on for 24 h, and occupants did not have control. The peak load occurred between 8 a.m. and 4 p.m. and the trough load occurred between 5 p.m. and 5 a.m.

5.1.3. Energy Consumption Patterns—Mixed-Use Building and Energy Use

Building 7 (Memorial Union) has the most diverse spatial usage as a mixed-use building. The building is located in the middle of the campus and contains a wide variety of facilities, such as student centers, conference halls and rooms, offices, restaurants, sports centers, open areas, dining halls, retail spaces, etc. Its energy consumption patterns (shown in Figure 4) replicate an office building’s, where energy consumption peaks during lunchtime. The qualitative analysis showed that the energy consumption increase was mainly due to the increased number of students and staff in the building for lunch (there are many restaurants and dining halls in the building) and they also used other facilities (such as banks, breakrooms, and recreational areas). Energy consumption increased during lunch hours due to the transient occupants’ increasing air ventilation, cooking, serving, and cellphone and laptop charging. The building’s peak load occurred between 10 a.m. and 5 p.m., and the trough load occurred from 8 p.m. to 2 a.m.

5.1.4. Energy Consumption Pattern of the Sports Facility—Irregular and Inconsistent

Building 8, Physical Education West, is a sports facility with a sports center and a gymnasium. Its energy consumption is irregular and does not exhibit any consistent and regular pattern. Figure 5 shows a pattern of irregularity; it is difficult to identify a pattern of peaks and lows. The gaps between each datapoint at each hour were extensive and did not narrow during non-peak hours. As a result, a line could not be plotted to identify a pattern. The patterns were also vague and disorderly, generating huge deviations throughout the 24 h. Consistent patterns were found for all buildings except Building 8. The analysis confirms that the energy consumption pattern was not identifiable for Building 8 and further qualitative research is needed to understand the reasons behind the gaps better. This also confirms that not every building had a consistent pattern and the energy consumption was predictable.

5.1.5. Energy Consumption Pattern of Smaller Buildings—Irregular and Inconsistent

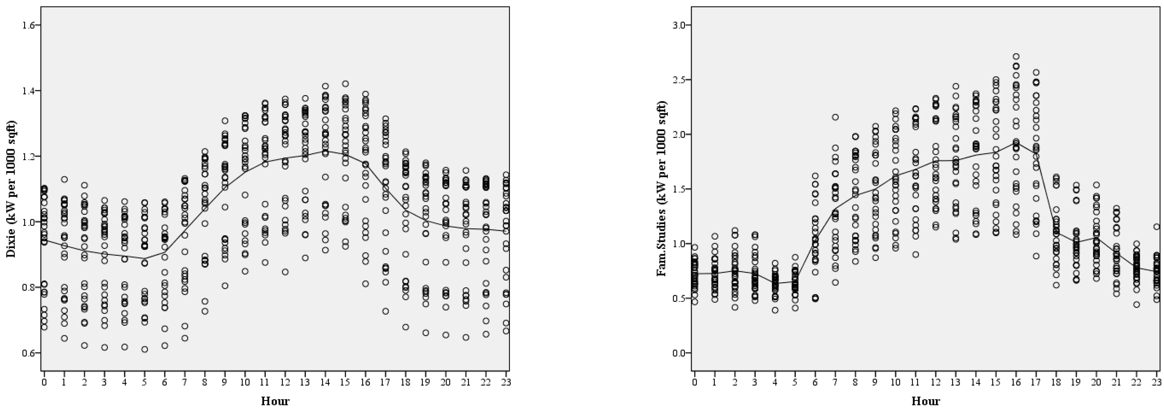
Figure 6 shows the consumption patterns of two small office buildings, Dixie Gammage Hall and the Center for Family Studies. These were the two smallest buildings selected for the study. Dixie Gammage Hall (Building 9) is an office building and has an auditorium and the Center for Family Studies (Building 10) is a small administration building. Both buildings exhibited significant energy consumption variations, and the patterns were irregular and unpredictable. While most of the energy consumption for the buildings peaked between noon and 1 p.m. and then continued to decrease afterward, energy consumption of Building 10 increased from 1 p.m. to 4 p.m. Building appliances continued to operate throughout the day as the analysis suggests. Buildings 9 and 10 peak times were from 9 a.m. to 5 p.m., and 6 p.m. to 5 p.m., respectively. Their trough loads occurred from 8 p.m. to 5 a.m. and 10 p.m. to 5 a.m., respectively.

5.1.6. Energy Use Patterns from Refrigerators and Vending Machines

This section details the analysis of different appliances used in the ten (10) selected buildings. This section analyzes the energy consumption patterns of appliances in the buildings. The analysis found that refrigerators and vending machines consumed the most energy among all the appliances and the energy consumption was not dependent on the periods. Table 2 shows the number of refrigerators and vending machines per meter square, the peak and trough loads, and the analyses between the number of refrigerators/vending machines and the peak energy load of each building. The energy loads in the analyses only include the energy consumed by appliances (such as projectors, televisions, desktop computers, etc.) and plugs.

5.1.7. Class Hours Impact Energy Use Patterns

Further study was conducted to investigate the effects of occupancy on the energy consumption of the appliances. The data were collected from the classroom scheduling department for different classes specific to the College Avenue Common building (over 60% of spaces are classrooms).
Figure 7 shows the number of students that were supposed to be in the classrooms at specific times and the respective energy consumption for different hours of the day. The maximum number of students was reached between 7 a.m. and 9 a.m., 2 p.m. and 3 p.m., and 5 p.m. and 6 p.m. However, peak energy loads only occurred between 7 a.m. and 9 a.m. Even though the number of students in the building dropped significantly between 9 a.m. and 12 p.m., energy consumption remained consistent. The figure shows that enrolled students used classrooms just for the classes and did not consume additional energy by using plugs. Each classroom has multiple TV screens that are turned on throughout the day. Student laptops are usually not plugged into any plugs. This suggests that the number of students inside the building does not impact the energy consumption of the building. The research team conducted a qualitative analysis to understand if the permanent occupants generated more impact than transient ones.

5.2. Energy Loads Variations between Buildings—Buildings 1 to 4 versus Building 5

The buildings’ peaks and trough loads differed from one another. Their peaks occurred at about the same period between 8 a.m. and 4 p.m., which is typical for similar buildings on campus. However, the use of newer technology has changed energy consumption patterns significantly as indicated by the analysis of McCord Hall (Building 5). Building 5 exhibited dissimilar energy utilization and utilization period and, thus, energy consumption patterns than Buildings 1 to 4. Energy utilization in Building 5 is shown in Figure 2. Its peak load time occurred between 2 a.m. and 8 a.m., and the trough loads occurred between 11 pm and 1 am. In addition, Building 5 is the newest building among the ten (10) buildings and, thus, it has the latest energy-efficient technology installed, such as energy-efficient pre-cooling technology and chilled beams to run its cooling system. The air is pre-cooled and stored in insulated cooled air storage during the off-peak in the summer when it is cooler. The air was delivered to the occupants in the buildings from 8 a.m. to 5 p.m.

5.3. Energy Consumption Intensities Comparison

Seven of the studied buildings had more regular and predictable energy consumption patterns, while Buildings 8, 9, and 10 exhibited irregular and unpredictable patterns. Figure 8 shows the energy consumption intensities for 24 h for all of the surveyed buildings. The figure shows that most of the building energy intensities (i.e., energy loads) peaked roughly in the middle of the day between 8 a.m. and 4 p.m., except for Building 5. As previously discussed, Building 5 is unique as it is the newest building among the ten (10) selected buildings and it relies on pre-cooling technology to cool its building. The cooling and heating system consume most of the energy in a building; by shifting its cooling and heating from 2 a.m. to 7 a.m., the energy intensity of Building 5 was shifted. The peak loads for different buildings occurred at different times. The peak loads for Buildings 3, 4, and 8 occurred at 12 p.m., and Buildings 1, 2, 7, and 9 occurred right before or right after 1300 h. The peak load of Building 6 occurred from 9 a.m. to 4 p.m., and the peak load of Building 10 occurred at 4 p.m. Peak loads of these buildings were affected by the differences in the energy consumption characteristics of the buildings, building sizes, utilization types/strategies, and orientations.

6. Energy Data Analysis

6.1. Refrigerators and Vending Machines Generate Different Impacts

The analysis cannot confirm the impacts of refrigerators on the minimum and peak building energy loads, and there is no direct relationship between the number of refrigerators per square meter and the minimum and peak energy loads per square meter. For buildings without refrigerators only (Buildings 1, 3, 5, 6, 9, and 10), the peak loads ranged from 14.41 to 31.57 kWh, and the minimum loads between 3.47 and 32.71 kWh. The gaps between the peak and minimum loads of these buildings ranged from 4.17 and 17.9 kWh.
For the buildings with vending machines (Buildings 2, 4, 7, and 8), the peak loads ranged from 18.72 to 43.37 kWh. Minimum loads ranged from 12.19 to 43.37 kWh. The gaps between minimum and peak loads ranged between 3.336 and 17.28 kWh. Building 8 was the only building that did not have any refrigerators. Therefore, its energy loads were considerably high considering that it has fewer appliances than the other buildings and was utilized less frequently. Building 8 only has five (5) vending machines; thus, its impact was less significant than Buildings 4 and 7 (14 and 15 vending machines). College Avenue Common has five (5) vending machines; thus, its energy load was considerably lower than Buildings 4 and 7.
The analyses of ten (10) buildings do not indicate the impacts of the vending machines and refrigerators; however, the analyses point toward interesting research foci that researchers need to investigate.
(1)
The energy footprints of buildings with more significant numbers of vending machines seem to consume more energy than those without (Buildings 4 and 7 around 40 kWh versus less than 30 kWh on average for buildings without vending machines). Buildings 4 and 7, with the most significant numbers of vending machines, had very high peaks and minimum loads compared to similar buildings;
(2)
The initial observations between Buildings 4 and 7 do not suggest any positive relationships between vending machines and energy use variability (minimum minus peak energy loads). However, further detailed analysis shows that vending machines significantly impacted building energy loads. Recall that Memorial Union is filled with restaurants and retailers, and these facilities are closed in the evenings. Even after the retailers close, their refrigerators and vending machines continue to operate. As a result, the building’s minimum energy load was 26.09 kWh (the third-highest among the ten (10) buildings). Buildings 5 and 9 (Dance and Theatre School and Business School) continued to be filled with students until the wee hours (11 p.m.); thus, their minimum energy loads were maintained near their peak loads.
(3)
Building 8 was the only one with vending machines only. As a result, while its energy load was mainly low, the difference between the minimum and maximum energy loads was narrow.
(4)
The types and locations of vending machines influenced the peak and minimum loads. However, soda stations in Building 7 were exposed to direct sunlight, requiring more energy to cool during the daytime and, hence, lower energy was required to cool the soda at night. This is why the energy gaps between Buildings 7 and 4 are significantly different (17.38 versus 3.34 kWh).
(5)
The National Renewable Energy Laboratory (NREL) showed that a typical “illuminated front” vending machine that dispenses about 500 12-ounce cans would consume between 7 and 11 kWh/day in an indoor environment [32]. A typical EnergyStar® certified refrigerator consumes 1 to 2 kWh per day. Therefore, vending machines that were exposed to extreme heat (especially in the Phoenix area) consumed much more energy to cool the drinks than refrigerators and vending machines located inside the buildings. Vending machines also consume more energy than refrigerators as vending machines require extensive cooling loads to cool down the drinks while refrigerators are constantly closed. In addition, refrigerators are not exposed to external heat. As a result, the energy loads remained extremely high and consistent (3.336 kWh/m2) for Building four (4) as its high quantity of vending machines kept the energy consumed by the building. Building eight (8), with only vending machines and not refrigerators, had a slight difference of 6.534 kWh/m2.
(6)
The research warrants further investigation but we conclude that: (a) refrigerators generate smaller energy footprints than vending machines; and (b) vending machines consume a significant amount of energy and waste much more energy in the evenings when drinks are not needed.
The analyses suggest that more work should be conducted to manage the energy consumption of refrigerators and vending machines. Figure 9 suggests some significant relationships between the quantity of vending machines and the minimum building loads. This is more likely due to the continuous operation of vending machines, even during the wee hours of a building’s operation. More studies are needed to understand the proportion of energy consumed by vending machines in different buildings. Such energy could be better managed and controlled if new technology is developed to better address energy during hours when it is not needed.

6.2. Television, Monitors, and Computers

Monitors, televisions, and computers are other groups of heavy energy-consuming fixtures. Prior research found that the energy consumption dropped significantly during lunchtime in the three office buildings that Wang and Ding [33] studied. The research suggested that the occupants left their offices for lunch and likely turned off their computers (or computers were set in sleep mode). Gandhi and Brager [22] also found a significant drop in the energy consumed by computers and monitors during lunchtime, and analyses indicated that the computers were turned off or in sleep mode during lunch.
Notably, these studies were conducted in Asia, and their occupants behave differently than the occupants in the United States. This behavioral difference was detected when the lunchtime energy consumption patterns of the 10 (ten) studied buildings (from this research) were compared to the two above studies—[22,33]. Figure 1, Figure 2, Figure 3, Figure 4, Figure 5 and Figure 6 show no significant differences in nine of the ten buildings, while one dropped during lunchtime.
The average energy consumed by LCD monitors is 44.5 watts and 7.5 watts in sleep mode, and an average computer consumes 155 watts and 3.5 watts in sleep mode [34]. As more computers, televisions, and monitors are filling up more spaces in buildings, the energy-saving potential is growing exponentially.

6.3. Physical and Occupant Surveys

Data were collected through both physical and occupant surveys. The total quantity of monitors, computers, and laptops was divided by the building area and then multiplied by 100. The results represent the total number of monitors/televisions, computers, and laptops per 100 square meters of the building space. Buildings 9 and 10 are small and do not have a sufficient number of computers and monitors. Thus, both buildings are excluded from the analyses.
The research assumes that 95% of monitors, computers, and laptops were turned on during office hours. According to a previous study [35], it was found that between 25% and 60% of computers and 15% to 30% of monitors remained on and active at night. So, this research also assumes that 20% of the computers were left on after office hours. Table 3 shows the total number of monitors and computers and the energy consumed. The energy consumed by computers and monitors is labeled as “saving potential” as the average energy consumed presents the potential savings. Table 4 shows the total electricity saving potential if 50% of computers and monitors are turned off. The comparisons in Table 3 and Table 4 highlight the potential savings from these buildings. Buildings 1, 2, and 7 generated the most potential savings of 56.277 kW, 63.553 kW, and 14.975 kW, respectively. These will be significant savings if occupants of all institutional buildings (over 500) commit to turning off their computers and monitors during lunch and after work.
Bray [35] conducted an extensive study on the nighttime power statuses of monitors and computers and found high potential energy savings could be achieved if monitors and computers are turned off after work. The author calculated a possible saving percentage of 42.5% for computers and 22.5% for monitors. This study also concluded similar results in Table 3—a range of 20% to 45% in saving potentials depending on the number of computers and monitors.
Table 5 shows the hourly consumption of active computers and monitors at night. Table 6 shows each building’s average nighttime consumption and saving potential (7 p.m.–6 a.m.). The results show potential savings between 17.149 and 468.270 kW if all the monitors and desktops are turned off after work. Buildings 1 and 2 could save approximately 45 kW per hour, and the other six buildings could save 500 kW daily using the same strategy. The energy-saving potential overnight is far greater than during lunchtime. If they are turned off, more energy could be saved over the weekend and holidays.
Current computer and monitor settings would allow users and administrators to set up the sleep and/or off modes over fixed periods. Sleep and off modes should be utilized to reduce energy consumption when equipment is not needed.

6.4. Artificial Intelligence

With the rapid advancement and popularity of artificially intelligent, automation, and computational optimization, today’s energy monitoring systems could enhance the efficiency of energy consumption in buildings [4]. In addition, phantom loads (energy consumed while in sleep mode) would affect an energy system’s energy consumption and operation. Phantom loads consume significant energy and are wasted energy. For example, the research team found that classrooms at the institutional buildings consumed 28.7% of their plug load electricity during off-peak, while only 0.5% of lighting energy was consumed during off-peak. Sensors control the lighting and other intelligent technology to switch idle lighting off when not in use. However, unlike lighting, such sensors or technology do not control plugs, and equipment connected to the plugs would continue to consume electrical power. This highlights that artificial intelligent technology offers a great opportunity to reduce building energy loads [20].

7. Conclusions and Discussions

This research estimates the energy-saving potential of buildings at American institutions and affirms three (3) critical concepts:
Concept 1: The total number of equipment that occupants use in a building does not cause building energy consumption fluctuation—such fluctuation is driven by occupant behaviors and the building’s operational procedures. A building’s total energy load is designed during the design phase with an anticipated total number of permanent and transient occupants, and the estimated equipment and appliances. The occupants, equipment, and appliances are then used to estimate the total energy loads at different periods. While equipment and appliance efficiencies and operation procedures influence energy consumption, how occupants and building owners operate the equipment and appliances generate more energy-saving potential. Changing operational procedures and occupant behaviors would lead to energy savings and conservation efforts, in addition to using energy-efficient equipment and appliances.
Concept 2: Controllability and the locations of appliances influence the maximum, minimum, and variability of energy loads. Vending machines consume much energy into the wee hours, thus aligning minimum and maximum loads, unlike other appliances, such as refrigerators. Vending machines should be located inside the buildings and turned off when not in use. Sensors should be installed to power up vending machines when they are in use. Computers and monitors do influence energy consumption patterns; however, permanent occupants need to change their behaviors or building owners need to take control of the computers and monitors.
Concept 3: Energy consumed by non-permanent fixtures and equipment behave differently than permanent ones. Energy consumed by heating, ventilation, and air-conditioning (HVAC), as well as lighting systems, do not follow similar patterns as the energy consumed by non-permanent fixtures in institutional and commercial buildings (where most occupants do not have direct control over the systems). HVAC energy consumption is driven mainly by the outdoor temperature and humidity, indoor temperature and humidity requirements, and the total number of occupants. Lighting energy consumption depends on the presence of occupants and the lack of light inside the building space. While occupants do not have direct control over refrigerators and vending machines, they do have a lot of control over other non-permanent fixtures, such as computers and monitors, televisions, projectors, and personal electronics. Thus, managing and controlling plug loads require different strategies focused on occupant behaviors during different periods. The technology could adapt or overcome occupant behaviors, such as auto-shutdown of computers, monitors, refrigerators, vending machines, and plugs, centrally when occupants are not in buildings. It is expected that 60 kWh—500 kWh of electricity could be saved from desktops and monitors during lunch and nighttime hours from the case study buildings.
Note that the analyses focused on institutional buildings, and the results from other types of buildings would likely be different due to the different building functions, such as classrooms, labs, etc. Furthermore, energy consumption in buildings is driven by the equipment installed in the buildings and how the occupants behave. Occupants behave differently; thus, energy consumption characteristics differ among building types. In addition, unique buildings, such as Memorial Union, which has many restaurants, dining facilities, and retailers, require unique strategies; thus, further research is needed.

Funding

This research was supported by the Korea Institute of Civil Engineering and Building Technology (KICT), grant number 20220156-001.

Institutional Review Board Statement

Not applicable.

Informed Consent Statement

Not applicable.

Data Availability Statement

The data presented in this study are available on request from the corresponding author.

Conflicts of Interest

The authors declare no conflict of interest.

References

  1. International Energy Agency (IEA). International Energy Outlook 2016: With Projections to 2040. 2016. Available online: http://www.eia.gov/forecasts/ieo/pdf/0484(2016).pdf (accessed on 10 December 2016).
  2. Intergovernmental Panel on Climate Change (IPCC). Climate Change 2014: Synthesis Report; Contribution of Working Groups I, II and III to the Fifth Assessment Report of the Intergovernmental Panel on Climate Change; Core Writing Team, Pachauri, R.K., Meyer, L.A., Eds.; IPCC: Geneva, Switzerland, 2014; p. 151. [Google Scholar]
  3. Costa, A.; Keane, M.M.; Torrens, J.I.; Corry, E. Building operation and energy performance: Monitoring, analysis and optimisation toolkit. Appl. Energy 2013, 101, 310–316. [Google Scholar] [CrossRef]
  4. Shaikh, P.H.; Nor, N.B.M.; Nallagownden, P.; Elamvazuthi, I.; Ibrahim, T. A review on optimized control systems for building energy and comfort management of smart sustainable buildings. Renew. Sustain. Energy Rev. 2014, 34, 409–429. [Google Scholar] [CrossRef]
  5. Schneider Electric. 2016. Available online: http://www.schneider-electric.com/solutions/ww/en/seg/27947930-smart-cities/27957983-smart-buildings-homes (accessed on 10 December 2016).
  6. U.S. Department of Energy. Buildings Energy Data Book; Office of Energy Efficiency and Renewable Energy: Washington, DC, USA, 2012; p. 286. [Google Scholar]
  7. Gul, M.S.; Patidar, S. Understanding the energy consumption and occupancy of a multi-purpose academic building. Energy Build. 2015, 87, 155–165. [Google Scholar] [CrossRef]
  8. Poirazis, H.; Blomsterberg, Å.; Wall, M. Energy simulations for glazed office buildings in Sweden. Energy Build. 2008, 40, 1161–1170. [Google Scholar] [CrossRef]
  9. Ye, H.; Long, L. Smart or not? A theoretical discussion on the smart regulation capacity of vanadium dioxide glazing. Sol. Energy Mater. Sol. Cells 2014, 120, 669–674. [Google Scholar] [CrossRef]
  10. World Business Council for Sustainable Development (WBCSD). Transforming the Market: Energy Efficiency in Buildings, Survey Report; The World Business Council for Sustainable Development: Geneva, Switzerland, 2009. [Google Scholar]
  11. International Energy Agency (IEA). The IEA 25 Energy Efficiency Policy Recommendations. 2011. Available online: www.iea.org (accessed on 10 December 2016).
  12. Chalal, M.L.; Medjdoub, B.; Bezai, N.; Bull, R.; Zune, M. Visualization in energy eco-feedback systems: A systematic review of good practice. Renew. Sustain. Energy Rev. 2022, 162, 112447. [Google Scholar] [CrossRef]
  13. Vakiloroaya, V.; Madadnia, J.; Samali, B. Modelling and performance prediction of an integrated central cooling plant for HVAC energy efficiency improvement. Build. Simul. 2013, 6, 127–138. [Google Scholar] [CrossRef]
  14. Bhaskoro, P.T.; Gilani, S.I.U.H.; Aris, M.S. Simulation of energy-saving potential of a centralized HVAC system in an academic building using adaptive cooling technique. Energy Convers. Manag. 2013, 75, 617–628. [Google Scholar] [CrossRef]
  15. Bichiou, Y.; Krarti, M. Optimization of envelope and HVAC systems selection for residential buildings. Energy Build. 2011, 43, 3373–3382. [Google Scholar] [CrossRef]
  16. Du, Z.; Fan, B.; Jin, X.; Chi, J. Fault detection and diagnosis for buildings and HVAC systems using combined neural networks and subtractive clustering analysis. Build. Environ. 2014, 73, 1–11. [Google Scholar] [CrossRef]
  17. Khooban, M. Optimal intelligent control for hvac systems. J. Power 2012, 92, 192–200. [Google Scholar]
  18. Elsafty, A.F.; Joumaa, C.; Elazm, M.A.; Elharidi, A.M. Case study analysis for building envelop and its effect on environment. Energy Procedia 2013, 36, 958–966. [Google Scholar] [CrossRef][Green Version]
  19. Kamilaris, A.; Kalluri, B.; Kondepudi, S.; Wai, T.K. A literature survey on measuring energy usage for miscellaneous electric loads in of fi ces and commercial buildings. Renew. Sustain. Energy Rev. 2014, 34, 536–550. [Google Scholar] [CrossRef]
  20. Ouf, M.; Issa, M.; Merkel, P. Analysis of real-time electricity consumption in Canadian school buildings. Energy Build. 2016, 128, 530–539. [Google Scholar] [CrossRef]
  21. Yun, G.Y.; Kim, H.; Kim, J.T. Effects of occupancy and lighting use patterns on lighting energy consumption. Energy Build. 2012, 46, 152–158. [Google Scholar] [CrossRef]
  22. Gandhi, P.; Brager, G.S. Commercial office plug load energy consumption trends and the role of occupant behavior. Energy Build. 2016, 125, 1–8. [Google Scholar] [CrossRef]
  23. Lobato, C.; Pless, S.; Sheppy, M.; Torcellini, P. Reducing plug and process loads for a large scale, low energy office building: NREL’s research support facility. ASHRAE Trans. 2011, 117, 330–339. [Google Scholar]
  24. Deb, C.; Eang, L.S.; Yang, J.; Santamouris, M. Forecasting diurnal cooling energy load for institutional buildings using Artificial Neural Networks. Energy Build. 2015, 121, 284–297. [Google Scholar] [CrossRef]
  25. Kim, J.; Naganathan, H.; Moon, S.Y.; Chong, W.K.; Ariaratnam, S.T. Applications of clustering and isolation forest techniques in real-time building energy-consumption data: Application to LEED certified buildings. J. Energy Eng. 2017, 143, 04017052. [Google Scholar] [CrossRef]
  26. Yang, J.; Santamouris, M.; Lee, S.E.; Deb, C. Energy performance model development and occupancy number identification of institutional buildings. Energy Build. 2015, 123, 192–204. [Google Scholar] [CrossRef]
  27. Chung, M.H.; Rhee, E.K. Potential opportunities for energy conservation in existing buildings on university campus: A field survey in Korea. Energy Build. 2014, 78, 176–182. [Google Scholar] [CrossRef]
  28. Khoshbakht, M.; Gou, Z.; Dupre, K. Energy use characteristics and benchmarking for higher education buildings. Energy Build. 2018, 164, 61–76. [Google Scholar] [CrossRef]
  29. Alam, M.; Devjani, M.R. Analyzing energy consumption patterns of an educational building through data mining. J. Build. Eng. 2021, 44, 103385. [Google Scholar] [CrossRef]
  30. Arizona State University Campus Metabolism. Available online: http://cm.asu.edu/ (accessed on 10 July 2022).
  31. Chen, J.; Ahn, C. Assessing occupants’ energy load variation through existing wireless network infrastructure in commercial and educational buildings. Energy Build. 2014, 82, 540–549. [Google Scholar] [CrossRef]
  32. Deru, M.; Torcellini, P.; Bottom, K.; Ault, R. Analysis of NREL Cold-Drink Vending Machines for Energy Savings Analysis of NREL Cold-Drink Vending Machines for Energy Savings; National Renewable Energy Laboratory: Golden, CO, USA, 2003. [Google Scholar]
  33. Wang, Z.; Ding, Y. An occupant-based energy consumption prediction model for office equipment. Energy Build. 2015, 109, 12–22. [Google Scholar] [CrossRef]
  34. Saving Electricity: How to Save Electricity. Available online: https://michaelbluejay.com/electricity/ (accessed on 20 August 2022).
  35. Bray, M. Review of Computer Energy Consumption and Potential Savings; Dragon Systems Software Limited: Hereford, UK, 2006. [Google Scholar]
Figure 1. Business Administration (Building 1), CAVC (Building 2), University Center A (Building 3), Schwada Building (Building 4).
Figure 1. Business Administration (Building 1), CAVC (Building 2), University Center A (Building 3), Schwada Building (Building 4).
Sustainability 14 10783 g001
Figure 2. McCord Hall (Building 5).
Figure 2. McCord Hall (Building 5).
Sustainability 14 10783 g002
Figure 3. Ross-Blakley Law Library (Building 6).
Figure 3. Ross-Blakley Law Library (Building 6).
Sustainability 14 10783 g003
Figure 4. Memorial Union (Building 7).
Figure 4. Memorial Union (Building 7).
Sustainability 14 10783 g004
Figure 5. Physical Education West (Building 8).
Figure 5. Physical Education West (Building 8).
Sustainability 14 10783 g005
Figure 6. Consumption patterns of Dixie Gammage Hall (Building 9) and the Center for Family (Building 10) Studies.
Figure 6. Consumption patterns of Dixie Gammage Hall (Building 9) and the Center for Family (Building 10) Studies.
Sustainability 14 10783 g006
Figure 7. The number of students taking classes and the hourly electricity consumption of College Avenue Common (CAVC) (Building 2).
Figure 7. The number of students taking classes and the hourly electricity consumption of College Avenue Common (CAVC) (Building 2).
Sustainability 14 10783 g007
Figure 8. Electricity consumption intensity and heatmap of the buildings.
Figure 8. Electricity consumption intensity and heatmap of the buildings.
Sustainability 14 10783 g008
Figure 9. Number of vending machines and minimum load.
Figure 9. Number of vending machines and minimum load.
Sustainability 14 10783 g009
Table 1. Descriptions of the case study buildings.
Table 1. Descriptions of the case study buildings.
NumberBuilding NamePurpose of UseFloor NumberGross Area (m2)Built
(Year)
1Business AdministrationResearch office and classroom412,2441968
2College Avenue CommonResearch office, classroom, and administrative513,8272014
3University Center Building AAdministrative142011985
4Schwada Classroom Office BuildingResearch office and classroom311,7971979
5McCord HallResearch office and classroom413,0152013
6Ross-Blakley Law LibraryLibrary362941993
7Memorial UnionStudent services325,2951955
8Physical Education Building WestAthletics, research office, and classroom355701953
9Dixie Gammage HallResearch office and classroom221881941
10Center for Family StudiesResearch office and classroom29011940
Table 2. Fridges, vending machines, and electrical loads.
Table 2. Fridges, vending machines, and electrical loads.
Building NumberBuildingTotal Area (m2)Year BuiltRefrigerators/1000 m2Vending machines/1000 m2Peak load (kWh/m2)Minimum Load
(kWh/m2)
Differences between Peak and Minimum (W/m2)
Buildings with Vending Machines and Refrigerators
4Schwada Classroom Office Building11,79719790.161.10437.0633.723.336
7Memorial Union25,29519554.690.60343.3726.0917.276
2College Avenue Common13,82720143.940.40829.917.712.206
Buildings with Vending Machines only
8Physical Education Building West5,570195300.26618.7212.196.534
Buildings with Refrigerators only
10Center for Family Studies90119408.48024.1910.8813.305
9Dixie Gammage Hall218819413.11017.9913.824.166
6Ross-Blakley Law Library629419932.08031.5713.6717.901
5McCord Hall13,01520131.7903932.716.286
1Business Administration12,24419680.73014.415.9098.504
3University Center Building A420119850.67019.383.46615.909
Table 3. Saving potential during lunchtime.
Table 3. Saving potential during lunchtime.
BuildingComputer + Monitor
(W, Watts) per 100 m2)
19.193
29.193
33.025
42.368
51.819
62.745
71.184
80.753
Table 4. Saving potential if computers are turned off during lunch hour.
Table 4. Saving potential if computers are turned off during lunch hour.
BuildingSaving Potential
(W, Watts per m2)
Total Saving Amount
(kW)
14.59656.277
24.59663.553
31.5076.331
41.18413.968
50.91511.908
61.3678.604
70.59214.975
80.3772.098
Table 5. Hourly Consumption of Computers and Monitors at nighttime.
Table 5. Hourly Consumption of Computers and Monitors at nighttime.
BuildingNumber of Monitors
(per 100 m2)
Active Desktop
(W per m2)
Active Monitor
(W per m2)
Desktop and Monitor
(W per m2)
14.5833.0140.4633.477
24.5833.0140.4633.477
31.5080.9900.1511.141
41.1830.7750.1180.893
50.9080.6030.0860.689
61.3660.9040.1401.044
70.5900.3880.0540.441
80.3720.2480.0320.280
Table 6. Average Nighttime Consumption and Saving potential at nighttime.
Table 6. Average Nighttime Consumption and Saving potential at nighttime.
BuildingHourly Saving Potential
(W per m2)
Hourly Saving Amount
(kW)
Total Saving Amount
(kW)
13.47742.570468.270
23.47748.073528.803
31.1414.79352.723
40.89310.540115.940
50.6898.96698.626
61.0336.50471.544
70.45211.436125.796
80.2801.55917.149
Publisher’s Note: MDPI stays neutral with regard to jurisdictional claims in published maps and institutional affiliations.

Share and Cite

MDPI and ACS Style

Lee, S.; Kim, J.; Jang, D. Analysis of Major Temporary Electrical Equipment Consumption and Usage Patterns in Educational Buildings: Case Study. Sustainability 2022, 14, 10783. https://doi.org/10.3390/su141710783

AMA Style

Lee S, Kim J, Jang D. Analysis of Major Temporary Electrical Equipment Consumption and Usage Patterns in Educational Buildings: Case Study. Sustainability. 2022; 14(17):10783. https://doi.org/10.3390/su141710783

Chicago/Turabian Style

Lee, Seungtaek, Jonghoon Kim, and Daehee Jang. 2022. "Analysis of Major Temporary Electrical Equipment Consumption and Usage Patterns in Educational Buildings: Case Study" Sustainability 14, no. 17: 10783. https://doi.org/10.3390/su141710783

APA Style

Lee, S., Kim, J., & Jang, D. (2022). Analysis of Major Temporary Electrical Equipment Consumption and Usage Patterns in Educational Buildings: Case Study. Sustainability, 14(17), 10783. https://doi.org/10.3390/su141710783

Note that from the first issue of 2016, this journal uses article numbers instead of page numbers. See further details here.

Article Metrics

Back to TopTop