Next Article in Journal
Evaluation of Sustainable Water Resource Use in the Tarim River Basin Based on Water Footprint
Next Article in Special Issue
Estimating Supply and Demand of Organic Seeds in Europe Using Survey Data and MI Techniques
Previous Article in Journal
Application of Discrete Choice Experiment in Agricultural Risk Management: A Review
Previous Article in Special Issue
Financing Organic Plant Breeding—New Economic Models for Seed as a Commons
 
 
Font Type:
Arial Georgia Verdana
Font Size:
Aa Aa Aa
Line Spacing:
Column Width:
Background:
Article

Participatory Evaluation of Rice Varieties for Specific Adaptation to Organic Conditions in Italy

1
Rete Semi Rurali, Scandicci, 50018 Metropolitan, Italy
2
Azienda Terre di Lomellina, Candia di Lomellina, 27031 Pavia, Italy
3
Azienda Una Garlanda, Rovasenda, 13040 Vercelli, Italy
4
Cascina Gambarina, Abbiategrasso, 20081 Milano, Italy
5
Azienda Cascine Orsine, Bereguardo, 27021 Pavia, Italy
6
Independent Researcher, 63100 Ascoli Piceno, Italy
*
Author to whom correspondence should be addressed.
Sustainability 2022, 14(17), 10604; https://doi.org/10.3390/su141710604
Submission received: 23 June 2022 / Revised: 3 August 2022 / Accepted: 18 August 2022 / Published: 25 August 2022
(This article belongs to the Special Issue Breeding and Seed Sector Innovations for Organic Food Systems)

Abstract

Rice is the fourth most important crop in Italy with a growing area under organic management. We conducted a participatory evaluation of 21 rice cultivars (10 old, 10 modern and a mixture) in four organic/biodynamic farms, for two cropping seasons, to assess the extent of varieties × farms and varieties × years within farm interactions and farmers’ preferences. There were significant differences between farms and varieties, as well as large interactions between varieties and farms, particularly in the case of plant height and reactions to Fusarium fujikuroi Nirenberg (bakanae) and Magnaporthe oryzae B Cooke (leaf and neck blast), but also for grain yield. There were also large interactions between varieties and years, which resulted in considerable differences in stability among varieties with one of the old, one modern and the mixture combining high grain yield and stability. Farmers, regardless of gender, were able to visually identify the highest yielding varieties in a consistent way across years, and although accustomed to seeing uniform varieties, they scored the mixture higher than the mean. The results are discussed in the context of a decentralized-participatory breeding program, to serve the target population of heterogenous environments represented by organic and biodynamic farms.

1. Introduction

Italy is the largest European rice producer, with 995,578 tons produced in 2019 on 220,030 ha [1]. Rice is the fourth most cultivated crop in the country. Production is mainly located in the intensive agricultural areas of the Po Valley, which are also among the most fertile areas of the country. In these areas, agriculture is based mainly on monocultures and intensive exploitation of land, together with a widespread use of chemical inputs and water unanimously considered as unsustainable. Worldwide, rice cultivation is dominated by very few varieties (mega varieties), which are cultivated on large areas [2], and Italy is no exception. Although more than 200 varieties belonging to the Oryza sativa japonica group are registered within the national variety catalogue, and 132 of these are multiplied and commercialized as seed, 70% of the production is represented by just 20 varieties [3]. The introgression of herbicide resistance genes (Clearfield® and Provisia® technologies) played a major role in steering Italian rice breeding towards a single approach for weed control, which is now present in 42% of rice seeds produced in Italy [4]. Meanwhile, a significant growth of Italian organic rice production has taken place, thanks to a number of organic farmers pioneering innovative agro-ecological solutions to address weed control. In 2019, the area of organic rice was estimated at nearly 20 thousand hectares, including 3.5 thousand hectares in conversion. Short-grain rice varieties represent 43% of the organic area, Long A grain rice varieties 35% and Long B grain rice varieties 18%, with the medium group covering 6% of the organic rice growing area. In general, the varieties used in organic farming have been developed by conventional breeding programs, similarly to what happens for most crops [5] as there are no rice breeding programs targeting organic systems in the country.
The implementation of a new rice breeding strategy, with the participation of farmers and specifically addressing organic rice farming systems (ORFS), represents a necessary and urgent component of the transition from conventional to organic agriculture, given that organic rice systems have been proved to be more climate resilient, and more sustainable, than conventional systems [6,7].
The transition from conventional to organic systems must take into consideration that the latter are inherently adapted to site-specific endowments and limitations (6) and consequently have a higher spatial and temporal heterogeneity, measured in terms of farm and landscape heterogeneity, agricultural management practices and types of soils (7). Therefore, in breeding terms, they represent a target population of heterogeneous environments, which can be served by a decentralized and participatory breeding program more efficiently than by a centralized-non participatory breeding program [8,9,10].
The need for specific breeding programs for organic agriculture is also supported by the evidence of the genotype × system interactions, often found when comparing varieties under organic and conventional systems [11,12,13].
There is a vast literature on rice participatory research, both as participatory variety selection (PVS) and as participatory plant breeding (PPB). In fact, rice is the crop that has benefitted most from participatory research [14] and is one of the few crops for which PPB has led to the formal release of a variety [15]. Common reasons to use a participatory approach in rice research, both in Asia and Africa, are: the low adoption rate of modern varieties [16,17]; the increased varietal diversity associated with farmers’ participation [18]; and the importance of variation due to genotype × environment interaction (GEI), which is usually much higher than variation due to genotypes [19], even though this does not seem to hold true for root traits [20]. GEI was found in experiments including stress and well-watered environments [21]. When GEI was dissected into its components, namely genotype × location (GL), genotype × years (GY) and genotype × location × years (GYL), it was generally found that GYL is the largest variance component [22,23,24].
This paper describes a set of farmer-led innovations, ranging from agronomic practices for ORFS management to PVS initiative. The activities involved a multi-actor network in participatory selection of locally adapted varieties, to identify the most suitable to the agro-ecological practices of each farm hosting the field trials. The general objective of this long-term research is to address the most urgent critical issues in ORFS, such as water scarcity, soil salinization, climate-driven presence of novel aggressive weeds, the coexistence with many animals in wetland habitat and the emission of greenhouse gases (GHG), and therefore to increase the sustainability of the organic sector. The specific objectives were: (1) to evaluate the extent of genotype × locations and genotype × years within location interactions in the case of organic farming; (2) to expose a number of organic farmers to the range of innovative agro-ecological practices used by the farms hosting the trials, and to the need of co-designing novel diversity-based decentralized-participatory breeding; and (3) to introduce variety mixtures in ORFS and explore their agronomic potential.

2. Material and Methods

2.1. Plant Material

The experimental material (Table S1) includes 10 old Italian rice varieties (registered before 1980), 10 modern Italian varieties using farmers’ produced seed as seed source (with the farm abbreviation as shown in Table S2) and one dynamic mixture, originally assembled in one of the farms, with the varieties listed at the bottom of Table S1. The rationale for the variety choice was to compare, under different organic rice systems conditions, pre-green revolution varieties with modern and widely used varieties, both by Italian conventional and organic rice growers.
The original seed was obtained from CREA CI (Research Centre in Cereal and Industrial Crops, based in Vercelli, Italy) and multiplied in 2018 in two farms, Cascine Orsine (CO) and Terre di Lomellina (TL). In 2019, the seed harvested in CO was re-sown in the same farm and also at Marco Cuneo (MC) farm; the seed harvested in TL was re-sown in the same farm and also at Una Garlanda farm (UG). In 2020, each farm used its own seed harvested in 2019.

2.2. Locations and Agronomic Management

The trials were conducted in four farms practicing “organic” or/and “biodynamic” cropping systems in Italy (Table S2), which used different types of agronomic management (Table S3). The choice of a specific agronomic management for the trial followed the farm’s choice for each growing season: the research team established the trials in a section of the farm’s paddy, carrying out all the operations from sowing to harvest.
(1)
Cascine Orsine (CO) farm is located near Bereguardo, Pavia province (45°14′55″ N, 9°00′57″ E). CO farm applied the “stale seedbed in dry paddy (SD)” technique in 2019 and the “stale seedbed in flooded paddy” (SF) technique in 2020 [25] cited by [26].
The SD technique is a weed management technique applied in dry paddy, by which weed seed are allowed to germinate and are removed prior to the planting of rice. Pre-sowing weed suppression is achieved by repeatedly preparing the soil and removing germinated weeds with superficial tillage with harrow and comb harrow. The sowing date was 16 May 2019. Sowing was done at 3 cm depth using a single row manual seeder (14 cm inter-row), at a rate of 20 g m−2. After sowing, the weeds were controlled through 2–3 passages with comb harrow.
The SF technique uses false seeding before the rice sowing (as previously described), followed by flooding immediately after the first 2–3 passages with harrow. The sowing date was 20 May 2020. The rice was broadcasted at a rate of 20 g m−2.
(2)
Terre di Lomellina (TL) farm is located near Candia di Lomellina, Pavia province (45°10′25″ N, 8°35′47″ E).
In 2019, TL farm applied the “stale seedbed in dry paddy (SD)” technique [25] cited by [26]. Sowing was done at 6 cm depth using a single row manual seeder (14 cm inter-row), at a rate of 20 g m−2. The sowing date was May 2. The dry field condition lasted until mid-June, to allow 2 comb harrow passages for weed control. The depth of sowing is due to the agronomic choice, in order to do more aggressive harrowing afterwards.
In 2020, TL farm adopted the “green mulching” technique, sowing a mixture of vetch and ryegrass (Vicia villosa and Lolium multiflorum Lam) during the previous autumn (October 2019). In the standing cover crop, on the 24th of April 2020, the rice was sown in rows 3 cm deep at a rate of 20 g m−2. After rice germination (the time depends on meteorological conditions), the cover crops were cut. Afterwards, water was introduced and the field was flooded. At this stage, the fermentation of green mulching was activated in order to control weeds.
(3)
Marco Cuneo’s (MC) farm, “Parco Agricolo Sud”, is located near Abbiategrasso, Milan province (45°23′23″ N, 8°52′59″ E).
MC farm applied the SD technique. Sowing dates were 30 April 2019 and 27 April 2020. Sowing was done using a single row manual seeder (14 cm inter-row), at a rate of 20 g m−2 at 2–3 cm depth.
(4)
Una Garlanda (UG) farm, is located near Rovasenda, Vercelli province (45°32′54″ N, 8°19′23″ E).
UG farm applied the “green mulching” technique both in 2019 and in 2020. The “green mulching” technique applied in 2019 provides the flooding of a cover crop (CC) mixture of vetch, mustard and ryegrass (Vicia villosa 30%, Sinapis alba 20% and Lolium multiflorum Lam 50%) sown the previous autumn (October 2019). The cover crop was crushed by a roller crimper on 10 May 2020. On the same day, rice was sown by hand-broadcasting at a rate of 20 g m−2 on the lodged cover crop and immediately flooded. This process activates the cover crop fermentation. After about 5–7 days, the rice field is drained, and kept dry for 7–14 days to allow rice germination. Indeed, fermentation has negative impacts on weeds germination but, if timing is not correctly managed, it can negatively impact the rice germination rate as well.
The same technique was applied in 2020, with two modifications: rye (Secale cereale) was added to the CC mixture (sown on 10 September 2019) and the CC mixture was mulched with a flail-mower prior rice sowing, on 9 May 2020.

2.3. Experimental Design and Statistical Analysis

The experiment was set up as a partially replicated (p-rep) design with 16 varieties (those from 1 to 16 in Table S1) unreplicated, and the remaining 6 entries replicated 4 times. The resulting 40 plots (6 m2) were arranged in 4 rows and 10 columns. The trial was repeated in 2019 and 2020. Randomization was different in each year and each location (farm) and was generated by DiGGeR [27], a program that generates efficient experimental designs for non-factorial experiments, with plots arranged in rows and columns [28,29].
After testing for normality, the data were submitted to a combined analysis of variance using the ANOVA command for unbalanced design in GenStat 21th edition [30], using a model where the Entry trait Yijz is a function of the grand mean μ, of the Entry (E) effect of the i entry, of the Farm (F) effect of the j farm, of the EF interactions effects, of the Year within Farm effect (Y(F)), of the E × Y(F) interaction effect and of the residual e:
Yijz = μ + Ei + Fj + Y(F)y + (EF)ij +EY(F)iy + eijyz
The appropriate error was chosen in function of the significance of the relevant interactions. The reasons for adopting this model are given by [31]. When the locations are reasonably far from each other (as was the case in these multi-location trials), then the constituents of the ‘year’ factor vary with location each year. In such a case, the location × year interaction cannot be interpreted; however, the spatial interaction of entry with location, and the temporal interaction of entry with year within locations, can be interpreted. In addition, such a situation does not require the location and year classifications to be connected, because the nesting of years within location is sufficient to allow the estimation of E × L and of within-location E × Y(F) interactions.
The interactions between the Entries and the combinations of Farms and Years were analyses by the GGE biplot package [32] available in R [27]. In the GGE biplot, the use of standardized data eliminates the effect of E, in our case the farm-years combinations, and therefore only G and GE interactions effects are shown. We used two features of the GGE biplot, namely the relations between traits and the “mean and stability” feature. In the first feature, the angle between the vectors connecting the labels corresponding to each trait and the origin are proportional to the correlation between the corresponding traits: an angle <90° indicated a positive correlation, an angle >90° a negative correlation and angle around 90°, independence [33]. This applies as long as the data are sufficiently approximated by the biplot. In the “mean and stability” feature, a line is drawn, which passes through the origin representing the mean of each genotype in all the environments, and is called the mean environment axis. The projections of the genotypes tested in the experiment to the mean environmental axis approximates the GEI associated with the genotype. The longer the projection, the greater is the GEI, which is a measure of the instability. In this graphical representation, the ideal genotype, in terms of grain yield and stability, is one that has the longest positive projection on the mean environment axis (high mean), and a zero projection on the perpendicular axis [32].
We eventually conducted a hierarchical cluster analysis in GenStat 21th edition [30], using the Euclidean distance and mean yield across cropping seasons to further investigate the relationships between old and new varieties.

2.4. Data Collection

A number of phenotypic traits were collected ranging from panicle length to plant heigh, tillering, heading time and susceptibility to bakanae and leaf and neck blast.
At maturity, grain was collected from the central 2 m2 of each plot to avoid border effects, dried with a laboratory oven at 39 °C until commercial moisture threshold of 14% (cereal humidity meter model PCE-GMM 10), and weighed. Dry matter biomass was used to determine yield.
(1)
With a measuring tape, panicle length and plant height (cm) were measured on 10 plants in each plot including those of the mixture;
(2)
Bakanae susceptibility was visually evaluated at waxy ripening stage, looking for the presence of the characteristic white-rose powdery mold at the plant based, caused by Fusarium fujikoroi infection. The score used ranged from 1% = when less than 5 plants per plot were affected to 20% = when more than 25 plants were affected. Percentage was then converted in arcsine;
(3)
Leaf and neck blast susceptibility was visually estimated as the percentage of plants affected per plot. The leaf blade and ears were examined for symptoms at waxy ripening stage (brown-grey necrotic spots on leaves, underdeveloped kernels on ears), scoring from 0% = no plants affected to 100% = all plants affected. Percentage was then converted in arcsine;
(4)
Heading time was recorded visually estimating flowering and waxy ripening dates per each plot, and then ranking with a score from 1 = early-heading to 5 = late-heading;
(5)
Grain yield was computed through a precision scale (g) model SARTORIUS GL 522i-1CEU and then expressed as kg ha−1.

2.5. Farmer Evaluation

With the collaboration of the host farmers, all plots were evaluated at or near full maturity by a total of 90 participants during field days organized by Rete Semi Rurali (RSR) (Table S4). The participants were mainly neighboring rice farmers invited by the host farms, joined by institutional researchers and technicians (university, Council of Research and Environmental Analysis, National Park) invited by RSR. The number of men participant was nearly three times higher than the number of women participants in 2019, while there was a more gender-balanced participation in 2020. Participants included farmers, agronomists, scientists, students and consumers. No limits were imposed to either the number, the gender, the profession or the age of the participants. Before the evaluation, the participants assembled near the experiment and one RSR staff introduced the experiment’s objectives, the type of varieties being evaluated (but not the names or the field position of the entries), the layout and the most convenient path to follow inside the experimental area. Before starting the evaluation, the participants were informed that their evaluation and the data collected would be analyzed and the results submitted for publication. Participants were asked to start by visiting all the plots in order to calibrate the rating scale from the worst (1) to the best (5) plots, based on the general appearance of the plots. Participants used a form, with only plot numbers and no information on the plant material in each plot. Each participant classified each plot by marking numerical scores from 1 = bad to 5 = excellent. Adding name and profession to the top of the form was left optional. The form also had a blank space available for the participants to enter the reason(s) for their evaluation, but this space was so sparsely filled that this information was only used for discussion. The participants were requested to carry out the evaluation individually without consulting with each other. RSR staff were available at the field to illustrate the layout of the experiment and the path to follow. Only when all the participants completed the evaluation did RSR staff reveal which material was planted in individual plots. We analyzed the average score of all participants, as well as the average score of women and men separately, as this is considered crucial for an equitable choice of new technologies [34]. We did not disaggregate the score by the other categories of the participants as this will be the subject of another study.

2.6. Meteorological Data

Meteorological data (daily maximum and minimum temperatures and rainfall) were collected from met stations nearest to the four locations where the trials were conducted. Data for the Lombardy region (CO, TL and MC) were provided by the “Servizio Meteorologico Lombardo” (http://www.centrometeolombardo.com/, accessed on 31 July 2022), whilst ARPA was the source for the Piedmont region (UG) (http://www.arpa.piemonte.it/rischinaturali/tematismi/clima/Introduzione.html, accessed on 31 July 2022). The distance varied from 2.5 km in the case of the MC farm, to about 5–6 km in the case of CO and UG farms, while the area where the TL farm is located is poorly covered and the nearest met station was 17 km away.
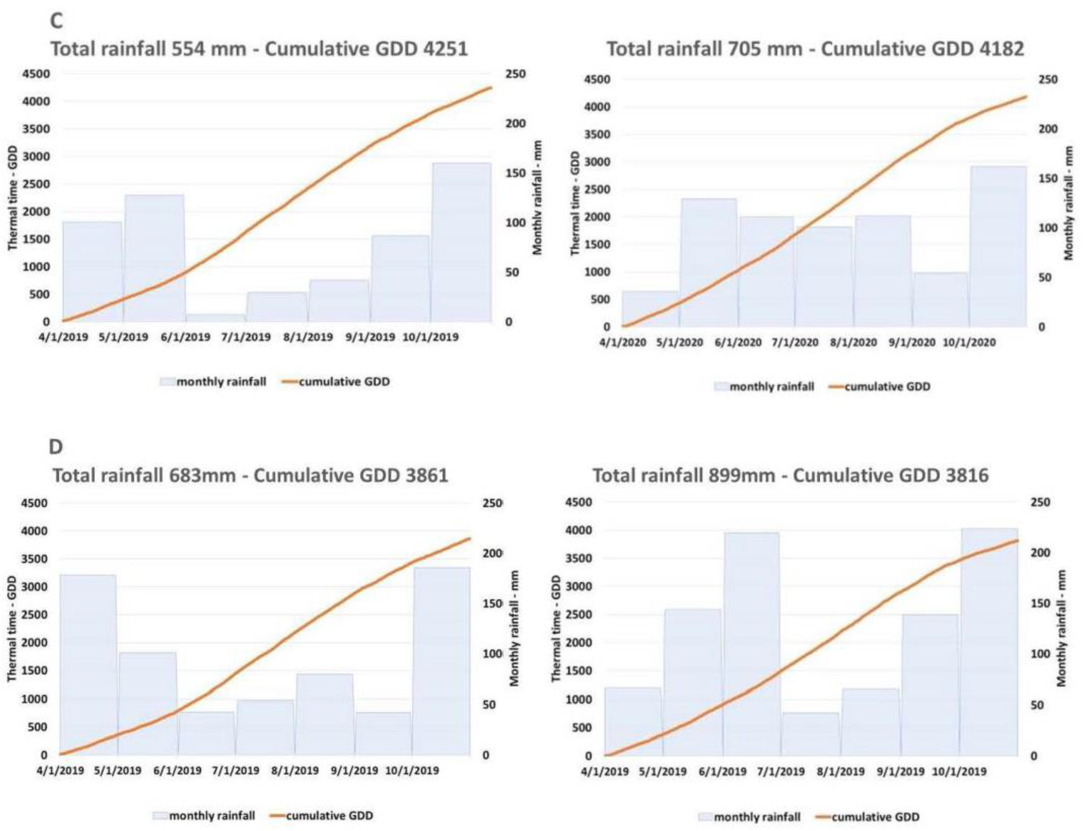
The thermal sum for the growing season was obtained adopting a TBASE = 0 °C, as in McMaster and Wilhelm [35], and expressed as thermal time in growing degrees days (GDD). No upper temperature threshold TUT was adopted, in order to highlight potential climatic trends, in line with Costanzo and Bàrberi [36]. Monthly and seasonal rainfall were calculated for each location-year.
Total seasonal rainfall (Figure 1) was the lowest in TL (488 mm in 2019 and 474 in 2020) with a poor distribution, particularly in 2019, and the highest in UG with 683 mm in 2019 and 899 mm in 2020, and a more uniform distribution than in the other three farms, which all experienced a dry spell in June 2019.
The second cropping season (2020) was wetter than in 2019 in three of the four farms; the exception was, as we have seen, TL.
Temperatures were the lowest in UG where the thermal time was less than 3900 GDD in both years, while in all the other three farms it was above 4000. TL was the hottest farm and 2019 was hotter than 2020 in all four farms.

3. Results

3.1. Agronomic Characteristics

There were large differences between the means of the 22 entries over years and farms for all the traits measured (Table S5), except for the reaction to bakanae and to neck blast due a large entry × farm interaction. The two old commercial varieties, Rosa Marchetti (RM) and Baldo (BA), were the highest yielding across farms and years regardless of the seed source. Among the top yielding entries there were varieties released over a period of 40 years such as Corbetta (CO), released in 1964, and Carmen (CA), released in 2005, as well as the mixture.
The mixture was significantly taller (average of 10 plants per plot) than all other entries, while the shortest entries were some of the most recently released varieties, such as Titanio (TI) and Rodeo (RO). RM and BA, widely grown commercially, particularly under organic conditions, are in the relatively taller group. The seed source did not cause significant differences in plant height. The tallest entries were also those with the longest panicle, with NO, released in 1933, and the mixture having the longest panicles. RU was the earliest entry and ChO by far the latest. Earliness did not have any bearing on yielding ability as the highest yielding entries tended to be in the medium-late group, and the earliest entry (RU) was also the lowest yielding.
A number of entries, such as RO, BE, TI, TO, CO and MI were susceptible to all three diseases recorded (although in the case of bakanae and neck blast the differences were not significant). Those with the highest level of resistance to all three diseases were ChO, the modern variety (CA), IT and the mixture. The only case where the seed source was associated with a significant difference was the higher susceptibility to leaf blast of the Baldo maintained at CO, compared with commercial seed of the same variety (BA).
There were also large differences between the four farms: at Una Garlanda (UG), the farm with the highest rainfall, the average yield was significantly the highest, the average plant height and panicle length were the shortest, the levels of infection by both types of blast were significantly the lowest and the level of infection by bakanae was significantly the highest (Table S6). The Marco Cuneo (MC) farm was ranking second in yield: in this farm, the crop was the second shortest and with the longest peduncles, the earliest heading and the lowest levels of infection by bakanae. Terre di Lomellina (TL) was slightly, but significantly, lower yielding than MC, had the tallest plants, the lowest level of infection to bakanae like MC farm, and the lowest level of infection to leaf blast, thus not differing from UG. In MC farm, heading was the latest, as in UG. Eventually, Cascine Orsine (CO), which received the second highest amount of rainfall, was by far the lowest yielding and intermediate for plant height, panicle length and heading time. This farm, together with MC, had the highest level of infection by leaf blast.
The interactions entries × farms were always highly significant for the agronomic traits (Table S7), likewise, the differences between the two years within each farm. The differences between farms were always highly significant, except for the reaction to neck blast (p = 0.034). There were also significant interactions between entries and years within farms.

3.2. Participants’ Evaluation of the Experimental Material

There was considerable agreement among participants in the evaluation of the 22 varieties across years and locations (last 3 columns of Table S5). BA received the largest average score by all participants, with no differences between women and men and regardless of the seed source (BA_CO was the second or third best, by men and women, respectively, not significantly different from BA). RN was also among the varieties which received the highest score, although for men it was significantly inferior to BA. For women, AR was as good as BA, but this was not the case for men. The two sources of Rosa Marchetti (RM_UG and RM_CO) were also in the group of the most preferred varieties, likewise the mixture, even though this entry was new for most participants. For women, the mixture was as good as the second-best entry, namely BA_CO.
There was also considerable agreement about the least preferred varieties, which unanimously were RU and BE. Other varieties which ranked very low in participants’ preferences were LO, IT, MI and TI.
There were large differences in the overall evaluation of the 22 entries over the 2 years in the four farms (Table S6), with the two farms characterized by the highest average grain yield, namely UG and MC, always receiving the highest average score, and CO the lowest. TL received a score not significantly different from UG and MC by all participants, and by the male evaluators, but not by the women who, on average, gave this farm a significantly lower score than at UG and MC, but significantly higher than CO.
The consistency of participants’ preferences for entries and farms is reflected in the analysis of variance (Table S7) with significant differences between entries and farms, but also between years within farms, but with non-significant entries × farms interactions, except in the case of male preferences (p = 0.041) and marginally significant differences of entries × years within farms in the case of overall preferences and men’s preferences (p = 0.042 and p = 0.049, respectively).

3.3. Interactions Entries by Farms and Entries by Years within Farms

Entries differed considerably in the average yield across the eight Farms × Years combinations, as shown by their spreading along the mean environmental axis of the GGE biplot (Figure 2). They also differed in stability as visualized by the distance from the mean environmental axis (the higher the distance, the lower the stability). Among the highest yielding entries, CO, the mixture, CA and ChO were the most stable, while the top yielding entries (BA and RM) were unstable, with BA_CO and BA yielding better in 2019 than in 2020, and RM_UG and RM_CO yielding better in 2020 than in 2019.
In the case of grain yield, there was a larger interaction between entries and year (p < 0.0001) than between entries and farms (p = 0.011) (Table S7), as shown by the clear separation of the two years on the opposite sides of the mean environmental axis (Figure 2); however, there is evidence of the presence of interaction between entries and farms. In fact, BA was the top yielder in CO and UG, in 2019; the two farms lumped together and were distinct from TL and MC, where BA_CO was the highest yielding. The separation did not repeat itself in 2020; in fact, in that year, separation occurred between CO, TL and UG, which lumped together, and MC, where the top yielder was RM_UG. MC was consistently distinct from both CO and UG (Figure 2).
In the case of plant height, one of the tallest entries, namely AR, as well as one of the shortest, namely TI, were considerably stable across farms and years (Figure 3). Others, like MI, RU and LO were either the shortest or the tallest in some farms and years, to become the tallest and the shortest, respectively, in others. Plant height was stable across years in two farms (UG and MC) while in CO and TL the ranking of entries for plant height changed from 2019 to 2020.
There was considerable consistency in panicle length (Figure 4) with NO being among the top five for the longest peduncle in all eight year-farm combinations, while RN, the two Rosa Marchetti and the mixture being amongst the top five for the longest peduncle in most year-farm combinations. Similarly, in the case of the entries with the shortest peduncle, TI had the shortest peduncle in all eight year-farm combinations, and AL and MI in seven out of eight year-farm combinations. However, there were also instances of interaction, such as RO, which was among the five entries with the shortest peduncle in seven year-farm combinations, but among the five entries with the longest peduncle at CO_20, hence its position in the biplot. Another case was RU, which had the shortest peduncle at CO_20 and was among the bottom five in TL_19 and TL_20, but was average in the other year-farm combinations.
The pattern of interactions in the case of heading time (Figure 5) is similar to the one observed for grain yield, with years having, in general, a larger effect than farms, although non consistently as shown by MC. In this farm, the ranking of the entries for heading time in 2019 was similar to the raking in the other three farms in 2020. The earliest and the latest entries, namely RU and ChO, respectively were stable across years and farms like several entries with intermediate levels of heading time. The mixture was among the earliest entries, but not in 2019 at CO and UG; similarly, IT was among the earliest in 2019, except at MC farms, and the latest or intermediate in 2020.
Even though the data have to be taken with caution as the biplots explain between 53% and 57% of the total Entry + Entries × Farms variation for reaction to bakanae and neck blast (Figure 6 and Figure 7, respectively), in all cases there was evidence of a significant Entries × Farm interaction partly repeatable over years.
In the case of the reaction to bakanae (Figure 6), entries such as BE, RU and RO expressed their susceptibility in both years in TL and UG, but in CO, both in 2019 and 2020, they behaved as resistant. On the other hand, TO behaved as susceptible in CO and MC, particularly in 2020, but appeared as one of the most resistant in TL and UG, in the latter particularly in 2020. A number of varieties, such as CA, IT, ChO, the two RM and the mixture consistently expressed their resistance across years and farms.
A similar pattern was observed for the reaction to leaf blast (Figure 8) with RU and RO behaving as susceptible in TL, MC and CO in 2020, but looking as resistant in CO and MC in 2019, likely because of the absence of the disease or interaction with the farm agronomic management. LO and IT appeared as susceptible in UG in 2020 but as relatively resistant elsewhere. Few entries, such as the mixture, the two RM and ChO were relatively resistant across years and farms.
The reaction to neck blast (Figure 7) was generally higher in 2020 than in 2019, as shown by the position of the four farms in 2020 far away from the mean environmental axis, but in opposite directions. A number of entries showed a different reaction to neck blast in different farms, such as NO susceptible in MC, particularly in 2020, but showing no symptoms in the other three farms, and AL, susceptible in CO and TL, but showing no symptoms in MC and UG.
The dendrogram based on GY (Figure 9) did not clearly cluster old and new varieties separately. In fact, one of the closest similarities is between Arborio (AR) and Miara (MI) released nearly 20 years apart from one another. The two seed sources of Rosa Marchetti (RM_CO and RM_UG) are much more distant than suggested by some of their agronomic characteristics. Of interest is the close similarity between the mixture and Carmen (CA).

3.4. Interactions between Traits

There was a strong positive correlation between participants’ evaluation and grain yield (Figure 10), as shown by the narrow angle between the respective vectors, which also includes late heading. The nearly 90° angle between the vectors of GY, HT, EV, FEV and MEV on one side, and the vectors for the reaction to the three diseases (FUS, BLC and BLL) on the other, indicates that the level of disease susceptibility and GY, HT, EV, FEV and MEV were independent traits as if several of the varieties included in the study have some levels of tolerance to the three diseases. On the other hand, the level of disease susceptibility was strongly and negatively correlated with both plant height and panicle length, as indicated by the nearly 180° angle between the respective vectors.
When the mean over the two years of all the traits that were measured, are considered, BA and BA_CO, AR, one of the two Rosa Marchetti (RM_UG) combined high grain yield, participants preference and late heading. On the contrary, RU, BE, LO, IT and GR combined low grain yield, early heading and low participants’ preference. RO, TI, TO, MI and to a lesser extent AL, were the most susceptible to the three diseases, shorter, and with a short panicle. Eventually, and as already noted, NO and the mixture were consistently the tallest and with the longest panicles.
One of the Rosa Marchetti (RM_CO), ChO and RN, as indicated by their position in the biplot, combine a higher-than-average grain yield, participants’ preferences, tall plants and long peduncles, without reaching the maximum expression of any of these traits. This applies also to heading time, which, in this group of entries, is later than the grand mean without being among the latest entries.

4. Discussion

The hypothesis the study aimed to test was that, given that organic systems represent a target population of heterogeneous environments, the most suitable varieties may differ in different farms, [37] as anticipated by Wolfe et al. [5] when they stated that “it is likely that there are almost as many organic farming systems as there are organic farmers”.
The results support the hypothesis of entries × farms interactions for a number of agronomic traits, including grain yield, plant height and panicle length, but particularly for the reaction to three important diseases, such as bakanae and leaf and neck blast. This is particularly important in organic farming where the options to manage diseases are much more limited than in conventional farming, and therefore the information on how the expression of resistance/susceptibility to important diseases is affected by a given agronomic management is important to choose the most reliable sources of genetic resistance/tolerance under the conditions of that specific farm.
In the present study, the genetic component of entries × farms interactions are confounded with the management of the crop, which differed not only between farms but also between years within the same farm. Although it represents a complication in the interpretation of GEI, this confounding is almost inevitable in real life as organic farms, not being able to rely on chemical protection from pests, need to be much more dynamic than conventional farms to cope with biotic and abiotic stresses. This while they continue to address market demands with a portfolio of varieties, and of management options to cope with the most common challenges to all rice growers such as water temperature, weeds and diseases.
The confounding of farms with management, or in general terms of locations with management, needs to be mentioned in relation to the frequently debated addition of M (management) to the concept of genotype × environment interaction familiar to most scientists, thus expanding the concept into G × E × M [38]. The expansion of the G × E concept into a G × E × M, disaggregates M from E, while M is an integral part of location (L), which is the usual component of E together with year (Y). Therefore, the concept should actually become G × L × Y(L) × M(YL). The rationale of introducing the management factor in the discourse on GEI is that higher genetic gains could be realized by an integrated approach where both the genetic and the management contributions, historically dealt with separately by breeders and agronomists, are considered simultaneously [38]. It has been shown [39] that participatory plant breeding, by evaluating and selecting breeding lines on-farm, is able to capture both the differences in environmental conditions and of the crop managements of the target environment. This reduces the impact of the interactions G × E × M on response to selection, thus resulting in higher genetic gains.
In our study, we could dissect GEI into genotype × years (G × L) and genotype × years within locations (G × Y(L)) but it was not possible to isolate the effect of M from the effect of L. However, direct evaluation by the farmers themselves of candidate varieties under the actual management options used in farmers’ organic fields, in a decentralized-participatory selection model, is capable of integrating genotypic, climatic and management factors into the selection criteria, even if the effects of these factors cannot be statistically dissected. In fact, decentralization, namely, selection conducted in the target environment(s), allows testing and selecting the breeding material under different agronomic management in the same climatic conditions, i.e., different farms within the same location. Decentralization becomes even more effective when associated with participation that has the capability of enhancing the probability of adoption [40].
One of the main objectives of this work was to let farmers identify the most suitable rice varieties to a range of organic rice farms. Participatory approaches have been used in rice in several countries, particularly India and Nepal [14], but, to the best of our knowledge, never in an important rice producer of the North, such as Italy, where rice production and marketing represent typical examples of a food supply chain where a limited number of actors have a great influence of what to grow, where, when and how to transform it [41]. Therefore, the involvement of producers in selecting the best varieties for their specific conditions, including the management of the crop, may well represent that type of innovation, which is considered one of the keys to democratize food systems [41]. By identifying the more suitable rice varieties, including in their evaluation the yield stability as revealed by using the GGE biplot, organic farmers may considerably reduce the risk of income fluctuations, therefore increasing the sustainability of their farming system.
The decentralized-participatory approach used in this study has two additional advantages. First, the participatory evaluation of a range of varieties showed that although earliness is often mentioned as one of the most desirable traits of successful varieties in organic farming because of the need to delay sowing to better control weeds, the earliest varieties in the set that we studied were not the most preferred, confirming that farmers tend to select for the most favorable combination of traits rather than for the extreme expression of individual trait [42]. The second advantage is associated with the inclusion in the experiment of a mixture of 15 varieties, autonomously made and grown by one of the host farmers prior the experiment. This allowed us to expose the participating farmers to types of genetic materials, whose seed, with the denomination of “Organic Heterogeneous Material”, can be commercialized in the European organic seed market from 1 January 2022 (https://eur-lex.europa.eu/legal-content/EN/TXT/?uri=CELEX:32018R0848, accessed on 20 June 2022).
Rice has been one of the crops where research on evolutionary populations [43,44] has shown their ability to evolve an optimum phenology to adapt to latitude [45], and the competitive advantage of tall plants over short plants [46], the latter a trait which in other cereals like wheat has been shown to be associated with increased weed suppression [47,48]. It was therefore of interest to observe that farmers not acquainted with heterogenous material gave it a high score, slightly lower only to BA, but not significantly different from some of the most widely grown commercial varieties. Given its nature, it was not surprising that the mixture was not only in the group of the consistently disease resistant entries, but had one of the best combinations of yield and stability. However, it was somewhat surprising that varieties released as early as 1954 (CO) are as productive, under organic conditions, as varieties released 50 years later, such as CA, released in 2005. This is likely to be a consequence of the lack of plant breeding for organic conditions, and underlines the relevance of a decentralized-participatory approach that allows a number of varieties to express their values and their acceptability in a number of different target environments.

5. Conclusions

The work described in this paper is a multi-environment (four farms and two years) decentralized and participatory evaluation of a set of varieties including a mixture, that represents an innovation in the European seed sector as their seed could not be legally commercialized until recently. The objectives of the study were: (1) to evaluate the extent of genotype × locations and genotype × years within location interactions in the case of organic farming; (2) to expose a number of organic farmers to the range of innovative agro-ecological practices used by the farms hosting the trials and to the need of co-designing novel diversity-based decentralized-participatory breeding; and (3) to introduce variety mixtures in ORFS and explore their agronomic potential.
The interactions found in this study would indicate that in different organic and biodynamic farms, farmers may be able to identify the genetic material that better exploits their agronomic management. Such an approach, being based on exploiting specific adaptation, shall eventually lead to that increase in agrobiodiversity needed to increase sustainability [47] and to cope with climate change and associated collateral biotic stresses [44].
The response of the participants showed that even for a crop such as rice, where in a country like Italy a limited number of actors have a strong influence on what, where, when and how the crop is grown, it could be possible in the future to organize an innovative path to innovation through decentralized-participatory plant breeding, by using breeding materials instead of established varieties and submit it to successive cycles of selection. This work showed that farmers perceive that allocating some of their land and their time in testing genetic material on their farms is an investment, given the ever-changing agronomic conditions typical of organic and biodynamic farms.
This on-farm experimentation offers them the unique opportunity to jointly evaluate both the genetic merit of the material, and its interaction with agronomic management.
Eventually, the positive reaction of both male and female farmers, as well as of other stakeholders participating in the evaluation process, may open the way to decentralized evolutionary breeding programs, in which the mixtures, or possibly evolutionary populations, evolve independently in each organic farm, and farmers, independently or with the collaboration of scientists, use them as a source from which to select varieties specifically adapted to organic farming.

Supplementary Materials

The following are available online at https://www.mdpi.com/article/10.3390/su141710604/s1, Table S1. The Experimental material. Table S2. The four farms that hosted the trials. Table S3. Agronomic management in the four farms hosting the trials over the two years. Table S4. People who evaluated the individual plots classified by gender (upper part) and by profession (lower part) (F =farmers, T = technicians, H = hobbyists, R = researchers, S = Students). Table S5. Average grain yield (GY in kg ha-1), plant height (PH in cm), peduncle length (PL in cm), heading time (HT), reaction to Fusarium (FUS), leaf blast (BLL) and neck blast (BLC) and participants’ evaluation (EV= all participants; FEV = female evaluation; MEV = male evaluation) of the 22 entries listed in Table S1. Data are the means of two years and four farms *. Table S6. Average grain yield (GY in kg ha-1), plant height (PH in cm), peduncle length (PL in cm), heading time (HT), reaction to Fusarium (FUS), leaf blast (BLL) and neck blast (BLC) and participants’ evaluation (EV= all participants; FEV = female evaluation; MEV = male evaluation) of 22 varieties grown in the four farms listed in Table S2. Data are the means of two years and 22 varieties *. Table S7. Analysis of variance of grain yield (GY), plant height (PH), peduncle length (PL), heading time (HT), reaction to Fusarium (FUS), leaf blast (BLL) and neck blast (BLC) and participants’ evaluation (EV= all participants; FEV = female evaluation; MEV = male evaluation) of 22 entries in four farms for two years. In the case of PH and SL data were collected on 20 plants/plot. Degrees of freedom are adjusted for missing data. Degrees of freedom for EV also apply for FEV and MEV.

Author Contributions

Conceptualization, S.C. and G.D.S.; methodology, S.C., M.P. (Matteo Petitti), D.P., R.S., B.B., G.D.S. and T.G.; software, S.C.; validation, S.C., G.D.S. and R.B.; formal analysis, S.C.; investigation, S.C., M.P. (Matteo Petitti), D.P., R.S., B.B. and G.D.S.; resources, S.C., M.P. (Matteo Petitti), D.P., R.S., B.B., G.D.S., T.G., R.C.-D., U.S., M.C. and M.P. (Marco Paravicini); data curation, S.C., M.P. (Matteo Petitti), D.P. and R.S.; writing—original draft preparation, S.C. and G.D.S.; writing—review and editing, S.C., M.P. (Matteo Petitti), G.D.S., D.P. and R.S.; visualization, S.C. and R.B.; supervision, S.C., M.P. (Matteo Petitti), D.P., R.S., B.B., G.D.S., T.G., R.C.-D., U.S., M.C. and M.P. (Marco Paravicini); project administration, G.D.S.; funding acquisition, G.D.S. and R.B. All authors have read and agreed to the published version of the manuscript.

Funding

This research was funded by FONDAZIONE CARIPLO grant number [2020-5362 FASE 2].

Institutional Review Board Statement

Not applicable.

Informed Consent Statement

Not applicable.

Data Availability Statement

Not applicable.

Acknowledgments

The authors thanks Francesca Orlando, Valentina Vaglia and Prof Stefano Bocchi for their valuable advice and technical support, and Fondazione Cariplo for the financial support.

Conflicts of Interest

The authors declare no conflict of interest.

References

  1. FAO. FAOSTAT Database. 2021. Available online: https://www.fao.org/faostat/en/#data (accessed on 15 December 2021).
  2. Gatto, M.; de Haan, S.; Laborte, A.; Bonierbale, M.; Labarta, R.; Hareau, G. Trends in Varietal Diversity of Main Staple Crops in Asia and Africa and Implications for Sustainable Food Systems. Front. Sustain. Food Syst. 2021, 5, 626714. [Google Scholar] [CrossRef]
  3. Mongiano, G.; Titone, P.; Tamborini, L.; Pilu, R.; Bregaglio, S. Evolutionary trends and phylogenetic association of key morphological traits in the Italian rice varietal landscape. Sci. Rep. 2018, 8, 13612. [Google Scholar] [CrossRef] [PubMed]
  4. Tamborini, L.; Titone, P.; Mongiano, G.; Legnani, C. Le varietà di riso coltivate in Europa 2006–2021. In Caratteristiche e Criteri di Scelta; Gallo: Vercelli, Italy, 2021; p. 624. [Google Scholar]
  5. Wolfe, M.S.; Baresel, J.P.; Desclaux, D.; Goldringer, I.; Hoad, S.P.; Kovacs, G.; Löschenberger, F.; Miedaner, T.; Østergård, H.; Lammerts van Bueren, E.T. Developments in breeding cereals for organic agriculture. Euphytica 2008, 163, 323–346. [Google Scholar] [CrossRef]
  6. El-Hage Scialabba, N.; Müller-Lindenlauf, M. Organic agriculture and climate change. Renew. Agric. Food Syst. 2010, 25, 158–169. [Google Scholar] [CrossRef]
  7. Heckelman, A.; Smukler, S.; Wittman, H. Cultivating climate resilience: A participatory assessment of organic and conventional rice systems in the Philippines. Renew. Agric. Food Syst. 2018, 33, 225–237. [Google Scholar] [CrossRef]
  8. Ceccarelli, S.; Grando, S. Decentralized-Participatory Plant Breeding: An Example of Demand Driven Research. Euphytica 2007, 155, 349–360. [Google Scholar] [CrossRef]
  9. Ceccarelli, S.; Grando, S. Organic agriculture and evolutionary populations to merge mitigation and adaptation strategies to fight climate change. South Sustain. 2020, 1, e002. [Google Scholar]
  10. Colley, M.R.; Dawson, J.C.; McCluskey, C.; Myers, J.R.; Tracy, W.F.; van Bueren, E.L. Exploring the emergence of participatory plant breeding in countries of the Global North—A review. J. Agric. Sci. 2021, 159, 320–338. [Google Scholar] [CrossRef]
  11. Murphy, K.M.; Campbell, K.G.; Lyon, S.R.; Jones, S.S. Evidence of varietal adaptation to organic farming systems. Field Crops Res. 2007, 102, 172–177. [Google Scholar] [CrossRef]
  12. Reid, T.A.; Yang, R.; Salmon, D.F.; Navabi, A.; Spaner, D. Realized gains from selection for spring wheat grain yield are different in conventional and organically managed systems. Euphytica 2010, 177, 253–266. [Google Scholar] [CrossRef]
  13. Kamran, A.; Kubota, H.; Yang, R.-C.; Randhawa, H.S.; Spaner, D. Relative performance of Canadian spring wheat cultivars under organic and conventional field conditions. Euphytica 2014, 196, 13–24. [Google Scholar] [CrossRef]
  14. Ceccarelli, S.; Grando, S. Participatory Plant Breeding: Who did it, who does it and where? Exp. Agric. 2020, 56, 1–11. [Google Scholar] [CrossRef]
  15. Gyawali, S.; Sthapit, B.R.; Bhandari, B.; Bajracharya, J.; Shrestha, P.K.; Upadhyay, M.P.; Jarvis, D.I. Participatory crop improvement and formal release of Jethobudho rice landrace in Nepal. Euphytica 2010, 176, 59–78. [Google Scholar] [CrossRef]
  16. Efisue, A.; Tongoona, P.; Derera, J.; Langyintuo, A.; Laing, M.; Ubi, B. Farmers’ Perceptions on Rice Varieties in Sikasso Region of Mali and their Implications for Rice Breeding. J. Agron. Crop Sci. 2008, 194, 393–400. [Google Scholar] [CrossRef]
  17. Manzanilla, D.O.; Paris, T.R.; Tatlonghari, G.T.; Tobias, A.M.; Chi, T.T.N.; Phuong, N.T.; Siliphouthone, I.; Chamarerk, V.; Bhekasut, P.; Gandasoemita, R. Social and gender perspectives in rice breeding for submergence tolerance in Southeast Asia. Exp. Agric. 2014, 50, 191–215. [Google Scholar] [CrossRef]
  18. Joshi, K.D.; Subedi, M.; Rana, R.B.; Kadayat, K.B.; Sthapit, B.R. Enhancing on-farm varietal diversity through participatory varietal selection: A case study for chaite rice in Nepal. Exp. Agric. 1997, 33, 335–344. [Google Scholar] [CrossRef]
  19. Wade, L.J.; McLaren, C.G.; Quintana, L.; Harnpichitvitaya, D.; Rajatasereekul, S.; Sarawgi, A.K.; Kumar, A.; Ahmed, H.U.; Singh, A.K.; Rodriguez, R.; et al. Genotype x environment across different rainfed lowland rice environments. Field Crops Res. 1999, 64, 35–50. [Google Scholar] [CrossRef]
  20. MacMillan, K.; Emrich, K.; Piepho, H.-P.; Mullins, C.E.; Price, A.H. Assessing the importance of genotype x environment interaction for root traits in rice using a mapping population. I: A soil-filled box screen. Theor. Appl. Genet. 2006, 113, 977–986. [Google Scholar] [CrossRef]
  21. Lafitte, H.R.; Courtois, B. Interpreting Cultivar x Environment Interactions for Yield in Upland Rice: Assigning Value to Drought-Adaptive Traits. Crop Sci. 2002, 42, 409–1420. [Google Scholar] [CrossRef]
  22. Atlin, G.N.; Paris, T.R.; Linquist, B.; Phengchang, S.; Chongyikangutor, K.; Singh, A.; Singh, V.N.; Dwivedi, J.L.; Pandey, S.; Cenas, P.; et al. Integrating conventional and participatory plant breeding in rainfed rice. In Breeding Rainfed Rice for Drought-Prone Environments: Integrating Conventional and Participatory Plant Breeding in South and Southeast Asia, Proceedings of a DFID Plant Sciences Research Programme/IRRI Conference, Los Banos, Philippines, 12–15 March 2002; Witcombe, J.R., Parr, L.B., Atlin, G.N., Eds.; IRRI: Los Baños, Philippines, 2002; pp. 36–39. [Google Scholar]
  23. Atlin, G.; Paris, T.; Courtois, B. Source of variation in Participatory Varietal Selection with Rainfed Rice: Implications for the Design of Mother-Baby Trial Network. In Quantitative Analysis of Data from Participatory Methods in Plant Breeding; Bellon, M.R., Reeves, J., Eds.; CIMMYT: Heroica Veracruz, Mexico, 2002; pp. 36–43. [Google Scholar]
  24. Ouk, M.; Basnayake, J.; Tsubo, M.; Fukai, S.; Fischer, K.S.; Kang, S.; Men, S.; Thun, V.; Cooper, M. Genotype-by-environment interactions for grain yield associated with water availability at flowering in rainfed lowland rice. Field Crops Res. 2007, 101, 145–154. [Google Scholar] [CrossRef]
  25. Ferrero, A. Weedy rice, biological features and control. In Weed Management for Developing Countries: Addendum 1; Labrada, R., Ed.; FAO Plant Production and Protection Paper 120 Add. 1; FAO: Rome, Italy, 2003; pp. 89–107. [Google Scholar]
  26. Orlando, F.; Alali, S.; Vaglia, V.; Pagliarino, E.; Bacenetti, J.; Bocchi, S. Participatory approach for developing knowledge on organic rice farming: Management strategies and productive performance. Agric. Syst. 2020, 178, 102739. [Google Scholar] [CrossRef]
  27. R Development Core Team. R Language Definition; Version 3.2.3; DRAFT: Vienna, Austria, 2015. [Google Scholar]
  28. Coombes, N.E. DiGGeR Design Search Tool in R. 2009. Available online: http://nswdpibiom.org/austatgen/software/ (accessed on 25 September 2021).
  29. Cullis, B.R.; Smith, A.B.; Coombes, N.E. On the Design of Early Generation Variety Trials with Correlated Data. J. Agric. Biol. Environ. Stat. 2006, 11, 381–393. [Google Scholar] [CrossRef]
  30. Payne, R.W. A Guide to GenStat® Release 19th; VSN International: Hemel Hempstead, UK, 2015. [Google Scholar]
  31. Singh, M.; Grando, S.; Ceccarelli, S. Measures of Repeatability of Genotype by Location Interactions Using Data from Barley Trials in Northern Syria. Exp. Agric. 2006, 42, 189–198. [Google Scholar] [CrossRef]
  32. Yan, W. GGEbiplot—A Windows Application for Graphical Analysis of Multienvironment Trial Data and Other Types of Two-Way Data. Agron. J. 2001, 93, 1111–1118. [Google Scholar] [CrossRef]
  33. Yan, W.; Rajcan, I. Biplot Analysis of Test Sites and Trait Relations of Soybean in Ontario. Crop Sci. 2002, 42, 11–20. [Google Scholar] [CrossRef]
  34. Polar, V.; Ashby, J.A.; Thiele, G.; Tufan, H. When Is Choice Empowering? Examining Gender Differences in Varietal Adoption through Case Studies from Sub-Saharan Africa. Sustainability 2021, 13, 3678. [Google Scholar] [CrossRef]
  35. McMaster, G.S.; Wilhelm, W. Growing degree-days: One equation, two interpretations. Agric. For. Meteorol. 1997, 87, 291–300. [Google Scholar] [CrossRef]
  36. Costanzo, A.; Bàrberi, P. Field scale functional agrobiodiversity in organic wheat: Effects on weed reduction, disease susceptibility and yield. Eur. J. Agron. 2016, 76, 1–16. [Google Scholar] [CrossRef]
  37. Ghaouti, L.; Vogt-Kaute, W.; Link, W. Development of locally-adapted faba bean cultivars for organic conditions in Germany through a participatory breeding approach. Euphytica 2008, 162, 257–268. [Google Scholar] [CrossRef][Green Version]
  38. Messina, C.; Hammer, G.; Dong, Z.; Podlich, D.; Cooper, M. Modelling crop improvement in a G × E × M framework via gene-trait phenotype relationships. In Crop Physiology: Interfacing with Genetic Improvement and Agronomy; Sadras, V., Calderini, D., Eds.; Elsevier: Amsterdam, The Netherlands, 2009; pp. 235–265. [Google Scholar]
  39. Ceccarelli, S.; Grando, S. Return to agrobiodiversity: Participatory plant breeding. Diversity 2022, 14, 126. [Google Scholar] [CrossRef]
  40. Ceccarelli, S. Efficiency of plant breeding. Crop Sci. 2015, 55, 87–97. [Google Scholar] [CrossRef]
  41. Nature Food. Democratizing food systems. Nat. Food 2020, 1, 383. [Google Scholar] [CrossRef]
  42. Ceccarelli, S.; Grando, S.; Bailey, E.; Amri, A.; El Felah, M.; Nassif, F.; Rezgui, S.; Yahyaoui, A. Farmer Participation in Barley Breeding in Syria, Morocco and Tunisia. Euphytica 2001, 122, 521–536. [Google Scholar] [CrossRef]
  43. Ceccarelli, S. Evolution, plant breeding and biodiversity. J. Agric. Environ. Int. Dev. 2009, 103, 131–145. [Google Scholar]
  44. Ceccarelli, S.; Grando, S. Evolutionary Plant Breeding with an Introduction to Participatory Plant Breeding; Mimesis Edizioni: Milano, Italy, 2022; p. 170. Available online: https://www.researchgate.net/publication/361545173_Evolutionary_Plant_Breeding_with_an_Introduction_to_Participatory_Plant_Breeding (accessed on 15 June 2022).
  45. Allard, R.W.; Hansche, P.E. Some parameters of population variability and their implications in plant breeding. Adv. Agron. 1964, 16, 281–325. [Google Scholar]
  46. Jennings, P.R.; Herrera, R.M. Studies on Competition in Rice II. Competition in Segregating Populations. Evolution 1968, 22, 332–336. [Google Scholar] [CrossRef] [PubMed]
  47. Barot, S.; Allard, V.; Cantarel, A.; Enjalbert, J.; Gauffreteau, A.; Goldringer, I.; Lata, J.-C.; Le Roux, X.; Niboyet, A.; Porcher, E. Designing mixtures of varieties for multifunctional agriculture with the help of ecology. A review. Agron. Sustain. Dev. 2017, 37, 13. [Google Scholar] [CrossRef]
  48. Lazzaro, M.; Costanzo, A.; Bàrberi, P. Single vs multiple agroecosystem services provided by common wheat cultivar mixtures: Weed suppression, grain yield and quality. Field Crops Res. 2018, 221, 277–297. [Google Scholar] [CrossRef]
Figure 1. Thermal time and monthly rainfall in 2019 (left) and 2020 (right) in the four farms ((A) = Cascine Orsine, (B) = Terre di Lomellina, (C) = Marco Cuneo and (D) = Una Garlanda).
Figure 1. Thermal time and monthly rainfall in 2019 (left) and 2020 (right) in the four farms ((A) = Cascine Orsine, (B) = Terre di Lomellina, (C) = Marco Cuneo and (D) = Una Garlanda).
Sustainability 14 10604 g001aSustainability 14 10604 g001b
Figure 2. GGE biplot of standardized grain yield of 22 entries grown for two years (2019 and 2020) in four farms. Abbreviations for entries and farms are in Tables S1 and S2, respectively; 19 and 20 indicate 2019 and 2020, respectively.
Figure 2. GGE biplot of standardized grain yield of 22 entries grown for two years (2019 and 2020) in four farms. Abbreviations for entries and farms are in Tables S1 and S2, respectively; 19 and 20 indicate 2019 and 2020, respectively.
Sustainability 14 10604 g002
Figure 3. GGE biplot of standardized plant height of 22 entries grown for two years (2019 and 2020) in four farms. Abbreviations for entries and farms are in Tables S1 and S2, respectively; 19 and 20 indicate 2019 and 2020, respectively.
Figure 3. GGE biplot of standardized plant height of 22 entries grown for two years (2019 and 2020) in four farms. Abbreviations for entries and farms are in Tables S1 and S2, respectively; 19 and 20 indicate 2019 and 2020, respectively.
Sustainability 14 10604 g003
Figure 4. GGE biplot of standardized panicle length of 22 entries grown for two years (2019 and 2020) in four farms. Abbreviations for entries and farms are in Tables S1 and S2, respectively; 19 and 20 indicate 2019 and 2020, respectively.
Figure 4. GGE biplot of standardized panicle length of 22 entries grown for two years (2019 and 2020) in four farms. Abbreviations for entries and farms are in Tables S1 and S2, respectively; 19 and 20 indicate 2019 and 2020, respectively.
Sustainability 14 10604 g004
Figure 5. GGE biplot of standardized earliness of 22 entries grown for two years (2019 and 2020) in four farms. Abbreviations for entries and farms are in Tables S1 and S2, respectively; 19 and 20 indicate 2019 and 2020, respectively.
Figure 5. GGE biplot of standardized earliness of 22 entries grown for two years (2019 and 2020) in four farms. Abbreviations for entries and farms are in Tables S1 and S2, respectively; 19 and 20 indicate 2019 and 2020, respectively.
Sustainability 14 10604 g005
Figure 6. GGE biplot of standardized reaction to Fusarium of 22 entries grown for two years (2019 and 2020) in four farms. Abbreviations for entries and farms are in Tables S1 and S2, respectively; 19 and 20 indicate 2019 and 2020, respectively.
Figure 6. GGE biplot of standardized reaction to Fusarium of 22 entries grown for two years (2019 and 2020) in four farms. Abbreviations for entries and farms are in Tables S1 and S2, respectively; 19 and 20 indicate 2019 and 2020, respectively.
Sustainability 14 10604 g006
Figure 7. GGE biplot of standardized reaction to neck blast of 22 entries grown for two years (2019 and 2020) in four farms. Abbreviations for entries and farms are in Tables S1 and S2, respectively; 19 and 20. indicate 2019 and 2020, respectively.
Figure 7. GGE biplot of standardized reaction to neck blast of 22 entries grown for two years (2019 and 2020) in four farms. Abbreviations for entries and farms are in Tables S1 and S2, respectively; 19 and 20. indicate 2019 and 2020, respectively.
Sustainability 14 10604 g007
Figure 8. GGE biplot of standardized reaction to leaf blast of 22 entries grown for two years (2019 and 2020) in four farms. Abbreviations for entries and farms are in Tables S1 and S2, respectively; 19 and 20 indicate 2019 and 2020, respectively.
Figure 8. GGE biplot of standardized reaction to leaf blast of 22 entries grown for two years (2019 and 2020) in four farms. Abbreviations for entries and farms are in Tables S1 and S2, respectively; 19 and 20 indicate 2019 and 2020, respectively.
Sustainability 14 10604 g008
Figure 9. Dendrogram showing the hierarchical relationships between varieties (old in red, new in black) for grain yield as average of two years.
Figure 9. Dendrogram showing the hierarchical relationships between varieties (old in red, new in black) for grain yield as average of two years.
Sustainability 14 10604 g009
Figure 10. GGE biplot of standardized grain yield (GY), plant height (PH), peduncle length (PL), earliness heading time (HT), reaction to Fusarium (FUS), leaf blast (BLL) and neck blast (BLC) and participants’ evaluation (EV = all participants; FEV = female evaluation; MEV = male evaluation) of 22 entries grown in four farms for two years. Abbreviations for entries and farms are in Tables S1 and S2, respectively.
Figure 10. GGE biplot of standardized grain yield (GY), plant height (PH), peduncle length (PL), earliness heading time (HT), reaction to Fusarium (FUS), leaf blast (BLL) and neck blast (BLC) and participants’ evaluation (EV = all participants; FEV = female evaluation; MEV = male evaluation) of 22 entries grown in four farms for two years. Abbreviations for entries and farms are in Tables S1 and S2, respectively.
Sustainability 14 10604 g010
Publisher’s Note: MDPI stays neutral with regard to jurisdictional claims in published maps and institutional affiliations.

Share and Cite

MDPI and ACS Style

De Santis, G.; Ponzini, D.; Stentella, R.; Gaifami, T.; Bussi, B.; Caimo-Duc, R.; Stocchi, U.; Cuneo, M.; Paravicini, M.; Bocci, R.; et al. Participatory Evaluation of Rice Varieties for Specific Adaptation to Organic Conditions in Italy. Sustainability 2022, 14, 10604. https://doi.org/10.3390/su141710604

AMA Style

De Santis G, Ponzini D, Stentella R, Gaifami T, Bussi B, Caimo-Duc R, Stocchi U, Cuneo M, Paravicini M, Bocci R, et al. Participatory Evaluation of Rice Varieties for Specific Adaptation to Organic Conditions in Italy. Sustainability. 2022; 14(17):10604. https://doi.org/10.3390/su141710604

Chicago/Turabian Style

De Santis, Giuseppe, Daniela Ponzini, Rachele Stentella, Tommaso Gaifami, Bettina Bussi, Rosalia Caimo-Duc, Ugo Stocchi, Marco Cuneo, Marco Paravicini, Riccardo Bocci, and et al. 2022. "Participatory Evaluation of Rice Varieties for Specific Adaptation to Organic Conditions in Italy" Sustainability 14, no. 17: 10604. https://doi.org/10.3390/su141710604

APA Style

De Santis, G., Ponzini, D., Stentella, R., Gaifami, T., Bussi, B., Caimo-Duc, R., Stocchi, U., Cuneo, M., Paravicini, M., Bocci, R., Petitti, M., & Ceccarelli, S. (2022). Participatory Evaluation of Rice Varieties for Specific Adaptation to Organic Conditions in Italy. Sustainability, 14(17), 10604. https://doi.org/10.3390/su141710604

Note that from the first issue of 2016, this journal uses article numbers instead of page numbers. See further details here.

Article Metrics

Back to TopTop