Research on Tacit Knowledge Dissemination of Automobile Consumers’ Low-Carbon Purchase Intention
Abstract
1. Introduction
2. Literature Review
2.1. Research on the Development of New Energy Vehicles
2.2. Research on the Tacit Knowledge Dissemination Model
2.3. Research on Consumers’ Low-Carbon Inclination
2.4. Study on the Process of Knowledge Transmission in Groups
3. Basic Assumptions and Model Construction
3.1. Differential Dynamical System
3.2. Basic Assumptions
3.3. Model Specification
4. Analysis on the Stability of Tacit Knowledge Dissemination
4.1. Uniformly Stable Equilibrium Point
4.2. Analysis of Parameter Controls of Tacit Knowledge Dissemination of Low-Carbon Purchase Inclination
5. Numerical Simulation Analysis
5.1. Analysis of the Evolution of Four States of Low-Carbon Purchase Inclination
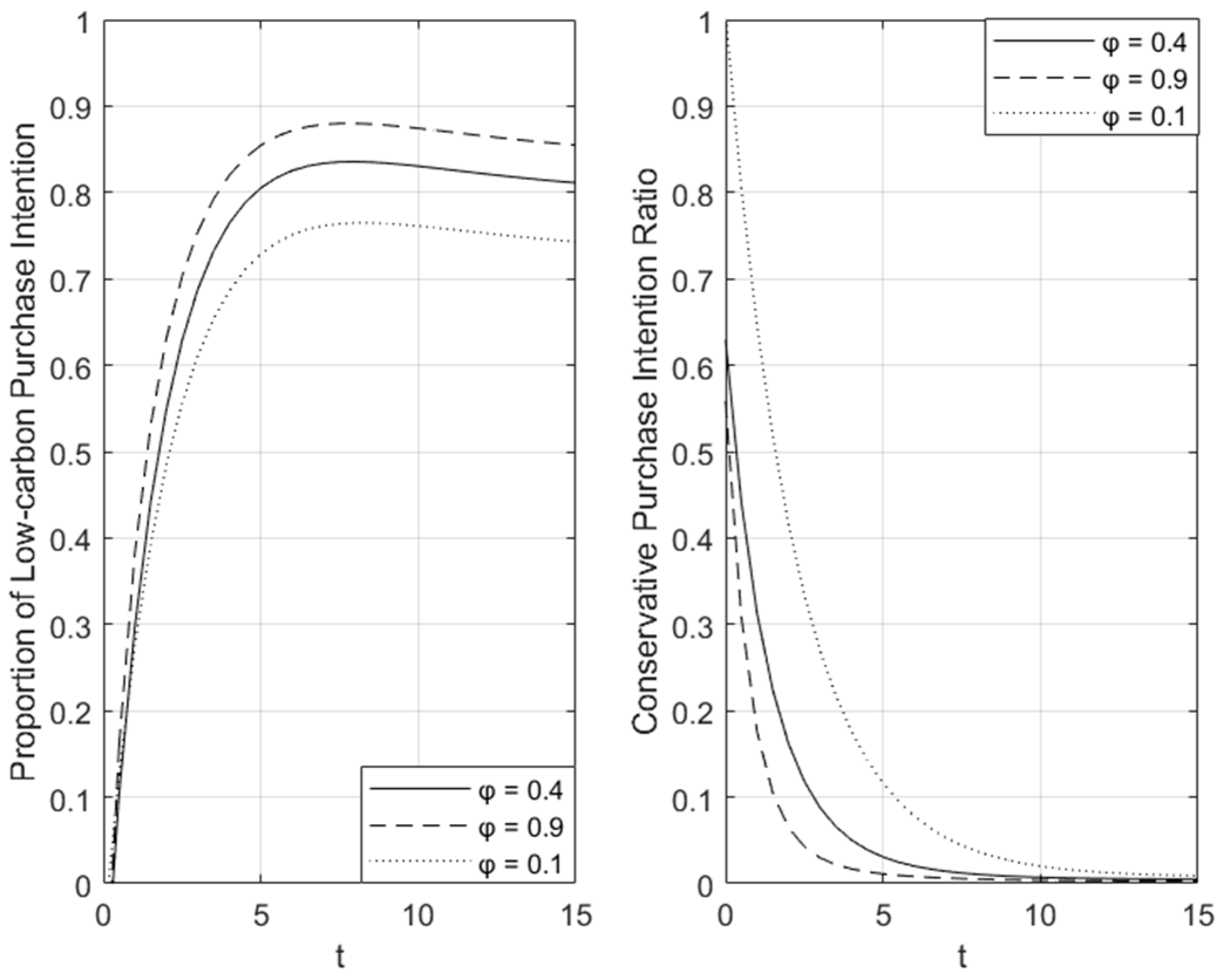
5.2. Analysis of the Evolution of the Proportion of Purchasing Inclination Communicators
6. Empirical Research
6.1. The Questionnaire
6.2. Analysis of Survey Results
6.2.1. Demographic Characteristics of Respondents
6.2.2. The Channel Statistics on the Interviewees’ Understanding of New Energy Vehicles
6.2.3. Price Preference
6.2.4. Performance Preferences
7. Conclusions
Author Contributions
Funding
Conflicts of Interest
References
- Geels, F.W. From sectoral systems of innovation to socio-technical systems: Insights about dynamics and change from sociology and institutional theory. Res. Policy 2004, 33, 897–920. [Google Scholar] [CrossRef]
- Cai, P.; Wu, J. Mechanism research on the future development system of new energy vehicles. J. Syst. Sci. 2019, 27, 35–40. [Google Scholar]
- Su, L. Evaluation and enlightenment of China’s new energy vehicle development policy implementation. Environ. Prot. 2021, 49, 41–47. [Google Scholar]
- Pan, S.; Li, B.; Nie, H. Study on coupling coordination and prospect forecast of new energy automobile industry and beautiful China Construction. Res. Sci. Technol. Manag. 2019, 39, 123–129. [Google Scholar]
- Bai, M. Study on competition pattern of global New energy automobile industry. Price Theory Pract. 2020, 14, 25–31. [Google Scholar]
- Wu, X.; Wu, Y.; Zhang, S.; Liu, H.; Fu, L.; Hao, J. Assessment of vehicle emission programs in China during 1998–2013: Achievement, challenges and implications. Environ. Pollut. 2016, 214, 556–567. [Google Scholar] [CrossRef]
- Zhang, L.; Qin, Q. China’s new energy vehicle policies: Evolution, comparison and recommendation. Transp. Res. Part A Policy Pract. 2018, 110, 57–72. [Google Scholar] [CrossRef]
- Zhang, X.; Wang, K.; Hao, Y.; Fan, J.L.; Wei, Y.M. The impact of government policy on preference for NEVs: The evidence from China. Energy Policy 2013, 61, 382–393. [Google Scholar] [CrossRef]
- Zhang, R.; Hanaoka, T. Deployment of electric vehicles in China to meet the carbon neutral target by 2060: Provincial disparities in energy systems, CO2 emissions, and cost effectiveness. Resour. Conserv. Recycl. 2021, 170, 105622. [Google Scholar] [CrossRef]
- Zuo, W.; Li, Y.; Wang, Y. Research on the optimization of new energy vehicle industry research and development subsidy about generic technology based on the three-way decisions. J. Clean. Prod. 2019, 212, 46–55. [Google Scholar] [CrossRef]
- Zhang, L.; Li, Z.; Jia, X.; Tan, R.R.; Wang, F. Targeting carbon emissions mitigation in the transport sector—A case study in Urumqi, China. J. Clean. Prod. 2020, 259, 120811. [Google Scholar] [CrossRef]
- Nonaka, I.; Toyama, R.; Konno, N. SECI, Ba and Leadership: A Unified Model of Dynamic Knowledge Creation. Long Range Plan. 2001, 33, 5–34. [Google Scholar] [CrossRef]
- Kermack, W.O.; Mckendrick, A.G. Contributions to the mathematical theory of epidemics: IV. Analysis of experimental epidemics of the virus disease mouse ectromelia. Epidemiol. Infect. 1937, 37, 172–187. [Google Scholar] [CrossRef]
- Bai, Z.; Wu, S.L. Traveling waves in a delayed SIR epidemic model with nonlinear incidence. Appl. Math. Comput. 2015, 263, 221–232. [Google Scholar] [CrossRef]
- Angstmann, C.N.; Henry, B.I.; McGann, A.V. A fractional-order infectivity SIR model. Phys. A Stat. Mech. Its Appl. 2016, 452, 86–93. [Google Scholar] [CrossRef]
- Zhao, D. Study on the threshold of a stochastic SIR epidemic model and its extensions. Commun. Nonlinear Sci. Numer. Simul. 2016, 38, 172–177. [Google Scholar] [CrossRef]
- Li, J.; Zhang, Y.; Man, J.; Zhou, Y.; Wu, X. SISL and SIRL: Two knowledge dissemination models with leader nodes on cooperative learning networks. Phys. A Stat. Mech. Its Appl. 2017, 468, 740–749. [Google Scholar] [CrossRef]
- Cowan, R.; Jonard, N.; Ozman, M. Knowledge Dynamics in a Network Industry. Technol. Forecast. Soc. Change 2004, 7, 469–484. [Google Scholar] [CrossRef]
- Qian, Z.; Tang, S.; Zhang, X.; Zheng, Z. The independent readers involved SlR Rumor model in complex networks. Phys. A Stat. Mech. Its Appl. 2015, 429, 95–102. [Google Scholar] [CrossRef]
- Wang, Y.; Jin, Z.; Yang, Z.; Zhang, Z.K.; Zhou, T.; Sun, G.Q. Global analysis of an SIS model with an infective vector on complex networks. Nonlinear Anal. Real World Appl. 2012, 13, 543–557. [Google Scholar] [CrossRef]
- Morone, P.; Taylor, R. Knowledge diffusion dynamics and network properties of face-to-face interactions. J. Evol. Econ. 2004, 14, 327–351. [Google Scholar] [CrossRef]
- Wang, J.; Zhao, L.; Huang, R. SIRaRu rumor spreading model in complex networks. Phys. A Stat. Mech. Its Appl. 2014, 398, 43–55. [Google Scholar] [CrossRef]
- Nembhard, D.A.; Osothsilp, N. An empirical comparison of forgetting models. IEEE Trans. Eng. Manag. 2001, 48, 283–291. [Google Scholar] [CrossRef]
- Zhao, L.; Xie, W.; Gao, H.O.; Qiu, X.; Wang, X.; Zhang, S. A rumor spreading model with variable forgetting rate. Phys. A Stat. Mech. Its Appl. 2013, 392, 6146–6154. [Google Scholar] [CrossRef]
- Enatsu, Y.; Nakata, Y.; Muroya, Y. Lyapunov functional techniques for the global stability analysis of a delayed SIRS epidemic model. Nonlinear Anal. Real World Appl. 2012, 13, 2120–2133. [Google Scholar] [CrossRef]
- Wu, D.; Yang, Y. The Low-Carbon Supply Chain Coordination Problem with Consumers’ Low-Carbon Preference. Sustainability 2020, 12, 3591. [Google Scholar] [CrossRef]
- Basiri, Z.; Heydari, J. A mathematical model for green supply chain coordination with substitutable products. Clean. Prod. 2017, 145, 232–249. [Google Scholar] [CrossRef]
- Baldini, M.; Trivella, A.; Wente, J.W. The impact of socioeconomic and behavioural factors for purchasing energy efficient household appliances: A case study for Denmark. Energy Policy 2018, 120, 503–513. [Google Scholar] [CrossRef]
- Du, W.; Fan, Y.; Yan, L. Pricing Strategies for Competitive Water Supply Chains under Different Power Structures: An Application to the South-to-North Water Diversion Project in China. Sustainability 2018, 10, 2892. [Google Scholar] [CrossRef]
- Xu, C.Q.; Zhao, D.Z.; Yuan, B.Y. Products Differential Pricing and Supply Chain Coordination Mechanism under the Government Subsidy Policy. Syst. Eng. 2014, 32, 78–86. [Google Scholar]
- Du, S.; Li, H.; Li, W. Low-carbon supply policies and supply chain performance with carbon concerned demand. Ann. Oper. Res. 2017, 255, 569–590. [Google Scholar] [CrossRef]
- Yu, Y.; Han, X.; Hu, G. Optimal production for manufacturers considering consumer environmental awareness and green subsidies. Int. J. Prod. Econ. 2016, 182, 397–408. [Google Scholar] [CrossRef]
- Peng, H.; Pang, T.; Cong, J. Coordination contracts for a supply chain with yield uncertainty and low-carbon preference. J. Clean. Prod. 2018, 205, 291–302. [Google Scholar] [CrossRef]
- Meng, X.; Yao, Z.; Nie, J.; Zhao, Y.; Li, Z. Low-carbon product selection with carbon tax and competition: Effects of the power structure. Int. J. Prod. Econ. 2018, 200, 224–230. [Google Scholar] [CrossRef]
- Song, H.; Gao, X. Green supply chain game model and analysis under revenue-sharing contract. J. Clean. Prod. 2018, 170, 183–192. [Google Scholar] [CrossRef]
- Su, C.; Liu, X.; Du, W. Green Supply Chain Decisions Considering Consumers’s Low-Carbon Awareness under Different Government Subsidies. Sustainability 2020, 12, 2281. [Google Scholar] [CrossRef]
- O’Neill, E.; Moore, D.; Kelleher, L.; Brereton, F. Barriers to electric vehicle uptake in Ireland: Perspectives of car-dealers and policy-makers. Case Stud. Transp. Policy 2018, 7, 118–127. [Google Scholar] [CrossRef]
- Bryden, T.S.; Hilton, G.; Cruden, A.; Holton, T. Electric Vehicle Fast Charging Station Usage and Power Requirements. Energy 2018, 152, 322–332. [Google Scholar] [CrossRef]
- Zhang, X.; Bai, X.; Shang, J. Is subsidized electric vehicles adoption sustainable: Consumers’ perceptions and motivation toward incentive policies, environmental benefits, and risks. J. Clean. Prod. 2018, 192, 71–79. [Google Scholar] [CrossRef]
- Nonaka, I.; Konno, N. The Concept of Ba, Building a foundation for knowledge creation’, California Management Review. Calif. Manag. Rev. 2010, 40, 40–54. [Google Scholar] [CrossRef]
- Haas, M.R.; Criscuolo, P.; George, G. Which Problems to Solve? Online Knowledge Sharing and Attention Allocation in Organizations. Acad. Manag. J. 2014, 58, 680–711. [Google Scholar] [CrossRef]
- Huang, F.; Ma, J.; Huo, R. Rational behavior model of knowledge sharing among enterprise employees. Manag. Sci. Res. 2010, 31, 120–126. [Google Scholar]
- Tangaraja, G.; Rasdi, R.M.; Ismail, M.; Samah, B.A. Fostering knowledge sharing behaviour among public sector managers: A proposed model for the Malaysian public service. J. Knowl. Manag. 2015, 19, 121–140. [Google Scholar] [CrossRef]
- Aksoy, Y.; Ayranci, E.; Gozukara, E. A Research on the Relationship between Knowledge Sharing and Employee Performance: The Moderating Role of Unethical Behaviors in Organizational Level. Eur. Entific J. 2016, 12, 1857–7881. [Google Scholar] [CrossRef][Green Version]
- Bart, V.; Ridder, J.D. Knowledge sharing in context: The influence of organizational commitment, communication climate and CMC use on knowledge sharing. J. Knowl. Manag. 2004, 8, 117–130. [Google Scholar] [CrossRef]
- Bandi, R.K.; Mehra, V. Knowledge Sharing in Repository-Based KM Systems: A Study in the IT Services Enterprises in India. In Knowledge Management for Development; Springer: Boston, MA, USA, 2014. [Google Scholar] [CrossRef]













| Experiment | Low-Carbon Transmission Rate α1 | Conservative Transmission Rate α2 | Description |
|---|---|---|---|
| Original Parameters | 0.3 | 0.1 | Initial Parameter Setting |
| Comparison1 | 0.65 | 0.1 | Increase low-carbon transmission rates |
| Comparison2 | 0.3 | 0.15 | Increase conservative transmission rate |
| Comparison3 | 0.65 | 0.15 | Low-carbon and conservative transmission rates increase simultaneously |
| Experiment | Conversion Rate φ | Description |
|---|---|---|
| Original parameters | 0.4 | Initial Parameter Setting |
| Comparison1 | 0.9 | Increased conversion rate |
| Comparison2 | 0.1 | Reduced conversion rate |
| Experiment | Low-Carbon Abandonment Rate θ1 | Conservative Abandonment Rate θ2 | Description |
|---|---|---|---|
| Original Parameters | 0.22 | 0.4 | Initial Parameter Setting |
| Comparison1 | 0.25 | 0.4 | Increase the low-carbon abandonment rate |
| Comparison2 | 0.22 | 0.7 | Increase conservative abandonment rate |
| Comparison3 | 0.25 | 0.7 | Low-carbon and conservative abandonment rate increase simultaneously |
Publisher’s Note: MDPI stays neutral with regard to jurisdictional claims in published maps and institutional affiliations. |
© 2022 by the authors. Licensee MDPI, Basel, Switzerland. This article is an open access article distributed under the terms and conditions of the Creative Commons Attribution (CC BY) license (https://creativecommons.org/licenses/by/4.0/).
Share and Cite
Xu, N.; Xu, Y. Research on Tacit Knowledge Dissemination of Automobile Consumers’ Low-Carbon Purchase Intention. Sustainability 2022, 14, 10097. https://doi.org/10.3390/su141610097
Xu N, Xu Y. Research on Tacit Knowledge Dissemination of Automobile Consumers’ Low-Carbon Purchase Intention. Sustainability. 2022; 14(16):10097. https://doi.org/10.3390/su141610097
Chicago/Turabian StyleXu, Nan, and Yaoqun Xu. 2022. "Research on Tacit Knowledge Dissemination of Automobile Consumers’ Low-Carbon Purchase Intention" Sustainability 14, no. 16: 10097. https://doi.org/10.3390/su141610097
APA StyleXu, N., & Xu, Y. (2022). Research on Tacit Knowledge Dissemination of Automobile Consumers’ Low-Carbon Purchase Intention. Sustainability, 14(16), 10097. https://doi.org/10.3390/su141610097

