Permeability-Enhancing Technology through Liquid CO2 Fracturing and Its Application
Abstract
:1. Introduction
2. Methodology
2.1. Model Construction and Parameter Setting
2.1.1. Model Assumptions
- (1)
- The seepage process in the coal rock satisfies the Biot consolidation theory and the modified Terzaghi effective stress principle.
- (2)
- The fine-scale unit body in the coal rock is elastic brittle and has residual strength, and its mechanical behavior is described by the elastic damage theory with the maximum tensile strain criterion and the Mohr Coulomb criterion as the threshold conditions for damage.
- (3)
- The permeability of the fine unit body in its elastic state satisfies the relationship between permeability and the stress–strain function, and the permeability increases after damage rupture.
- (4)
- The structure of coal rock is non-uniform, and the damage parameters of the fine-scale unit body of the coal rock satisfy the Weibull distribution, as in Equation (1):
2.1.2. Setting of the Numerical Model
2.1.3. Scheme Design and Material Parameters
2.2. Thermodynamic Analysis of CO2 Phase Change
2.3. Mechanical Properties and Permeability Characteristics of Coal
2.3.1. Mechanical Deformation Characteristics of Coal
2.3.2. Characteristics of Coal Permeability Variation
2.4. Mechanical Model and Mechanical Properties of Fracture Development
3. Results and Analysis
3.1. Analysis on Pressure on the Coal to Be Fractured
3.2. Analysis on the Stress on Coal
3.3. Analysis on the Displacement of Coal
3.4. The Influence of the Lateral Pressure Coefficient on the Crack-Initiation Direction of Coal
4. Field Test
4.1. Overview of the Coal Mine
4.2. Technological Equipment for LCPCF
4.3. Test Schemes
4.4. Observation of the Test Effects
4.4.1. Comparison of Permeability Coefficients
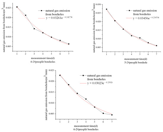
4.4.2. Comparison of the Natural Attenuation Coefficient of Gas Flows
4.4.3. Comparison of the Concentration and Pure Amount of Gas Extracted from the Boreholes
5. Conclusions
- (1)
- In the process of LCPCF, the crack-generation process changes with pressure as follows: microfractures–macrofractures–major macrofracture–macrofractures. The stress is incompletely symmetrically distributed in coal, being centered on the fracturing borehole during the development of fractures. Initially, the failure occurs stochastically in coal around the fracturing borehole; afterwards, the failure gradually propagates to the inner seam of coal with the increasing gas pressure.
- (2)
- The field test showed that the permeability coefficient of coal seams after increasing the permeability by LCPCF is 2.60~3.97 times that of coal seams without undergoing presplitting. In addition, the attenuation intensity of the natural gas emission from the presplit boreholes declines by 1.3~1.7 times. Within 20 days after gas drainage, the average concentration of gas extracted in the coal seam within the zone having undergone an increase in permeability through presplitting in the 2131 transportation roadway is 2.14 times greater than that of the zone without presplitting. The average pure amount of gas extracted within the zone having undergone an increase in permeability through presplitting is 3.78 times greater than that within the zone without presplitting.
- (3)
- Through the analysis of the fracture development and expansion pattern of fractured coal seams and the analysis of the actual effect of field experiments, it can be seen that CO2-LCPCF technology can improve the gas permeability of high gas and low permeability coal seams. This improves our understanding of CO2 fracturing in unconventional oil and gas extraction and can provide technical reference for coal mines with the same geological conditions.
Author Contributions
Funding
Data Availability Statement
Conflicts of Interest
References
- Liang, Y.P.; Ran, Q.C.; Zou, Q.L.; Zhang, B.C.; Hong, Y. Experimental Study of Mechanical Behaviors and Failure Characteristics of Coal Under True Triaxial Cyclic Loading and Unloading and Stress Rotation. Nat. Resour. Res. 2022, 31, 971–991. [Google Scholar] [CrossRef]
- Zou, Q.L.; Zhang, T.C.; Ma, T.F.; Tian, S.X.; Jia, X.Q.; Jiang, Z.B. Effect of water-based SiO2 nanofluid on surface wettability of raw coal. Energy 2022, 254, 124228. [Google Scholar] [CrossRef]
- Zou, Q.L.; Liu, H.; Jiang, Z.B.; Wu, X. Gas flow laws in coal subjected to hydraulic slotting and a prediction model for its permeability-enhancing effect. Energy Source Part A 2021, 1–15. [Google Scholar] [CrossRef]
- Liu, S.M.; Li, X.L.; Wang, D.K.; Zhang, D.M. Experimental Study on Temperature Response of Different Ranks of Coal to Liquid Nitrogen Soaking. Nat. Resour. Res. 2021, 30, 1467–1480. [Google Scholar] [CrossRef]
- Deng, B.Z.; Zhang, D.M.; Chen, J.Q. Dilation behavior and acoustic emission response to water/CO2 injection-induced shear fracturing in coal seams. J. Nat. Gas Sci. Eng. 2021, 94, 104105. [Google Scholar] [CrossRef]
- Wei, G.M.; Wen, H.; Deng, J.; Ma, L.; Li, Z.B.; Lei, C.K.; Fan, S.X.; Liu, Y. Liquid CO2 injection to enhance coalbed methane recovery: An experiment and in-situ application test. Fuel 2021, 284, 119043. [Google Scholar] [CrossRef]
- Zou, Q.L.; Zhang, T.C.; Cheng, Z.H.; Jiang, Z.B.; Tian, S.X. A method for selection rationality evaluation of the first-mining seam in multi-seam mining. Geomech. Geophys. Geo Energy Geo Resour. 2022, 8, 17. [Google Scholar] [CrossRef]
- Tu, Q.Y.; Cheng, Y.P.; Xue, S.; Ren, T.; Cheng, X. Energy-limiting factor for coal and gas outburst occurrence in intact coal seam. Int. J. Min. Sci. Technol. 2021, 31, 729–742. [Google Scholar] [CrossRef]
- Gong, F.Q.; Wang, Y.L.; Wang, Z.G.; Pan, J.F.; Luo, S. A new criterion of coal burst proneness based on the residual elastic energy index. Int. J. Min. Sci. Technol. 2021, 31, 553–563. [Google Scholar] [CrossRef]
- Wang, H.D.; Cheng, Z.H.; Zou, Q.L.; Li, Z.H.; Sun, F.L.; Yang, H.W.; Lei, Y. Elimination of coal and gas outburst risk of an outburst-prone coal seam using controllable liquid CO2 phase transition fracturing. Fuel 2021, 284, 119091. [Google Scholar] [CrossRef]
- Wang, W.; Li, H.; Liu, Y.W.; Liu, M.J.; Wang, H.F.; Li, W. Addressing the gas emission problem of the world’s largest coal producer and consumer: Lessons from the Sihe Coalfield, China. Energy Rep. 2020, 6, 3264–3277. [Google Scholar] [CrossRef]
- Chen, S.B.; Zhang, C.; Li, X.Y.; Zhang, Y.K.; Wang, X.Q. Simulation of methane adsorption in diverse organic pores in shale reservoirs with multi-period geological evolution. Int. J. Coal Sci. Technol. 2021, 8, 844–855. [Google Scholar] [CrossRef]
- Gao, H.K.; Wang, Q.; Jiang, B.; Zhang, P.; Jiang, Z.H.; Wang, Y. Relationship between rock uniaxial compressive strength and digital core drilling parameters and its forecast method. Int. J. Coal Sci. Technol. 2021, 8, 605–613. [Google Scholar] [CrossRef]
- Li, C.X.; Guo, D.M.; Zhang, Y.T.; An, C. Compound-mode crack propagation law of PMMA semicircular-arch roadway specimens under impact loading. Int. J. Coal Sci. Technol. 2021, 8, 1302–1315. [Google Scholar] [CrossRef]
- Fan, S.X.; Zhang, D.; Wen, H.; Cheng, X.J.; Liu, X.R.; Yu, Z.J.; Hu, B.S. Enhancing coalbed methane recovery with liquid CO2 fracturing in underground coal mine: From experiment to field application. Fuel 2021, 290, 119793. [Google Scholar] [CrossRef]
- Cheng, X.J.; Wen, H.; Fan, S.X.; Chen, J.; Zhai, X.W.; Yu, Z.J.; Tong, X.Z.; Lei, C.X.; Xu, Y.H.; Cheng, B.K.; et al. Liquid CO2 high-pressure fracturing of coal seams and gas extraction engineering tests using crossing holes: A case study of Panji Coal Mine No. 3, Huainan, China. Int. J. Energy Res. 2021, 45, 4565–4580. [Google Scholar] [CrossRef]
- Qin, J.H.; Zheng, J.; Li, L. An analytical solution to estimate the settlement of tailings or backfill slurry by considering the sedimentation and consolidation. Int. J. Min. Sci. Technol. 2021, 31, 463–471. [Google Scholar] [CrossRef]
- Moore, T.A. Coalbed methane: A review. Int. J. Coal Geol. 2012, 101, 36–81. [Google Scholar] [CrossRef]
- Liu, J.S.; Chen, Z.W.; Elsworth, D.; Qu, H.Y.; Chen, D. Interactions of multiple processes during CBM extraction: A critical review. Int. J. Coal Geol. 2011, 87, 175–189. [Google Scholar] [CrossRef]
- Jangara, H.; Ozturk, C.A. Longwall top coal caving design for thick coal seam in very poor strength surrounding strata. Int. J. Coal Sci. Technol. 2021, 8, 641–658. [Google Scholar] [CrossRef]
- Wang, J.C.; Yang, S.L.; Wei, W.J.; Zhang, J.W.; Song, Z.Y. Drawing mechanisms for top coal in longwall top coal caving (LTCC): A review of two decades of literature. Int. J. Coal Sci. Technol. 2021, 8, 1171–1196. [Google Scholar] [CrossRef]
- Chen, H.D.; Wang, Z.F.; Chen, X.E.; Chen, X.J.; Wang, L.G. Increasing permeability of coal seams using the phase energy of liquid carbon dioxide. J. CO2 Util. 2017, 19, 112–119. [Google Scholar] [CrossRef]
- Liu, H.; Lan, Z.X.; Wang, S.L.; Xu, J.G.; Zhao, C.X. Hydraulic fracture initiation mechanism in the definite plane perforating technology of horizontal well. Pet. Explor. Dev. 2015, 42, 869–875. [Google Scholar] [CrossRef]
- Zou, Q.L.; Lin, B.Q. Fluid-Solid Coupling Characteristics of Gas-Bearing Coal Subjected to Hydraulic Slotting: An Experimental Investigation. Energy Fuel 2018, 32, 1047–1060. [Google Scholar] [CrossRef]
- Zhang, X.G.; Ranjith, P.G.; Li, D.Y.; Perera, M.S.A.; Ranathunga, A.S.; Zhang, B.N. CO2 enhanced flow characteristics of naturally-fractured bituminous coals with N-2 injection at different reservoir depths. J. CO2 Util. 2018, 28, 393–402. [Google Scholar] [CrossRef]
- Wang, T.; Hu, W.R.; Elsworth, D.; Zhou, W.; Zhou, W.B.; Zhao, X.Y.; Zhao, L.Z. The effect of natural fractures on hydraulic fracturing propagation in coal seams. J. Petrol Sci. Eng. 2017, 150, 180–190. [Google Scholar] [CrossRef]
- Zhu, W.C.; Gai, D.; Wei, C.H.; Li, S.G. High-pressure air blasting experiments on concrete and implications for enhanced coal gas drainage. J. Nat. Gas Sci. Eng. 2016, 36, 1253–1263. [Google Scholar] [CrossRef] [Green Version]
- Yan, F.Z.; Lin, B.Q.; Zhu, C.J.; Shen, C.M.; Zou, Q.L.; Guo, C.; Liu, T. A novel ECBM extraction technology based on the integration of hydraulic slotting and hydraulic fracturing. J. Nat. Gas Sci. Eng. 2015, 22, 571–579. [Google Scholar] [CrossRef]
- Niu, Q.H.; Wang, W.; Liang, J.J.; Yuan, W.; Wen, L.; Chang, J.F.; Ji, Z.M.; Zhou, H.; Wang, Z.Z.; Jia, X.J. Investigation of the CO2 Flooding Behavior and Its Collaborative Controlling Factors. Energy Fuel 2020, 34, 11194–11209. [Google Scholar] [CrossRef]
- Liu, Y.L.; Xu, H.; Tang, D.Z.; Mathews, J.P.; Zhai, Y.Y.; Hou, W.; Li, S.; Tao, S.; Xiong, X.Y.; Wang, W. The impact of the coal macrolithotype on reservoir productivity, hydraulic fracture initiation and propagation. Fuel 2019, 239, 471–483. [Google Scholar] [CrossRef]
- Lines, A. Proactive interburden fracturing using UIS drilling with validation monitoring. Int. J. Min. Sci. Technol. 2021, 31, 3–7. [Google Scholar] [CrossRef]
- Zhu, W.C.; Wei, C.H.; Li, S.; Wei, J.; Zhang, M.S. Numerical modeling on destress blasting in coal seam for enhancing gas drainage. Int. J. Rock Mech. Min. 2013, 59, 179–190. [Google Scholar] [CrossRef]
- Ti, Z.Y.; Zhang, F.; Pan, J.; Ma, X.F.; Shang, Z. Permeability enhancement of deep hole pre-splitting blasting in the low permeability coal seam of the Nanting coal mine. PLoS ONE 2018, 13, e0199835. [Google Scholar] [CrossRef]
- Middleton, R.S.; Carey, J.W.; Currier, R.P.; Hyman, J.D.; Kang, Q.J.; Karra, S.; Jimenez-Martinez, J.; Porter, M.L.; Viswanathan, H.S. Shale gas and non-aqueous fracturing fluids: Opportunities and challenges for supercritical CO2. Appl. Energy 2015, 147, 500–509. [Google Scholar] [CrossRef] [Green Version]
- Liu, H.; Wang, F.; Zhang, J.; Meng, S.W.; Duan, Y.W. Fracturing with carbon dioxide: Application status and development trend. Pet. Explor. Dev. 2014, 41, 513–519. [Google Scholar] [CrossRef]
- Middleton, R.; Viswanathan, H.; Currier, R.; Gupta, R. CO2 as a fracturing fluid: Potential for commercial-scale shale gas production and CO2 sequestration. Energy Proced. 2014, 63, 7780–7784. [Google Scholar] [CrossRef] [Green Version]
- Wu, Y.; Tao, J.; Wang, J.H.; Zhang, Y.; Peng, S.H. Experimental investigation of shale breakdown pressure under liquid nitrogen pre-conditioning before nitrogen fracturing. Int. J. Min. Sci. Technol. 2021, 31, 611–620. [Google Scholar] [CrossRef]
- Li, Z.B.; Wei, G.M.; Liang, R.; Shi, P.P.; Wen, H.; Zhou, W.H. LCO2-ECBM technology for preventing coal and gas outburst: Integrated effect of permeability improvement and gas displacement. Fuel 2021, 285, 119219. [Google Scholar] [CrossRef]
- Yang, X.L.; Wen, G.C.; Sun, H.T.; Li, X.L.; Lu, T.K.; Dai, L.C.; Gao, J.; Li, L. Environmentally friendly techniques for high gas content thick coal seam stimulation-multi-discharge CO2 fracturing system. J. Nat. Gas Sci. Eng. 2019, 61, 71–82. [Google Scholar] [CrossRef]
- Yang, J.F.; Lian, H.J.; Li, L. Fracturing in coals with different fluids: An experimental comparison between water, liquid CO2, and supercritical CO2. Sci. Rep. 2020, 10, 18681. [Google Scholar] [CrossRef]
- Jiang, Y.D.; Luo, Y.H.; Lu, Y.Y.; Qin, C.; Liu, H. Effects of supercritical CO2 treatment time, pressure, and temperature on microstructure of shale. Energy 2016, 97, 173–181. [Google Scholar] [CrossRef]
- Othman, F.; Naufaliansyah, M.A.; Hussain, F. Effect of water salinity on permeability alteration during CO2 sequestration. Adv. Water Resour. 2019, 127, 237–251. [Google Scholar] [CrossRef]
- Zhang, K.Z.; Cheng, Y.P.; Li, W.; Wu, D.M.; Liu, Z.D. Influence of supercritical CO2 on pore structure and functional groups of coal: Implications for CO2 sequestration. J. Nat. Gas Sci. Eng. 2017, 40, 288–298. [Google Scholar] [CrossRef] [Green Version]
- Li, W.; Liu, Z.D.; Su, E.L.; Cheng, Y.P. Experimental Investigation on the Effects of Supercritical Carbon Dioxide on Coal Permeability: Implication for CO2 Injection Method. Energy Fuel 2019, 33, 503–512. [Google Scholar] [CrossRef]
- Siemons, N.; Busch, A. Measurement and interpretation of supercritical CO2 sorption on various coals. Int. J. Coal Geol. 2007, 69, 229–242. [Google Scholar] [CrossRef]
- Jessen, K.; Tang, G.Q.; Kovscek, A.R. Laboratory and simulation investigation of enhanced coalbed methane recovery by gas injection. Transport Porous Med. 2008, 73, 141–159. [Google Scholar] [CrossRef]
- Brochard, L.; Vandamme, M.; Pelenq, R.J.M.; Fen-Chong, T. Adsorption-Induced Deformation of Microporous Materials: Coal Swelling Induced by CO2-CH4 Competitive Adsorption. Langmuir 2012, 28, 2659–2670. [Google Scholar] [CrossRef] [PubMed]
- Niu, Q.H.; Cao, L.W.; Sang, S.X.; Zhou, X.Z.; Liu, S.Q. Experimental study of permeability changes and its influencing factors with CO2 injection in coal. J. Nat. Gas Sci. Eng. 2019, 61, 215–225. [Google Scholar] [CrossRef]
- Li, Q.Y.; Luo, D.Y.; Feng, G.W.; Ma, H.P.; Wei, X.N.; Chen, G. Dynamic Characteristics of Liquid CO2 Phase Change Fracturing, Using Experimental Technique. Geotech. Geol. Eng. 2019, 37, 3387–3398. [Google Scholar] [CrossRef]
- Dai, C.L.; Sun, X.; Sun, Y.P.; Zhao, M.W.; Du, M.Y.; Zou, C.W.; Guan, B.S. The effect of supercritical CO2 fracturing fluid retention-induced permeability alteration of tight oil reservoir. J. Pet. Sci. Eng. 2018, 171, 1123–1132. [Google Scholar] [CrossRef]
- Mosleh, M.H.; Turner, M.; Sedighi, M.; Vardon, P.J. Carbon dioxide flow and interactions in a high rank coal: Permeability evolution and reversibility of reactive processes. Int. J. Greenh. Gas Control 2018, 70, 57–67. [Google Scholar] [CrossRef] [Green Version]
- Liu, X.F.; Nie, B.S.; Guo, K.Y.; Zhang, C.P.; Wang, Z.P.; Wang, L.K. Permeability enhancement and porosity change of coal by liquid carbon dioxide phase change fracturing. Eng. Geol. 2021, 287, 106106. [Google Scholar] [CrossRef]
- Liu, X.F.; Wang, Z.P.; Song, D.Z.; He, X.Q.; Yang, T. Variations in surface fractal characteristics of coal subjected to liquid CO2 phase change fracturing. Int. J. Energy Res. 2020, 44, 8740–8753. [Google Scholar] [CrossRef]
- Liao, Z.W.; Liu, X.F.; Song, D.Z.; He, X.Q.; Nie, B.S.; Yang, T.; Wang, L.K. Micro-structural Damage to Coal Induced by Liquid CO2 Phase Change Fracturing. Nat. Resour. Res. 2021, 30, 1613–1627. [Google Scholar] [CrossRef]
- Li, Z.B.; Wang, F.S.; Shu, C.M.; Wen, H.; Wei, G.M.; Liang, R. Damage effects on coal mechanical properties and micro-scale structures during liquid CO2-ECBM process. J. Nat. Gas Sci. Eng. 2020, 83, 103579. [Google Scholar] [CrossRef]
- Sampath, K.H.S.M.; Perera, M.S.A.; Elsworth, D.; Ranjith, P.G.; Matthai, S.K.; Rathnaweera, T.; Zhang, G. Effect of coal maturity on CO2-based hydraulic fracturing process in coal seam gas reservoirs. Fuel 2019, 236, 179–189. [Google Scholar] [CrossRef]
- Xia, B.W.; Liu, X.F.; Song, D.Z.; He, X.Q.; Yang, T.; Wang, L.K. Evaluation of liquid CO2 phase change fracturing effect on coal using fractal theory. Fuel 2021, 287, 119569. [Google Scholar] [CrossRef]
- Liu, S.Q.; Fang, H.H.; Sang, S.X.; Ashutosh, T.; Wu, J.G.; Zhang, S.R.; Zhang, B. CO2 injectability and CH4 recovery of the engineering test in qinshui Basin, China based on numerical simulation. Int. J. Greenh. Gas Control 2020, 95, 102980. [Google Scholar] [CrossRef]
- Xia, Y.X.; Kang, J.S.; Cai, Y.N.; Zhao, W.X. The field test about CO2 in low permeability oilfield of Daqing outskirt. Adv. Mater. Res. 2013, 634–638, 3609–3612. [Google Scholar] [CrossRef]
- Wen, H.; Liu, M.Y.; Wei, G.M.; Zhai, X.W.; Fan, S.X.; Cheng, X.J.; Wang, H.; Hao, J.C. Gas Displacement Engineering Test by Combination of Low and Medium Pressure Injection with Liquid CO2 in High Gas and Low Permeability Coal Seam. Geofluids 2020, 2020, 8840602. [Google Scholar] [CrossRef]
- Li, Y. Numerical Simulation Study on the Effect of Dynamic Load Stress Waveform on Rock Crack Extension. Ph.D. Thesis, Dalian University of Technology, Liaoning, China, 2021. [Google Scholar]
- Su, E.L.; Liang, Y.P.; Zou, Q.L.; Xu, M.H.; Sasmito, A.P. Numerical analysis of permeability rebound and recovery during coalbed methane extraction: Implications for CO2 injection methods. Process Saf. Environ. 2021, 149, 93–104. [Google Scholar] [CrossRef]
- Zhao, Y.; Lin, B.Q.; Liu, T.; Kong, J.; Zheng, Y.N. Gas flow in hydraulic slotting-disturbed coal seam considering stress relief induced damage. J. Nat. Gas Sci. Eng. 2020, 75, 103160. [Google Scholar] [CrossRef]
- Zhang, B.C.; Liang, Y.P.; Sun, H.T.; Wang, K.Q.; Zou, Q.L. Evolution of mining-induced fractured zone height above a mined panel in longwall coal mining. Arab. J. Geosci. 2022, 15, 476. [Google Scholar] [CrossRef]
- Liu, H.F.; Zhu, C.Q.; Meng, Q.S.; Wang, X.; Li, X.G.; Wu, W.J. Model test on rock-socketed pile in reef limestone. Rock Soil Mech. 2018, 39, 1581–1588. [Google Scholar]
- Zhang, T.C.; Zou, Q.L.; Jia, X.Q.; Jiang, C.Z.; Niu, X.G. Effect of SiO2 nanofluid with different concentrations on the wettability of coal. Fuel 2022, 321, 124041. [Google Scholar] [CrossRef]
- Wang, X.; Shan, H.G.; Wang, X.H.; Zhu, C.Q. Strength Characteristics of Reef Limestone for Different Cementation Types. Geotech. Geol. Eng. 2020, 38, 79–89. [Google Scholar] [CrossRef]
- Zhang, B.C.; Sun, H.T.; Liang, Y.P.; Wang, K.Q.; Zou, Q.L. Characterization and quantification of mining-induced fractures in overlying strata: Implications for coalbed methane drainage. Nat. Resour. Res. 2019, 29, 2467–2480. [Google Scholar] [CrossRef]
- Zhang, T.C.; Zou, Q.L.; Jia, X.Q.; Liu, T.; Jiang, Z.B.; Tian, S.X.; Jiang, C.Z.; Cheng, Y.Y. Effect of cyclic water injection on the wettability of coal with different SiO2 nanofluid treatment time. Fuel 2022, 312, 122922. [Google Scholar] [CrossRef]
- Yuan, X.Y.; Xu, B.C.; Lei, H.M.; Luo, X.; Zhu, L.X.; Zhang, Y.M.; Mao, Y.W.; Liang, R.R. Effects of grape seed extract on meat color and premature browning of meat patties in high-oxygen packaging. J. Integr. Agric. 2022, 21, 2445–2455. [Google Scholar]





















| Strata | Material Parameters | Values | References |
|---|---|---|---|
| Roof and floor | Homogeneity | 4 | Li, 2021 [61] |
| Coal seam | Homogeneity | 2 | Li, 2021 [61] |
| Roof and floor | Elastic modulus | 18 | Li, 2021 [61] |
| Coal seam | Elastic modulus | 8 | Li, 2021 [61] |
| Roof and floor | Porosity | 0.13 | Su et al., 2021 [62] |
| Coal seam | Porosity | 0.16 | Su et al., 2021 [62] |
| Roof and floor | Poisson’s ratio | 0.26 | Li, 2021 [61] |
| Coal seam | Poisson’s ratio | 0.3 | Li, 2021 [61] |
| Roof and floor | Internal friction angle | 26 | Li, 2021 [61] |
| Coal seam | Internal friction angle | 31 | Li, 2021 [61] |
| Roof and floor | Compressive strength (MPa) | 18 | Su et al., 2021 [62] |
| Coal seam | Compressive strength (MPa) | 8 | Su et al., 2021 [62] |
| Roof and floor | Density (kg/m3) | 2150 | Su et al., 2021 [62] |
| Coal seam | Density (kg/m3) | 1510 | Su et al., 2021 [62] |
| Roof and floor | Permeability coefficient | 0.001 | Zhao et al., 2020 [63] |
| Coal seam | Permeability coefficient | 0.1 | Zhao et al., 2020 [63] |
| Roof and floor | Tensile strength (MPa) | 7 | Su et al., 2021 [62] |
| Coal seam | Tensile strength (MPa) | 0.6 | Su et al., 2021 [62] |
| Roof and floor | Pore pressure coefficient | 0.4 | Zhao et al., 2020 [63] |
| Coal seam | Pore pressure coefficient | 0.6 | Zhao et al., 2020 [63] |
| Test Time (d) | Borehole 1 | Borehole 2 | 4-2# | 5-2# | 6-2# |
|---|---|---|---|---|---|
| 1 | 0.0248 | 0.0271 | 0.0255 | 0.0272 | 0.0227 |
| 2 | 0.0192 | 0.0198 | 0.0212 | 0.0205 | 0.0184 |
| 3 | 0.0142 | 0.0132 | 0.0142 | 0.0156 | 0.0144 |
| 4 | 0.0090 | 0.0080 | 0.0121 | 0.0118 | 0.0118 |
| 5 | 0.0069 | 0.0045 | 0.0098 | 0.0105 | 0.0081 |
| 6 | 0.0041 | 0.0032 | 0.0081 | 0.0077 | 0.0052 |
| 7 | 0.0030 | 0.0020 | 0.0063 | 0.0060 | 0.0045 |
| Borehole Number | Borehole 1 | Borehole 2 | 4-2 | 5-2 | 6-2 |
|---|---|---|---|---|---|
| Permeability coefficient (m2/MPa2·d) | 0.9129 | 0.7228 | 2.3710 | 2.3778 | 2.8924 |
| Borehole Number | Borehole 1 | Borehole 2 | 4–2 | 5–2 | 6–2 |
|---|---|---|---|---|---|
| Attenuation coefficient (d−1) | 0.33027 | 0.40624 | 0.24273 | 0.25476 | 0.2592 |
Publisher’s Note: MDPI stays neutral with regard to jurisdictional claims in published maps and institutional affiliations. |
© 2022 by the authors. Licensee MDPI, Basel, Switzerland. This article is an open access article distributed under the terms and conditions of the Creative Commons Attribution (CC BY) license (https://creativecommons.org/licenses/by/4.0/).
Share and Cite
Jiang, Z.; Quan, X.; Tian, S.; Liu, H.; Guo, Y.; Fu, X.; Yang, X. Permeability-Enhancing Technology through Liquid CO2 Fracturing and Its Application. Sustainability 2022, 14, 10438. https://doi.org/10.3390/su141610438
Jiang Z, Quan X, Tian S, Liu H, Guo Y, Fu X, Yang X. Permeability-Enhancing Technology through Liquid CO2 Fracturing and Its Application. Sustainability. 2022; 14(16):10438. https://doi.org/10.3390/su141610438
Chicago/Turabian StyleJiang, Zebiao, Xiping Quan, Shixiang Tian, Hao Liu, Yaling Guo, Xiangxiang Fu, and Xifa Yang. 2022. "Permeability-Enhancing Technology through Liquid CO2 Fracturing and Its Application" Sustainability 14, no. 16: 10438. https://doi.org/10.3390/su141610438
APA StyleJiang, Z., Quan, X., Tian, S., Liu, H., Guo, Y., Fu, X., & Yang, X. (2022). Permeability-Enhancing Technology through Liquid CO2 Fracturing and Its Application. Sustainability, 14(16), 10438. https://doi.org/10.3390/su141610438
