Land Use-Based Participatory Assessment of Ecosystem Services for Ecological Restoration in Village Tank Cascade Systems of Sri Lanka
Abstract
:1. Introduction
2. Materials and Methods
2.1. Study Area
2.2. Approach and Data Collection
2.3. Preparation of LUS Units Field Basemap
2.4. Inventorying and Prioritisation of ESs
2.5. Assessment of ESs’ Supply and Demand
2.6. Mapping of ESS Capacity
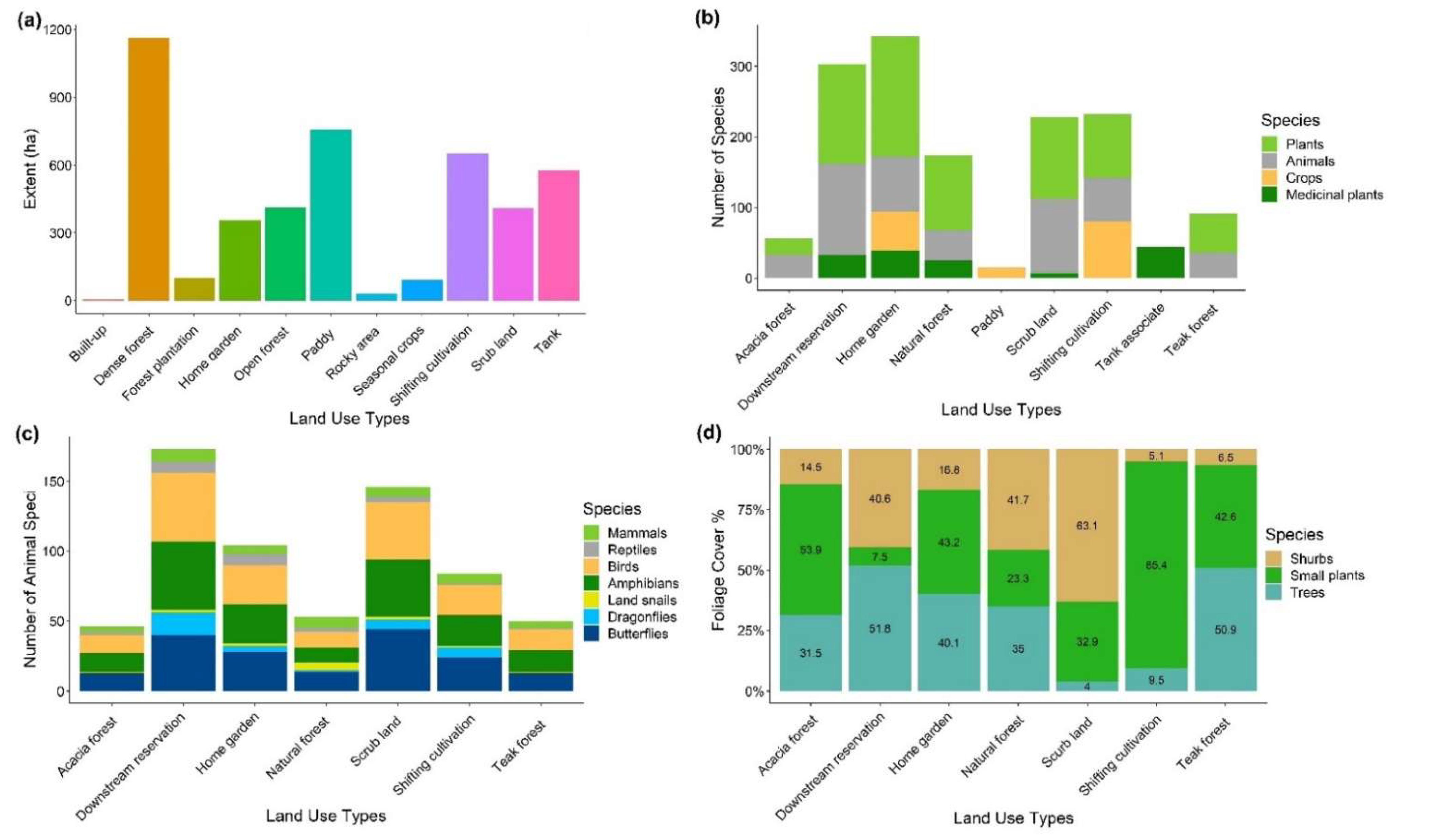
3. Results
3.1. Informants of the PRA
3.2. Establishment of ESs Priorities
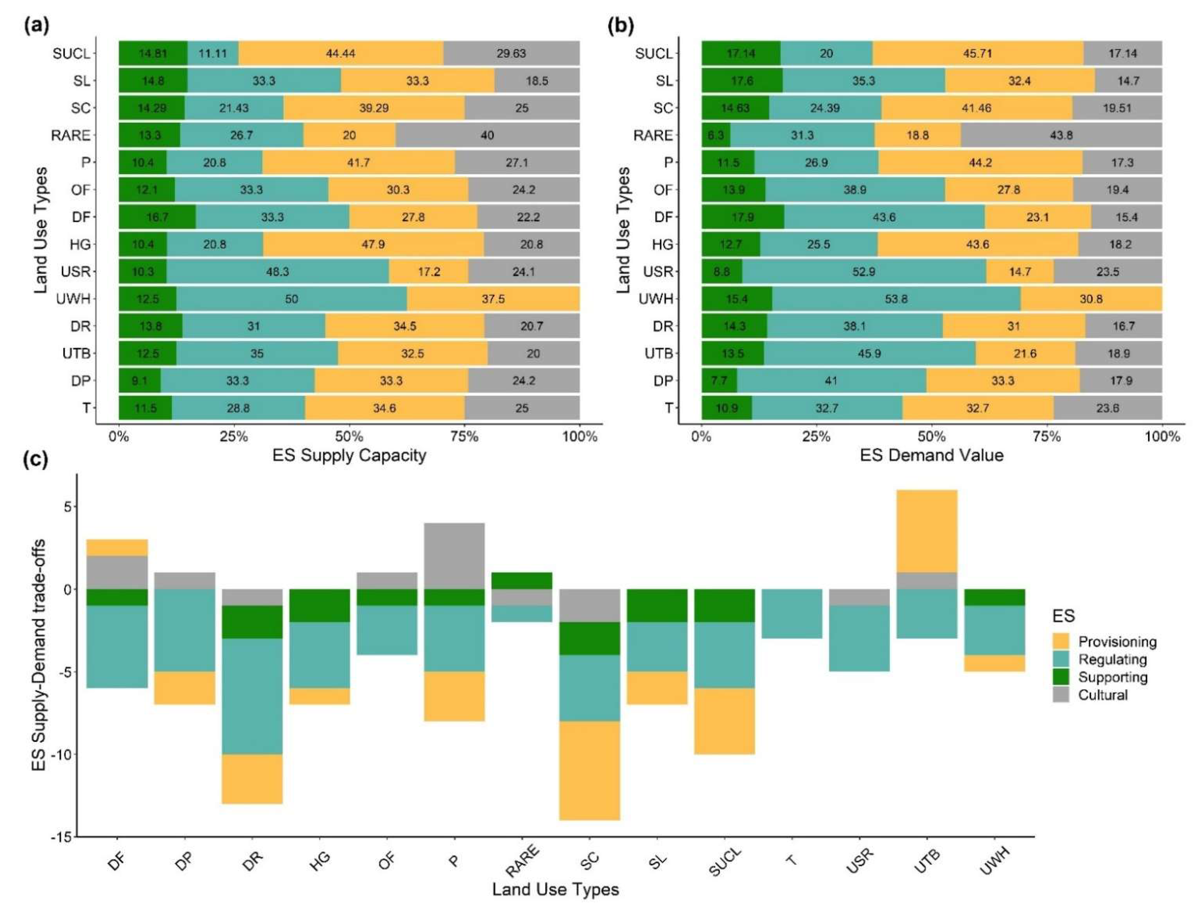
3.3. Ecosystem Services’ Supply and Demand
3.4. Spatial Variation in ESS
4. Discussion
5. Conclusions
Author Contributions
Funding
Institutional Review Board Statement
Informed Consent Statement
Data Availability Statement
Acknowledgments
Conflicts of Interest
References
- FAO. “Globally Important Agricultural Heritage Systems” (GIAHS). Available online: http://www.fao.org/giahs/en/ (accessed on 26 June 2021).
- Jiao, Y.; Liang, L.; Okuro, T.; Takeuchi, K. Ecosystem services and biodiversity of traditional agricultural landscapes: A case study of the hani terraces in Southwest China. In Biocultural Landscapes; Hong, S.K., Bogaert, J., Min, Q., Eds.; Springer: Dordrecht, Germany, 2014; pp. 81–88. [Google Scholar]
- Gu, H.; Sbramanian, S. Socio-Ecological Production Landscapes: Relevance to the Green Economy Agenda; United Nations University Institute of Advanced Studies (UNU-IAS): Yokohama, Japan, 2012; p. 66. [Google Scholar]
- Wu, L.; Avishek, A. Restoring the Ecological Foundation for Food Security: A Soil Organic Matter Perspective; UNEP Policy Brief-12; Liu, J., Khan, A., Gommes, R.A., Oduor, A.M.O., Munang, R., Eds.; United Nations Environemnt Programme (UNEP): Nairobi, Kenya, 2013; p. 16. [Google Scholar]
- Koohafkan, P.; Altieri, M.A. Globally Important Agricultural Heritage Systems: A Legacy for the Future; FAO—Food and Agriculture Organization of the United Nations: Rome, Italy, 2011; p. 41. [Google Scholar]
- Lu, N.; Wang, M.; Ning, B.; Yu, D.; Fu, B. Research advances in ecosystem services in drylands under global environmental changes. Curr. Opin. Environ. Sustain. 2018, 33, 92–98. [Google Scholar] [CrossRef]
- Fisher, B.; Turner, R.K.; Morling, P. Defining and classifying ecosystem services for decision making. Ecol. Econ. 2009, 68, 643–653. [Google Scholar] [CrossRef]
- Reid, W.V.; Mooney, H.A.; Cropper, A.; Capistrano, D.; Carpenter, S.R.; Chopra, K.; Dasgupta, P.; Dietz, T.; Duraiappah, A.K.; Hassan, R.; et al. Ecosystems and Human Well-Being-SYNTHESIS: A Report of the Millennium Ecosystem Assessment (MEA); Island Press: Washington, DC, USA, 2005; p. 137. [Google Scholar]
- Brück, M.; Abson, D.J.; Fischer, J.; Schultner, J. Broadening the scope of ecosystem services research: Disaggregation as a powerful concept for sustainable natural resource management. Ecosyst. Serv. 2022, 53, 101399. [Google Scholar] [CrossRef]
- Abeywardana, N.; Schütt, B.; Wagalawatta, T.; Bebermeier, W. Indigenous agricultural systems in the dry zone of Sri Lanka: Management transformation assessment and sustainability. Sustainability 2019, 11, 910. [Google Scholar] [CrossRef]
- Chandrasekara, S.S.K.; Chandrasekara, S.K.; Gamini, P.H.S.; Obeysekera, J.; Manthrithilake, H.; Kwon, H.; Vithanage, M. A review on water governance in Sri Lanka: The lessons learnt for future water policy formulation. Water Policy 2021, 23, 255–273. [Google Scholar] [CrossRef]
- Dharmasena, P.B. Cascaded Tank-Village System: Present status and prospects. In Agricultural Research for Sustainable Food Systems in Sri Lanka; Marambe, B., Weerahewa, J., Dandeniya, W.S., Eds.; Springer: Singapore, 2020; pp. 63–75. [Google Scholar]
- Ratnayake, S.S.; Kumar, L.; Dharmasena, P.B.; Kadupitiya, H.K.; Kariyawasam, C.S.; Hunter, D. Sustainability of Village Tank Cascade Systems of Sri Lanka: Exploring cascade anatomy and socio-ecological nexus for ecological restoration planning. Challenges 2021, 12, 24. [Google Scholar] [CrossRef]
- Vidanage, S.P.; Kotagama, H.B.; Dunusinghe, P.M. Sri Lanka’s small tank cascade systems: Building agricultural resilience in the dry zone. In Climate Change and Community Resilience; Haque, A.K.K., Mukhopadhyay, P., Nepal, M., Shammin Md, R., Eds.; Springer: Singapore, 2022; pp. 225–235. [Google Scholar]
- Vidanage, S.P. Economic Value of an Ancient Small Tank Cascade System in Sri Lanka. Ph.D. Thesis, University of Colombo, Colombo, Sri Lamka, 2020. [Google Scholar]
- Vidanage, S.; Perera, S.; Kallesoe, M. The Value of Traditional Water Schemes: Small Tanks in the Kala Oya Basin, Sri Lanka; IUCN Water, Nature and Economics Technical Paper No. 6; IUCN—The International Union for Conservation of Nature: Colombo, Sri Lanka, 2005; pp. 1–76. [Google Scholar]
- Dilhari, W.A.D.S.; Weerahewa, J. Valuing ecosystem services provided by Minor Village Tanks in the Dry Zone of Sri Lanka. In Proceedings of the Cascade Ecology and Management, University of Peradeniya, Faculty of Agriculture, Peradeniya, Sri Lanka, 17–18 September 2021. [Google Scholar]
- Zubair, L. Modernisation of Sri Lanka’s traditional irrigation systems and sustainability. Sci. Technol. Soc. 2005, 10, 161–195. [Google Scholar] [CrossRef]
- Bhatta, L.D.; Chaudhary, S.; Pandit, A.; Baral, H.; Das, P.J.; Stork, N.E. Ecosystem service changes and livelihood impacts in the Maguri-Motapung wetlands of Assam, India. Land 2016, 5, 15. [Google Scholar] [CrossRef]
- Anuradha, J.M.P.N.; Fujimura, M.; Inaoka, T.; Sakai, N. The role of agricultural land use pattern dynamics on elephant habitat depletion and human-elephant conflict in Sri Lanka. Sustainability 2019, 11, 2818. [Google Scholar] [CrossRef]
- Ranagalage, M.; Gunarathna, M.H.J.P.; Surasinghe, T.D.; Dissanayake, D.; Simwanda, M.; Murayama, Y.; Morimoto, T.; Phiri, D.; Nyirenda, V.R.; Premakantha, K.T.; et al. Multi-decadal forest-cover dynamics in the tropical realm: Past trends and policy insights for forest conservation in dry zone of Sri Lanka. Forests 2020, 11, 836. [Google Scholar] [CrossRef]
- Bhandari, P.; Mohan, K.C.; Shrestha, S.; Aryal, A.; Shrestha, B.U. Assessments of ecosystem service indicators and stakeholder’s willingness to pay for selected ecosystem services in the Chure region of Nepal. Appl. Geogr. 2016, 69, 25–34. [Google Scholar] [CrossRef]
- Timberlake, T.P.; Cirtwill, A.R.; Baral, S.C.; Bhusal, D.R.; Devkota, K.; Harris-Fry, H.A.; Kortsch, S.; Myers, S.S.; Roslin, T.; Saville, N.M. A network approach for managing ecosystem services and improving food and nutrition security on smallholder farms. People Nat. 2022, 4, 563–575. [Google Scholar] [CrossRef]
- Marambe, B.; Pushpakumara, G.; Silva, P. Biodiversity and agrobiodiversity in Sri Lanka: Village Tank Systems. In The Biodiversity Observation Network in the Asia-Pacific Region; Nakano, S., Yahara, T., Nakashizuka, T., Eds.; Ecological Research Monographs, Springer: Tokyo, Japan, 2012; pp. 403–430. [Google Scholar]
- Goonatilake, S.d.A.; Ekanayake, S.P.; Perera, N.; Wijenayake, T.; Wadugodapitiya, A. Biodiversity and Ethnobiology of the Kapiriggama Small Tank Cascade System in Sri Lanka; IUCN Programme on Restoring Traditional Cascading Tank Systems Technical Note 2; IUCN—The International Union for Conservation of Nature: Colombo, Sri Lanka, 2015; p. 189. [Google Scholar]
- Zhang, X.; Estoque, R.C.; Xie, H.; Murayama, Y.; Ranagalage, M. Bibliometric analysis of highly cited articles on ecosystem services. PLoS ONE 2019, 14, e0210707. [Google Scholar] [CrossRef] [PubMed]
- Díaz, S.M.; Settele, J.; Brondízio, E.; Ngo, H.; Guèze, M.; Agard, J.; Arneth, A.; Balvanera, P.; Brauman, K.; Butchart, S. The IPBES conceptual framework—Connecting nature and people. Curr. Opin. Environ. Sustain. 2015, 14, 1–16. [Google Scholar] [CrossRef]
- Müller, F.; Fohrer, N.; Chicharo, L. The basic ideas of the ecosystem service concept. In Ecosystem Services and River Basin Ecohydrology; Chicharo, L., Müller, F., Fohrer, N., Eds.; Springer: Dordrecht, Germany, 2015; pp. 7–33. [Google Scholar]
- Burkhard, B.; Müller, A.; Müller, F.; Grescho, V.; Anh, Q.; Arida, G.; Bustamante, J.V.J.; Van Chien, H.; Heong, K.L.; Escalada, M. Land cover-based ecosystem service assessment of irrigated rice cropping systems in southeast Asia—An explorative study. Ecosyst. Serv. 2015, 14, 76–87. [Google Scholar] [CrossRef]
- Burkhard, B.; Kroll, F.; Nedkov, S.; Müller, F. Mapping ecosystem service supply, demand and budgets. Ecol. Indic. 2012, 21, 17–29. [Google Scholar] [CrossRef]
- Casado-Arzuaga, I.; Madariaga, I.; Onaindia, M. Perception, demand and user contribution to ecosystem services in the Bilbao Metropolitan Greenbelt. J. Environ. Manag. 2013, 129, 33–43. [Google Scholar] [CrossRef] [PubMed]
- Burkhard, B.; Kroll, F.; Müller, F.; Windhorst, W. Landscapes’ capacities to provide ecosystem services-a concept for land-cover based assessments. Landsc. Online 2009, 15, 1–22. [Google Scholar] [CrossRef]
- Jacobs, S.; Wolfstein, K.; Vandenbruwaene, W.; Vrebos, D.; Beauchard, O.; Maris, T.; Meire, P. Detecting ecosystem service trade-offs and synergies: A practice-oriented application in four industrialized estuaries. Ecosyst. Serv. 2015, 16, 378–389. [Google Scholar] [CrossRef]
- Burkhard, B.; Kandziora, M.; Hou, Y.; Müller, F. Ecosystem service potentials, flows and demands-concepts for spatial localisation, indication and quantification. Landsc. Online 2014, 34, 1–32. [Google Scholar] [CrossRef]
- Reyers, B.; Biggs, R.; Cumming, G.S.; Elmqvist, T.; Hejnowicz, A.P.; Polasky, S. Getting the measure of ecosystem services: A social–ecological approach. Front. Ecol. Environ. 2013, 11, 268–273. [Google Scholar] [CrossRef]
- Paudyal, K.; Baral, H.; Burkhard, B.; Bhandari, S.P.; Keenan, R.J. Participatory assessment and mapping of ecosystem services in a data-poor region: Case study of community-managed forests in central Nepal. Ecosyst. Serv. 2015, 13, 81–92. [Google Scholar] [CrossRef]
- Palomo, I.; Felipe-Lucia, M.R.; Bennett, E.M.; Martín-López, B.; Pascual, U. Chapter six -Disentangling the pathways and effects of ecosystem service co-production. Adv. Ecol. Res. 2016, 54, 245–283. [Google Scholar]
- Baral, H.; Keenan, R.J.; Fox, J.C.; Stork, N.E.; Kasel, S. Spatial assessment of ecosystem goods and services in complex production landscapes: A case study from south-eastern Australia. Ecol. Complex. 2013, 13, 35–45. [Google Scholar] [CrossRef]
- Orsi, F.; Ciolli, M.; Primmer, E.; Varumo, L.; Geneletti, D. Mapping hotspots and bundles of forest ecosystem services across the European Union. Land Use Policy 2020, 99, 104840. [Google Scholar] [CrossRef]
- Sarathchandra, C.; Abebe, Y.A.; Wijerathne, I.L.; Aluthwattha, S.T.; Wickramasinghe, S.; Ouyang, Z. An overview of ecosystem service studies in a tropical biodiversity hotspot, Sri Lanka: Key perspectives for future research. Forests 2021, 12, 540. [Google Scholar] [CrossRef]
- Hamann, M.; Biggs, R.; Reyers, B. An exploration of human well-being bundles as identifiers of ecosystem service use patterns. PLoS ONE 2016, 11, e0163476. [Google Scholar] [CrossRef]
- Hamann, M.; Biggs, R.; Reyers, B. Mapping social–ecological systems: Identifying ‘green-loop’and ‘red-loop’dynamics based on characteristic bundles of ecosystem service use. Glob. Environ. Chang. 2015, 34, 218–226. [Google Scholar] [CrossRef]
- Huntsinger, L.; Oviedo, J.L. Ecosystem services are social–ecological services in a traditional pastoral system: The case of California’s Mediterranean rangelands. Ecol. Soc. 2014, 19, 8. [Google Scholar] [CrossRef]
- Meacham, M.; Norström, A.V.; Peterson, G.D.; Andersson, E.; Bennett, E.M.; Biggs, R.; Crouzat, E.; Cord, A.F.; Enfors, E.; Felipe-Lucia, M.R. Advancing research on ecosystem service bundles for comparative assessments and synthesis. Ecosyst. People 2022, 18, 99–111. [Google Scholar] [CrossRef]
- Ceaușu, S.; Apaza-Quevedo, A.; Schmid, M.; Martín-López, B.; Cortés-Avizanda, A.; Maes, J.; Brotons, L.; Queiroz, C.; Pereira, H.M. Ecosystem service mapping needs to capture more effectively the biodiversity important for service supply. Ecosyst. Serv. 2021, 48, 101259. [Google Scholar] [CrossRef]
- Peng, H.; Hua, L.; Zhang, X.; Yuan, X.; Li, J. Evaluation of ESV change under urban expansion based on ecological sensitivity: A case study of three gorges reservoir area in China. Sustainability 2021, 13, 8490. [Google Scholar] [CrossRef]
- Alamgir, M.; Pert, P.L.; Turton, S.M. A review of ecosystem services research in Australia reveals a gap in integrating climate change and impacts on ecosystem services. Int. J. Biodivers. Sci. Ecosyst. Serv. Manag. 2014, 10, 112–127. [Google Scholar] [CrossRef]
- Oliver, I.; Parkes, D. A Prototype Toolkit for Scoring the Biodiversity Benefits of Land Use Change; NSW Department of Infrastructure Planning and Natural Resources: Parramatta, Australia, 2003; p. 40. [Google Scholar]
- Smiraglia, D.; Ceccarelli, T.; Bajocco, S.; Salvati, L.; Perini, L. Linking trajectories of land change, land degradation processes and ecosystem services. Environ. Res. 2016, 147, 590–600. [Google Scholar] [CrossRef] [PubMed]
- Bunning, S.; McDonagh, J.; Rioux, J. Land Degradation Assessmentin Drylands (LADA): Manual for Local Level Assessment of Land Degradation and Sustainable Land Management; FAO—Food and Agriculture Organization of The United Nations: Rome, Italy, 2016; p. 183. [Google Scholar]
- Shepherd, K.D.; Shepherd, G.; Walsh, M.G. Land health surveillance and response: A framework for evidence-informed land management. Agric. Syst. 2015, 132, 93–106. [Google Scholar] [CrossRef]
- Ji, Z.; Xu, Y.; Wei, H. Identifying dynamic changes in ecosystem services supply and demand for urban sustainability: Insights from a rapidly urbanizing city in Central China. Sustainability 2020, 12, 3428. [Google Scholar] [CrossRef]
- Crossman, N.D.; Burkhard, B.; Nedkov, S.; Willemen, L.; Petz, K.; Palomo, I.; Drakou, E.G.; Martín-Lopez, B.; McPhearson, T.; Boyanova, K. A blueprint for mapping and modelling ecosystem services. Ecosyst. Serv. 2013, 4, 4–14. [Google Scholar] [CrossRef]
- IUCN. Tank Ecosystem Restoration of the Kapiriggama Small Tank Cascade System; IUCN Programme on Restoring Traditional Cascading Tank Systems Technical Note 3; IUCN—The International Union for Conservation of Nature: Colombo, Sri Lanka, 2015; p. 29. [Google Scholar]
- Ekanayake, S.P.; Ratnayake, S.S.; Sugathadasa, S.; Rajapakse, R.M. Chapter Three—Biodiversity baseline assessment. In Baseline Assessment of the UNEP-GEF Managing Agricultural Landscapes in Socio-ecologically Sensitive Areas to Promote Food Security, Well-being and Ecosystem Health—Healthy landscapes Project; Dharmasena, P.B., Kadupitiya, H.K., Ratnayake, S.S., Eds.; SACEP—South Asia Co-Operative Environment Programme: Colombo, Sri Lanka, 2020; pp. 151–219. [Google Scholar]
- Kadupitiya, H.K.; De Silva, S.H.S.A.; Dilshani, D.G.S.; Weerasinghe, P. Use of smartphones for rapid location tracking in mega scale soil sampling. Open J. Appl. Sci. 2021, 11, 239. [Google Scholar] [CrossRef]
- Haines-Young, R.; Potschin-Young, M. Revision of the common international classification for ecosystem services (CICES V5.1): A policy brief. One Ecosyst. 2018, 3, e27108. [Google Scholar] [CrossRef]
- López-Marrero, T.; Hermansen-Báez, L.A. Participatory Listing, Ranking, And Scoring of Ecosystem Services and Drivers of Change; USDA Forest Service, Southern Research Station: Gainesville, FL, USA, 2011; p. 7. [Google Scholar]
- Rey-Valette, H.; Mathé, S.; Salles, J.M. An assessment method of ecosystem services based on stakeholders perceptions: The Rapid Ecosystem Services Participatory Appraisal (RESPA). Ecosyst. Serv. 2017, 28, 311–319. [Google Scholar] [CrossRef]
- Wickham, H. ggplot2: Elegant Graphics for Data Analysis; Springer: New York, NY, USA, 2016. [Google Scholar]
- Syrbe, R.-U.; Grunewald, K. Ecosystem service supply and demand–the challenge to balance spatial mismatches. Int. J. Biodivers. Sci. Ecosyst. Serv. Manag. 2017, 13, 148–161. [Google Scholar] [CrossRef]
- Jacobs, S.; Burkhard, B.; Van Daele, T.; Staes, J.; Schneiders, A. ‘The Matrix Reloaded’: A review of expert knowledge use for mapping ecosystem services. Ecol. Modell. 2015, 295, 21–30. [Google Scholar] [CrossRef]
- Mastrandrea, M.D.; Mach, K.J.; Plattner, G.K.; Edenhofer, O.; Stocker, T.F.; Field, C.B.; Ebi, K.L.; Matschoss, P.R. The IPCC AR5 guidance note on consistent treatment of uncertainties: A common approach across the working groups. Clim. Chang. 2011, 108, 675–691. [Google Scholar] [CrossRef]
- Nakazawa, M. Package ‘fmsb’. Available online: https://cran.r-project.org/web/packages/fmsb/fmsb.pdf (accessed on 18 January 2022).
- Simpson, E.H. Measurement of diversity. Nature 1949, 163, 688. [Google Scholar] [CrossRef]
- García, C.L.; Teich, I.; Gonzalez-Roglich, M.; Kindgard, A.F.; Ravelo, A.C.; Liniger, H. Land degradation assessment in the Argentinean Puna: Comparing expert knowledge with satellite-derived information. Environ. Sci. Policy 2019, 91, 70–80. [Google Scholar] [CrossRef]
- NRMC. Assessment and Mapping of Land Degradation and Conservation: Kandy, Nuwara Eliya and Badulla Districts of Sri Lanka; Rehabilitation of Degraded Agricultural Lands (RDAL) Project; NRMC—Natural Resources Management Centre, Department of Agriculture: Peradeniya, Sri Lanka, 2021; p. 63. [Google Scholar]
- Dharmasena, P. Evolution of hydraulic societies in the ancient Anuradhapura Kingdom of Sri Lanka. In Landscapes and Societies; Martini, I., Chesworth, W., Eds.; Springer: Dordrecht, Germany, 2010; pp. 341–352. [Google Scholar]
- Barral, M.P.; Benayas, J.M.R.; Meli, P.; Maceira, N.O. Quantifying the impacts of ecological restoration on biodiversity and ecosystem services in agroecosystems: A global meta-analysis. Agric. Ecosyst. Environ. 2015, 202, 223–231. [Google Scholar] [CrossRef]
- Prober, S.M.; Byrne, M.; McLean, E.H.; Steane, D.A.; Potts, B.M.; Vaillancourt, R.E.; Stock, W.D. Climate-adjusted provenancing: A strategy for climate-resilient ecological restoration. Front. Ecol. Environ. 2015, 3, 65. [Google Scholar] [CrossRef]
- Macfadyen, S.; Cunningham, S.A.; Costamagna, A.C.; Schellhorn, N.A. Managing ecosystem services and biodiversity conservation in agricultural landscapes: Are the solutions the same? J. Appl. Ecol. 2012, 49, 690–694. [Google Scholar] [CrossRef]
- Fischer, J.; Riechers, M.; Loos, J.; Martin-Lopez, B.; Temperton, V.M. Making the UN decade on ecosystem restoration a social-ecological endeavour. Trends Ecol. Evol. 2021, 36, 20–28. [Google Scholar] [CrossRef]
- Heger, T.; Jeschke, J.M.; Febria, C.; Kollmann, J.; Murphy, S.; Rochefort, L.; Shackelford, N.; Temperton, V.M.; Higgs, E. Mapping and assessing the knowledge base of ecological restoration. Restor. Ecol. 2022, e13676. [Google Scholar] [CrossRef]
- Clewell, A.F.; Aronson, J. Ecological Restoration: Principles, Values, and Structure of An Emerging Profession; Island Press: Washington, DC, USA, 2012. [Google Scholar]
- Luck, G.W.; Harrington, R.; Harrison, P.A.; Kremen, C.; Berry, P.M.; Bugter, R.; Dawson, T.P.; De Bello, F.; Díaz, S.; Feld, C.K. Quantifying the contribution of organisms to the provision of ecosystem services. BioScience 2009, 59, 223–235. [Google Scholar] [CrossRef]
- Gann, G.D.; McDonald, T.; Walder, B.; Aronson, J.; Nelson, C.R.; Jonson, J.; Hallett, J.G.; Eisenberg, C.; Guariguata, M.R.; Liu, J. International principles and standards for the practice of ecological restoration. Restor. Ecol. 2019, 27, S1–S46. [Google Scholar] [CrossRef]
- Locatelli, B.; Lavorel, S.; Sloan, S.; Tappeiner, U.; Geneletti, D. Characteristic trajectories of ecosystem services in mountains. Front. Ecol. Environ. 2017, 15, 150–159. [Google Scholar] [CrossRef]
- Liang, J.; Li, S.; Li, X.; Li, X.; Liu, Q.; Meng, Q.; Lin, A.; Li, J. Trade-off analyses and optimization of water-related ecosystem services (WRESs) based on land use change in a typical agricultural watershed, southern China. J. Clean. Prod. 2021, 279, 123851. [Google Scholar]
- Ausseil, A.-G.; Dymond, J.R.; Kirschbaum, M.U.F.; Andrew, R.M. Assessment of multiple ecosystem services in New Zealand at the catchment scale. Environ. Modell. Softw. 2013, 43, 37–48. [Google Scholar] [CrossRef]
- Li, B.; Chen, D.; Wu, S.; Zhou, S.; Wang, T.; Chen, H. Spatio-temporal assessment of urbanization impacts on ecosystem services: Case study of Nanjing City, China. Ecol. Indic. 2016, 71, 416–427. [Google Scholar] [CrossRef]
- Wei, Y.; Wu, S.; Jiang, C.; Feng, X. Managing supply and demand of ecosystem services in dryland catchments. Curr. Opin. Environ. Sustain. 2021, 48, 10–16. [Google Scholar] [CrossRef]
- Dharmasena, P.B. Environmental Richness in The Dry Zone Home Gardens in Sri Lanka. In Proceedings of the Eighth National Workshop on Multipurpose Trees, Kandy, Sri Lanka, 23–25 October 1997. [Google Scholar]
- Potschin, M.; Haines-Young, R. Defining and measuring ecosystem services. In Routledge Handbook of Ecosystem Services; Potschin, M., Haines-Young, R., Fish, R., Turner, R.K., Eds.; Routledge: London, UK; New York, NY, USA, 2016; pp. 25–44. [Google Scholar]
- Nyumba, T.O.; Wilson, K.; Derrick, C.J.; Mukherjee, N. The use of focus group discussion methodology: Insights from two decades of application in conservation. Methods Ecol. Evol. 2018, 9, 20–32. [Google Scholar] [CrossRef]
- Schröter, M.; Remme, R.P.; Hein, L. How and where to map supply and demand of ecosystem services for policy-relevant outcomes? Letter to the Editor. Ecol. Indic. 2012, 23, 220–221. [Google Scholar] [CrossRef]
- Villa, F.; Bagstad, K.J.; Voigt, B.; Johnson, G.W.; Portela, R.; Honzák, M.; Batker, D. A methodology for adaptable and robust ecosystem services assessment. PLoS ONE 2014, 9, e91001. [Google Scholar] [CrossRef]
- Fang, Z.; Bai, Y.; Jiang, B.; Alatalo, J.; Liu, G.; Wang, H. Quantifying variations in ecosystem services in altitude-associated vegetation types in a tropical region of China. Sci. Total Environ. 2020, 726, 138565. [Google Scholar] [CrossRef] [PubMed]
- Neugarten, R.A.; Langhammer, P.F.; Osipova, E.; Bagstad, K.J.; Bhagabati, N.; Butchart, S.H.M.; Dudley, N.; Elliott, V.; Gerber, L.R.; Arrellano, C.G. Tools for Measuring, Modelling, and Valuing Ecosystem Services: Guidance for Key Biodiversity Areas, Natural World Heritage Sites, and Protected Areas; IUCN-WCPA’s Best Practice Protected Area Guidelines Series No 02; IUCN—The International Union for Conservation of Nature: Gland, Switzerland, 2018; p. 70. [Google Scholar]
- Johnson, J.A.; Jones, S.K.; Wood, S.L.R.; Chaplin-Kramer, R.; Hawthorne, P.L.; Mulligan, M.; Pennington, D.; DeClerck, F.A. Mapping ecosystem services to human well-being: A toolkit to support integrated landscape management for the SDGs. Ecol. Appl. 2019, 29, e01985. [Google Scholar] [CrossRef] [PubMed]
- Krkoška, L.E.; Harmáčková, Z.V.; Landová, L.; Pártl, A.; Vačkář, D. Assessing impact of land use and climate change on regulating ecosystem services in the Czech Republic. Ecosyst. Health Sustain. 2016, 2, e01210. [Google Scholar] [CrossRef]











| Land Use System (LUS) | Land Use Type (LUT) | Code | Scale | Functions |
|---|---|---|---|---|
| Agricultural lands | Paddy | P | Macro | Irrigated paddy agro-ecosystem. |
| Sparsely used crop land/Shifting cultivation (Chena) | SUCL | Macro | Rain-fed shifting cultivation with very few scattered trees. | |
| Seasonal crops | SC | Macro | Seasonal crop farming based on climatic seasons. | |
| Forest lands | Dense forest | DF | Macro | Catchment forest (tropical dry mixed evergreen forest—habitat for wild animals). |
| Open forest | OF | Macro | Secondary (sparse) forest trees and shrubs. Patches of Damana grasslands associated with tree vegetation. | |
| Scrub land | SL | Macro | Open areas with low vegetation, covered with small trees and shrubs—habitats for small wild species (amphibians, reptiles etc.). | |
| Forest plantation | FP | Macro | Dominant Acacia (Acacia auriculiformis) and monoculture Teak (Tectona grandis) plantation. | |
| Water bodies | Tank/Minor reservoir | T/MNR | Macro | Village tanks. Four geometrical phases of the tank (dead storage, deep-phase, shallow-phase and high flood phase) provide habitats and support the survival of aquatic flora and fauna. |
| Rocky areas | Area with exposed rocks | RARE | Macro | Rocks and rock outcrops—habitat for few wild species (amphibians, reptiles, etc.). |
| Built-up areas | Home garden/Homestead | HG | Macro | Houses, home gardens with horticulture, vegetable and animal husbandry. |
| Micro-land uses (Ecological commons) | Upstream tree belt (Gasgommana) | UTB | Micro | Strip of trees found at the periphery of the tank bed. Functioning as a wind barrier, fish breeding habitat, silt filter, habitats for birds and small wild animals. |
| Downstream reservation (Kattakaduwa) | DR | Micro | Diverse vegetation function as natural bio-filter to reduce salinity in seepage water before it reaches into the paddy fields. Habitat for many species. | |
| Upstream soil ridges (Isweti or Potaweti) | USR | Micro | Upstream earth ridges to prevent sediment inflow. | |
| Upstream water hole (Godawala) | UWH | Micro | Human-made water hole aims to trap sediment run-off and provides water to wild animals. | |
| Deep phase (Diyagilma) | DP | Micro | Central part of the tank bed. Various aquatic plants are grown in this area. Lotus and hydrilla species are dominant. Invasive aquatic plants such as water hyacinth, azolla, salvenia and water lettuce are also present. |
| Ecosystem Service | Description | Key Providers | Potential Indicators Identified for ESs Quantification |
|---|---|---|---|
| Food production (P) | Cultivated food crops (paddy, cereals, lentils, pulses, vegetables, tubers and other seed crops). |
|
|
| Water for domestic use (P) | Capacity to provide clean water. |
|
|
| Water for irrigation (P) | Capacity to provide water for agriculture. |
|
|
| Inland fisheries (P) | Edible fish species for food and nutrition. |
|
|
| Livestock (P) | Reared livestock species for livestock products for food and nutrition. Provide organic manure for crop cultivation. |
|
|
| Fodder and grasses (P) | Existence of grazing lands (pastures) used in the diets of domestic herbivores. |
|
|
| Raw materials (P) | Plant species used as raw materials. |
|
|
| Medicinal plants (P) | Medicinal plants and materials. |
|
|
| Fruits and wild edibles (P) | Fruit species and wild edible plants. |
|
|
| Control of floods (R) | Capacity of LUSs to capture storm water and reduce runoff. |
|
|
| Ground water recharge (R) | Capacity of LUSs to capture runoff water and enhance aquifer recharge. |
|
|
| Water purification (R) | Plant species capable to purify polluted water. |
|
|
| Local climate regulation (R) | Capacity of VTCS ecosystems to reduce negative effects of climate change and regulate air quality. |
|
|
| Global climate regulation (R) | Capacity of VTCS ecosystems to enhance carbon sequestering, and reduce GHG emissions. |
|
|
| Pollination (R) | Capacity to maintain insects, birds and animal species as pollinators and seed dispersal animals that support crop pollination—food production and their contribution to gene flows and ecological restoration. |
|
|
| Soil nutrient regulation (R) | Capacity of ecological components to maintain soil fertility and soil properties. |
|
|
| Soil erosion regulation (R) | Capacity of LUSs to provide soil retention, runoff control and reduce soil erosion. |
|
|
| Pests and diseases control (R) | Capacity to maintain of biological control agents to minimise incidence of pest and diseases outbreak. |
|
|
| Landscape diversity (S) | Capacity of LUSs to maintain ecologically and social-ecologically important habitats. |
|
|
| Biodiversity (S) | Capacity of VTCS ecosystems to maintain globally and locally important biodiversity to support ecosystem processes and functions. |
|
|
| Aesthetic and recreational values (C) | Capacity of landscape to provide areas of outstanding aesthetic beauty and quality. It provides environment for villagers and eco-travellers to relax—recreation and educational potentials. |
|
|
| Traditional knowledge and values (C) | Existence of traditional knowledge systems and practices in the VTCS. |
|
|
| Cultural customary values (C) | Cultural traditions, customs and rituals connected with socio-cultural and ecological elements of the VTCS. |
|
|
| Spiritual and religious values (C) | Spiritual and religious customs associated with a sense of places in the VTCS environment. |
|
|
Publisher’s Note: MDPI stays neutral with regard to jurisdictional claims in published maps and institutional affiliations. |
© 2022 by the authors. Licensee MDPI, Basel, Switzerland. This article is an open access article distributed under the terms and conditions of the Creative Commons Attribution (CC BY) license (https://creativecommons.org/licenses/by/4.0/).
Share and Cite
Ratnayake, S.S.; Khan, A.; Reid, M.; Dharmasena, P.B.; Hunter, D.; Kumar, L.; Herath, K.; Kogo, B.; Kadupitiya, H.K.; Dammalage, T.; et al. Land Use-Based Participatory Assessment of Ecosystem Services for Ecological Restoration in Village Tank Cascade Systems of Sri Lanka. Sustainability 2022, 14, 10180. https://doi.org/10.3390/su141610180
Ratnayake SS, Khan A, Reid M, Dharmasena PB, Hunter D, Kumar L, Herath K, Kogo B, Kadupitiya HK, Dammalage T, et al. Land Use-Based Participatory Assessment of Ecosystem Services for Ecological Restoration in Village Tank Cascade Systems of Sri Lanka. Sustainability. 2022; 14(16):10180. https://doi.org/10.3390/su141610180
Chicago/Turabian StyleRatnayake, Sujith S., Azeem Khan, Michael Reid, Punchi B. Dharmasena, Danny Hunter, Lalit Kumar, Keminda Herath, Benjamin Kogo, Harsha K. Kadupitiya, Thilantha Dammalage, and et al. 2022. "Land Use-Based Participatory Assessment of Ecosystem Services for Ecological Restoration in Village Tank Cascade Systems of Sri Lanka" Sustainability 14, no. 16: 10180. https://doi.org/10.3390/su141610180
APA StyleRatnayake, S. S., Khan, A., Reid, M., Dharmasena, P. B., Hunter, D., Kumar, L., Herath, K., Kogo, B., Kadupitiya, H. K., Dammalage, T., & Kariyawasam, C. S. (2022). Land Use-Based Participatory Assessment of Ecosystem Services for Ecological Restoration in Village Tank Cascade Systems of Sri Lanka. Sustainability, 14(16), 10180. https://doi.org/10.3390/su141610180

